Investigations on the Impact of a Series of Alkoxysilane Precursors on the Structure, Morphology and Wettability of an Established Zirconium-Modified Hybrid Anticorrosion Sol–Gel Coating
Abstract
1. Introduction
2. Results and Discussion
2.1. Particle Size Analysis
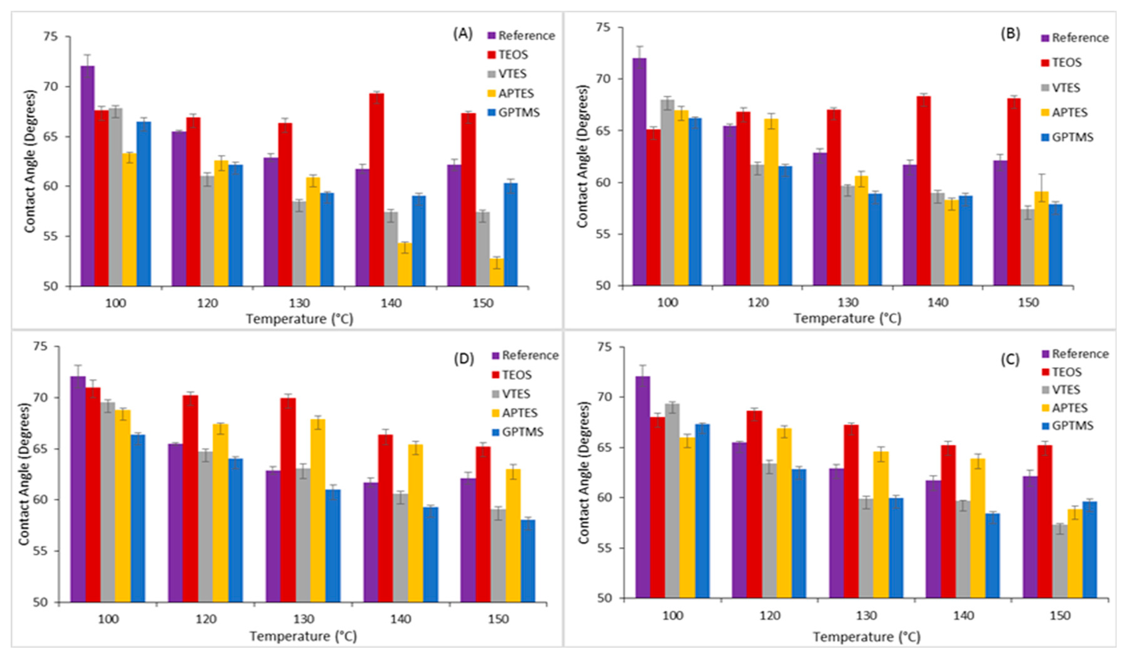
2.2. Water Contact Angle (WCA)
2.3. FTIR Spectral Measurements
2.3.1. Analysis at 100 °C
2.3.2. Analysis at 130 °C and 150 °C
2.4. AFM Analysis
2.5. 29Si-NMR
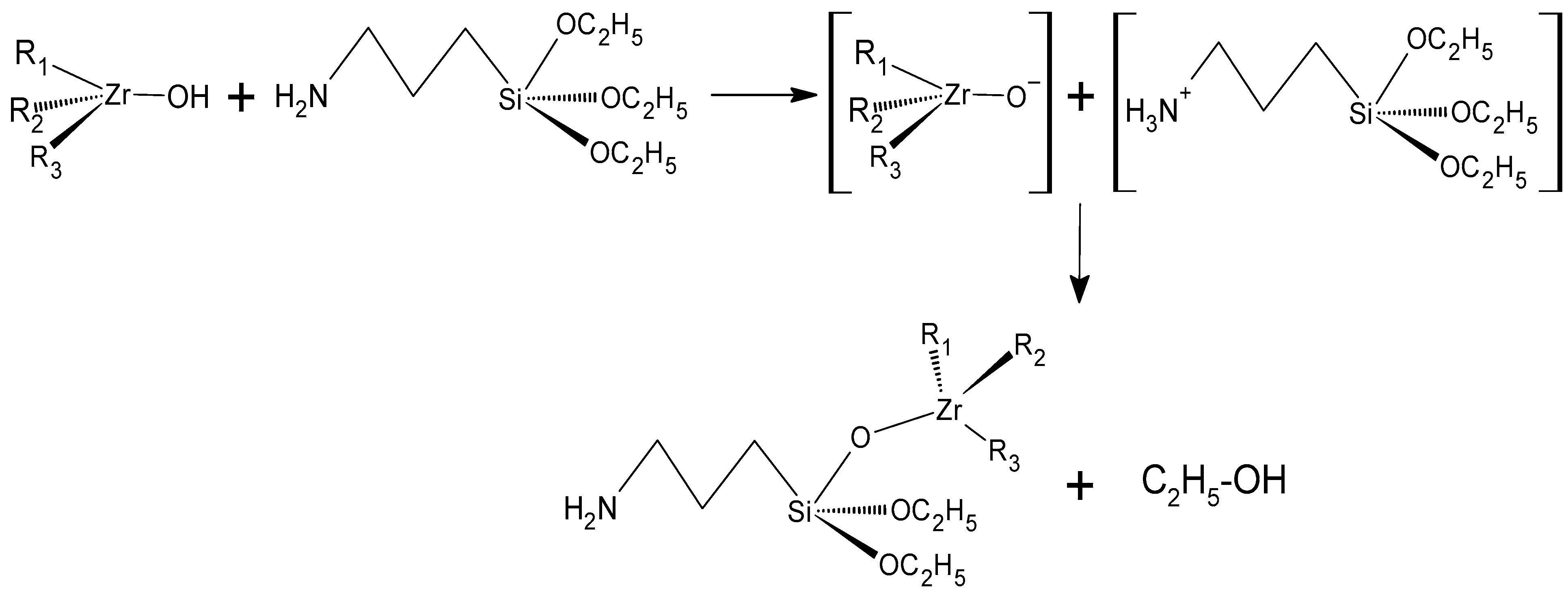
2.5.1. Material modification by APTES
2.5.2. Material Modification by GPTMS
2.5.3. Material Modification by VTES
2.5.4. Material Modification by TEOS
2.6. SEM Analysis
3. Conclusions
4. Materials and Methods
4.1. Preparation of the Hybrid Sol–Gel
4.2. Coatings Preparation
4.3. Characterisation
4.3.1. DLS
4.3.2. Contact Angle Measurements
4.3.3. FTIR
4.3.4. AFM
4.3.5. 29Si-NMR
4.3.6. SEM
Supplementary Materials
Author Contributions
Funding
Institutional Review Board Statement
Informed Consent Statement
Data Availability Statement
Acknowledgments
Conflicts of Interest
References
- Alberti, S.; Jágerská, J. Sol-gel thin film processing for integrated waveguide sensors. Front. Mater. 2021, 8, 629822. [Google Scholar] [CrossRef]
- Zayat, M.; Almendro, D.; Vadillo, V.; Levy, D. Sol-Gel Materials for Optics and Electrooptics. In Handbook of Sol-Gel Science and Technology; Klein, L., Aparicio, M., Jitianu, A., Eds.; Springer: Cham, Switzerland, 2017. [Google Scholar] [CrossRef]
- Guglielmi, M.; Martucci, A. Sol-gel nanocomposites for optical applications. J. Sol-Gel Sci. Technol. 2018, 88, 551–563. [Google Scholar] [CrossRef]
- Martucci, A.; Santos, L.; Hernández, R.E.R.; Almeida, R. Sol-Gel Derived Optical and Photonic Materials; Woodhead Publishing: Sawston, UK, 2020; ISBN 9780128180198. [Google Scholar]
- Tran, T.N.L.; Szczurek, A.; Carlotto, A.; Varas, S.; Righini, G.C.; Ferrari, M.; Krzak, J.; Lukowiak, A.; Chiasera, A. Sol-gel-derived transparent glass-ceramics for photonics. Opt. Mater. 2022, 130, 112577. [Google Scholar] [CrossRef]
- Walcarius, A. Silica-based electrochemical sensors and biosensors: Recent trends. Curr. Opin. Electrochem. 2018, 10, 88–97. [Google Scholar] [CrossRef]
- Rex, A.; dos Santos, J.H.Z. The use of sol–gel processes in the development of supported catalysts. J. Sol-Gel Sci. Technol. 2022, 105, 30–49. [Google Scholar] [CrossRef]
- Figueira, R.B.; de Almeida, J.M.; Ferreira, B.; Coelho, L.; Silva, C.J.R. Optical fiber sensors based on sol–gel materials: Design, fabrication and application in concrete structures. Mater. Adv. 2021, 2, 7237–7276. [Google Scholar] [CrossRef]
- Es-Soufi, H.; Berdimurodov, E.; Sayyed, M.I.; Bih, L. Nanoceramic-based coatings for corrosion protection: A review on synthesis, mechanisms, and applications. Environ. Sci. Pollut. Res. 2024, 1–27. [Google Scholar] [CrossRef] [PubMed]
- Figueira, R.B. Hybrid Sol–gel Coatings for Corrosion Mitigation: A Critical Review. Polymers 2020, 12, 689. [Google Scholar] [CrossRef] [PubMed]
- Macera, L.; Pullini, D.; Boschetto, A.; Bottini, L.; Mingazzini, C.; Falleti, G.L. Sol–Gel Silica Coatings for Corrosion Protection of Aluminum Parts Manufactured by Selective Laser Melting (SLM) Technology. Coatings 2023, 13, 1081. [Google Scholar] [CrossRef]
- Oubaha, M.; Knez, M. Sol-gel strategies for hybrid materials. In World Scientific Reference of Hybrid Materials; World Scientific: Singapore, 2019; ISBN 9781860944154. [Google Scholar]
- Ovsianikov, A.; Viertl, J.; Chichkov, B.; Oubaha, M.; MacCraith, B.; Sakellari, I.; Giakoumaki, A.; Gray, D.; Vamvakaki, M.; Farsari, M.; et al. Ultra-Low Shrinkage Hybrid Photosensitive Material for Two-Photon Polymerization Microfabrication. ACS Nano 2008, 2, 2257–2262. [Google Scholar] [CrossRef]
- O’Halloran, S.; Pandit, A.; Heise, A.; Kellett, A. Two-Photon Polymerization: Fundamentals, Materials, and Chemical Modification Strategies. Adv. Sci. 2022, 10, 2204072. [Google Scholar] [CrossRef] [PubMed]
- Mohamed, A.M.A.; Abdullah, A.M.; Younan, N.A. Corrosion behavior of superhydrophobic surfaces: A review. Arab. J. Chem. 2015, 8, 749–765. [Google Scholar] [CrossRef]
- Verma, C.; Quraishi, M.; Rhee, K. Hydrophilicity and hydrophobicity consideration of organic surfactant compounds: Effect of alkyl chain length on corrosion protection. Adv. Colloid Interface Sci. 2022, 306, 102723. [Google Scholar] [CrossRef] [PubMed]
- Vazirinasab, E.; Jafari, R.; Momen, G. Application of superhydrophobic coatings as a corrosion barrier: A review. Surf. Coat. Technol. 2018, 341, 40–56. [Google Scholar] [CrossRef]
- Cullen, M.; Morshed, M.; O’sullivan, M.; MacHugh, E.; Duffy, B.; Oubaha, M. Correlation between the structure and the anticorrosion barrier properties of hybrid sol–gel coatings: Application to the protection of AA2024-T3 alloys. J. Sol-Gel Sci. Technol. 2017, 82, 801–816. [Google Scholar] [CrossRef]
- Cullen, M.; O’sullivan, M.; Kumar, A.M.; Sorour, A.A.; Duffy, B.; Oubaha, M. The role of the hydrolysis and zirconium concentration on the structure and anticorrosion performances of a hybrid silicate sol-gel coating. J. Sol-Gel Sci. Technol. 2018, 86, 553–567. [Google Scholar] [CrossRef]
- Cullen, M.; Kaworek, A.; Mohan, J.; Duffy, B.; Oubaha, M. An investigation into the Role of the Acid Catalyst on the Structure and Anticorrosion Properties of Hybrid Sol-Gel Coatings. Thin Solid Films 2021, 729, 138703. [Google Scholar] [CrossRef]
- Varma, P.R.; Colreavy, J.; Cassidy, J.; Oubaha, M.; Duffy, B.; McDonagh, C. Effect of organic chelates on the performance of hybrid sol–gel coated AA 2024-T3 aluminium alloys. Prog. Org. Coat. 2009, 66, 406–411. [Google Scholar] [CrossRef][Green Version]
- Varma, P.R.; Colreavy, J.; Cassidy, J.; Oubaha, M.; McDonagh, C.; Duffy, B. Corrosion protection of AA 2024-T3 aluminium alloys using 3, 4-diaminobenzoic acid chelated zirconium–silane hybrid sol–gels. Thin Solid Film. 2010, 518, 5753–5761. [Google Scholar] [CrossRef]
- Rodič, P.; Katić, J.; Korte, D.; Desimone, P.M.; Franko, M.; Ceré, S.M.; Metikoš-Huković, M.; Milošev, I. Effect of Cerium Ions on the Structure, Porosity and Electrochemical Properties of Si/Zr-Based Hybrid Sol–Gel Coatings Deposited on Aluminum. Metals 2018, 8, 248. [Google Scholar] [CrossRef]
- Rodič, P.; Kapun, B.; Milošev, I. The Effect of Pore Sealing in a Multilayer Si–O–Zr/Al2O3 Coating Designed to Protect Aluminium from Corrosion. Metals 2023, 13, 1960. [Google Scholar] [CrossRef]
- Rodič, P.; Zanna, S.; Milošev, I.; Marcus, P. Degradation of Sol–Gel Acrylic Coatings Based on Si and Zr Investigated Using Electrochemical Impedance, Infrared and X-Ray Photoelectron Spectroscopies. Front. Mater. 2021, 8, 756447. [Google Scholar] [CrossRef]
- Rodič, P.; Milošev, I.; Lekka, M.; Andreatta, F.; Fedrizzi, L. Corrosion behaviour and chemical stability of transparent hybrid sol-gel coatings deposited on aluminium in acidic and alkaline solutions. Prog. Org. Coat. 2018, 124, 286–295. [Google Scholar] [CrossRef]
- Bae, J.-Y.; Yang, S.; Jin, J.H.; Jung, K.; Kim, J.-S.; Bae, B.-S. Fabrication of transparent methacrylate zirconium siloxane hybrid materials using sol–gel synthesized oligosiloxane resin. J. Sol-Gel Sci. Technol. 2010, 58, 114–120. [Google Scholar] [CrossRef]
- Hayes, R.; Ahmed, A.; Edge, T.; Zhang, H. Core–shell particles: Preparation, fundamentals and applications in high performance liquid chromatography. J. Chromatogr. A 2014, 1357, 36–52. [Google Scholar] [CrossRef] [PubMed]
- MacHugh, E. Development and Characterisation of High Surface Energy Microstructured Sol-gel Coatings for Sensing Applications. Ph.D. Thesis, Technological University Dublin, Dublin, Ireland, 2019. [Google Scholar] [CrossRef]
- Pouxviel, J.; Boilot, J.; Beloeil, J.; Lallemand, J. NMR study of the sol/gel polymerization. J. Non-Crystalline Solids 1987, 89, 345–360. [Google Scholar] [CrossRef]
- Sypabekova, M.; Hagemann, A.; Rho, D.; Kim, S. Review: 3-Aminopropyltriethoxysilane (APTES) Deposition Methods on Oxide Surfaces in Solution and Vapor Phases for Biosensing Applications. Biosensors 2022, 13, 36. [Google Scholar] [CrossRef] [PubMed]
- Rodič, P.; Iskra, J.; Milošev, I. Study of a sol–gel process in the preparation of hybrid coatings for corrosion protection using FTIR and 1H NMR methods. J. Non-Cryst. Solids 2014, 396–397, 25–35. [Google Scholar] [CrossRef]
- Yu, M.; Liu, Y.; Liu, J.; Li, S.; Xue, B.; Zhang, Y.; Yin, X. Effects of cerium salts on corrosion behaviors of Si–Zr hybrid sol–gel coatings. Chin. J. Aeronaut. 2015, 28, 600–608. [Google Scholar] [CrossRef]
- Agustín-Sáenz, C.; Martín-Ugarte, E.; Jorcin, J.B.; Imbuluzqueta, G.; Coloma, P.S.; Izagirre-Etxeberria, U. Effect of organic precursor in hybrid sol–gel coatings for corrosion protection and the application on hot dip galvanised steel. J. Sol-Gel Sci. Technol. 2019, 89, 264–283. [Google Scholar] [CrossRef]
- Zhang, P.; Yin, X.; Li, W.; Feng, L. Preparation, properties and formation mechanism of zirconium-Si hybrid high transmittance hydrophobic coating. Colloids Surfaces A Physicochem. Eng. Asp. 2021, 631, 127649. [Google Scholar] [CrossRef]
- Suleiman, R.K.; Kumar, A.M.; Rahman, M.M.; Al-Badour, F.A.; Meliani, M.H.; Saleh, T.A. Effect of metal oxide additives on the structural and barrier properties of a hybrid organosilicon sol-gel coating in 3.5% NaCl medium. Prog. Org. Coat. 2020, 148, 105825. [Google Scholar] [CrossRef]
- Wang, F.; Ling, B.; Li, Q.; Abouhany, R. Dual roles of 3-aminopropyltriethoxysilane in preparing molecularly imprinted silica particles for specific recognition of target molecules. RSC Adv. 2020, 10, 20368–20373. [Google Scholar] [CrossRef] [PubMed]
- Poddighe, M.; Innocenzi, P. Hydrophobic Thin Films from Sol–Gel Processing: A Critical Review. Materials 2021, 14, 6799. [Google Scholar] [CrossRef]
- Wang, F.; Nimmo, S.L.; Cao, B.; Mao, C. Oxide formation on biological nanostructures via a structure-directing agent: Towards an understanding of precise structural transcription. Chem. Sci. 2012, 3, 2639–2645. [Google Scholar] [CrossRef]














| Sample | Curing Temperature (°C) | Surface Roughness (nm) | Error Bar (nm) |
|---|---|---|---|
| APTES 5% | 100 | 120 | ±10 |
| 130 | 92 | ±10 | |
| 150 | 84 | ±5 | |
| GPTMS 5% | 100 | 80 | ±10 |
| 130 | 52 | ±5 | |
| 150 | 45 | ±5 | |
| TEOS 5% | 100 | 100 | ±10 |
| 130 | 85 | ±5 | |
| 150 | 65 | ±5 | |
| VTES 5% | 100 | 68 | ±10 |
| 130 | 57 | ±5 | |
| 150 | 35 | ±5 |
| Chemical Name | Acronym | Supplier | Purity |
|---|---|---|---|
| 3-trimethoxypropyltrimethoxysilane | MAPTMS | Safic-Alcan | 98 |
| Zirconium n-propoxide | ZPO | ABCR | 70 |
| Methacylic acid | MAAH | Merck | 99 |
| Tetraethyl Orthosilicate | TEOS | Merck | 98 |
| Vinyltriethoxysilane | VTES | Merck | 97 |
| 3-Glycidyloxypropyltrimethoxysilane | GPTMS | Merck | 98 |
| 3-Aminopropyltriethoxysilane | APTES | Merck | 99 |
Disclaimer/Publisher’s Note: The statements, opinions and data contained in all publications are solely those of the individual author(s) and contributor(s) and not of MDPI and/or the editor(s). MDPI and/or the editor(s) disclaim responsibility for any injury to people or property resulting from any ideas, methods, instructions or products referred to in the content. |
© 2024 by the authors. Licensee MDPI, Basel, Switzerland. This article is an open access article distributed under the terms and conditions of the Creative Commons Attribution (CC BY) license (https://creativecommons.org/licenses/by/4.0/).
Share and Cite
Alwael, H.; MacHugh, E.; El-Shahawi, M.S.; Oubaha, M. Investigations on the Impact of a Series of Alkoxysilane Precursors on the Structure, Morphology and Wettability of an Established Zirconium-Modified Hybrid Anticorrosion Sol–Gel Coating. Gels 2024, 10, 315. https://doi.org/10.3390/gels10050315
Alwael H, MacHugh E, El-Shahawi MS, Oubaha M. Investigations on the Impact of a Series of Alkoxysilane Precursors on the Structure, Morphology and Wettability of an Established Zirconium-Modified Hybrid Anticorrosion Sol–Gel Coating. Gels. 2024; 10(5):315. https://doi.org/10.3390/gels10050315
Chicago/Turabian StyleAlwael, H., E. MacHugh, M. S. El-Shahawi, and M. Oubaha. 2024. "Investigations on the Impact of a Series of Alkoxysilane Precursors on the Structure, Morphology and Wettability of an Established Zirconium-Modified Hybrid Anticorrosion Sol–Gel Coating" Gels 10, no. 5: 315. https://doi.org/10.3390/gels10050315
APA StyleAlwael, H., MacHugh, E., El-Shahawi, M. S., & Oubaha, M. (2024). Investigations on the Impact of a Series of Alkoxysilane Precursors on the Structure, Morphology and Wettability of an Established Zirconium-Modified Hybrid Anticorrosion Sol–Gel Coating. Gels, 10(5), 315. https://doi.org/10.3390/gels10050315
