Stereochemical Behavior of Pyrrolo-Pyrazole Peptidomimetics Promoting Phase-Selective Supramolecular Organogels
Abstract
1. Introduction
2. Results and Discussion
2.1. Synthesis
2.2. Gelation Studies
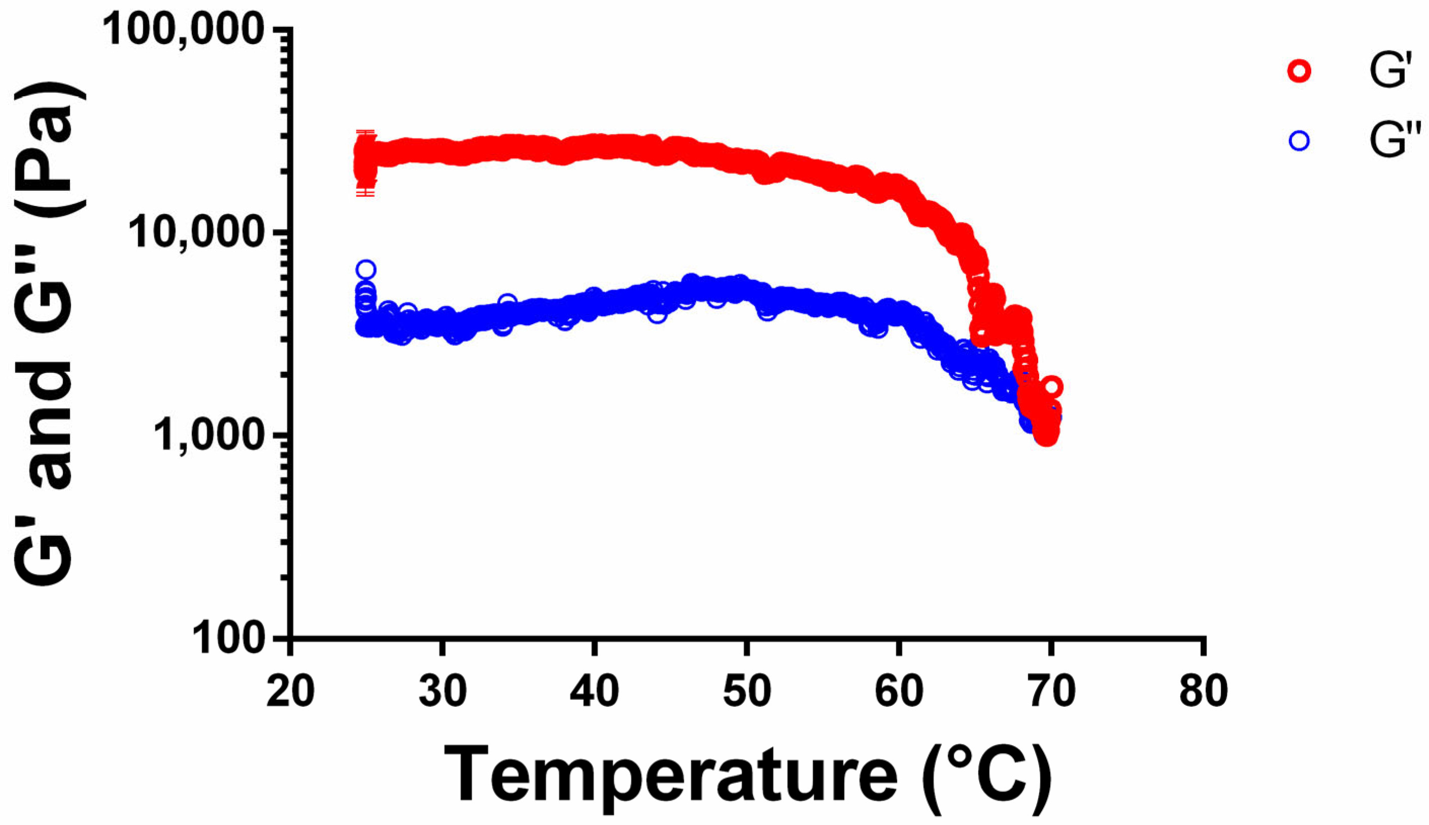
2.3. Rheology Experiments and Thermo-Reversibility
2.4. Phase-Selective Gelation (PSG)
2.5. NMR Studies
3. Conclusions
4. Materials and Methods
4.1. General
4.2. General Procedure for the Cycloaddition Reaction: Synthesis of Compound 3
4.3. General Procedure for Amino Acid Functionalization of Scaffold 3: Synthesis of Compounds 4 and 5/5′
4.4. Gelation Test
4.5. Rheology
4.6. Determination of the Thermal Gel-to-Sol Transition Temperature (Tgel)
4.7. Phase-Selective Gelation (PSG)
Supplementary Materials
Author Contributions
Funding
Institutional Review Board Statement
Informed Consent Statement
Data Availability Statement
Acknowledgments
Conflicts of Interest
References
- Hu, X.; Liao, M.; Gong, H.; Zhang, L.; Cox, H.; Waigh, T.A.; Lu, J.R. Recent advances in short peptide self-assembly: From rational design to novel applications. Curr. Op. Coll. Inter. Sci. 2020, 45, 1. [Google Scholar] [CrossRef]
- Mondal, S.; Das, S.; Nandi, A.K. A review on recent advances in polymer and peptide hydrogels. Soft Matter 2020, 16, 1404. [Google Scholar] [CrossRef] [PubMed]
- Li, T.; Lu, X.M.; Zhang, M.R.; Hu, K.; Li, Z. Peptide-based nanomaterials: Self-assembly, properties and applications. Bioact. Mat. 2022, 11, 268. [Google Scholar] [CrossRef] [PubMed]
- Clerici, F.; Erba, E.; Gelmi, M.L.; Pellegrino, S. Non-standard amino acids and peptides: From self-assembly to nanomaterials. Tet. Lett. 2016, 57, 5540. [Google Scholar] [CrossRef]
- Impresari, E.; Bossi, A.; Lumina, E.M.; Ortenzi, M.A.; Kothuis, J.M.; Cappelletti, G.; Maggioni, D.; Christodoulou, M.S.; Bucci, S.R.; Pellegrino, S. Fatty Acids/Tetraphenylethylene Conjugates: Hybrid AIEgens for the Preparation of Peptide-Based Supramolecular Gels. Front. Chem. 2022, 10, 927563. [Google Scholar] [CrossRef] [PubMed]
- Tomasini, C.; Castellucci, N. Peptides and peptidomimetics that behave as low molecular weight gelators. Chem Soc. Rev. 2013, 42, 156. [Google Scholar] [CrossRef] [PubMed]
- Pramanik, B.; Sahnawaz, A. Peptide-Based Low Molecular Weight Photosensitive Supramolecular Gelators. Gels 2022, 8, 533. [Google Scholar] [CrossRef] [PubMed]
- Zedighi, M.; Shrestha, N.; Mahmoudi, Z.; Khademi, Z.; Ghasempour, A.; Dehghan, H.; Fahimeh, S.; Talebi, M.; Toolabi, M.; Préat, V.; et al. Multifunctional Self-Assembled Peptide Hydrogels for Biomedical Applications. Polymers 2023, 15, 1160. [Google Scholar] [CrossRef] [PubMed]
- Podder, D.; Chowdhury, S.R.; Nandia, S.K.; Haldar, D. Tripeptide based super-organogelators: Structure and function. New J. Chem. 2019, 43, 3743. [Google Scholar] [CrossRef]
- Bhattacharya, S.; Krishnan-Ghosh, Y. First report of phase selective gelation of oil from oil/water mixtures. Possible implications toward containing oil spills. Chem. Comm. 2001, 2, 185. [Google Scholar] [CrossRef]
- Guchhait, S.; Roy, S. Efficient peptide based gelators for aromatic organic solvents and vegetable oils: Application in phase selective gelation and dye entrapment. J. Sol-Gel Sci. Technol. 2019, 89, 852. [Google Scholar] [CrossRef]
- Li, J.; Huo, Y.; Zeng, H. Combinatorial identification of a highly soluble phase-selective organogelator with high gelling capacity for crude oil gelation. J. Mater. Chem. A 2018, 6, 10196. [Google Scholar] [CrossRef]
- Vibhute, A.M.; Sureshan, K.M. How Far Are We in Combating Marine Oil Spills by Using Phase-Selective Organogelators? ChemSusChem 2020, 13, 5343. [Google Scholar] [CrossRef]
- Debnath, S.; Shome, A.; Dutta, S.; Kumar Das, P. Dipeptide-Based Low-Molecular-Weight Efficient Organogelators and Their Application in Water Purification. Chem. A Eur. J. 2008, 14, 6870. [Google Scholar] [CrossRef] [PubMed]
- Konda, M.; Maity, I.; Rasale, D.B.; Das, A.K. A New Class of Phase-Selective Synthetic β-Amino Acid Based Peptide Gelator: From Mechanistic Aspects to Oil Spill Recovery. ChemPlusChem 2014, 79, 1482. [Google Scholar] [CrossRef]
- Chowdyr, S.R.; Nandi, S.K.; Podder, D.; Haldar, D. Conformational Heterogeneity and Self-Assembly of α,β,γ-Hybrid Peptides Containing Fenamic Acid: Multistimuli-Responsive Phase-Selective Gelation. ACS Omega 2020, 5, 2287. [Google Scholar] [CrossRef] [PubMed]
- Bachl, J.; Oehm, S.; Mayr, J.; Cativiela, C.; Marrero-Tellado, J.J.; Diaz, D.D. Supramolecular Phase-Selective Gelation by Peptides Bearing Side-Chain Azobenzenes: Effect of Ultrasound and Potential for Dye Removal and Oil Spill Remediation. Int. J. Mol. Sci. 2015, 16, 11766. [Google Scholar] [CrossRef] [PubMed]
- Srivastava, B.K.; Manheri, M.K. Aryl-triazolyl peptides for efficient phase selective gelation and easy removal of dyes from water. RSC Adv. 2016, 6, 29187. [Google Scholar] [CrossRef]
- Chetia, M.; Debnath, S.; Chowdury, S.; Chatterjee, S. Self-assembly and multifunctionality of peptide organogels: Oil spill recovery, dye absorption and synthesis of conducting biomaterials. RSC Adv. 2020, 10, 5220. [Google Scholar] [CrossRef]
- Kar, T.; Debnath, S.; Das, D.; Shome, A.; Das, P.K. Organogelation and Hydrogelation of Low-Molecular-Weight Amphiphilic Dipeptides: pH Responsiveness in Phase-Selective Gelation and Dye Removal. Langmuir 2009, 25, 8639. [Google Scholar] [CrossRef]
- Wang, Y.; Xiong, J.; Peng, F.; Li, Q.; Zeng, M.-H. Building a supramolecular gel with an ultra-low-molecular-weight Schiff base gelator and its multiple-stimulus responsive properties. Coll. Surf. A Physicochem. Eng. Asp. 2022, 640, 128445. [Google Scholar] [CrossRef]
- Ramiro, J.L.; Marcos, C.F.; Neo, A.G. Multicomponent Reactions of Isocyanides for the Preparation of Low Molecular Weight Gelators: Preliminary Studies. Chem. Proc. 2022, 8, 1. [Google Scholar]
- Ruffoni, A.; Contini, A.; Soave, R.; Lo Presti, L.; Esposto, I.; Maffucci, I.; Nava, D.; Pellegrino, S.; Gelmi, M.L.; Clerici, F. Model peptides containing the 3-sulfanyl-norbornene amino acid, a conformationally constrained cysteine analogue effective inducer of 310-helix secondary structures. RSC Adv. 2015, 5, 32643. [Google Scholar] [CrossRef][Green Version]
- Bucci, R.; Bossi, A.; Erba, E.; Vaghi, F.; Saha, A.; Yuran, S.; Maggioni, D.; Gelmi, M.L.; Reches, M.; Pellegrino, S. Nucleobase morpholino β amino acids as molecular chimeras for the preparation of photoluminescent materials from ribonucleosides. Sci. Rep. 2020, 10, 19331. [Google Scholar] [CrossRef]
- Chiesa, E.; Clerici, F.; Bucci, F.; Anastasi, F.; Bottiglieri, M.; Patrini, M.; Genta, I.; Bittner, A.M.; Gelmi, M.L. Smart Electrospun nanofibers from short peptidomimetics based on pyrrolo-pyrazole scaffold. Biomacromolecules 2024, 25, 2378–2389. [Google Scholar] [CrossRef]
- Ibrahim, M.I.A.; Pickaert, G.; Stefan, L.; Jamart-Grégoire, B.; Bodiguel, J.; Averlant-Petit, M.-C. Cyclohexamer [-(d-Phe-azaPhe-Ala)2-]: Good candidate to formulate supramolecular organogels. RSC Adv. 2020, 10, 43859. [Google Scholar] [CrossRef] [PubMed]
- Mustafa, A.; Dayem Zayed, S.M.A.; Samir Khattab, S. Reactions with Diazoalkanes. V. Action of Diazoalkanes and of Aryl Azides on N-Arylmaleimides. J. Am. Chem. Soc. 1956, 78, 145. [Google Scholar] [CrossRef]
- Huda Shaikh, J.Y.; Macdougall, L.J.; Gurnani, P.; Lunn, A.M.; Yang, J.; Huband, S.; Mansfield, E.D.H.; Peltier, R.; Perier, S. Hydrogel and Organogel Formation by Hierarchical Self-Assembly of Cyclic Peptides Nanotubes. Chem. Eur. J. 2018, 24, 19066. [Google Scholar] [CrossRef] [PubMed]
- Chen, H.; Hou, S.; Ma, H.; Li, X.; Tan, Y. Controlled gelation kinetics of cucurbit [7]uril-adamantane cross-linked supramolecular hydrogels with competing guest molecules. Sci. Rep. 2016, 6, 20722. [Google Scholar] [CrossRef]
- Ramli, H.; Fatahah, N.; Zainal, A.; Hess, M.; Chin Han Chan, C.H. Basic principle and good practices of rheology for polymers for teachers and beginners. Chem. Teach. Int. 2022, 4, 307. [Google Scholar] [CrossRef]
- Chiesa, E.; Genta, I.; Dorati, R.; Modena, T.; Conti, B. Poly(gamma-glutamic acid) based thermosetting hydrogels for injection: Rheology and functional parameters evaluation. React. Funct. Pol. 2019, 140, 93. [Google Scholar] [CrossRef]
- Rosalina, I.; Bhattacharya, M. Dynamic rheological measurements and analysis of starch gels. Carb. Pol. 2002, 48, 191. [Google Scholar] [CrossRef]
- John, G.; Jung, J.H.; Masuda, M.; Shimizu, T. Unsaturation effect on gelation behavior of aryl glycolipids. Langmuir 2004, 20, 2060. [Google Scholar] [CrossRef] [PubMed]
- Yang, H.; Yi, T.; Zhou, Z.; Zhou, Y.; Wu, J.; Xu, M.; Li, F.; Huang, C. Switchable Fluorescent Organogels and Mesomorphic Superstructure Based on Naphthalene Derivatives. Langmuir 2007, 23, 8224. [Google Scholar] [CrossRef] [PubMed]
- Bucci, R.; Giofré, S.; Clerici, F.; Contini, A.; Pinto, A.; Erba, E.; Soave, R.; Pellegrino, S.; Maria Luisa Gelmi, M.L. Tetrahydro-4H-(pyrrolo[3,4-d]isoxazol-3-yl)methanamine: A Bicyclic Diamino Scaffold Stabilizing Parallel Turn Conformations. J. Org. Chem. 2018, 83, 11493. [Google Scholar] [CrossRef] [PubMed]
- Trivedi, D.R.; Ballabh, A.; Dastdar, P.; Ganguly, B. Structure–Property Correlation of a New Family of Organogelators Based on Organic Salts and Their Selective Gelation of Oil from Oil/Water Mixtures. Chem. A Eur. J. 2004, 10, 5311. [Google Scholar] [CrossRef]
- Suzuki, M.; Sato, T.; Shirai, H.; Hanabusa, K. Powerful low-molecular-weight gelators based on l-valine and l-isoleucine with various terminal groups. New J. Chem. 2006, 30, 1184. [Google Scholar] [CrossRef]









| Entry | Solvent | TGel (°C) |
|---|---|---|
| 1 | C6D6 | 92–96 |
| 2 | m-Xylene | 135–140 |
| 3 | toluene/dioxane, 10:1 | 60–65 |
| Entry | Mixture | 5b (%) | μL of Residual Organic Solvent | Observations | |
|---|---|---|---|---|---|
| A a | B b | ||||
| 1 | Toluene/Dioxane (10:1) (500 μL) | 2% | 150 μL | 220 μL | Organic phase: partially gelled Water phase: solution |
| H2O (500 μL) | |||||
| 2 | Benzene (500 μL) | 2% | 230 μL | 250 μL | Organic phase: partially gelled Water phase: solution |
| H2O (500 μL) | |||||
| 4 | Benzene (250 μL) | 4% | 20 μL | c | Organic phase: partially gelled (A)/gelled (B) Water phase layer: solution |
| H2O (500 μL) | |||||
| 5 | Benzene (100 μL) | 10% | c | c | Organic phase: completely gelled Water phase: solution |
| H2O (500 μL) | |||||
| 6 | m-Xylene (500 μL) | 2% | 230 μL | 250 μL | Organic phase: partially gelled Water phase: solution |
| H2O (500 μL) | |||||
| 7 | m-Xylene (250 μL) | 4% | 20 μL | c | Organic phase: partially gelled (A)/gelled (B) Water phase: intact in liquid state |
| H2O (500 μL) | |||||
| 8 | m-Xylene (100 μL) | 10% | c | c | Organic phase: gelled Water phase: solution |
| H2O (500 μL) | |||||
| Solvent | H3a | H6a | NHAla | CHAla | MeAla | CHFmoc | CH2Fmoc | tBu | Aromatic Protons |
|---|---|---|---|---|---|---|---|---|---|
| CDCl3 | 4.83 | 5.82 | 5.55 | 5.20 | 1.55 | 4.25 | 4.45–4.30 | 1.61 | Fmoc: 7.75, 7.60, 7.42, 7.57; Ph: 7.63–7.26 |
| CDCl3/ C6D6 a | 4.00 | 5.17 | 5.33 | 5.14 | 1.32 | 4.18 | 4.45–4.30 | 1.53 | Fmoc: 7.67, 7.56, 7.31, 7.27; Ph: 7.28–7.10 |
| C6D6b | 3.79 | 5.16 | 5.18 | 5.33 | 1.17 | 4.22 | 4.62–4.41 | 1.54 | Fmoc: 7.70 (2H), 7.65 (1H) 7.57 (1H), 7.37–7.24 (4H); Ph: 7.17–6.98 |
| C6D6 c | 3.69 | 5.06 | 5.10 | 5.22 | 1.07 | 4.10 | 4.44/4.35 | 1.54 | Fmoc: 7.57 (2H), 7.54 (1H), 7.46 (1H), 7.25–7.10 (4H); Ph: 7.03–6.88 |
| C6D6 d | 3.82 | 5.09 | 5.13 | 5.18 | 1.13 | 4.11 | 4.44/4.36 | 1.60 | Fmoc: 7.58 (2H), 7.52 (1H), 7.48 (1H), 7.23–7.13 (4H); Ph: 7.06–6.92 |
| toluened8/ dioxaned8 e | 3.94 | 5.21 | 5.95 | 5.23 | 1.26 | 4.11 | 4.45/4.36 | 1.49 | Fmoc: 7.61–7.56 (3H), 7.51 (1H), 7.28–7.17 (4H); Ph: 7.10–6.96 |
| toluened8/ dioxane-d8 f | 3.91 | 5.18 | 6.02 | 5.23 | 1.26 | 4.11 | 4.45/4.36 | 1.48 | Fmoc: 7.60–7.55 (3H), 7.51 (1H), 7.27–7.15 (4H); Ph: 7.11–6.95 |
| toluened8/ dioxaned8 g | 4.02 | 5.19 | 5.54 | 5.15 | 1.26 | 4.11 | 4.42/4.35 | 1.47 | Fmoc: 7.60–7.56 (2H), 7.54 (1H), 7.51 (1H), 7.20–7.14 (4H); Ph: 7.11–6.97 |
Disclaimer/Publisher’s Note: The statements, opinions and data contained in all publications are solely those of the individual author(s) and contributor(s) and not of MDPI and/or the editor(s). MDPI and/or the editor(s) disclaim responsibility for any injury to people or property resulting from any ideas, methods, instructions or products referred to in the content. |
© 2024 by the authors. Licensee MDPI, Basel, Switzerland. This article is an open access article distributed under the terms and conditions of the Creative Commons Attribution (CC BY) license (https://creativecommons.org/licenses/by/4.0/).
Share and Cite
Chiesa, E.; Anastasi, F.; Clerici, F.; Lumina, E.M.; Genta, I.; Pellegrino, S.; Gelmi, M.L. Stereochemical Behavior of Pyrrolo-Pyrazole Peptidomimetics Promoting Phase-Selective Supramolecular Organogels. Gels 2024, 10, 263. https://doi.org/10.3390/gels10040263
Chiesa E, Anastasi F, Clerici F, Lumina EM, Genta I, Pellegrino S, Gelmi ML. Stereochemical Behavior of Pyrrolo-Pyrazole Peptidomimetics Promoting Phase-Selective Supramolecular Organogels. Gels. 2024; 10(4):263. https://doi.org/10.3390/gels10040263
Chicago/Turabian StyleChiesa, Enrica, Francesco Anastasi, Francesca Clerici, Edoardo Mario Lumina, Ida Genta, Sara Pellegrino, and Maria Luisa Gelmi. 2024. "Stereochemical Behavior of Pyrrolo-Pyrazole Peptidomimetics Promoting Phase-Selective Supramolecular Organogels" Gels 10, no. 4: 263. https://doi.org/10.3390/gels10040263
APA StyleChiesa, E., Anastasi, F., Clerici, F., Lumina, E. M., Genta, I., Pellegrino, S., & Gelmi, M. L. (2024). Stereochemical Behavior of Pyrrolo-Pyrazole Peptidomimetics Promoting Phase-Selective Supramolecular Organogels. Gels, 10(4), 263. https://doi.org/10.3390/gels10040263

