Investigation of In Situ Gelation Behavior and Enhanced Oil Recovery Ability of Polymer Gel Used for Controlling CO2 Channeling in Tight Fractured Reservoir
Abstract
1. Introduction
2. Results and Discussion
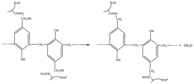
2.1. Bulk Gelation Behavior
2.1.1. Effect of Polymer and Crosslinker Concentration
2.1.2. Effect of Temperature
2.2. In Situ Static Gelation Behavior
2.2.1. Effect of Temperature on In-Situ Static Gelation
2.2.2. Effect of Concentration on In-Situ Static Gelation
2.3. In-Situ Dynamic Gelation Behavior
2.3.1. Effect of Temperature on Dynamic Gelation Behavior
2.3.2. Effect of Concentration on Dynamic Gelation Behavior
2.3.3. Effect of Injection Rate
2.4. The Relationship Between Bulk and In Situ Gelation Behavior
2.5. Enhanced Oil Recovery Ability
3. Conclusions
- (1)
- With the increase of polymer and crosslinker concentration, the bulk gelation time of the gel system was shortened and the gel strength increased. With the increase of temperature from 70 °C to 90 °C, the gelation time of the gel system was greatly shortened, and the gel strength increased.
- (2)
- With the increase of polymer concentration and temperature, the in situ static gelation time and dynamic gelation time of the gel system in the microtube were shortened, and the breakthrough pressure gradient increased after gelation. Compared with the in situ static gelation behavior, the in situ dynamic gelation time was prolonged and the breakthrough pressure gradient decreased after gelation. The relationship between the bulk gelation time and in situ gelation time was correlated. The in situ static gelation time in the microtube was 1.2 times that of the bulk gelation time in the ampoule bottle, and the in situ dynamic gelation time was nearly 3 times that of ampoule bottles.
- (3)
- When the injected slug volume was 1.0 FV and the concentration ratio of the polymer to the crosslinker was 1:1, as the polymer concentration increased from 3000 mg·L−1 to 4000 mg·L−1, the incremental oil recovery increased from 3.53% to 4.73%.
4. Experimental Study
4.1. Materials
4.2. Methods
4.2.1. Gelant Solution Preparation
4.2.2. Bulk Gelation Behavior Test
4.3. In Situ Gelation Behavior Test in Microtube
4.3.1. Experimental Method of In-Situ Static Gelation Behavior
4.3.2. Experimental Method of in-Situ Dynamic Gelation Behavior
4.4. Enhanced Oil Recovery Ability Evaluation
Author Contributions
Funding
Institutional Review Board Statement
Informed Consent Statement
Data Availability Statement
Acknowledgments
Conflicts of Interest
References
- Zou, C.; Yang, Z.; Zhu, R.; Zhang, G.; Hou, L.; Wu, S.; Tao, S.; Yuan, X.; Dong, D.; Wang, Y. Progress in China’s unconventional oil & gas exploration and development and theoretical technologies. Acta Geol. Sin.-Engl. Ed. 2015, 89, 938–971. [Google Scholar]
- Sydansk, R.D.; Seright, R.S. When and where relative permeability modification water-shutoff treatments can be successfully applied. SPE Prod. Oper. 2007, 22, 236–247. [Google Scholar] [CrossRef]
- Al-Obaidi, S.H.; Khalaf, F. Development of traditional water flooding to increase oil recovery. Int. J. Sci. Technol. Res. 2020, 8, 177–181. [Google Scholar]
- Kharrat, R.; Alalim, N.; Ott, H. Assessing the Influence of Fracture Networks on Gas-Based Enhanced Oil Recovery Methods. Energies 2023, 16, 6364. [Google Scholar] [CrossRef]
- Ganguly, S. Displacement of Cr (III)–partially hydrolyzed polyacrylamide gelling solution in a fracture in porous media. Transp. Porous Media 2010, 84, 201–218. [Google Scholar] [CrossRef]
- McCool, S.; Li, X.; Wilhite, G.P. Effect of shear on flow properties during placement and on syneresis after placement of a polyacrylamide-chromium acetate gelant. In Proceedings of the SPE International Conference on Oilfield Chemistry, Houston, TX, USA, 28 February–2 March 2007; p. SPE-106059-MS. [Google Scholar]
- Medeiros, R.S.; Biswas, D.; Suryanarayana, P. Impact of thief zone identification and shut-off on water production in the Nimr field. In Proceedings of the SPE/IADC Managed Pressure Drilling and Underbalanced Operations Conference and Exhibition, Houston, TX, USA, 11–12 October 2004; p. SPE-91665-MS. [Google Scholar]
- Botermans, C.W.; Dalrymple, E.D.; Dahl, J.; Smith, D. Chemical Systems for Water and Gas Control: Terminology, Evaluation Methods, Candidate Selection, and Expectations. In Proceedings of the SPE International Conference on Oilfield Chemistry, Houston, TX, USA, 13–16 February 2001; p. SPE-65415-MS. [Google Scholar]
- Sydansk, R.D. A newly developed chromium (lll) gel technology. SPE Reserv. Eng. 1990, 5, 346–352. [Google Scholar] [CrossRef]
- Bryant, S.L.; Bartosek, M.; Lockhart, T.P. Laboratory evaluation of phenol—Formaldehyde/polymer gelants for high-temperature applications. J. Pet. Sci. Eng. 1997, 17, 197–209. [Google Scholar] [CrossRef]
- Chauveteau, G.; Tabary, R.; Renard, M.; Omari, A. Controlling in-situ gelation of polyacrylamides by zirconium for water shutoff. In Proceedings of the SPE International Conference on Oilfield Chemistry, Houston, TX, USA, 16 February 1999; p. SPE-50752-MS. [Google Scholar]
- Chung, T.; Bae, W.; Nguyen, N.; Dang, C.; Lee, W.; Jung, B. A review of polymer conformance treatment: A successful guideline for water control in mature fields. Energy Sources Part A Recovery Util. Environ. Eff. 2011, 34, 122–133. [Google Scholar] [CrossRef]
- El-Karsani, K.S.; Al-Muntasheri, G.A.; Hussein, I.A. Polymer systems for water shutoff and profile modification: A review over the last decade. SPE J. 2014, 19, 135–149. [Google Scholar] [CrossRef]
- Li, L.; Zhou, X.; Su, Y.; Xiao, P.; Chen, Z.; Zheng, J. Influence of heterogeneity and fracture conductivity on supercritical CO2 miscible flooding enhancing oil recovery and gas channeling in tight oil reservoirs. Energy Fuels 2022, 36, 8199–8209. [Google Scholar] [CrossRef]
- Zhang, J.; Zhang, H.X.; Ma, L.Y.; Liu, Y.; Zhang, L. Performance evaluation and mechanism with different CO2 flooding modes in tight oil reservoir with fractures. J. Pet. Sci. Eng. 2020, 188, 106950. [Google Scholar] [CrossRef]
- Hao, H.; Hou, J.; Zhao, F.; Song, Z.; Hou, L.; Wang, Z. Gas channeling control during CO2 immiscible flooding in 3D radial flow model with complex fractures and heterogeneity. J. Pet. Sci. Eng. 2016, 146, 890–901. [Google Scholar] [CrossRef]
- Zhao, F.; Hao, H.; Hou, J.; Hou, L.; Song, Z. CO2 mobility control and sweep efficiency improvement using starch gel or ethylenediamine in ultra-low permeability oil layers with different types of heterogeneity. J. Pet. Sci. Eng. 2015, 133, 52–65. [Google Scholar] [CrossRef]
- Liu, Y.; Bai, B.; Wang, Y. Applied technologies and prospects of conformance control treatments in China. Oil Gas Sci. Technol.–Rev. d’IFP Energ. Nouv. 2010, 65, 859–878. [Google Scholar] [CrossRef]
- Mokhtari, M.; Ozbayoglu, E.M. Laboratory investigation on gelation behavior of xanthan crosslinked with borate intended to combat lost circulation. In Proceedings of the SPE International Production and Operations Conference and Exhibition, Tunis, Tunisia, 8–10 June 2010; p. SPE-136094-MS. [Google Scholar]
- Shen, H.; Yang, Z.; Li, X.; Peng, Y.; Dong, Z. Co2-responsive agent for restraining gas channeling during co2 flooding in low permeability reservoirs. Fuel 2021, 292, 120306. [Google Scholar] [CrossRef]
- Deng, J.-N.; Zhao, H.; Zheng, H.; Zhuang, Y.; Wei, K.; Yuan, H.; Deng, Z.; Gao, Y.; Zhou, X.; Yu, T.; et al. CO2-responsive preformed particle gels with high strength for CO2 conformance control in heterogeneous reservoirs. Fuel 2025, 379, 133040. [Google Scholar] [CrossRef]
- Lemaire, P.; Alenzi, A.; Lee, J.; Beckman, E.; Enick, R. Thickening CO2 with direct thickeners, CO2-in-Oil emulsions, or nanoparticle dispersions: Literature review and experimental validation. Energy Fuels 2021, 35, 8510–8540. [Google Scholar] [CrossRef]
- Lockhart, T.P. Chemical properties of chromium/polyacrylamide gels. SPE Adv. Technol. Ser. 1994, 2, 199–205. [Google Scholar] [CrossRef]
- Solbakken, J.S.; Aarra, M.G. CO2 mobility control improvement using N2-foam at high pressure and high temperature conditions. Int. J. Greenh. Gas Control 2021, 109, 103392. [Google Scholar] [CrossRef]
- Sengupta, B.; Sharma, V.; Udayabhanu, G. Gelation studies of an organically cross-linked polyacrylamide water shut-off gel system at different temperatures and pH. J. Pet. Sci. Eng. 2012, 81, 145–150. [Google Scholar] [CrossRef]
- Prasad, S.K.; Sangwai, J.S.; Byun, H.-S. A review of the supercritical CO2 fluid applications for improved oil and gas production and associated carbon storage. J. CO2 Util. 2023, 72, 102479. [Google Scholar] [CrossRef]
- Wang, T.; Wang, L.; Qin, H.; Zhao, C.; Bai, Z.; Meng, X. Identification of Gas Channeling and Construction of a Gel-Enhanced Foam Plugging System for Oxygen-Reduced Air Flooding in the Changqing Oilfield. Gels 2022, 8, 373. [Google Scholar] [CrossRef]
- Bai, Y.; Pu, W.; Jin, X.; Shen, C.; Ren, H. Review of the micro and Macro mechanisms of gel-based plugging agents for enhancing oil recovery of unconventional water flooding oil reservoirs. J. Mol. Liq. 2024, 399, 124318. [Google Scholar] [CrossRef]
- He, H.; Wang, Y.; Zhang, J.; Xu, X.; Zhu, Y.; Bai, S. Comparison of gelation behavior and morphology of resorcinol–hexamethylenetetramine–HPAM gel in bulk and porous media. Transp. Porous Media 2015, 109, 377–392. [Google Scholar] [CrossRef]
- Esfahlan, M.S.; Khodapanah, E.; Tabatabaei-Nezhad, S.A. Comprehensive review on the research and field application of preformed particle gel conformance control technology. J. Pet. Sci. Eng. 2021, 202, 108440. [Google Scholar] [CrossRef]
- Yu, H.Y.; Liu, X.J.; Ji, W.J.; Gao, H.T.; Xu, B.B. Effect of Dynamic Gelation of Polymer Gel in Porous Media: Permeability. Appl. Mech. Mater. 2014, 535, 718–724. [Google Scholar] [CrossRef]
- Jousset, F.; Green, D.; Willhite, G.; McCool, C. Effect of high shear rate on in-situ gelation of a xanthan/Cr (III) system. In Proceedings of the SPE Improved Oil Recovery Conference, Tulsa, OK, USA, 22–25 April 1990; p. SPE-20213-MS. [Google Scholar]
- Gommes, C.J.; Roberts, A.P. Structure development of resorcinol-formaldehyde gels: Microphase separation or colloid aggregation. Phys. Rev. E—Stat. Nonlinear Soft Matter Phys. 2008, 77, 041409. [Google Scholar] [CrossRef]
- Yadav, U.S.; Mahto, V. Investigating the effect of several parameters on the gelation behavior of partially hydrolyzed polyacrylamide–hexamine–hydroquinone gels. Ind. Eng. Chem. Res. 2013, 52, 9532–9537. [Google Scholar] [CrossRef]
- Haiyang, Y.; Yefei, W.; Jian, Z.; Peng, L.; Shenglong, S. Dynamic gelation of HPAM/Cr (III) under shear in an agitator and porous media. Oil Gas Sci. Technol.–Rev. d’IFP Energ. Nouv. 2015, 70, 941–949. [Google Scholar] [CrossRef]
- Yu, H.; Ma, Z.; Tang, L.; Li, Y.; Shao, X.; Tian, Y.; Qian, J.; Fu, J.; Li, D.; Wang, L. The effect of shear rate on dynamic gelation of phenol formaldehyde resin gel in porous media. Gels 2022, 8, 185. [Google Scholar] [CrossRef]
- Xin, Y.; Li, B.; Li, Z.; Li, Z.; Wang, B.; Wang, X.; Zhang, M.; Li, W. Gas channeling control with CO2-responsive gel system in fractured low-permeability reservoirs: Enhancing oil recovery during CO2 flooding. Sep. Purif. Technol. 2025, 353, 128475. [Google Scholar] [CrossRef]
- Wang, H.; Yang, C.; Zhang, Y.; Wang, C. Preparation and Effect of CO2 Response Gel for Plugging Low-Permeability Reservoirs. Gels 2024, 10, 449. [Google Scholar] [CrossRef]
- You, Q.; Zhou, W.; Wang, Y.; Zhao, F.; Ji, C.; Fan, S. The reaction process and influencing factors of hydrophobic associative polymer/phenolic resin gel. Oilfield Chem. 2010, 27, 260–264. [Google Scholar]
- He, H.; Wang, Y.; Zhang, J. Novel gel with controllable strength for in-depth conformance control: Bulk gelation performance and propagation properties in porous media. J. Dispers. Sci. Technol. 2015, 36, 626–633. [Google Scholar] [CrossRef]














| No. | Polymer Concentration /mg·L−1 | Crosslinker Concentration /mg·L−1 | Polymer/Crosslinker Concentration Ratio | Gelation Time /h | Final Gel Strength/mPa·s |
|---|---|---|---|---|---|
| 1 | 3000 | 3000 | 1.0 | 40 | 11,006 |
| 2 | 3500 | 3000 | 1.17 | 30 | 22,538 |
| 3 | 4000 | 3000 | 1.33 | 25 | 25,483 |
| 4 | 3500 | 3500 | 1.0 | 20 | 26,583 |
| 5 | 3500 | 4000 | 0.875 | 17.5 | 38,457 |
| Temperature /°C | Polymer Concentration /mg·L−1 | Crosslinker Concentration /mg·L−1 | Gelation Time /h | Final Gel Strength/mPa·s |
|---|---|---|---|---|
| 70 | 4000 | 4000 | 10.0 | 41,245 |
| 90 | 4000 | 4000 | 1.25 | 58,553 |
| Temperature /°C | Polymer Concentration /mg·L−1 | Crosslinker Concentration /mg·L−1 | In Situ Static Gelation Time/h | Breakthrough Pressure Gradient/MPa·m−1 |
|---|---|---|---|---|
| 70 | 4000 | 4000 | 12.0 | 0.138 |
| 90 | 4000 | 4000 | 1.5 | 0.365 |
| Temperature /°C | Polymer Concentration /mg·L−1 | Crosslinker Concentration /mg·L−1 | In Situ Static Gelation Time/h | Breakthrough Pressure Gradient/MPa·m−1 |
|---|---|---|---|---|
| 90 | 3000 | 4000 | 3.5 | 0.21 |
| 3500 | 4000 | 2.5 | 0.265 | |
| 4000 | 4000 | 1.5 | 0.365 |
| Temperature/°C | Polymer Concentration/mg·L−1 | Crosslinker Concentration/mg·L−1 | In Situ Dynamic Gelation Time/h | In Situ Dynamic Gel Strength/MPa·m−1 |
|---|---|---|---|---|
| 70 | 4000 | 4000 | 32.5 | 0.0325 |
| 90 | 4000 | 4000 | 4.5 | 0.04 |
| Temperature /°C | Injection Rate /mL·min−1 | Polymer Concentration /mg·L−1 | Crosslinker Concentration/ mg·L−1 | In Situ Dynamic Gelation Time/h | In Situ Dynamic Gel Strength /MPa·m−1 |
|---|---|---|---|---|---|
| 90 | 0.25 | 3000 | 4000 | 5.8 | 0.0132 |
| 3500 | 4000 | 4.7 | 0.0158 | ||
| 4000 | 4000 | 3.9 | 0.026 |
| Temperature /°C | Polymer Concentration /mg·L−1 | Crosslinker Concentration /mg·L−1 | Injection Rate /mL·min−1 | In Situ Dynamic Gelation Time/h | Breakthrough Pressure Gradient /MPa·m−1 |
|---|---|---|---|---|---|
| 90 | 4000 | 4000 | 0.05 | 4.5 | 0.04 |
| 0.25 | 3.9 | 0.026 | |||
| 0.5 | 3.5 | 0.02 |
| Temperature/°C | Injection Rate /mL·min−1 | Polymer Concentration/mg·L−1 | Crosslinker Concentration/mg·L−1 | Gelation Time/h | ||
|---|---|---|---|---|---|---|
| Bulk Gelation | In Situ Static Gelation | In Situ Dynamic Gelation | ||||
| 70 | 0.05 | 4000 | 4000 | 10 | 12 | 32.5 |
| 90 | 0.05 | 4000 | 4000 | 1.25 | 1.5 | 4.5 |
| Ionic Type | HCO3− | Ca2+ | Mg2+ | Cl− | Na+ | K+ | TDS/mg·L−1 |
|---|---|---|---|---|---|---|---|
| Ionic concentration | 156.1 | 2347.0 | 204.5 | 19,077.3 | 9320.3 | 51.4 | 31,254.6 |
Disclaimer/Publisher’s Note: The statements, opinions and data contained in all publications are solely those of the individual author(s) and contributor(s) and not of MDPI and/or the editor(s). MDPI and/or the editor(s) disclaim responsibility for any injury to people or property resulting from any ideas, methods, instructions or products referred to in the content. |
© 2024 by the authors. Licensee MDPI, Basel, Switzerland. This article is an open access article distributed under the terms and conditions of the Creative Commons Attribution (CC BY) license (https://creativecommons.org/licenses/by/4.0/).
Share and Cite
He, H.; Liu, Y.; Zhao, G.; Liu, Y.; Pei, H.; Zhou, W. Investigation of In Situ Gelation Behavior and Enhanced Oil Recovery Ability of Polymer Gel Used for Controlling CO2 Channeling in Tight Fractured Reservoir. Gels 2024, 10, 741. https://doi.org/10.3390/gels10110741
He H, Liu Y, Zhao G, Liu Y, Pei H, Zhou W. Investigation of In Situ Gelation Behavior and Enhanced Oil Recovery Ability of Polymer Gel Used for Controlling CO2 Channeling in Tight Fractured Reservoir. Gels. 2024; 10(11):741. https://doi.org/10.3390/gels10110741
Chicago/Turabian StyleHe, Hong, Yibo Liu, Guang Zhao, Yifei Liu, Haihua Pei, and Wei Zhou. 2024. "Investigation of In Situ Gelation Behavior and Enhanced Oil Recovery Ability of Polymer Gel Used for Controlling CO2 Channeling in Tight Fractured Reservoir" Gels 10, no. 11: 741. https://doi.org/10.3390/gels10110741
APA StyleHe, H., Liu, Y., Zhao, G., Liu, Y., Pei, H., & Zhou, W. (2024). Investigation of In Situ Gelation Behavior and Enhanced Oil Recovery Ability of Polymer Gel Used for Controlling CO2 Channeling in Tight Fractured Reservoir. Gels, 10(11), 741. https://doi.org/10.3390/gels10110741

