A Novel Fracturing Fluid Based on Functionally Modified Nano-Silica-Enhanced Hydroxypropyl Guar Gel
Abstract
1. Introduction
2. Results and Discussion
2.1. Heat/Shear Resistance
2.2. Rheology Properties
2.3. Proppant Transportation
2.4. Formation Damage
3. Conclusions
- Due to the dual-level cross-linking structure in FNG and the small influence of high temperature on nano-silica molecular motion, the retained viscosity of FNG was 463 mPa·s after the heat/shear resistance measurement, while that of HPG gel was about 350 mPa·s.
- FNG is a pseudoplastic strong gel with a yield stress of 12.9 Pa, a flow behavior index of 0.54, an elastic modulus of 16.2 Pa, and a viscous modulus of 6.2 Pa.
- In accordance with the heat/shear resistance, FNG could realize better proppant transportation under high temperatures than HPG gel.
- As the lower water CA and lower IFT entered the FNG, the damage on oil permeability in the matrix caused by FNG filtrate was 10 percentage points lower than that caused by HPG gel filtrate. Meanwhile, because of the considerable residual gel in the broken HPG gel, the conductivity retainment contaminated with broken HPG gel was 9.5 percentage points lower than that with broken FNG.
4. Materials and Methods
4.1. Material and Instruments
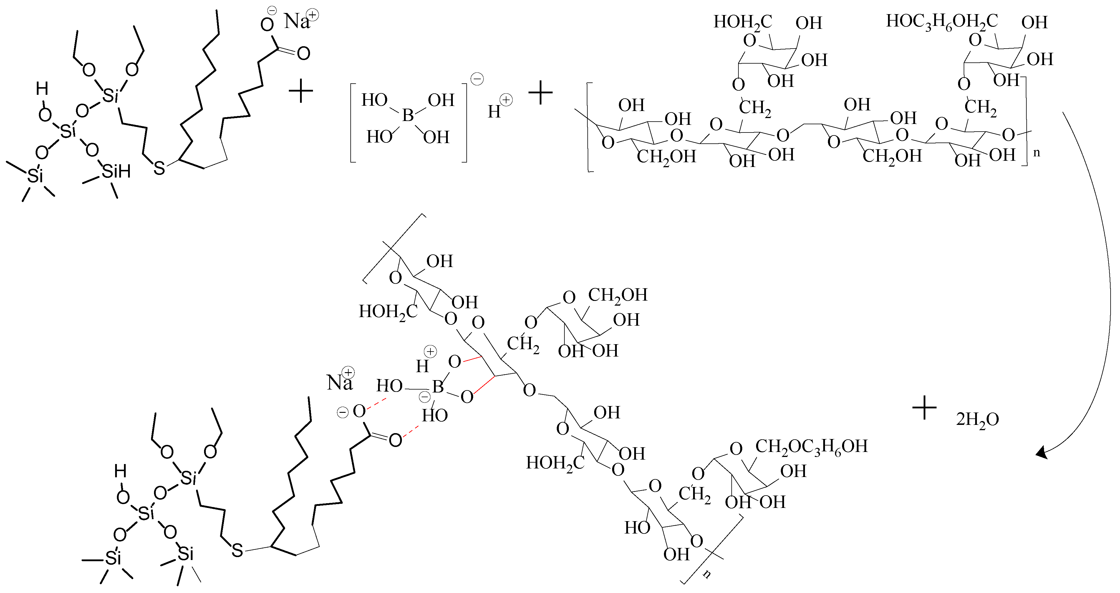
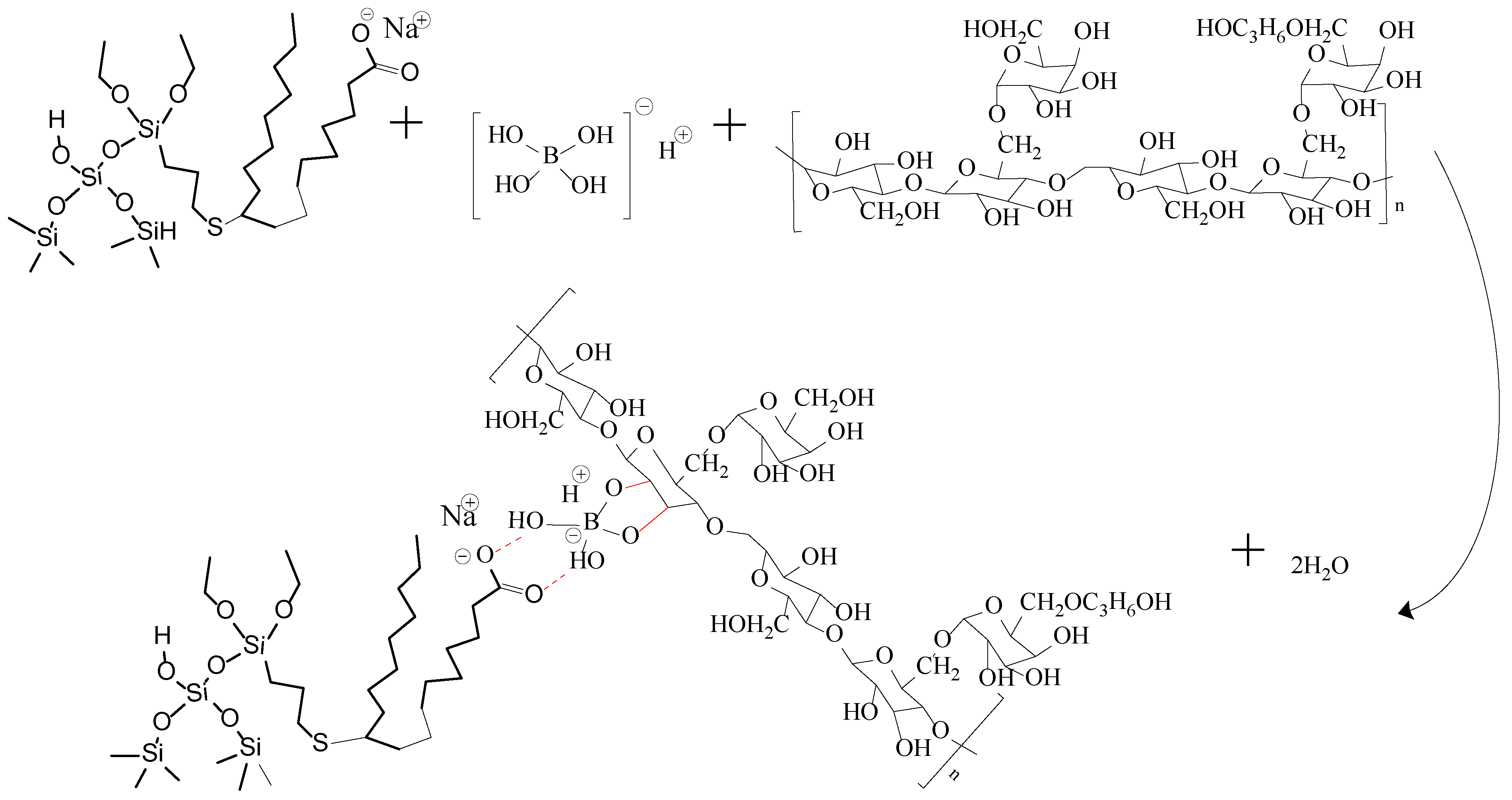
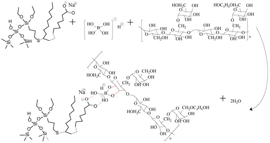
4.2. Preparation of the Fracturing Fluids
4.3. Evaluation of the Properties
4.3.1. Heat/Shear Resistance
4.3.2. Rheological Property
4.3.3. Proppant Transportation
4.3.4. Formation Damage Evaluations
- (1)
- The core was saturated with formation water, and the initial permeability could be obtained when the water flooding became stable.
- (2)
- The fracturing fluid filtrate was injected into the core and retained in the core for 2 h.
- (3)
- The core was flooded with the formation water again to obtain the damaged permeability of the formation water.
- (1)
- The core was saturated with formation water.
- (2)
- The core saturated with formation water was flooded with the oil. The initial oil permeability in the presence of residual water could be obtained when the oil flooding became stable and there was no more water flow out of the core.
- (3)
- The fracturing fluid filtrate was injected into the core and retained in the core for 2 h.
- (4)
- The core was flooded with the oil again to obtain the damaged permeability of the oil.
Author Contributions
Funding
Institutional Review Board Statement
Informed Consent Statement
Data Availability Statement
Conflicts of Interest
Nomenclature
| OOIP | original oil in place |
| HPG | hydroxypropyl guar |
| M/G ratio | ratio of D-mannuronate to L-guluronate |
| IFT | interfacial tension |
| VES | viscoelastic surfactant |
| FMNS | functionally modified nano-silica |
| DI water | deionized water |
| μ | viscosity, mPa·s |
| τ | shear stress, Pa |
| γ | shear rate, s−1 |
| τ0 | yield stress, Pa |
| k | the consistency coefficient, Pa·sn |
| n | the flow behavior index, dimensionless |
| G′ | elastic moduli |
| G″ | viscous moduli |
| CA | contact angle |
| ηi | the proportion of the proppant mass in section i of the crack, % |
| mi | mass of the proppant in section i of the crack, g |
| i | the number of the divided section in the crack, dimensionless |
References
- Huang, F.; Pu, C.; Gu, X.; Ye, Z.; Khan, N.; An, J.; Wu, F.; Liu, J. Study of a low-damage efficient-imbibition fracturing fluid without flowback used for low-pressure tight reservoirs. Energy 2021, 222, 119941. [Google Scholar] [CrossRef]
- Mahdaviara, M.; Sharifi, M.; Ahmadi, M. Toward evaluation and screening of the enhanced oil recovery scenarios for low permeability reservoirs using statistical and machine learning techniques. Fuel 2022, 325, 124795. [Google Scholar] [CrossRef]
- Li, X.; Zhang, Q.; Liu, P.; Li, T.; Liu, G.; Liu, Z.; Zhao, H. Investigation on the microscopic damage mechanism of fracturing fluids to low-permeability sandstone oil reservoir by nuclear magnetic resonance. J. Pet. Sci. Eng. 2022, 209, 109821. [Google Scholar] [CrossRef]
- Zou, C.; Ding, Y.; Lu, Y.; Liu, X.; Chen, J.; Wang, X.; Yang, Z.; Cai, B.; Yang, Z.; He, C.; et al. Concept, technology and practice of “man-made reservoirs” development. Pet. Explor. Dev. Online 2017, 44, 146–158. [Google Scholar] [CrossRef]
- Zhu, D.; Li, B.; Chen, L.; Zhang, C.; Zheng, L.; Chen, W.; Li, Z. Experimental investigation of CO2 foam flooding-enhanced oil recovery in fractured low-permeability reservoirs: Core-scale to pore-scale. Fuel 2024, 362, 130792. [Google Scholar] [CrossRef]
- Liu, C.; You, Q.; Wang, T.; Zhou, B.; Peng, W.; Du, Y.; Liu, Y.; Li, Y.; Dai, C. Study of microscopic imbibition and formation plugging mechanism of the compact oil reservoir based on SEM and NMR analysis. Fuel 2024, 357, 129672. [Google Scholar] [CrossRef]
- Chunming, G.J.H. Microscopic mechanism of the damage caused by gelout process of fracturing fluids. Acta Pet. Sin. 2012, 33, 1018. [Google Scholar]
- Zhao, L.; Chen, Y.; Du, J.; Liu, P.; Li, N.; Luo, Z.; Zhang, C.; Huang, F. Experimental Study on a new type of self-propping fracturing technology. Energy 2019, 183, 249–261. [Google Scholar] [CrossRef]
- Mao, J.; Yang, X.; Chen, Y.; Zhang, Z.; Zhang, C.; Yang, B.; Zhao, J. Viscosity reduction mechanism in high temperature of a Gemini viscoelastic surfactant (VES) fracturing fluid and effect of counter-ion salt (KCl) on its heat resistance. J. Pet. Sci. Eng. 2018, 164, 189–195. [Google Scholar] [CrossRef]
- Zhang, Y.; Mao, J.; Xu, T.; Zhang, Z.; Yang, B.; Mao, J.; Yang, X. Preparation of a novel fracturing fluid with good heat and shear resistance. RSC Adv. 2019, 9, 1199–1207. [Google Scholar] [CrossRef]
- Barati, R.; Liang, J.T. A Review of Fracturing Fluid Systems Used for Hydraulic Fracturing of Oil and Gas Wells. J. Appl. Polym. Sci. 2014, 131, 318–323. [Google Scholar] [CrossRef]
- You, Q.; Wang, H.; Zhang, Y.; Liu, Y.; Fang, J.; Dai, C. Experimental study on spontaneous imbibition of recycled fracturing flow-back fluid to enhance oil recovery in low permeability sandstone reservoirs. J. Pet. Sci. Eng. 2018, 166, 375–380. [Google Scholar] [CrossRef]
- Mao, J.; Yang, X.; Wang, D.; Li, Y.; Zhao, J. A novel gemini viscoelastic surfactant (VES) for fracturing fluids with good temperature stability. RSC Adv. 2016, 6, 88426–88432. [Google Scholar] [CrossRef]
- Kostenuk, N.H.; Browne, D.J. Improved Proppant Transport System for Slickwater Shale Fracturing. Presented at the Canadian Unconventional Resources and International Petroleum Conference, Calgary, AB, Canada, 19–21 October 2010; Society of Petroleum Engineers: Calgary, AB, Canada, 2010. [Google Scholar]
- Zhao, J.; Yang, B.; Mao, J.; Zhang, Y.; Yang, X.; Zhang, Z.; Shao, Y. A Novel Hydrophobic Associative Polymer by RAFT-MADIX Copolymerization for Fracturing Fluids with High Thermal Stability. Energy Fuels 2018, 32, 3039–3051. [Google Scholar] [CrossRef]
- Iler, R.K. Relation of particle size of colloidal silica to the amount of a cationic polymer required for flocculation and surface coverage. J. Colloid Interface Sci. 1972, 37, 364–373. [Google Scholar] [CrossRef]
- Fakoya, M.F.; Shah, S.N. Effect of Silica Nanoparticles on the Rheological Properties and Filtration Performance of Surfactant-Based and Polymeric Fracturing Fluids and Their Blends. SPE Drill. Complet. 2018, 33, 100–114. [Google Scholar] [CrossRef]
- Roustaei, A.; Bagherzadeh, H. Experimental investigation of SiO2 nanoparticles on enhanced oil recovery of carbonate reservoirs. J. Pet. Explor. Prod. Technol. 2015, 5, 27–33. [Google Scholar] [CrossRef]
- Dehghan Monfared, A.; Ghazanfari, M.H.; Jamialahmadi, M.; Helalizadeh, A. Potential application of silica nanoparticles for wettability alteration of oil–wet calcite: A mechanistic study. Energy Fuels 2016, 30, 3947–3961. [Google Scholar] [CrossRef]
- Maghzi, A.; Kharrat, R.; Mohebbi, A.; Ghazanfari, M.H. The impact of silica nanoparticles on the performance of polymer solution in presence of salts in polymer flooding for heavy oil recovery. Fuel 2014, 123, 123–132. [Google Scholar] [CrossRef]
- Kumar, R.S.; Chaturvedi, K.R.; Iglauer, S.; Sharma, T. Impact of anionic surfactant on stability, viscoelastic moduli, and oil recovery of silica nanofluid in saline environment. J. Pet. Sci. Eng. 2020, 195, 107634. [Google Scholar] [CrossRef]
- Hamdi, S.S.; Al-Kayiem, H.H.; Muhsan, A.S. Natural polymer non-covalently grafted graphene nanoplatelets for improved oil recovery process: A micromodel evaluation. J. Mol. Liq. 2020, 310, 113076. [Google Scholar] [CrossRef]
- Hendraningrat, L.; Torsæter, O. A stabilizer that enhances the oil recovery process using silica-based nanofluids. Transp. Porous Media 2015, 108, 679–696. [Google Scholar] [CrossRef]
- Afolabi, R.O. Enhanced oil recovery for emergent energy demand: Challenges and prospects for a nanotechnology paradigm shift. Int. Nano Lett. 2019, 9, 1–15. [Google Scholar] [CrossRef]
- Bai, Y.; Pu, C.; Li, X.; Huang, F.; Liu, S.; Liang, L.; Liu, J. Performance evaluation and mechanism study of a functionalized silica nanofluid for enhanced oil recovery in carbonate reservoirs. Colloids Surf. A Physicochem. Eng. Asp. 2022, 652, 129939. [Google Scholar] [CrossRef]
- Xu, D.; Bai, B.; Wu, H.; Hou, J.; Meng, Z.; Sun, R.; Li, Z.; Lu, Y.; Kang, W. Mechanisms of imbibition enhanced oil recovery in low permeability reservoirs: Effect of IFT reduction and wettability alteration. Fuel 2019, 244, 110–119. [Google Scholar] [CrossRef]
- Alvarez, J.O.; Schechter, D.S. Wettability Alteration and Spontaneous Imbibition in Unconventional Liquid Reservoirs by Surfactant Additives. SPE Reserv. Eval. Eng. 2017, 20, 107–117. [Google Scholar] [CrossRef]
- Dai, C.; Cheng, R.; Sun, X.; Liu, Y.; Zhou, H.; Wu, Y.; You, Q.; Zhang, Y.; Sun, Y. Oil migration in nanometer to micrometer sized pores of tight oil sandstone during dynamic surfactant imbibition with online NMR. Fuel 2019, 245, 544–553. [Google Scholar] [CrossRef]
- Liu, J.; Sheng, J.J.; Wang, X.; Ge, H.; Yao, E. Experimental study of wettability alteration and spontaneous imbibition in Chinese shale oil reservoirs using anionic and nonionic surfactants. J. Pet. Sci. Eng. 2019, 175, 624–633. [Google Scholar] [CrossRef]
- Biria, D.; Maghsoudi, E.; Roostaazad, R. Application of Biosurfactants to Wettability Alteration and IFT Reduction in Enhanced Oil Recovery from Oil–Wet Carbonates. Pet. Sci. Technol. 2013, 31, 1259–1267. [Google Scholar] [CrossRef]
- Zhang, L.; Zhang, H.; Wang, S.; Song, J.; Yao, X.; Wang, W. Boundary layer and entropy analysis of non-Newtonian Casson nanofluids moving nonlinearly in a wedge-shaped stretching plate under an unsteady flow. Case Stud. Therm. Eng. 2024, 56, 104193. [Google Scholar] [CrossRef]
- Sithole, H.; Mondal, H.; Sibanda, P. Entropy generation in a second grade magnetohydrodynamic nanofluid flow over a convectively heated stretching sheet with nonlinear thermal radiation and viscous dissipation. Results Phys. 2018, 9, 1077–1085. [Google Scholar] [CrossRef]
- National Energy Administration. The Evaluation Measurement for Properties of Water-Based Fracturing Fluid; Petroleum Industry Press: Beijing, China, 2016. [Google Scholar]
- Yang, J.; Cui, W.; Guan, B.; Lu, Y.; Qiu, X.; Yang, Z.; Qin, W. Supramolecular Fluid of Associative Polymer and Viscoelastic Surfactant for Hydraulic Fracturing. SPE Prod. Oper. 2016, 31, 318–324. [Google Scholar] [CrossRef]
- Jiang, G.; Jiang, Q.; Sun, Y.; Liu, P.; Zhang, Z.; Ni, X.; Yang, L.; Wang, C. Supramolecular-Structure-Associating Weak Gel of Wormlike Micelles of Erucoylamidopropyl Hydroxy Sulfobetaine and Hydrophobically Modified Polymers. Energy Fuels 2017, 31, 4780–4790. [Google Scholar] [CrossRef]
- Zhang, Y.; Dai, C.; Qian, Y.; Fan, X.; Jiang, J.; Wu, Y.; Wu, X.; Huang, Y.; Zhao, M. Rheological properties and formation dynamic filtration damage evaluation of a novel nanoparticle-enhanced VES fracturing system constructed with wormlike micelles. Colloids Surf. A Physicochem. Eng. Asp. 2018, 553, 244–252. [Google Scholar] [CrossRef]
- Yang, X.; Mao, J.; Zhang, W.; Zhang, H.; Zhang, Y.; Zhang, C.; Ouyang, D.; Chen, Q.; Lin, C.; Zhao, J. Tertiary cross-linked and weighted fracturing fluid enables fracture stimulations in ultra high pressure and temperature reservoir. Fuel 2020, 268, 117222. [Google Scholar] [CrossRef]
- Jiang, F.; Chen, Y.; Ye, Z.; Pang, S.; Xu, B. Efficient synthesis of POSS based amphiphilic nanoparticles via thiol-ene “click” reaction to improve foam stability. Colloids Surf. A Physicochem. Eng. Asp. 2022, 632, 127803. [Google Scholar] [CrossRef]
- National Energy Administration. Determination of the Strength of Gels Used for Oil Production-Test Method on Rheological Parameters; Petroleum Industry Press: Beijing, China, 2013. [Google Scholar]
- Gu, Q.; Hoo, K.A. Model-Based Closed-Loop Control of the Hydraulic Fracturing Process. Ind. Eng. Chem. Res. 2015, 54, 1585–1594. [Google Scholar] [CrossRef]













| Cores | Filtrate | Medium | Initial Permeability (×10−3 μm2) | Damaged Permeability (×10−3 μm2) | Permeability Loss Rate (%) |
|---|---|---|---|---|---|
| A-1 | FNG | Formation water | 0.95 | 0.74 | 22.1 |
| B-1 | Simulated crude oil | 0.87 | 0.76 | 12.6 | |
| A-2 | HPG gel | Formation water | 0.96 | 0.76 | 20.8 |
| B-2 | Simulated crude oil | 0.85 | 0.66 | 22.4 |
| Cores | Contaminant | Initial Conductivity (×10−3 μm2·mm) | Damaged Permeability (×10−3 μm2·mm) | Conductivity Retainment Rate (%) |
|---|---|---|---|---|
| A-3 | Broken FNG | 2350 | 1895 | 80.6 |
| B-3 | Broken HPG gel | 2865 | 2038 | 71.1 |
| Results | FNG | NESF [1] | Supramolecular Fluid [34,35] | Nanoparticle Enhanced VES [36] | Tertiary Cross-Linked Guar [37] |
|---|---|---|---|---|---|
| Viscosity (mPa·s) | 463 (80 °C) | 154 (80 °C) | 71 (120 °C) | 90 (45 °C) | 78 (80 °C) |
| Permeability loss rate (%) | 12.6 | 9.4 | 12.2 | 31.1 | 13.5 |
| Conductivity retainment (%) | 80.6 | 95.11 | 92 |
Disclaimer/Publisher’s Note: The statements, opinions and data contained in all publications are solely those of the individual author(s) and contributor(s) and not of MDPI and/or the editor(s). MDPI and/or the editor(s) disclaim responsibility for any injury to people or property resulting from any ideas, methods, instructions or products referred to in the content. |
© 2024 by the authors. Licensee MDPI, Basel, Switzerland. This article is an open access article distributed under the terms and conditions of the Creative Commons Attribution (CC BY) license (https://creativecommons.org/licenses/by/4.0/).
Share and Cite
Huang, F.; Bai, Y.; Gu, X.; Kang, S.; Yang, Y.; Wang, K. A Novel Fracturing Fluid Based on Functionally Modified Nano-Silica-Enhanced Hydroxypropyl Guar Gel. Gels 2024, 10, 369. https://doi.org/10.3390/gels10060369
Huang F, Bai Y, Gu X, Kang S, Yang Y, Wang K. A Novel Fracturing Fluid Based on Functionally Modified Nano-Silica-Enhanced Hydroxypropyl Guar Gel. Gels. 2024; 10(6):369. https://doi.org/10.3390/gels10060369
Chicago/Turabian StyleHuang, Feifei, Yun Bai, Xiaoyu Gu, Shaofei Kang, Yandong Yang, and Kai Wang. 2024. "A Novel Fracturing Fluid Based on Functionally Modified Nano-Silica-Enhanced Hydroxypropyl Guar Gel" Gels 10, no. 6: 369. https://doi.org/10.3390/gels10060369
APA StyleHuang, F., Bai, Y., Gu, X., Kang, S., Yang, Y., & Wang, K. (2024). A Novel Fracturing Fluid Based on Functionally Modified Nano-Silica-Enhanced Hydroxypropyl Guar Gel. Gels, 10(6), 369. https://doi.org/10.3390/gels10060369

