Influence of Gelatin and Propolis Extract on Honey Gummy Jelly Properties: Optimization Using D-Optimal Mixture Design
Abstract
1. Introduction
2. Results and Discussion
2.1. Just-About-Right (JAR) Analysis on Basis HGJ Formulation
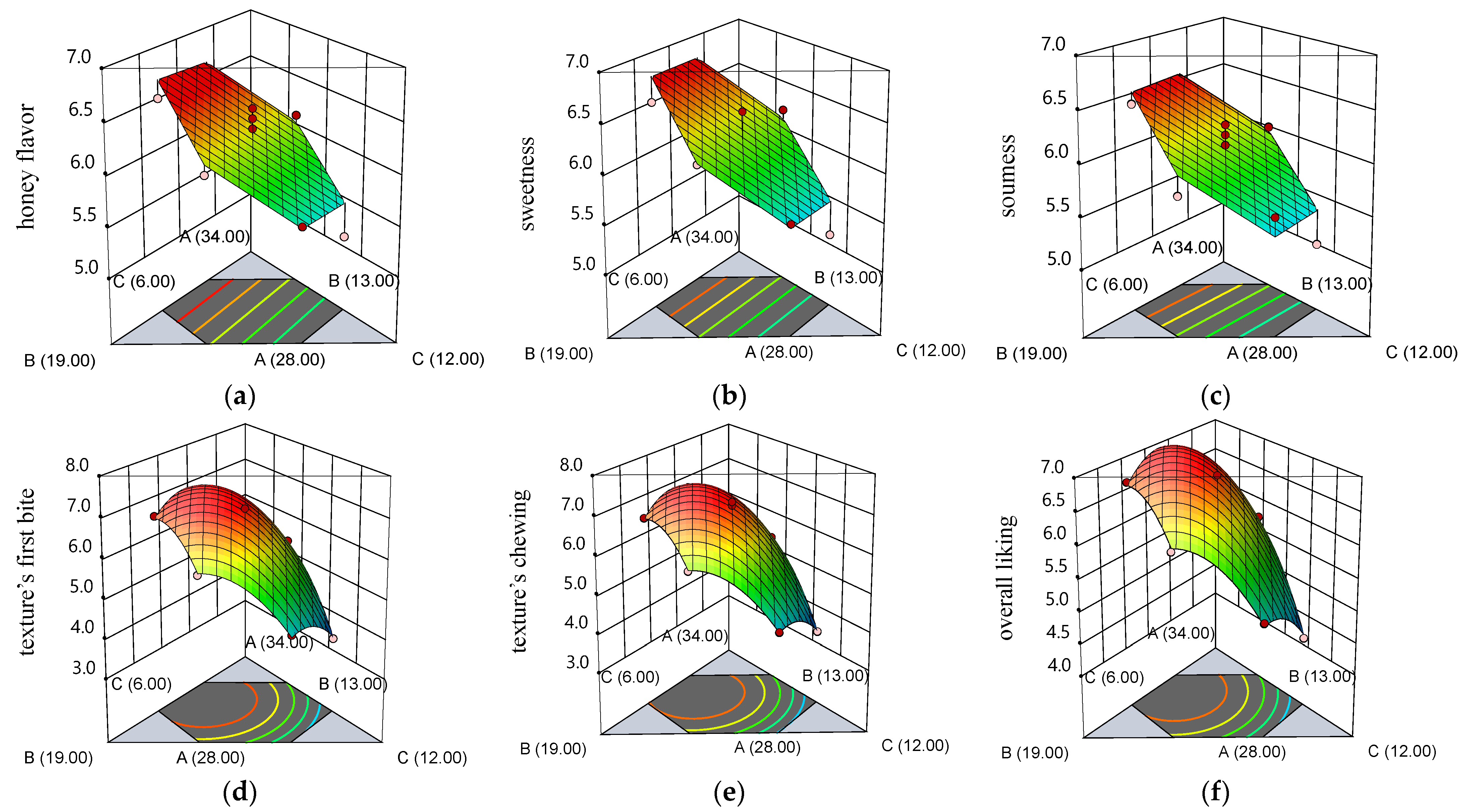
2.2. Optimization Results of HGJ
2.2.1. Color Values of HGJ
2.2.2. Texture Profile Analysis (TPA) of HGJ
2.2.3. Moisture Content and Water Activity of HGJ
2.2.4. Total Phenolic Content (TPC), Total Flavonoid Content (TFC), and Antioxidant Activities of HGJ
2.2.5. Sensory Evaluation of HGJ
2.3. Model Fitting for the Optimization of HGJ Formula
2.3.1. Optimization Model
2.3.2. Optimized HGJ Formulation
2.3.3. Consumer Acceptance
2.4. Fortification of Optimized HGJ with Propolis Extract
3. Conclusions
4. Materials and Methods
4.1. Materials
4.2. Propolis Extraction
4.3. Preparation of HGJ for JAR Analysis
4.4. Optimization of HGJ Formulation
4.5. Propolis Fortification to the Optimized HGJ Formulation
4.6. Analysis Methods
4.6.1. Color Measurement
4.6.2. Texture Profile Analysis (TPA)
4.6.3. Moisture Content and Water Activity
4.6.4. Total Phenolic Content (TPC), Total Flavonoid Content (TFC), and Antioxidant Activities
- 1.
- TPC
- 2.
- TFC
- 3.
- Antioxidant activities
4.6.5. Antimicrobial Activity of HGJ
4.7. Sensory Evaluation and Consumer Acceptance
4.8. Statistical Analysis
Supplementary Materials
Author Contributions
Funding
Institutional Review Board Statement
Informed Consent Statement
Data Availability Statement
Acknowledgments
Conflicts of Interest
References
- Renaldi, G.; Junsara, K.; Jannu, T.; Sirinupong, N.; Samakradhamrongthai, R.S. Physicochemical, textural, and sensory qualities of pectin/gelatin gummy jelly incorporated with Garcinia atroviridis and its consumer acceptability. Int. J. Gastron. Food Sci. 2022, 28, 100505. [Google Scholar] [CrossRef]
- Tireki, S.; Sumnu, G.; Sahin, S. Correlation between physical and sensorial properties of gummy confections with different formulations during storage. J. Food Sci. Technol. 2021, 58, 3397–3408. [Google Scholar] [CrossRef] [PubMed]
- Teixeira-Lemos, E.; Almeida, A.R.; Vouga, B.; Morais, C.; Correia, I.; Pereira, P.; Guiné, R.P. Development and characterization of healthy gummy jellies containing natural fruits. Open Agric. 2021, 6, 466–478. [Google Scholar] [CrossRef]
- Rippe, J.M.; Angelopoulos, T.J. Relationship between added sugars consumption and chronic disease risk factors: Current understanding. Nutrients 2016, 8, 697. [Google Scholar] [CrossRef] [PubMed]
- Konar, N.; Gunes, R.; Palabiyik, I.; Toker, O.S. Health conscious consumers and sugar confectionery: Present aspects and projections. Trends Food Sci. Technol. 2022, 123, 57–68. [Google Scholar] [CrossRef]
- Rivero, R.; Archaina, D.; Sosa, N.; Leiva, G.; Baldi Coronel, B.; Schebor, C. Development of healthy gummy jellies containing honey and propolis. J. Sci. Food Agric. 2020, 100, 1030–1037. [Google Scholar] [CrossRef] [PubMed]
- Kowalczuk, I.; Gębski, J.; Stangierska, D.; Szymańska, A. Determinants of Honey and other bee products use for culinary, cosmetic, and medical purposes. Nutrients 2023, 15, 737. [Google Scholar] [CrossRef] [PubMed]
- Habryka, C.; Socha, R.; Juszczak, L. The effect of enriching honey with propolis on the antioxidant activity, sensory characteristics, and quality parameters. Molecules 2020, 25, 1176. [Google Scholar] [CrossRef] [PubMed]
- Nayaka, N.M.D.; Fidrianny, I.; Hartati, R.; Singgih, M. Antioxidant and antibacterial activities of multiflora honey extracts from the Indonesian Apis cerana bee. J. Taibah Univ. Med. Sci. 2020, 15, 211–217. [Google Scholar] [CrossRef]
- Ding, S.; Yang, J. The effects of sugar alcohols on rheological properties, functionalities, and texture in baked products–A review. Trends Food Sci. Technol. 2021, 111, 670–679. [Google Scholar] [CrossRef]
- Tau, T.; Gunasekaran, S. Thermorheological evaluation of gelation of gelatin with sugar substitutes. LWT-Food Sci. Technol. 2016, 69, 570–578. [Google Scholar] [CrossRef]
- Song, D.-H.; Yang, N.-E.; Ham, Y.-K.; Kim, H.-W. Physicochemical properties of mixed gelatin gels with soy and whey proteins. Gels 2024, 10, 124. [Google Scholar] [CrossRef] [PubMed]
- Forte, A.; D’amico, F.; Charalambides, M.; Dini, D.; Williams, J. Modelling and experimental characterisation of the rate dependent fracture properties of gelatine gels. Food Hydrocoll. 2015, 46, 180–190. [Google Scholar] [CrossRef]
- Rivero, R.; Archaina, D.; Sosa, N.; Schebor, C. Development and characterization of two gelatin candies with alternative sweeteners and fruit bioactive compounds. LWT 2021, 141, 110894. [Google Scholar] [CrossRef]
- Ortega-Heras, M.; Gómez, I.; de Pablos-Alcalde, S.; González-Sanjosé, M.L. Application of the just-about-right scales in the development of new healthy whole-wheat muffins by the addition of a product obtained from white and red grape pomace. Foods 2019, 8, 419. [Google Scholar] [CrossRef]
- Samakradhamrongthai, R.S.; Wanikorn, B.; Nortuy, N.; Jannu, T.; Renaldi, G. Application of mannitol and kale protein extract in the development of Sung Yod rice bread and its stability during storage. Int. J. Food Sci. Technol. 2023, 58, 1506–1515. [Google Scholar] [CrossRef]
- Gunes, R.; Palabiyik, I.; Konar, N.; Toker, O.S. Soft confectionery products: Quality parameters, interactions with processing and ingredients. Food Chem. 2022, 385, 132735. [Google Scholar] [CrossRef]
- Mutlu, C.; Tontul, S.A.; Erbaş, M. Production of a minimally processed jelly candy for children using honey instead of sugar. LWT 2018, 93, 499–505. [Google Scholar] [CrossRef]
- Hamedi, F.; Mohebbi, M.; Shahidi, F.; Azarpazhooh, E. Ultrasound-assisted osmotic treatment of model food impregnated with pomegranate peel phenolic compounds: Mass transfer, texture, and phenolic evaluations. Food Bioprocess Technol. 2018, 11, 1061–1074. [Google Scholar] [CrossRef]
- Khouryieh, H.A.; Aramouni, F.M.; Herald, T.J. Physical, chemical and sensory properties of sugar-free jelly. J. Food Qual. 2005, 28, 179–190. [Google Scholar] [CrossRef]
- Kreungngern, D.; Chaikham, P. Rheological, physical and sensory attributes of Chao Kuay jelly added with gelling agents. Int. Food Res. J. 2016, 23, 1474. [Google Scholar]
- Calvarro, J.; Perez-Palacios, T.; Ruiz, J. Modification of gelatin functionality for culinary applications by using transglutaminase. Int. J. Gastron. Food Sci. 2016, 5, 27–32. [Google Scholar] [CrossRef]
- Chandra, M.; Shamasundar, B. Texture profile analysis and functional properties of gelatin from the skin of three species of fresh water fish. Int. J. Food Prop. 2015, 18, 572–584. [Google Scholar] [CrossRef]
- Cebin, A.V.; Bunić, M.; Jarić, A.M.; Šeremet, D.; Komes, D. Physicochemical and Sensory Stability Evaluation of Gummy Candies Fortified with Mountain Germander Extract and Prebiotics. Polymers 2024, 16, 259. [Google Scholar] [CrossRef] [PubMed]
- Wang, R.; Hartel, R.W. Confectionery gels: Gelling Behavior and Gel Properties of Gelatin in Concentrated Sugar Solutions. Food Hydrocoll. 2022, 124 Pt A, 107132. [Google Scholar] [CrossRef]
- Avallone, P.R.; Romano, M.; Sarrica, A.; Delmonte, M.; Pasquino, R.; Grizzuti, N. Effect of Sugars on Gelation Kinetics of Gelatin Gels. Fluids 2022, 7, 163. [Google Scholar] [CrossRef]
- Bouphun, T.; Sassa-deepaeng, T.; Krueaboo, R. Effect of sucrose replacer on physicochemical properties and sensory analysis of rose tea gummy jelly. Int. Food Res. J. 2023, 30, 426–438. [Google Scholar] [CrossRef]
- Samakradhamrongthai, R.S.; Jannu, T. Effect of stevia, xylitol, and corn syrup in the development of velvet tamarind (Dialium indum L) chewy candy. Food Chem. 2021, 352, 129353. [Google Scholar] [CrossRef] [PubMed]
- Ergun, R.; Lietha, R.; Hartel, R.W. Moisture and shelf life in sugar confections. Crit. Rev. Food Sci. Nutr. 2010, 50, 162–192. [Google Scholar] [CrossRef]
- Kocot, J.; Kiełczykowska, M.; Luchowska-Kocot, D.; Kurzepa, J.; Musik, I. Antioxidant Potential of Propolis, Bee Pollen, and Royal Jelly: Possible Medical Application. Oxid. Med. Cell. Longev. 2018, 2018, 7074209. [Google Scholar] [CrossRef]
- Machado De-Melo, A.A.; Almeida-Muradian, L.B.d.; Sancho, M.T.; Pascual-Maté, A. Composition and properties of Apis mellifera honey: A review. J. Apic. Res. 2018, 57, 5–37. [Google Scholar] [CrossRef]
- Pobiega, K.; Kraśniewska, K.; Gniewosz, M. Application of propolis in antimicrobial and antioxidative protection of food quality–A review. Trends Food Sci. Technol. 2019, 83, 53–62. [Google Scholar] [CrossRef]
- Apak, R.A. Current Issues in Antioxidant Measurement. J. Agric. Food Chem. 2019, 67, 9187–9202. [Google Scholar] [CrossRef] [PubMed]
- Rumpf, J.; Burger, R.; Schulze, M. Statistical evaluation of DPPH, ABTS, FRAP, and Folin-Ciocalteu assays to assess the antioxidant capacity of lignins. Int. J. Biol. Macromol. 2023, 233, 123470. [Google Scholar] [CrossRef] [PubMed]
- Nguyen, H.T.L.; Katopo, L.; Pang, E.; Mantri, N.; Kasapis, S. Structural variation in gelatin networks from low to high-solid systems effected by honey addition. Food Res. Int. 2019, 121, 319–325. [Google Scholar] [CrossRef] [PubMed]
- Cano-Lamadrid, M.; Calín-Sánchez, Á.; Clemente-Villalba, J.; Hernández, F.; Carbonell-Barrachina, Á.A.; Sendra, E.; Wojdyło, A. Quality Parameters and Consumer Acceptance of Jelly Candies Based on Pomegranate Juice “Mollar de Elche”. Foods 2020, 9, 516. [Google Scholar] [CrossRef] [PubMed]
- Periche, A.; Heredia, A.; Escriche, I.; Andrés, A.; Castelló, M. Potential use of isomaltulose to produce healthier marshmallows. LWT-Food Sci. Technol. 2015, 62, 605–612. [Google Scholar] [CrossRef]
- Osés, S.; Pascual-Maté, A.; Fernández-Muiño, M.; López-Díaz, T.; Sancho, M. Bioactive properties of honey with propolis. Food Chem. 2016, 196, 1215–1223. [Google Scholar] [CrossRef] [PubMed]
- Liang, T.; Liang, Z.; Wu, S.; Ding, Y.; Wu, Q.; Gu, B. Global prevalence of Staphylococcus aureus in food products and its relationship with the occurrence and development of diabetes mellitus. Med. Adv. 2023, 1, 53–78. [Google Scholar] [CrossRef]
- Przybyłek, I.; Karpiński, T.M. Antibacterial properties of propolis. Molecules 2019, 24, 2047. [Google Scholar] [CrossRef]
- Irigoiti, Y.; Navarro, A.; Yamul, D.; Libonatti, C.; Tabera, A.; Basualdo, M. The use of propolis as a functional food ingredient: A review. Trends Food Sci. Technol. 2021, 115, 297–306. [Google Scholar] [CrossRef]
- Sa-Eed, A.; Donkor, E.S.; Arhin, R.E.; Tetteh-Quarcoo, P.B.; Attah, S.K.; Kabotso, D.E.; Kotey, F.C.; Dayie, N.T. In vitro antimicrobial activity of crude propolis extracts and fractions. FEMS Microbes 2023, 4, xtad010. [Google Scholar] [CrossRef] [PubMed]
- Thaweboon, S.; Thaweboon, B.; Kaypetch, R. Antimicrobial activity of jasmine oil against oral microorganisms. IOP Conf. Ser. Mater. Sci. Eng. 2018, 307, 012034. [Google Scholar] [CrossRef]
- Meilgaard, M.C.; Carr, B.T.; Civille, G.V. Sensory Evaluation Techniques; CRC Press: Boca Raton, FL, USA, 1999. [Google Scholar] [CrossRef]
- Ares, G.; Varela, P. Methods in Consumer Research, Volume 1: New Approaches to Classic Methods; Woodhead Publishing: Sawston, UK, 2018. [Google Scholar]




| HGJ | Color Value | Hardness 103 g.force) | Adhesiveness 103 g.sec) | Springiness | Cohesiveness | Gumminess 103 N.mm) | Chewiness 103 N.mm) | Resilience | ||
|---|---|---|---|---|---|---|---|---|---|---|
| L* | a* | b* | ||||||||
| 1 | 29.72 ± 0.18 f | 24.35 ± 0.27 a | 38.33 ± 1.51 f | 31.35 ± 2.37 a | −0.50 ± 0.31 a | 0.95 ± 0.04 ab | 0.78 ± 0.06 a | 24.34 ± 1.06 a | 23.03 ± 1.39 a | 0.66 ± 0.02 a |
| 2 | 49.97 ± 0.37 a | 19.01 ± 0.20 b | 57.11 ± 4.50 a | 10.03 ± 4.33 e | −0.65 ± 0.31 a | 1.00 ± 0.55 a | 0.78 ± 0.16 ab | 7.29 ± 2.86 d | 6.44 ± 2.08 e | 0.46 ± 0.06 d |
| 3 | 35.27 ± 0.27 e | 13.01 ± 0.42 f | 38.03 ± 0.26 f | 27.46 ± 1.55 b | −0.60 ± 0.07 a | 0.85 ± 0.04 ab | 0.70 ± 0.08 abc | 19.13 ± 1.31 b | 16.27 ± 1.47 bc | 0.63 ± 0.05 a |
| 4 | 36.36 ± 0.69 d | 18.94 ± 0.89 b | 45.58 ± 0.96 bcd | 10.33 ± 0.73 e | −0.68 ± 0.23 a | 0.77 ± 0.04 b | 0.72 ± 0.04 abc | 7.46 ± 0.78 d | 5.76 ± 0.68 e | 0.44 ± 0.030 d |
| 5 | 39.51 ± 1.20 b | 20.00 ± 0.60 b | 52.00 ± 2.73 ab | 21.69 ± 4.32 c | −1.05 ± 0.26 b | 0.79 ± 0.13 b | 0.72 ± 0.08 abc | 15.28 ± 2.52 c | 12.27 ± 3.13 d | 0.59 ± 0.04 b |
| 6 | 40.57 ± 0.49 b | 16.61 ± 0.71 d | 48.42 ± 4.58 bc | 18.55 ± 2.04 d | −1.23 ± 0.15 b | 0.77 ± 0.05 b | 0.74 ± 0.04 abc | 13.67 ± 1.42 c | 10.59 ± 1.63 d | 0.55 ± 0.02 c |
| 7 | 36.79 ± 0.52 d | 14.46 ± 0.61 e | 40.74 ± 2.63 ef | 29.91 ± 1.54 ab | −0.63 ± 0.09 a | 0.85 ± 0.03 ab | 0.68 ± 0.06 c | 20.23 ± 2.39 b | 17.17 ± 1.94 bc | 0.63 ± 0.04 a |
| 8 | 37.90 ± 0.67 c | 13.74 ± 0.92 ef | 40.13 ± 7.73 ef | 30.42 ± 3.78 a | −0.59 ± 0.04 a | 0.77 ± 0.11 b | 0.67 ± 0.03 c | 20.41 ± 2.91 b | 15.68 ± 2.50 c | 0.66 ± 0.04 a |
| 9 | 35.00 ± 0.56 e | 17.76 ± 0.36 c | 42.09 ± 2.24 def | 30.18 ± 2.94 a | −1.08 ± 0.34 b | 0.86 ± 0.03 ab | 0.70 ± 0.09 bc | 20.95 ± 2.47 b | 18.00 ± 2.14 b | 0.62 ± 0.02 ab |
| p-value | <0.001 | <0.001 | <0.001 | <0.001 | <0.001 | 0.108 | 0.022 | <0.001 | <0.001 | <0.001 |
| HGJ | Moisture Content (%) | Aw | TPC (mg GAE/g) | TFC (mg CE/g) | Antioxidant Activities | ||
|---|---|---|---|---|---|---|---|
| DPPH (μg TE/g) | FRAP (μg TE/g) | ABTS (μg TE/g) | |||||
| 1 | 28.84 ± 0.63 bc | 0.75 ± 0.022 a | 200.89 ± 1.31 c | 38.58 ± 0.60 a | 8.32 ± 0.11 a | 28.29 ± 0.33 d | 136.70 ± 2.28 abc |
| 2 | 28.22 ± 0.34 cd | 0.68 ± 0.008 c | 201.40 ± 2.64 c | 36.61 ± 0.25 b | 6.64 ± 0.12 c | 29.19 ± 0.52 d | 138.73 ± 1.83 ab |
| 3 | 30.96 ± 0.79 a | 0.74 ± 0.002 a | 224.25 ± 9.00 a | 35.25 ± 1.64 bc | 6.48 ± 0.21 cd | 41.42 ± 1.21 a | 135.15 ± 4.29 bcd |
| 4 | 29.57 ± 0.17 b | 0.67 ± 0.003 c | 205.97 ± 3.03 c | 36.46 ± 0.73 b | 6.90 ± 0.19 b | 29.76 ± 1.40 d | 140.22 ± 1.64 a |
| 5 | 27.82 ± 0.32 d | 0.67 ± 0.003 c | 206.65 ± 5.40 bc | 38.63 ± 1.10 a | 5.37 ± 0.06 e | 32.23 ± 2.00 c | 128.57 ± 1.21 fg |
| 6 | 28.86 ± 0.45 bc | 0.65 ± 0.004 d | 213.87 ± 4.49 b | 31.01 ± 1.51 d | 6.59 ± 0.14 cd | 35.79 ± 1.49 b | 132.40 ± 4.72 cdf |
| 7 | 27.86 ± 0.08 d | 0.67 ± 0.003 c | 221.58 ± 2.00 a | 34.34 ± 1.09 c | 6.39 ± 0.05 d | 41.54 ± 0.91 a | 126.87 ± 0.11 g |
| 8 | 28.08 ± 0.71 cd | 0.72 ± 0.001 b | 222.53 ± 1.23 a | 35.11 ± 1.06 bc | 6.39 ± 0.04 d | 41.64 ± 0.55 a | 127.24 ± 0.47 g |
| 9 | 29.50 ± 0.40 b | 0.66 ± 0.003 c | 205.14 ± 4.35 c | 32.05 ± 0.79 d | 8.27 ± 0.10 a | 29.90 ± 1.06 d | 131.26 ± 2.04 dfg |
| p-value | <0.001 | <0.001 | <0.001 | <0.001 | <0.001 | <0.001 | <0.001 |
| HGJ | Color | Honey Aroma | Honey Flavor | Sweetness | Sourness | Texture’s First Bite | Texture’s Chewing | Overall Liking |
|---|---|---|---|---|---|---|---|---|
| 1 | 5.6 ± 1.8 b | 5.6 ± 1.6 b | 5.1 ± 1.8 c | 5.1 ± 1.8 b | 5.0 ± 1.8 d | 3.3 ± 2.0 d | 3.3 ± 1.9 d | 4.1 ± 1.8 d |
| 2 | 7.0 ± 1.4 a | 6.1 ± 1.3 ab | 6.5 ± 1.0 a | 6.7 ± 1.1 a | 6.5 ± 1.2 a | 6.7 ± 1.2 a | 6.7 ± 1.2 a | 6.8 ± 0.9 a |
| 3 | 6.8 ± 1.5 a | 6.4 ± 1.2 a | 6.2 ± 1.6 a | 6.1 ± 1.5 a | 6.0 ± 1.3 abc | 6.3 ± 1.3 a | 6.3 ± 1.3 a | 6.3 ± 1.1 a |
| 4 | 7.1 ± 1.2 a | 6.2 ± 1.3 a | 6.5 ± 1.3 a | 6.5 ± 1.4 a | 6.4 ± 1.5 a | 6.5 ± 1.4 a | 6.4 ± 1.5 a | 6.6 ± 1.3 a |
| 5 | 7.1 ± 1.0 a | 5.9 ± 1.4 ab | 6.1 ± 1.5 a | 6.2 ± 1.4 a | 6.0 ± 1.7 abc | 5.3 ± 1.7 b | 5.3 ± 1.8 b | 5.7 ± 1.4 b |
| 6 | 6.7 ± 1.3 a | 6.0 ± 1.5 ab | 6.0 ± 1.6 a | 6.1 ± 1.5 a | 5.7 ± 1.5 ab | 5.6 ± 1.6 a | 5.6 ± 1.6 a | 5.9 ± 1.2 a |
| 7 | 7.1 ± 1.1 a | 6.1 ± 1.4 ab | 6.4 ± 1.6 a | 6.4 ± 1.6 a | 6.1 ± 1.5 ab | 6.7 ± 1.2 a | 6.7 ± 1.4 a | 6.7 ± 1.1 a |
| 8 | 7.2 ± 1.3 a | 5.9 ± 1.3 ab | 6.3 ± 1.3 ab | 6.4 ± 1.5 a | 6.2 ± 1.5 bc | 6.7 ± 1.3 b | 6.8 ± 1.1 b | 6.6 ± 1.1 b |
| 9 | 6.8 ± 1.1 a | 5.9 ± 1.6 ab | 5.5 ± 1.7 bc | 5.5 ± 1.6 b | 5.5 ± 1.5 cd | 4.1 ± 2.0 c | 4.0 ± 2.0 c | 4.8 ± 1.7 c |
| p-value | <0.001 | <0.001 | <0.001 | <0.001 | <0.001 | <0.001 | <0.001 | <0.001 |
| Responses | Regression Equation | R2 | p-Value |
|---|---|---|---|
| L* | +8.01 × A − 11.40 × B + 11.04 × C − 1.12 × A × C + 1.24 × B × C | 0.7352 | 0.0480 |
| a* | +7.57 × A + 30.11 × B + 45.63 × C − 1.14 × A × B − 1.16 × A × C − 1.98 × B × C | 0.9259 | 0.0153 |
| b* | +26.16 × A + 49.29 × B + 46.62 × C − 2.64 × A × B − 2.49 × A × C − 0.58 × B × C | 0.9470 | 0.0094 |
| Hardness (×103 g.force) | −18.07 × A − 51.49 × B + 60.91 × C + 2.29 × A × B + 2.29 × A × C + 2.11 × B × C | 0.9736 | 0.0033 |
| Adhesiveness (×103 g.sec) | −1.08 × A − 2.61 × B − 0.47 × C +0.13 × A × B +63.32 × A × C − 4.94 × B × C | 0.8403 | 0.0471 |
| 103 N.mm) | −11.64 × A − 29.05 × B − 34.69 × C + 1.36 × A × B + 1.45 × A × C + 1.01 × B × C | 0.9874 | 0.0011 |
| Resilience | −0.14 × A − 0.39 × B − 0.72 × C + 0.02 × A × B + 0.03 × A × C + 0.02 × B × C | 0.9673 | 0.0046 |
| Total phenolic com-pound (mg GAE/g) | −91.34 × A − 270.19 × B − 620.04 × C + 12.53 × A × B + 19.52 × A × C + 19.36 × B × C | 0.9844 | 0.0015 |
| Total flavonoid com-pound (mg CE/g) | − 0.74 × A + 3.50 × B + 5.03 × C + 0.02 × A × B + 0.14 × A × C − 0.65 × B × C | 0.9694 | 0.0041 |
| Honey flavor | +0.15 × A + 0.17 × B − 0.14 × C | 0.7930 | 0.0089 |
| Sweetness | +0.16 × A + 0.16 × B − 0.16 × C | 0.8169 | 0.0061 |
| Sourness | +0.16 × A + 0.15 × B − 0.15 × C | 0.8201 | 0.0058 |
| Texture’s first bite | − 1.69 × A − 6.78 × B − 10.84 × C + 0.28 × A × B + 0.29 × A × C + 0.42 × B × C | 0.9740 | 0.0032 |
| Texture’s chewing | −1.76 × A − 6.99 × B − 11.57 × C + 0.29 × A × B + 0.31 × A × C + 0.44 × B × C | 0.9707 | 0.0039 |
| Overall liking | −1.04 × A − 4.74 × B − 7.47 × C + 0.19 × A × B + 0.19 × A × C + 0.30 × B × C | 0.9550 | 0.0063 |
| Sample | TPC (mg GAE/g) | TFC (mg CE/g) | Antioxidant Activities | ||
|---|---|---|---|---|---|
| DPPH (μg TE/g) | FRAP (μg TE/g) | ABTS (μg TE/g) | |||
| HGJ | 224.25 ± 9.00 b | 35.21 ± 1.64 b | 648.47 ± 0.70 b | 41.42 ± 1.60 b | 135.15 ± 0.29 b |
| HGJ with 1% propolis extract | 323.70 ± 0.16 a | 45.40 ± 0.28 a | 704.20 ± 0.54 a | 44.80 ± 0.58 a | 148.81 ± 0.56 a |
| HGJ with 2% propolis extract | 313.93 ± 0.21 a | 45.53 ± 0.05 a | 705.31 ± 0.58 a | 45.46 ± 10.58 a | 149.15 ± 0.01 a |
| p-value | <0.001 | <0.001 | 0.002 | 0.001 | 0.002 |
| Sample | Attributes | |||||||
|---|---|---|---|---|---|---|---|---|
| Color | Honey Aroma | Honey Flavor | Sweetnessns | Sourness | Texture’s First Bite | Texture’s Chewing | Overall Liking | |
| HGJ | 7.8 ± 0.8 a | 7.4 ± 1.3 a | 7.4 ± 1.3 a | 7.3 ± 1.3 | 7.2 ± 1.2 a | 7.5 ± 1.3 a | 7.5 ± 1.3 a | 7.6 ± 1.2 a |
| HGJ with 1% propolis extract | 7.3 ± 1.0 b | 6.9 ± 1.3 b | 7.4 ± 1.1 a | 7.2 ± 1.1 | 7.1 ± 1.0 a | 7.1 ± 1.2 ab | 7.3 ± 1.2 a | 7.2 ± 1.2 a |
| HGJ with 2% propolis extract | 7.0 ± 1.1 b | 6.7 ± 1.0 b | 6.6 ± 1.3 b | 6.8 ± 1.2 | 6.5 ± 1.3 b | 6.6 ± 1.4 b | 6.6 ± 1.2 b | 6.6 ± 1.4 b |
| p-value | 0.002 | 0.003 | 0.001 | 0.100 | 0.011 | 0.005 | 0.002 | <0.001 |
Disclaimer/Publisher’s Note: The statements, opinions and data contained in all publications are solely those of the individual author(s) and contributor(s) and not of MDPI and/or the editor(s). MDPI and/or the editor(s) disclaim responsibility for any injury to people or property resulting from any ideas, methods, instructions or products referred to in the content. |
© 2024 by the authors. Licensee MDPI, Basel, Switzerland. This article is an open access article distributed under the terms and conditions of the Creative Commons Attribution (CC BY) license (https://creativecommons.org/licenses/by/4.0/).
Share and Cite
Kaewpetch, K.; Yolsuriyan, S.; Disayathanoowat, T.; Phokasem, P.; Jannu, T.; Renaldi, G.; Samakradhamrongthai, R.S. Influence of Gelatin and Propolis Extract on Honey Gummy Jelly Properties: Optimization Using D-Optimal Mixture Design. Gels 2024, 10, 282. https://doi.org/10.3390/gels10040282
Kaewpetch K, Yolsuriyan S, Disayathanoowat T, Phokasem P, Jannu T, Renaldi G, Samakradhamrongthai RS. Influence of Gelatin and Propolis Extract on Honey Gummy Jelly Properties: Optimization Using D-Optimal Mixture Design. Gels. 2024; 10(4):282. https://doi.org/10.3390/gels10040282
Chicago/Turabian StyleKaewpetch, Kultida, Saowapa Yolsuriyan, Terd Disayathanoowat, Patcharin Phokasem, Taruedee Jannu, Gerry Renaldi, and Rajnibhas Sukeaw Samakradhamrongthai. 2024. "Influence of Gelatin and Propolis Extract on Honey Gummy Jelly Properties: Optimization Using D-Optimal Mixture Design" Gels 10, no. 4: 282. https://doi.org/10.3390/gels10040282
APA StyleKaewpetch, K., Yolsuriyan, S., Disayathanoowat, T., Phokasem, P., Jannu, T., Renaldi, G., & Samakradhamrongthai, R. S. (2024). Influence of Gelatin and Propolis Extract on Honey Gummy Jelly Properties: Optimization Using D-Optimal Mixture Design. Gels, 10(4), 282. https://doi.org/10.3390/gels10040282

