Advances in Chitosan Derivatives: Preparation, Properties and Applications in Pharmacy and Medicine
Abstract
1. Introduction
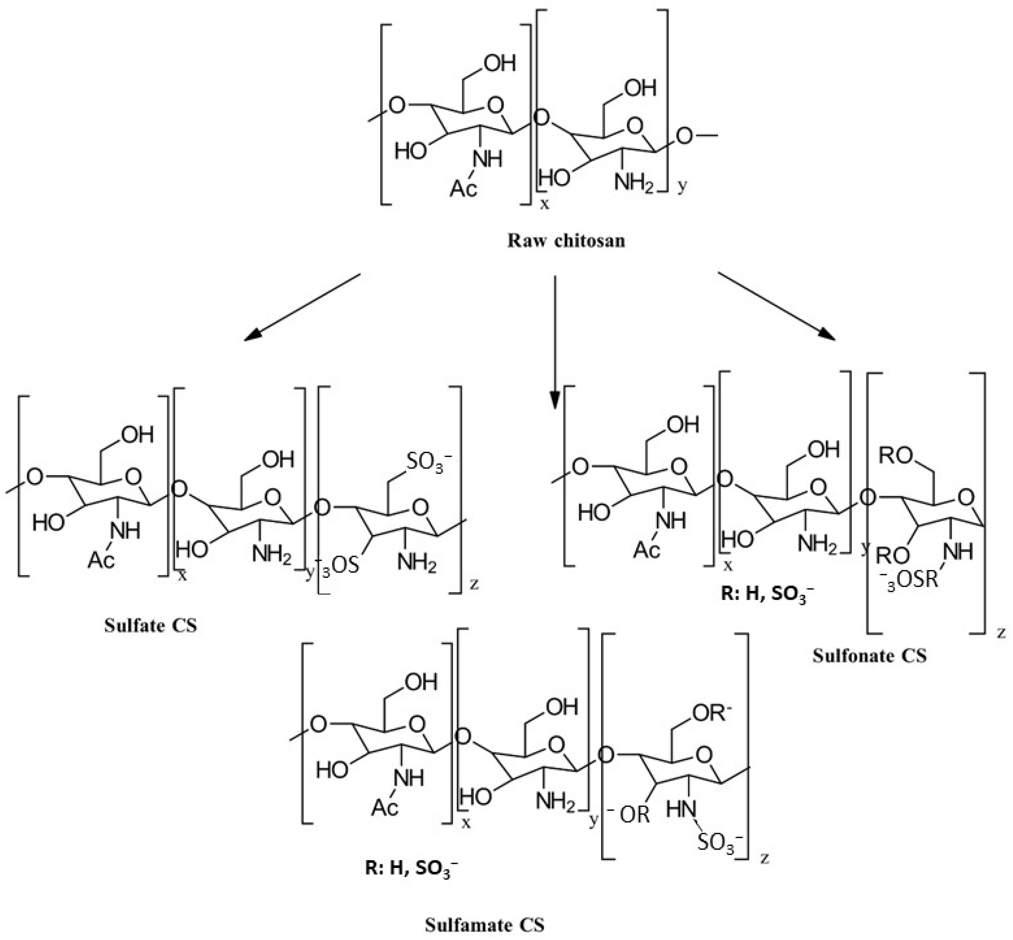
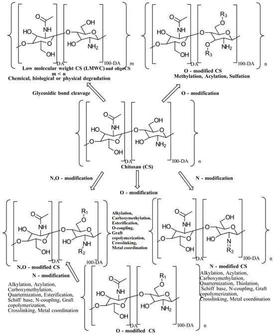
2. Classification of CS Derivatives
3. Preparation Approaches for CS Derivatives
3.1. Alkylation
3.1.1. Carboxymethylation
- (i)
- In reductive alkylation, the -NH2 group of the CS unit reacts with the carbonyl group of aldehyde-glyoxylic acid, followed by hydrogenation with NaBH4 or NaCNBH3 to form N-carboxymethyl CS. This method specifically introduces the carboxymethyl substituent onto the N-atom without affecting the O-atom. The ratio of mono- to di-carboxymethylated glucosamine units in CS is influenced by the ratio of amine (CS) to the reagent and the reaction conditions. Muzzarelli et al. [18], who initially reported this technique, created a range of products from various types of CS with differing molecular sizes, molecular weight distributions, and degrees of deacetylation by using different quantities of glyoxylic acid.
- (ii)
- The direct alkylation method involves using monohalocarboxylic acids, such as monochloroacetic acid, to create N-carboxyalkyl and O-carboxyalkyl CS derivatives under various reaction conditions. The choice of conditions affects the selectivity for N- versus O-carboxyalkylation and the degree of substitution. Initially, CS is activated by soaking it in an alkaline solution, such as water/isopropyl alcohol. When carboxymethylation is carried out with monochloroacetic acid in a mildly alkaline medium (pH 8–8.5), only the amino groups are activated, leading to N-substitution exclusively. The CS will precipitate at this pH but will gradually dissolve as the reaction progresses, resulting in mono- or di-N-substitution. In contrast, when using higher concentrations of alkali (over 25% aqueous NaOH), the reaction with monochloroacetic acid produces a mixture of N- and O-alkyl CS derivatives, with substitutions occurring at the C6 and C3-OH groups, as well as the C2-NH2 groups [18].
3.1.2. Quaternization
3.2. Acylation
3.2.1. Succinylation
3.2.2. Benzoylation
3.2.3. Phthaloylation
3.2.4. Thiolation
- (i)
- N-thiolation, or the thiolation of the NH2 groups on the CS backbone, can be achieved through several methods. One common approach involves coupling the NH2 groups of CS with the COOH groups of mercaptocarboxylic acid derivatives, a reaction that is catalyzed by a water-soluble carbodiimide such as EDAC to activate the COOH groups for coupling [49]. Another method involves the nucleophilic attack of CS NH2 groups by bis-electrophiles like epichlorohydrin or chloroacetyl chloride to produce N-chloro-CS derivatives. These derivatives can then be converted into thiol derivatives using a thiourea–NaOH mixture or aminothiol reagents. Additionally, reactive thiol-containing reagents such as 2-iminothiolane (Traut’s reagent), thiolactones, N-hydroxysuccinimide esters, and acetimidates can react with the primary amine groups on CS through nucleophilic ring-opening reactions to introduce sulfhydryl groups [50]. Lastly, cysteine and other amino thiol derivatives can be grafted onto the CS backbone via dual Schiff base condensation reactions, using GA as a crosslinker [51]. Figure 13 illustrates the synthesis of N-thiolated CS.
- (ii)
- O-thiolation involves the addition of thiol or sulfhydryl groups to the primary hydroxyl groups on the CS backbone. To perform O-thiolation, the NH2 groups must first be protected through alkylation or Schiff base condensation reactions. The various strategies for O-thiolation are depicted in Figure 14 [44].
- (iii)
- N,O-thiolation involves covalently attaching thiol-tagging reagents to CS by forming amide bonds with NH2 groups and ester bonds with primary OH groups on the CS backbone. The most common method for N,O-thiolation uses pre-activated mercaptocarboxylic acid derivatives, such as L-cysteine (Cys) and thioglycolic acid (TGA), coupled with the amino and hydroxyl groups of CS. This process is typically facilitated by an EDAC coupling agent. Figure 15 illustrates the various strategies used to achieve N,O-thiolation [44,50].
3.2.5. PEGylation
3.2.6. Attachment of Steroids
3.2.7. Complexation with EDTA
3.2.8. Complexation with Cyclodextrins
3.2.9. Crown-Ether-Linked CS
3.3. Other Covalent-Based Synthetic Approaches
3.3.1. Sulfation and Sulfonation
3.3.2. Phosphorylation
3.3.3. Methacrylation
3.4. Crosslinking Methods for Preparation of CS Derivatives
3.4.1. Chemical Crosslinking
3.4.2. Physical Crosslinking
4. Physicochemical Properties, Biological Activity, and Use of CS Derivatives
4.1. Alkylated CS
4.1.1. Carboxyalkylated CS
4.1.2. Quaternized CS
4.2. Acylated CS
4.2.1. Succinyl CS
4.2.2. Benzoyl CS
4.2.3. N-Phthaloylated CS
4.2.4. Thiolated CS
4.2.5. PEGylated CS
4.2.6. CS Derivatives with Cholic and Deoxycholic Acid
4.2.7. CS–EDTA-Crosslinked Polymer
4.2.8. CS Derivatives with Sugar Parts: CS–Cyclodextrin Complex
4.2.9. CS–Crown Ether Derivatives
4.3. Other Covalently Bound CS Derivatives
4.3.1. Sulfonated CS
4.3.2. Phosphorylated CS
4.3.3. Methacrylated CS
4.3.4. CS–Glutaraldehyde and CS–Genipin Crosslinked Polymers
4.4. Physically Crosslinked CS
4.4.1. Ionically Crosslinked CS
4.4.2. Non-Ionically Crosslinked CS
4.5. CS Derivatives in Practice and Future Challenges
4.5.1. Patents
4.5.2. Clinical Studies
4.5.3. Challenges and Future Perspectives
5. Conclusions
Author Contributions
Funding
Data Availability Statement
Acknowledgments
Conflicts of Interest
References
- Freitas, E.D.; Moura, C.F.; Kerwald, J.; Beppu, M.M. An Overview of Current Knowledge on the Properties, Synthesis and Applications of Quaternary Chitosan Derivatives. Polymers 2020, 12, 2878. [Google Scholar] [CrossRef] [PubMed]
- Harugade, A.; Sherje, A.P.; Pethe, A. Chitosan: A review on properties, biological activities and recent progress in biomedical applications. React. Funct. Polym. 2023, 191, 105634. [Google Scholar] [CrossRef]
- Wang, J.; Wang, L.; Yu, H.; Yu, H.; Zain-ul-Abdin; Chen, Y.; Chen, Q.; Zhou, W.; Zhang, H.; Chen, X. Recent progress on synthesis, property and application of modified chitosan: An overview. Int. J. Biol. Macromol. 2016, 88, 333–344. [Google Scholar] [CrossRef] [PubMed]
- Alqahtani, N.F. Functionalized imidazolium ionic liquids-modified chitosan materials: From synthesis approaches to applications. React. Funct. Polym. 2024, 194, 105779. [Google Scholar] [CrossRef]
- Mohite, P.; Shah, S.R.; Singh, S.; Rajput, T.; Munde, S.; Ade, N.; Prajapati, B.G.; Paliwal, H.; Mori, D.; Dudhrejiya, A.V. Chitosan and chito-oligosaccharide: A versatile biopolymer with endless grafting possibilities for multifarious applications. Front. Bioeng. Biotechnol. 2023, 11, 1190879. [Google Scholar] [CrossRef]
- Wang, W.; Meng, Q.; Li, Q.; Liu, J.; Zhou, M.; Jin, Z.; Zhao, K. Chitosan Derivatives and Their Application in Biomedicine. Int. J. Mol. Sci. 2020, 21, 487. [Google Scholar] [CrossRef]
- Abourehab, M.A.S.; Pramanik, S.; Abdelgawad, M.A.; Abualsoud, B.M.; Kadi, A.; Ansari, M.J.; Deepak, A. Recent Advances of Chitosan Formulations in Biomedical Applications. Int. J. Mol. Sci. 2022, 23, 10975. [Google Scholar] [CrossRef]
- Shrestha, R.; Thenissery, A.; Khupse, R.; Rajashekara, G. Strategies for the Preparation of Chitosan Derivatives for Antimicrobial, Drug Delivery, and Agricultural Applications: A Review. Molecules 2023, 28, 7659. [Google Scholar] [CrossRef]
- Petroni, S.; Tagliaro, I.; Antonini, C.; D’Arienzo, M.; Orsini, S.F.; Mano, J.F.; Brancato, V.; Borges, J.; Cipolla, L. Chitosan-Based Biomaterials: Insights into Chemistry, Properties, Devices, and Their Biomedical Applications. Mar. Drugs 2023, 21, 147. [Google Scholar] [CrossRef]
- Pathak, K.; Misra, S.K.; Sehgal, A.; Singh, S.; Bungau, S.; Najda, A.; Gruszecki, R.; Behl, T. Biomedical Applications of Quaternized Chitosan. Polymers 2021, 13, 2514. [Google Scholar] [CrossRef]
- Rout, S.R.; Kar, B.; Pradhan, D.; Biswasroy, P.; Haldar, J.; Rajwar, T.K.; Sarangi, M.K.; Rai, V.K.; Ghosh, G.; Rath, G. Chitosan as a potential biomaterial for the management of oral mucositis, a common complication of cancer treatment. Pharm. Dev. Technol. 2023, 28, 78–94. [Google Scholar] [CrossRef] [PubMed]
- Xia, Y.; Wang, D.; Liu, D.; Su, J.; Jin, Y.; Wang, D.; Han, B.; Jiang, Z.; Liu, B. Applications of Chitosan and its Derivatives in Skin and Soft Tissue Diseases. Front. Bioeng. Biotechnol. 2022, 10, 894667. [Google Scholar] [CrossRef]
- Confederat, L.G.; Tuchilus, C.G.; Dragan, M.; Sha’at, M.; Dragostin, O.M. Preparation and Antimicrobial Activity of Chitosan and Its Derivatives: A Concise Review. Molecules 2021, 26, 3694. [Google Scholar] [CrossRef] [PubMed]
- Jin, H.; Wang, Z. Advances in Alkylated Chitosan and Its Applications for Hemostasis. Macromol 2022, 2, 346–360. [Google Scholar] [CrossRef]
- Burr, S.J.; Williams, P.A.; Ratcliffe, I. Synthesis of cationic alkylated chitosans and an investigation of their rheological properties and interaction with anionic surfactant. Carbohydr. Polym. 2018, 201, 615–623. [Google Scholar] [CrossRef]
- Chen, Z.; Yao, X.; Liu, L.; Guan, J.; Liu, M.; Li, Z.; Yang, Y.; Huang, S.; Wu, J.; Tian, F.; et al. Blood coagulation evaluation of N-alkylated chitosan. Carbohydr. Polym. 2017, 173, 259–268. [Google Scholar] [CrossRef]
- Setyawati, A.; Kartini, I.; Pranowo, D.; Muiz, D.L.J.; Hasyati, S. Synthesis and Characterization of Biodegradable Film Chitosan and Carboxymethyl Chitosan to Substitute Silver Wound Healer Plaster. Orient J. Chem. 2017, 33, 3003–3008. [Google Scholar] [CrossRef]
- Muzzarelli, R.A.A. Carboxymethylated chitins and chitosans. Carbohydr. Polym. 1988, 8, 1–21. [Google Scholar] [CrossRef]
- Jiao, Z.; Huo, Q.; Lin, X.; Chu, X.; Deng, Z.; Guo, H.; Peng, Y.; Lu, S.; Zhou, X.; Wang, X.; et al. Drug-free contact lens based on quaternized chitosan and tannic acid for bacterial keratitis therapy and corneal repair. Carbohydr. Polym. 2022, 286, 119314. [Google Scholar] [CrossRef]
- Curti, E.; De Britto, D.; Campana-Filho, S.P. Methylation of Chitosan with Iodomethane: Effect of Reaction Conditions on Chemoselectivity and Degree of Substitution. Macromol. Biosci. 2003, 3, 571–576. [Google Scholar] [CrossRef]
- de Britto, D.; Assis, O.B.G. A novel method for obtaining a quaternary salt of chitosan. Carbohydr. Polym. 2007, 69, 305–310. [Google Scholar] [CrossRef]
- Rúnarsson, Ö.V.; Malainer, C.; Holappa, J.; Sigurdsson, S.T.; Másson, M. tert-Butyldimethylsilyl O-protected chitosan and chitooligosaccharides: Useful precursors for N-modifications in common organic solvents. Carbohydr. Res. 2008, 343, 2576–2582. [Google Scholar] [CrossRef] [PubMed]
- Shariatinia, Z. Carboxymethyl chitosan: Properties and biomedical applications. Int. J. Biol. Macromol. 2018, 120, 1406–1419. [Google Scholar] [CrossRef] [PubMed]
- Mourya, V.K.; Inamdar, N.N. Chitosan-modifications and applications: Opportunities galore. React. Funct. Polym. 2008, 68, 1013–1051. [Google Scholar] [CrossRef]
- Nanda, B.; Manjappa, A.S.; Chuttani, K.; Balasinor, N.H.; Mishra, A.K.; Murthy, R.S.R. Acylated chitosan anchored paclitaxel loaded liposomes: Pharmacokinetic and biodistribution study in Ehrlich ascites tumor bearing mice. Int. J. Biol. Macromol. 2019, 122, 367–379. [Google Scholar] [CrossRef]
- Zhang, Z.; Jin, F.; Wu, Z.; Jin, J.; Li, F.; Wang, Y.; Wang, Z.; Tang, S.; Wu, C.; Wang, Y. O-acylation of chitosan nanofibers by short-chain and long-chain fatty acids. Carbohydr. Polym. 2017, 177, 203–209. [Google Scholar] [CrossRef]
- Sashiwa, H.; Kawasaki, N.; Nakayama, A.; Muraki, E.; Yamamoto, N.; Arvanitoyannis, I.; Zhu, H.; Aiba, S. Chemical Modification of Chitosan 121:Synthesis of Organo-soluble Chitosan Derivatives toward Palladium Absorbent for Chemical Plating. Chem. Lett. 2002, 31, 598–599. [Google Scholar] [CrossRef]
- Tiew, S.X.; Misran, M. Encapsulation of salicylic acid in acylated low molecular weight chitosan for sustained release topical application. J. Appl. Polym. Sci. 2017, 134, 44849. [Google Scholar] [CrossRef]
- Bashir, S.; Teo, Y.Y.; Ramesh, S.; Ramesh, K.; Khan, A.A. N-succinyl chitosan preparation, characterization, properties and biomedical applications: A state of the art review. Rev. Chem. Eng. 2015, 31, 563–597. [Google Scholar] [CrossRef]
- Aiping, Z.; Tian, C.; Lanhua, Y.; Hao, W.; Ping, L. Synthesis and characterization of N-succinyl-chitosan and its self-assembly of nanospheres. Carbohydr. Polym. 2006, 66, 274–279. [Google Scholar] [CrossRef]
- Zhang, C.; Ping, Q.; Zhang, H.; Shen, J. Synthesis and characterization of water-soluble O-succinyl-chitosan. Eur. Polym. J. 2003, 39, 1629–1634. [Google Scholar] [CrossRef]
- Dubashynskaya, N.V.; Bokatyi, A.N.; Dobrodumov, A.V.; Kudryavtsev, I.V.; Trulioff, A.S.; Rubinstein, A.A.; Aquino, A.D.; Dubrovskii, Y.A.; Knyazeva, E.S.; Demyanova, E.V.; et al. Succinyl Chitosan-Colistin Conjugates as Promising Drug Delivery Systems. Int. J. Mol. Sci. 2023, 24, 166. [Google Scholar] [CrossRef] [PubMed]
- Caddeo, C.; Pons, R.; Carbone, C.; Fernàndez-Busquets, X.; Cardia, M.C.; Maccioni, A.M.; Fadda, A.M.; Manconi, M. Physico-chemical characterization of succinyl chitosan-stabilized liposomes for the oral co-delivery of quercetin and resveratrol. Carbohydr. Polym. 2017, 157, 1853–1861. [Google Scholar] [CrossRef] [PubMed]
- Thao, N.T.T.; Wijerathna, H.M.S.M.; Kumar, R.S.; Choi, D.; Dananjaya, S.H.S.; Attanayake, A.P. Preparation and characterization of succinyl chitosan and succinyl chitosan nanoparticle film: In vitro and in vivo evaluation of wound healing activity. Int. J. Biol. Macromol. 2021, 193, 1823–1834. [Google Scholar] [CrossRef]
- Cai, J.; Dang, Q.; Liu, C.; Fan, B.; Yan, J.; Xu, Y.; Li, J. Preparation and characterization of N-benzoyl-O-acetyl-chitosan. Int. J. Biol. Macromol. 2015, 77, 52–58. [Google Scholar] [CrossRef]
- Atrees, M.S.; Metwally, E.; Demerdash, M.; Salem, H. Sorption behavior of Pr and Nd upon chitosan benzoyl thiourea derivatives. J. Radiat. Res. Appl. Sci. 2016, 9, 207–216. [Google Scholar] [CrossRef]
- Sabarudin, A.; Oshima, M.; Noguchi, O.; Motomizu, S. Functionalization of chitosan with 3-nitro-4-amino benzoic acid moiety and its application to the collection/concentration of molybdenum in environmental water samples. Talanta 2007, 73, 831–837. [Google Scholar] [CrossRef]
- Lee, D.; Quan, Z.S.; Lu, C.; Jeong, J.A.; Song, C.; Song, M.-S.; Chai, K.Y. Preparation and Physical Properties of Chitosan Benzoic Acid Derivatives Using a Phosphoryl Mixed Anhydride System. Molecules 2012, 17, 2231–2239. [Google Scholar] [CrossRef]
- Mohamed, N.A.; El-Ghany, N.A.A.; Abdel-Aziz, M.M. Synthesis, characterization, anti-inflammatory and anti-Helicobacter pylori activities of novel benzophenone tetracarboxylimide benzoyl thiourea cross-linked chitosan hydrogels. Int. J. Biol. Macromol. 2021, 181, 956–965. [Google Scholar] [CrossRef]
- Kurita, K.; Ikeda, H.; Shimojoh, M.; Yang, J. N-Phthaloylated Chitosan as an Essential Precursor for Controlled Chemical Modifications of Chitosan: Synthesis and Evaluation. Polym. J. 2007, 39, 945–952. [Google Scholar] [CrossRef]
- Aiedeh, K.; Taha, M.O. Synthesis of Chitosan Succinate and Chitosan Phthalate and Their Evaluation as Suggested Matrices in Orally Administered, Colon-Specific Drug Delivery Systems. Arch. Pharm. 1999, 332, 103–107. [Google Scholar] [CrossRef]
- Permadi, R.; Rizal, V.; Suk, E.H.; Misran, M. Synthesis and Characterization of Acylated Low Molecular Weight Chitosan and Acylated Low Molecular Weight Phthaloyl Chitosan. Sains Malays. 2020, 49, 2251–2260. [Google Scholar] [CrossRef]
- Kurita, K.; Ikeda, H.; Yoshida, Y.; Shimojoh, M.; Harata, M. Chemoselective protection of the amino groups of chitosan by controlled phthaloylation: Facile preparation of a precursor useful for chemical modifications. Biomacromolecules 2002, 3, 1–4. [Google Scholar] [CrossRef] [PubMed]
- Alkabli, J. Progress in preparation of thiolated, crosslinked, and imino-chitosan derivatives targeting specific applications. Eur. Polym. J. 2022, 165, 110998. [Google Scholar] [CrossRef]
- Federer, C.; Kurpiers, M.; Berkop-Schnurch, A. Thiolated Chitosans: A Multi-talented Class of Polymers for Various Applications. Biomacromolecules 2021, 22, 24–56. [Google Scholar] [CrossRef]
- Ways, T.M.M.; Lau, W.M.; Khutoryanskiy, V.V. Chitosan and Its Derivatives for Application in Mucoadhesive Drug Delivery Systems. Polymers 2018, 10, 267. [Google Scholar] [CrossRef]
- Bernkop-Schnürch, A.; Schwarz, V.; Steininger, S. Polymers with thiol groups: A new generation of mucoadhesive polymers? Pharm. Res. 1999, 16, 876–8881. [Google Scholar] [CrossRef]
- Bernkop-Schnürch, A.; Hornof, M.; Guggi, D. Thiolated chitosans. Eur. J. Pharm. Biopharm. 2004, 57, 9–17. [Google Scholar] [CrossRef]
- Kafedjiiski, K.; Hoffer, M.; Werle, M.; Bernkop-Schnürch, A. Improved synthesis and in vitro characterization of chitosan− thioethylamidine conjugate. Biomaterials 2006, 27, 127–135. [Google Scholar] [CrossRef]
- Lal, S.; Arora, S.; Kumar, V.; Rani, S.; Sharma, C.; Kumar, P. Thermal and biological studies of Schiff bases of chitosan derived from heteroaryl aldehydes. J. Therm. Anal. Calorim. 2018, 132, 1707–1716. [Google Scholar] [CrossRef]
- Liu, X.; Li, X.; Zhang, R.; Wang, L.; Feng, Q. A novel dual microsphere based on water-soluble thiolated chitosan/mesoporous calcium carbonate for controlled dual drug delivery. Mater. Lett. 2021, 285, 129142. [Google Scholar] [CrossRef]
- Wibel, R.; Braun, D.E.; Hämmerle, L.; Jörgensen, A.M.; Knoll, P.; Salvenmoser, W.; Steinbring, C.; Bernkop-Schnurch, A. In Vitro Investigation of Thiolated Chitosan Derivatives as Mucoadhesive Coating Materials for Solid Lipid Nanoparticles. Biomacromolecules 2021, 22, 3980–3991. [Google Scholar] [CrossRef] [PubMed]
- Peng, H.; Xiong, H.; Li, J.; Chen, L.; Zhao, Q. Methoxy poly(ethylene glycol)-grafted-chitosan based microcapsules: Synthesis, characterization and properties as a potential hydrophilic wall material for stabilization and controlled release of algal oil. J. Food Eng. 2010, 101, 113–119. [Google Scholar] [CrossRef]
- Wang, H.; Zhao, P.; Liang, X.; Gong, X.; Song, T.; Niu, R.; Chang, J. Folate-PEG coated cationic modified chitosan—Cholesterol liposomes for tumor-targeted drug delivery. Biomaterials 2010, 31, 4129–4138. [Google Scholar] [CrossRef]
- Hu, F.Q.; Meng, P.; Dai, Y.Q.; Du, Y.Z.; You, J.; Wei, X.H.; Yuan, H. PEGylated chitosan-based polymer micelle as an intracellular delivery carrier for anti-tumor targeting therapy. Eur. J. Pharm. Biopharm. 2008, 70, 749–757. [Google Scholar] [CrossRef]
- Casettari, L.; Vllasaliu, D.; Castagnino, E.; Stolnik, S.; Howdle, S.; Illium, L. PEGylated chitosan derivatives: Synthesis, characterizations and pharmaceutical applications. Prog. Polym. Sci. 2012, 37, 659–685. [Google Scholar] [CrossRef]
- Luo, Q.; Gao, H.; Peng, L.; Liu, G.; Zhang, Z. Synthesis of PEGylated chitosan copolymers as efficiently antimicrobial coatings for leather. J. Appl. Polym. Sci. 2016, 133, 43465. [Google Scholar] [CrossRef]
- Malhotra, M.; Lane, C.; Tomaro-Duchesneau, C.; Saha, S.; Prakash, S. A novel method for synthesizing PEGylated chitosan nanoparticles: Strategy, preparation, and in vitro analysis. Int. J. Nanomed. 2011, 6, 485–494. [Google Scholar] [CrossRef]
- Chae, S.Y.; Son, S.; Lee, M.; Jang, M.K.; Nah, J.W. Deoxycholic acid-conjugated chitosan oligosaccharide nanoparticles for efficient gene carrier. J. Control. Release 2005, 109, 330–344. [Google Scholar] [CrossRef]
- Ding, Y.; Cui, W.; Vara Prasad, C.V.N.S.; Wang, B. Design and Synthesis of Lactose, Galactose and Cholic Acid Related Dual Conjugated Chitosan Derivatives as Potential Anti Liver Cancer Drug Carriers. Polymers 2021, 13, 2939. [Google Scholar] [CrossRef]
- Jain, A.; Gubalke, A. A New Horizon in Modifications of Chitosan: Synthesis and Applications. Crit. Rev. Ther. Drug Carr. Syst. 2013, 30, 91–181. [Google Scholar] [CrossRef] [PubMed]
- El-Sharif, A.A.; Hussain, M.H. Chitosan-EDTA new combination is a promising candidate for treatment of bacterial and fungal infections. Curr. Microbiol. 2011, 62, 739–745. [Google Scholar] [CrossRef] [PubMed]
- Loretz, B.; Bernkop-Schnürch, A. In vitro evaluation of chitosan-EDTA conjugate polyplexes as a nanoparticulate gene delivery system. AAPS J. 2006, 8, 756–764. [Google Scholar] [CrossRef] [PubMed]
- Bernkop-Schnürch, A.; Paikl, C.; Valenta, C. Novel bioadhesive chitosan-EDTA conjugate protects leucine enkephalin from degradation by aminopeptidase N. Pharm. Res. 1997, 14, 917–922. [Google Scholar] [CrossRef]
- Mikušová, V.; Mikuš, P. Advances in Chitosan-Based Nanoparticles for Drug Delivery. Int. J. Mol. Sci. 2021, 22, 9652. [Google Scholar] [CrossRef]
- Auzély-Velty, R.; Rinaudo, M. Chitosan Derivatives Bearing Pendant Cyclodextrin Cavities: Synthesis and Inclusion Performance. Macromolecules 2001, 34, 3574–3580. [Google Scholar] [CrossRef]
- Venter, J.P.; Kotzé, A.F.; Auzély-Velty, R.; Rinaudo, M. Synthesis and evaluation of the mucoadhesivity of a CD-chitosan derivative. Int. J. Pharm. 2006, 313, 36–42. [Google Scholar] [CrossRef]
- Mahmoud, A.A.; El-Feky, G.S.; Kamel, R.; Awad, G.E.A. Chitosan/sulfobutylether-β-cyclodextrin nanoparticles as a potential approach for ocular drug delivery. Int. J. Pharm. 2011, 413, 229–236. [Google Scholar] [CrossRef]
- Vega, E.; Egea, M.A.; Calpena Campmany, A.C.; Espina Garcia, M.; Garcia, M.L. Role of hydroxypropyl-β-cyclodextrin on freeze-dried and gamma-irradiated PLGA and PLGA-PEG diblock copolymer nanospheres for ophthalmic flurbiprofen delivery. Int. J. Nanomed. 2012, 7, 1357–1371. [Google Scholar] [CrossRef]
- Lu, L.; Shao, X.; Jiao, Y.; Zhou, C. Synthesis of chitosan-graft-β-cyclodextrin for improving the loading and release of doxorubicin in the nanopaticles. J. Appl. Polym. Sci. 2014, 131, 41034. [Google Scholar] [CrossRef]
- Chen, S.; Wang, Y. Study on β-cyclodextrin grafting with chitosan and slow release of its inclusion complex with radioactive iodine. J. Appl. Polym. Sci. 2001, 82, 2414–2421. [Google Scholar] [CrossRef]
- Song, M.; Li, L.; Zhang, Y.; Chen, K.; Wang, H.; Gong, R. Carboxymethyl-β-cyclodextrin grafted chitosan nanoparticles as oral delivery carrier of protein drugs. React. Funct. Polym. 2017, 117, 10–15. [Google Scholar] [CrossRef]
- Toeri, J.; Osorio-Madrazo, A.; Laborie, M.-P. Preparation and Chemical/Microstructural Characterization of Azacrown Ether-Crosslinked Chitosan Films. Materials 2017, 10, 400. [Google Scholar] [CrossRef] [PubMed]
- Wan, L.; Wang, Y.; Qian, S. Study on the adsorption properties of novel crown ether crosslinked chitosan for metal ions. J. Appl. Polym. Sci. 2002, 84, 29–34. [Google Scholar] [CrossRef]
- Peng, C.H.; Chen, Y.F.; Tang, M.T. Synthesis and adsorption properties of chitosan-crown ether resins. J. Cent. South Univ. Technol. 2003, 10, 103–107. [Google Scholar] [CrossRef]
- Dimassi, S.; Tabary, N.; Chai, F.; Blachemain, N.; Martel, B. Sulfonated and sulfated chitosan derivatives for biomedical applications: A review. Carbohydr. Polym. 2018, 202, 382–396. [Google Scholar] [CrossRef]
- Rwei, S.-P.; Chen, Y.-M.; Lin, W.-Y.; Chiang, W.-Y. Synthesis and Rheological Characterization of Water-Soluble Glycidyltrimethylammonium-Chitosan. Mar. Drugs 2014, 12, 5547–5562. [Google Scholar] [CrossRef]
- Tsai, H.S.; Wang, Y.Z.; Lin, J.J.; Lien, W.F. Preparation and Properties of Sulfopropyl Chitosan Derivatives with Various Sulfonation Degree. J. Appl. Polym. Sci. 2010, 116, 1686–1693. [Google Scholar] [CrossRef]
- Zhang, X.; Sun, J. Synthesis, Characterization, and Properties of Sulfonated Chitosan for Protein Adsorption. Int. J. Polym. Sci. 2020, 202, 9876408. [Google Scholar] [CrossRef]
- Sun, Z.; Shi, C.; Wang, X.; Fang, Q.; Huang, J. Synthesis, characterization, and antimicrobial activities of sulfonated chitosan. Carbohydr. Polym. 2017, 155, 321–328. [Google Scholar] [CrossRef]
- Han, Z.; Zeng, Y.; Zhang, M.; Zhang, Y.; Zhang, L. Monosaccharide compositions of sulfated chitosans obtained by analysis of nitrous acid degraded and pyrazolone-labeled products. Carbohydr. Polym. 2016, 136, 376–383. [Google Scholar] [CrossRef] [PubMed]
- Yang, J.; Luo, K.; Li, D.; Yu, S.; Cai, J.; Chen, L.; Du, Y. Preparation, characterization and in vitro anticoagulant activity of highly sulfated chitosan. Int. J. Biol. Macromol. 2013, 52, 25–31. [Google Scholar] [CrossRef] [PubMed]
- Wang, T.; Zhou, Y.; Xie, W.; Chen, L.; Zheng, H.; Fan, L. Preparation and anticoagulant activity of N-succinyl chitosan sulfates. Int. J. Biol. Macromol. 2012, 51, 808–814. [Google Scholar] [CrossRef] [PubMed]
- Sabar, S.; Aziz, H.A.; Yusof, N.H.; Subramaniam, S.; Foo, K.Y.; Wilson, L.D.; Lee, H.K. Preparation of sulfonated chitosan for enhanced adsorption of methylene blue from aqueous solution. React. Funct. Polym. 2020, 151, 104584. [Google Scholar] [CrossRef]
- Martínez-Campos, E.; Civantos, A.; Redondo, J.A.; Guzman, R.; Perez-Perrino, M.; Gallardo, A.; Ramos, V.; Aranaz, I. Cell Adhesion and Proliferation on Sulfonated and Non-Modified Chitosan Films. AAPS Pharm. Sci. Tech. 2017, 18, 974–982. [Google Scholar] [CrossRef]
- Jayakumar, R.; Selvamurugan, N.; Nair, S.V.; Tokura, S.; Tamura, H. Preparative methods of phosphorylated chitin and chitosan—An overview. Int. J. Biol. Macromol. 2008, 43, 221–225. [Google Scholar] [CrossRef]
- Sakaguchi, T.; Horikoshi, T.; Nakajima, A. Adsorption of uranium by chitin phosphate and chitosan phosphate. Agric. Biol. Chem. 1981, 45, 2191–2195. [Google Scholar] [CrossRef]
- Amaral, I.F.; Granja, P.L.; Barbosa, M.A. Chemical modification of chitosan by phosphorylation: An XPS, FT-IR and SEM study. J. Biomater. Sci. 2005, 16, 1575–1593. [Google Scholar] [CrossRef]
- Tsutsumi, A.; Sasajima, S.; Hideshima, T.; Nishi, N.; Nishimura, S.L.; Tokura, S. ESR Studies of Mn(II) Binding to Carboxymethyl and Phosphorylated Chitins in Aqueous Solutions. Polym. J. 1986, 18, 509–511. [Google Scholar] [CrossRef][Green Version]
- Bombaldi de Souza, R.F.; Bombaldi de Souza, F.C.; Thorpe, A.; Mantovani, D.; Popat, K.C.; Moraes, A.M. Phosphorylation of chitosan to improve osteoinduction of chitosan/xanthan-based scaffolds for periosteal tissue engineering. Int. J. Biol. Macromol. 2020, 143, 619–632. [Google Scholar] [CrossRef]
- Wang, X.; Ma, J.; Wang, Y.; He, B. Bone repair in radii and tibias of rabbits with phosphorylated chitosan reinforced calcium phosphate cements. Biomaterials 2002, 23, 4167–4176. [Google Scholar] [CrossRef] [PubMed]
- Yokogawa, Y.; Reyes, J.P.; Mucalo, M.R.; Toriyama, M.; Kawamoto, Y.; Suzuki, T.; Nishizawa, K.; Nagata, F.; Kamayama, T. Growth of calcium phosphate on phosphorylated chitin fibres. J. Mater. Sci. Mater. Med. 1997, 8, 407–412. [Google Scholar] [CrossRef] [PubMed]
- Wang, K.; Liu, Q. Chemical structure analyses of phosphorylated chitosan. Carbohydr. Res. 2014, 386, 48–56. [Google Scholar] [CrossRef] [PubMed]
- Kolawole, O.M.; Lau, W.M.; Khutoryanskiy, V.V. Methacrylated chitosan as a polymer with enhanced mucoadhesive properties for transmucosal drug delivery. Int. J. Pharm. 2018, 550, 123–129. [Google Scholar] [CrossRef]
- Radhakumary, C.; Nair, P.D.; Reghunadhan Nair, C.P.; Mathew, S. Chitosan-comb-graft-polyethylene glycol monomethacrylate—Synthesis, characterization, and evaluation as a biomaterial for hemodialysis applications. J. Appl. Polym. Sci. 2009, 114, 2873–2886. [Google Scholar] [CrossRef]
- Kumar, S.; Deepak, V.; Kumari, M.; Dutta, P.K. Antibacterial activity of diisocyanate-modified chitosan for biomedical applications. Int. J. Biol. Macromol. 2016, 84, 349–353. [Google Scholar] [CrossRef]
- Jaiswal, S.; Dutta, P.K.; Kumar, S.; Koh, J.; Pandey, S. Methyl methacrylate modified chitosan: Synthesis, characterization and application in drug and gene delivery. Carbohydr. Polym. 2019, 211, 109–117. [Google Scholar] [CrossRef]
- Lai, J.Y. Biocompatibility of Genipin and Glutaraldehyde Cross-Linked Chitosan Materials in the Anterior Chamber of the Eye. Int. J. Mol. Sci. 2012, 13, 10970–10985. [Google Scholar] [CrossRef]
- Harish Prashanth, K.V.; Tharanathan, R.N. Crosslinked chitosan—Preparation and characterization. Carbohydr. Res. 2006, 341, 169–173. [Google Scholar] [CrossRef]
- Wahba, M.I. Enhancement of the mechanical properties of chitosan. J. Biomater. Sci. 2020, 31, 350–375. [Google Scholar] [CrossRef]
- Pavoni, J.M.; dos Santos, N.Z. Impact of acid type and glutaraldehyde crosslinking in the physicochemical and mechanical properties and biodegradability of chitosan films. Polym. Bull. 2021, 78, 981–1000. [Google Scholar] [CrossRef]
- Wang, Z.; Liu, H.; Luo, W.; Cai, T.; Li, Z.; Liu, Y.; Gao, W.; Wan, Q.; Wang, X.; Wang, J.; et al. Regeneration of skeletal system with genipin crosslinked biomaterials. J. Tissue Eng. 2020, 11, 2041731420974861. [Google Scholar] [CrossRef] [PubMed]
- Pavinatto, A.; Fiamingo, A.; De Lacerda Bukzem, A.; De Souza e Silva, D.; Martins Dos Santos, D.; Domiciano Senra, T.A.; Marcondes Facchinatto, W.; Campana-Filho, S.P. Chemically Modified Chitosan Derivatives. In Frontiers in Biomaterials, 1st ed.; Dotto, G.L., Campana-Filho, S.P., de Almeida Pinto, L.A., Eds.; Bentham Science Publisher: Sharjah, United Arab Emirates, 2017; Volume 3, pp. 107–132. [Google Scholar] [CrossRef]
- Beppu, M.M.; Vieira, R.S.; Aimoli, C.G.; Santana, C.C. Crosslinking of chitosan membranes using glutaraldehyde: Effect on ion permeability and water absorption. J. Membr. Sci. 2007, 301, 126–130. [Google Scholar] [CrossRef]
- Muzzarelli, R.A.A. Genipin-crosslinked chitosan hydrogels as biomedical and pharmaceutical aids. Carbohydr. Polym. 2009, 77, 1–9. [Google Scholar] [CrossRef]
- Sacco, P.; Furlani, F.; De Marzo, G.; Marsich, E.; Paoletti, S.; Donati, I. Concepts for Developing Physical Gels of Chitosan and of Chitosan Derivatives. Gels 2018, 4, 67. [Google Scholar] [CrossRef]
- Islam, N.; Dmour, I.; Taha, M.O. Degradability of chitosan micro/nanoparticles for pulmonary drug delivery. Heliyon 2019, 5, e01684. [Google Scholar] [CrossRef]
- Khoerunnisa, F.; Nurhayati, M.; Dara, F.; Rizki, R.; Nasir, M.; Aziz, H.A.; Hendrawan, H.; Poh, N.E.; Kaewsaneha, C.; Opaprakasit, P. Physicochemical Properties of TPP-Crosslinked Chitosan Nanoparticles as Potential Antibacterial Agents. Fibers Polym. 2021, 22, 2954–2964. [Google Scholar] [CrossRef]
- Jonassen, H.; Kjøniksen, A.L.; Hiorth, M. Stability of chitosan nanoparticles cross-linked with tripolyphosphate. Biomacromolecules 2012, 13, 3747–3756. [Google Scholar] [CrossRef]
- Sarkar, S.D.; Farrugia, B.L.; Dargaville, T.R.; Dhara, S. Physico-chemical/biological properties of tripolyphosphate cross-linked chitosan based nanofibers. Mater. Sci. Eng. C 2013, 33, 1446–1454. [Google Scholar] [CrossRef]
- Silvestro, I.; Francolini, I.; Lisio, V.D.; Martinelli, A.; Pietrelli, L.; d’Abusco, A.S.; Scoppio, A.; Piozzi, A. Preparation and Characterization of TPP-Chitosan Crosslinked Scaffolds for Tissue Engineering. Materials 2020, 13, 3577. [Google Scholar] [CrossRef]
- Negm, N.A.; Hefni, H.H.H.; Abd-Alaal, A.A.A.; Badr, E.A.; Abou Kana, M.T.H. Advancement on modification of chitosan biopolymer and its potential applications. Int. J. Biolog. Macromol. 2020, 152, 681–702. [Google Scholar] [CrossRef] [PubMed]
- Ercelen, S.; Zhang, X.; Duportail, G.; Grandfils, C.; Desbrieres, J.; Karaeva, S.; Tikhonov, V.; Mely, Y.; Babak, V. Physicochemical properties of low molecular weight alkylated chitosans: A new class of potential nonviral vectors for gene delivery. Colloid Surf. B-Biointerfaces 2006, 51, 140–148. [Google Scholar] [CrossRef] [PubMed]
- Geng, Y.; Xue, H.; Zhang, Z.; Panayi, A.C.; Knoedler, S.; Zhou, W.; Mi, B.; Liu, G. Recent Advances in Carboxymethyl Chitosan-Based Materials for Biomedical Applications. Carbohydr. Polym. 2023, 305, 120555. [Google Scholar] [CrossRef]
- Anirudhan, T.S.; Nair, A.S.; Parvathy, J. Extended Wear Therapeutic Contact Lens Fabricated from Timolol Imprinted Carboxymethyl Chitosan-g-hydroxy Ethyl Methacrylate-g-polyacrylamide as a Onetime Medication for Glaucoma. Eur. J. Pharm. Biopharm. 2016, 109, 61–71. [Google Scholar] [CrossRef]
- Zhang, X.; Qin, B.; Wang, M.; Feng, J.; Zhang, C.; Zhu, C.; He, S.; Liu, H.; Wang, Y.; Averick, S.E.; et al. Dual pH-Responsive and Tumor-Targeted Nanoparticle-Mediated Anti-Angiogenesis siRNA Delivery for Tumor Treatment. Int. J. Nanomed. 2022, 17, 953–967. [Google Scholar] [CrossRef]
- Kurniasih, M.; Purwati, T.; Cahyati, T.; Dewi, R.S. Carboxymethyl chitosan as an antifungal agent on gauze. Int. J. Biol. Macromol. 2018, 119, 166–171. [Google Scholar] [CrossRef]
- Chang, G.; Dang, Q.; Liu, C.; Wang, X.; Song, H.; Gao, H.; Sun, H.; Zhang, B.; Cha, D. Carboxymethyl chitosan and carboxymethyl cellulose based self-healing hydrogel for accelerating diabetic wound healing. Carbohydr. Polym. 2022, 292, 119687. [Google Scholar] [CrossRef]
- Mourya, V.K.; Inamdar, N.N. Trimethyl chitosan and its applications in drug delivery. J. Mater. Sci. Mater. Med. 2009, 20, 1057–1079. [Google Scholar] [CrossRef]
- Kebria, M.M.; Karimi, A.; Peyravian, N.; Delattre, C.; Ghasemian, M.; Michaud, P.; Amini, N.; Roudmiane, M.M.M.; Milan, P.B. Designing and synthesis of In-Situ hydrogel based on pullulan/carboxymethyl chitosan containing parathyroid hormone for bone tissue engineering. Materialia 2024, 33, 102026. [Google Scholar] [CrossRef]
- Kim, Y.H.; Yoon, K.S.; Lee, S.-J.; Park, E.-J.; Rhim, J.-W. Synthesis of Fully Deacetylated Quaternized Chitosan with Enhanced Antimicrobial Activity and Low Cytotoxicity. Antibiotics 2022, 11, 1644. [Google Scholar] [CrossRef]
- Nezadi, M.; Keshvari, H.; Shokrolahi, F.; Shokrollahi, P. Injectable, self-healing hydrogels based on gelatin, quaternized chitosan, and laponite as localized celecoxib delivery system for nucleus pulpous repair. Int. J. Biol. Macromol. 2024, 266, 131337. [Google Scholar] [CrossRef] [PubMed]
- Asghar, B.H.; Hassan, R.K.A.; Bakarat, L.A.A.; Alharbi, A.; El Behery, M.; Elshaarawy, R.F.M.; Hassan, Y.A. Cross-linked quaternized chitosan nanoparticles for effective delivery and controllable release of O. europaea phenolic extract targeting cancer therapy. J. Drug Deliv. Sci. Technol. 2023, 83, 104388. [Google Scholar] [CrossRef]
- Liu, J.; Guo, S.; Jin, Z.; Zhao, K. Adjuvanted quaternized chitosan composite aluminum nanoparticles-based vaccine formulation promotes immune responses in chickens. Vaccine 2023, 41, 2982–2989. [Google Scholar] [CrossRef] [PubMed]
- Gao, Z.; Su, C.; Wang, C.; Zhang, Y.; Wang, C.; Yan, H.; Hou, G. Antibacterial and hemostatic bilayered electrospun nanofibrous wound dressings based on quaternized silicone and quaternized chitosan for wound healing. Eur. Polym. J. 2021, 159, 110733. [Google Scholar] [CrossRef]
- Shi, D.; Shen, J.; Zhang, Z.; Shi, C.; Gu, Y.; Liu, Y. Preparation and properties of dopamine-modified alginate/chitosan–hydroxyapatite scaffolds with gradient structure for bone tissue engineering. J. Biomed. Mater. Res. Part A 2019, 107, 1615–1627. [Google Scholar] [CrossRef]
- Xu, J.; Fang, H.; Su, Y.; Kang, Y.; Xu, D.; Cheng, D.X.; Nie, Y.; Wang, H.; Liu, T.; Song, K. 3D bioprinted decellularized extracellular matrix/gelatin/quaternized chitosan scaffold assembling with poly(ionic liquid)s for skin tissue engineering. Int. J. Biol. Macromol. 2022, 220, 1253–1266. [Google Scholar] [CrossRef]
- Tiew, S.X.; Misran, M. Physicochemical properties of acylated low molecular weight chitosans. Int. J. Polym. Mater. Polym. Biomater. 2017, 67, 619–628. [Google Scholar] [CrossRef]
- Al-Remawi, M. Application of N-hexoyl chitosan derivatives with high degree of substitution in the preparation of super-disintegrating pharmaceutical matrices. J. Drug Deliv. Sci. Technol. 2015, 29, 31–41. [Google Scholar] [CrossRef]
- Chavanne, P.; Stevanovic, S.; Wuthrich, A.; Braissant, O.; Pieles, U.; Gruner, P.; Schumacher, R. 3D printed chitosan / hydroxyapatite scaffolds for potential use in regenerative medicine. Biomed. Eng.-Biomed. Tech. 2013, 58, 000010151520134069. [Google Scholar] [CrossRef][Green Version]
- Mansour, A.; Romani, M.; Acharya, A.B.; Rahman, B.; Verron, E.; Badran, Z. Drug Delivery Systems in Regenerative Medicine: An Updated Review. Pharmaceutics 2023, 15, 695. [Google Scholar] [CrossRef]
- Suryani, S.; Chaerunisaa, A.Y.; Joni, I.M.; Ruslin, R.; Aspadiah, V.; Anton, A.; Sartinah, A.; Ramadhan, L.O.A.N. The Chemical Modification to Improve Solubility of Chitosan and Its Derivatives Application, Preparation Method, Toxicity as a Nanoparticles. Nanotechnol. Sci. Appl. 2024, 17, 41–57. [Google Scholar] [CrossRef] [PubMed]
- Chen, Q.; Qi, Y.; Jiang, Y.; Quan, W.; Luo, H.; Wu, K.; Li, S.; Ouyang, Q. Progress in Research of Chitosan Chemical Modification Technologies and Their Applications. Mar. Drugs 2022, 20, 536. [Google Scholar] [CrossRef] [PubMed]
- Lee, J.S.; Kim, H.-S.; Nah, H.; Lee, S.J.; Moon, H.-J.; Bang, J.B.; Lee, J.B.; Do, S.H.; Kwon, I.K.; Heo, D.N. The Effectiveness of Compartmentalized Bone Graft Sponges Made Using Complementary Bone Graft Materials and Succinylated Chitosan Hydrogels. Biomedicines 2021, 9, 1765. [Google Scholar] [CrossRef] [PubMed]
- Bashir, S.; Teo, Y.Y. Synthesis and characterization of pH-sensitive N-succinyl chitosan hydrogel and its properties for biomedical applications. J. Chil. Chem. Soc. 2019, 64, 4571–4574. [Google Scholar] [CrossRef]
- Sripetthong, S.; Eze, F.N.; Sajomsang, W.; Ovatlarnporn, C. Development of pH-Responsive N-benzyl-N-O-succinyl Chitosan Micelles Loaded with a Curcumin Analog (Cyqualone) for Treatment of Colon Cancer. Molecules 2023, 28, 2693. [Google Scholar] [CrossRef]
- Lee, J.S.; Nah, H.; Moon, H.J.; Lee, S.J.; Heo, D.N.; Kwon, I.K. Controllable delivery system: A temperature and pH-responsive injectable hydrogel from succinylated chitosan. Appl. Surf. Sci. 2020, 528, 146812. [Google Scholar] [CrossRef]
- Jain, N.; Rajoriya, V.; Jain, P.K.; Jain, A.K. Lactosaminated-N-succinyl chitosan nanoparticles for hepatocyte-targeted delivery of acyclovir. J. Nanopart. Res. 2014, 16, 2136. [Google Scholar] [CrossRef]
- Argüelles-Monal, W.M.; Lizardi-Mendoza, J.; Fernández-Quiroz, D.; Recillas-Mota, M.T.; Montiel-Herrera, M. Chitosan Derivatives: Introducing New Functionalities with a Controlled Molecular Architecture for Innovative Materials. Polymers 2018, 10, 342. [Google Scholar] [CrossRef]
- Yoksan, R.; Matsusaki, M.; Akashi, M.; Chirachanchai, S. Controlled hydrophobic/hydrophilic chitosan: Colloidal phenomena and nanosphere formation. Colloid Polym. Sci. 2004, 282, 337–342. [Google Scholar] [CrossRef]
- Ubaidulla, U.; Sultana, Y.; Ahmed, F.J.; Khar, R.K.; Panda, A.K. Chitosan Phthalate Microspheres for Oral Delivery of Insulin: Preparation, Characterization, and In Vitro Evaluation. Drug Deliv. 2007, 14, 19–23. [Google Scholar] [CrossRef]
- Karuna, D.S.; Rathnam, G.; Ubaidulla, U.; Ganesh, M. Chitosan phthalate: A novel polymer for the multiparticulate drug delivery system for diclofenac sodium. Adv. Polym. Technol. 2018, 37, 2013–2020. [Google Scholar] [CrossRef]
- Moghaddam, F.A.; Atyabi, F.; Dinarvand, R. Preparation and in vitro evaluation of mucoadhesion and permeation enhancement of thiolated chitosan-pHEMA core-shell nanoparticles. Nanomed. Nanotechnol. Biol. Med. 2009, 5, 208–215. [Google Scholar] [CrossRef] [PubMed]
- Bernkop-Schnürch, A.; Hornof, M.; Zoidl, T. Thiolated polymers-thiomers: Synthesis and in vitro evaluation of chitosan-2-iminothiolane conjugates. Int. J. Pharm. 2003, 260, 229–237. [Google Scholar] [CrossRef] [PubMed]
- Ciro, Y.; Rojas, J.; Yarce, C.J.; Salamanca, C.H. Production and Characterization of Glutathione-Chitosan Conjugate Films as Systems for Localized Release of Methotrexate. Polymers 2019, 11, 2032. [Google Scholar] [CrossRef] [PubMed]
- Qin, Y.; Li, P. Antimicrobial Chitosan Conjugates: Current Synthetic Strategies and Potential Applications. Int. J. Mol. Sci. 2020, 21, 499. [Google Scholar] [CrossRef] [PubMed]
- Jin, X.; Xu, Y.; Shen, J.; Ping, Q.; Su, Z.; You, W. Chitosan–glutathione conjugate-coated poly (butyl cyanoacrylate) nanoparticles: Promising carriers for oral thymopentin delivery. Carbohydr. Polym. 2011, 86, 51–57. [Google Scholar] [CrossRef]
- Li, J.; Shu, Y.; Hao, T.; Wang, Y.; Qian, Y.; Duan, C.; Sun, H.; Lin, Q.; Wang, C. A chitosan-glutathione based injectable hydrogel for suppression of oxidative stress damage in cardiomyocytes. Biomaterials 2013, 34, 9071–9081. [Google Scholar] [CrossRef]
- Manivasagan, P.; Khan, F.; Hoang, G.; Mondal, S.; Kim, H.; Doan, V.H.M.; Kim, Y.M.; Oh, J. Thiol chitosan-wrapped gold nanoshells for near-infrared laser-induced photothermal destruction of antibiotic-resistant bacteria. Carbohydr. Polym. 2019, 225, 115228. [Google Scholar] [CrossRef]
- Le-Vinh, B.; Steinbring, C.; Nguyen, N.M.; Matuszczak, B.; Bernkop-Schnurch, A. S-Protected Thiolated Chitosan versus Thiolated Chitosan as Cell Adhesive Biomaterials for Tissue Engineering. ACS Appl. Mater. Interfaces 2023, 15, 40304–40316. [Google Scholar] [CrossRef]
- Padín-González, E.; Lancaster, P.; Bottini, M.; Gasco, P.; Tran, L.; Fadeel, B.; Wilkins, T.; Monopoli, M.P. Understanding the Role and Impact of Poly (Ethylene Glycol) (PEG) on Nanoparticle Formulation: Implications for COVID-19 Vaccines. Front. Bioeng. Biotechnol. 2022, 10, 882363. [Google Scholar] [CrossRef]
- Hu, Y.; Jiang, H.; Xu, C.; Wang, Y.; Zhu, K. Preparation and characterization of poly(ethylene glycol)-g-chitosan with water- and organosolubility. Carbohydr. Polym. 2005, 61, 472–479. [Google Scholar] [CrossRef]
- Zhu, Y.; Gu, Z.; Liao, Y.; Li, S.; Xue, Y.; Firempong, M.A.; Xu, Y.; Yu, J.; Smyth, H.D.C.; Xu, X. Improved intestinal absorption and oral bioavailability of astaxanthin using poly(ethylene glycol)-graft-chitosan nanoparticles: Preparation, in vitro evaluation, and pharmacokinetics in rats. J. Sci. Food Agric. 2022, 102, 1002–1011. [Google Scholar] [CrossRef] [PubMed]
- Sultan, M.H.; Moni, S.S.; Alqahtani, S.S.; Bakkari, M.A.; Lshammari, A.A.; Almashari, Y.; Alshahrani, S.; Madkhali, O.A.; Mohan, S. Design, physicochemical characterisation, and in vitro cytotoxicity of cisplatin-loaded PEGylated chitosan injectable nano/sub-micron crystals. Saudi Pharm. J. 2023, 31, 861–873. [Google Scholar] [CrossRef] [PubMed]
- Chen, Y.H.; Liu, I.J.; Lin, T.C.; Tsai, M.C.; Hu, S.H.; Hsu, T.C.; Wu, Y.T.; Tzang, B.S.; Chiang, W.C. PEGylated chitosan-coated nanophotosensitizers for effective cancer treatment by photothermal-photodynamic therapy combined with glutathione depletion. Int. J. Biol. Macromol. 2024, 266, 131359. [Google Scholar] [CrossRef] [PubMed]
- Dawson, P.A. Role of the Intestinal Bile Acid Transporters in Bile Acid and Drug Disposition. In Drug Transporters. Handbook of Experimental Pharmacology, 1st ed.; Fromm, M., Kim, R., Eds.; Springer: Berlin/Heidelberg, Germany, 2011; Volume 201, pp. 169–203. [Google Scholar] [CrossRef]
- Virtanen, E.; Kolehmainen, E. Use of Bile Acids in Pharmacological and Supramolecular Applications. Eur. J. Org. Chem. 2004, 2004, 3385–3399. [Google Scholar] [CrossRef]
- Kim, K.S.; Youn, Y.S.; Bae, Y.H. Immune-triggered cancer treatment by intestinal lymphatic delivery of docetaxel-loaded nanoparticle. J. Control. Release 2019, 311–312, 85–95. [Google Scholar] [CrossRef]
- Yao, W.; Xu, Z.; Sun, J.; Luo, J.; Wei, Y.; Zou, J. Deoxycholic acid-functionalised nanoparticles for oral delivery of rhein. Eur. J. Pharm. Sci. 2021, 159, 105713. [Google Scholar] [CrossRef]
- Kim, K.; Kwon, S.; Park, J.H.; Chung, H.; Jeong, S.Y.; Kwon, I.C.; Kim, I.S. Physicochemical characterizations of self-assembled nanoparticles of glycol chitosan-deoxycholic acid conjugates. Biomacromolecules 2005, 6, 1154–1158. [Google Scholar] [CrossRef]
- Park, J.K.; Kim, T.H.; Nam, J.P.; Park, S.C.; Park, Y.H.; Jang, M.K.; Nah, J.W. Bile Acid Conjugated Chitosan Oligosaccharide Nanoparticles for Paclitaxel Carrier. Macromol. Res. 2014, 22, 310–317. [Google Scholar] [CrossRef]
- Pavlović, N.; Goločorbin-Kon, S.; Danić, M.; Stanimirov, B.; Al-Salami, H.; Stankov, K.; Mikov, M. Bile Acids and Their Derivatives as Potential Modifiers of Drug Release and Pharmacokinetic Profiles. Front. Pharmacol. 2018, 9, 1283. [Google Scholar] [CrossRef]
- Arshad, M.; Sarwar, H.S.; Sarfaz, M.; Jalil, A.; Bin Jardan, Y.A.; Farooq, U.; Sohail, M.F. Cholic Acid-Grafted Thiolated Chitosan-Enveloped Nanoliposomes for Enhanced Oral Bioavailability of Azathioprine: In Vitro and In Vivo Evaluation. ACS Omega 2024, 9, 32807–32816. [Google Scholar] [CrossRef] [PubMed]
- Singh, S.; Suri, R.; Tiway, A.K.; Rana, V. Chitosan films: Crosslinking with EDTA modifies physicochemical and mechanical properties. J. Mater. Sci.-Mater. Med. 2012, 23, 687–695. [Google Scholar] [CrossRef] [PubMed]
- Zhou, Y.; Zhao, Y.; Han, J. EDTA-chitosan is a feasible conditioning agent for dentin bonding. Clin. Oral Investig. 2022, 26, 3449–3458. [Google Scholar] [CrossRef] [PubMed]
- Netsomboon, K.; Suchaoin, W.; Laffleur, F.; Prufert, F.; Berkop-Schnurch, A. Multifunctional adhesive polymers: Preactivated thiolated chitosan-EDTA conjugates. Eur. J. Pharm. Biopharm. 2017, 111, 26–32. [Google Scholar] [CrossRef]
- Esteso, M.A.; Romero, C.M. Cyclodextrins: Properties and Applications. Int. J. Mol Sci. 2024, 25, 4547. [Google Scholar] [CrossRef]
- Loftsson, T.; Brewster, M.E. Cyclodextrins as Functional Excipients: Methods to Enhance Complexation Efficiency. J. Pharm. Sci. 2012, 101, 3019–3032. [Google Scholar] [CrossRef]
- Chaleawlert-Umpon, S.; Nuchuchua, O.; Saesoo, S.; Gonil, P.; Ruktanonchai, U.R.; Sajomsang, W.; Pimpha, N. Effect of citrate spacer on mucoadhesive properties of a novel water-soluble cationic β-cyclodextrin-conjugated chitosan. Carbohydr. Polym. 2011, 84, 86–94. [Google Scholar] [CrossRef]
- Harding, S.E. Trends in muco-adhesive analysis. Trends Food Sci. Technol. 2006, 17, 255–262. [Google Scholar] [CrossRef]
- Daimon, Y.; Kamei, N.; Kawakami, K.; Takeda-Morishita, M.; Izawa, H.; Takechi-Haraya, Y.; Saito, H.; Abe, M.; Ariga, K. Dependence of Intestinal Absorption Profile of Insulin on Carrier Morphology Composed of β-Cyclodextrin-Grafted Chitosan. Mol. Pharm. 2016, 13, 4034–4042. [Google Scholar] [CrossRef]
- Yang, Y.; Liu, Y.; Chen, S.; Cheong, K.K.; Teng, B. Carboxymethyl β-cyclodextrin grafted carboxymethyl chitosan hydrogel-based microparticles for oral insulin delivery. Carbohydr. Polym. 2020, 246, 116617. [Google Scholar] [CrossRef]
- Pandey, A. Cyclodextrin-based nanoparticles for pharmaceutical applications: A review. Environ. Chem. Lett. 2021, 19, 4297–4310. [Google Scholar] [CrossRef]
- Norouzi, Z.; Abdouss, M. Electrospun nanofibers using β-cyclodextrin grafted chitosan macromolecules loaded with indomethacin as an innovative drug delivery system. Int. J. Biol. Macromol. 2023, 233, 123518. [Google Scholar] [CrossRef]
- Hao, P.Y.; Zhou, H.Y.; Ren, L.J.; Zheng, H.J.; Tong, J.N.; Chen, Y.W.; Park, H.J. Preparation and antibacterial properties of curcumin-loaded cyclodextrin-grafted chitosan hydrogel. J. Sol.-Gel Sci. Technol. 2023, 106, 877–894. [Google Scholar] [CrossRef]
- Lee, S.J.; Nah, H.; Ko, W.K.; Lee, D.; Moon, H.J.; Heo, M.; Hwang, Y.S.; Bang, J.B.; An, S.H.; Heo, D.N.; et al. Preparation of β-Cyclodextrin-grafted Chitosan Electrospun Nanofibrous Scaffolds as a Hydrophobic Drug Delivery Vehicle for Tissue Engineering Applications. ACS Omega 2021, 6, 28307–28315. [Google Scholar] [CrossRef]
- Yi, Y.; Wang, Y.; Liu, H. Preparation of new crosslinked chitosan with crown ether and their adsorption for silver ion for antibacterial activities. Carbohydr. Polym. 2003, 53, 425–430. [Google Scholar] [CrossRef]
- Murali, S.; Aparna, V.; Suresh, M.K.; Biswas, R.; Jayakumar, R.; Sathianarayanan, S. Amphotericin B loaded sulfonated chitosan nanoparticles for targeting macrophages to treat intracellular Candida glabrata infections. Int. J. Biol. Macromol. 2018, 110, 133–139. [Google Scholar] [CrossRef]
- Gao, Y.; Liu, W.; Wang, W.; Zhang, X.; Zhao, X. The inhibitory effects and mechanisms of 3,6-O-sulfated chitosan against human papillomavirus infection. Carbohydr. Polym. 2018, 198, 329–338. [Google Scholar] [CrossRef]
- Gagliardi, A.; Giuliano, E.; Venkateswararao, E.; Fresta, M.; Bulotta, S.; Awasthi, V.; Cosco, D. Biodegradable Polymeric Nanoparticles for Drug Delivery to Solid Tumors. Front. Pharmacol. 2021, 12, 601626. [Google Scholar] [CrossRef]
- Wang, X.H.; Tian, Q.; Wang, W.; Zhang, C.N.; Wang, P.; Yuan, Z. In vitro evaluation of polymeric micelles based on hydrophobically-modified sulfated chitosan as a carrier of doxorubicin. J. Mate. R Sci.-Mater. Med. 2012, 23, 1663–1674. [Google Scholar] [CrossRef]
- Ji, L.; Yu, Y.; Zhu, F.; Huang, D.; Wang, X.; Wang, J.; Liu, C. 2-N, 6-O sulfated chitosan evokes periosteal stem cells for bone regeneration. Bioact. Mater. 2024, 34, 282–297. [Google Scholar] [CrossRef]
- Jayakumar, R.; Nagahama, H.; Furuike, T.; Tamura, H. Synthesis of phosphorylated chitosan by novel method and its characterization. Int. J. Biol. Macromol. 2008, 42, 335–339. [Google Scholar] [CrossRef] [PubMed]
- Chen, Y.; Chen, Y.; Lu, D.; Qiu, Y. Synthesis of a Novel Water-Soluble Polymer Complexant Phosphorylated Chitosan for Rare Earth Complexation. Polymers 2022, 14, 419. [Google Scholar] [CrossRef] [PubMed]
- Anushree, U.; Punj, P.; Vasumathi; Bharati, S. Phosphorylated chitosan accelerates dermal wound healing in diabetic wistar rats. Glycoconj. J. 2023, 40, 19–31. [Google Scholar] [CrossRef] [PubMed]
- Hamai, R.; Maeda, H.; Sawai, h.; Shirosaki, Y.; Kasuga, T.; Miyazaki, T. Structural effects of phosphate groups on apatite formation in a copolymer modified with Ca2+ in a simulated body fluid. J. Mater. Chem. B 2018, 6, 174–182. [Google Scholar] [CrossRef]
- Wenxiu, L.; Guojiang, H.; Liing, Q.; Wenli, D.; Baoqin, H.; Liming, J.; Yan, Y. Fabrication of bioactive glass/phosphorylated chitosan composite scaffold and its effects on MC3T3-E1 cells. Biomed. Mater. 2024, 19, 025002. [Google Scholar] [CrossRef]
- Gogoi, P.; Dutta, A.; Ramteke, A.; Maji, T.K. Preparation, characterization and cytotoxic applications of curcumin-(±) α-lipoic acid coloaded phosphorylated chitosan nanoparticles in MDA MB 231 breast cancer cell line. Polym. Adv. Technol. 2020, 31, 2827–2841. [Google Scholar] [CrossRef]
- Wei, J.; Xue, W.; Yu, X.; Qiu, X.; Liu, Z. pH Sensitive phosphorylated chitosan hydrogel as vaccine delivery system for intramuscular immunization. J. Biomater. Appl. 2017, 31, 1358–1369. [Google Scholar] [CrossRef]
- Bettencourt, A.; Almeida, A.J. Poly(methyl methacrylate) particulate carriers in drug delivery. J. Microencapsul. 2012, 29, 353–367. [Google Scholar] [CrossRef]
- Thang, N.H.; Chien, T.B.; Cuong, D.X. Polymer-Based Hydrogels Applied in Drug Delivery: An Overview. Gels 2023, 9, 523. [Google Scholar] [CrossRef]
- Anraku, M.; Gebicki, J.M.; Iohara, D.; Tomida, H.; Uekama, K.; Maruyama, T.; Hirayama, F.; Otagiri, M. Antioxidant activities of chitosans and its derivatives in in vitro and in vivo studies. Carbohydr. Polym. 2018, 199, 141–149. [Google Scholar] [CrossRef]
- Liu, Z.; Zhang, M.; Wang, Z.; Wang, Y.; Dong, W.; Ma, W.; Zhao, S.; Sun, D. 3D-printed porous PEEK scaffold combined with CSMA/POSS bioactive surface: A strategy for enhancing osseointegration of PEEK implants. Compos. Part B-Eng. 2022, 230, 109512. [Google Scholar] [CrossRef]
- Senthil, K.; Kalpana, R.; Kumar, V. Effect of Dextrose Cross-Linked Glutaraldehyde Hydrogel on Wound Healing Activity. J. Pharm. Bioallied. Sci. 2024, 16, 1195–1197. [Google Scholar] [CrossRef] [PubMed]
- Monteiro, O.A.; Airoldi, C. Some studies of crosslinking chitosan–glutaraldehyde interaction in a homogeneous system. Int. J. Biol. Macromol. 1999, 26, 119–128. [Google Scholar] [CrossRef]
- Ahmed, B.H.; Manel, M.; Mohamed, D.; Jalel, D. Glutaraldehyde test for the rapid diagnosis of pulmonary and extra-pulmonary tuberculosis in an area with high tuberculosis incidence. Mem. Inst. Oswaldo Cruz. 2017, 112, 779–784. [Google Scholar] [CrossRef]
- Banafati Zadeh, F.; Zamanian, A. Glutaraldehyde: Introducing Optimum Condition for Cross-linking the Chitosan/Gelatin Scaffolds for Bone Tissue Engineering. Int. J. Eng. 2022, 35, 1967–1980. [Google Scholar] [CrossRef]
- Nayak, U.Y.; Gopal, S.; Mutalik, S.; Ranjith, A.K.; Reddy, M.S.; Gupta, P.; Udupa, N. Glutaraldehyde cross-linked chitosan microspheres for controlled delivery of zidovudine. J. Microencapsul. 2009, 26, 214–222. [Google Scholar] [CrossRef]
- Cai, Y.; Lapitsky, Y. Analysis of chitosan/tripolyphosphate micro- and nanogel yields is key to understanding their protein uptake performance. J. Colloid Interface Sci. 2017, 494, 242–254. [Google Scholar] [CrossRef]
- Hoang, N.H.; Le Thanh, T.; Sangpueak, R.; Treekoon, J.; Saengchan, C.; Thepbandit, W.; Papathoti, N.K.; Kamkaew, A.; Buensanteai, N. Chitosan Nanoparticles-Based Ionic Gelation Method: A Promising Candidate for Plant Disease Management. Polymers 2022, 14, 662. [Google Scholar] [CrossRef]
- Valadi, M.; Doostan, M.; Khoshnevisan, K.; Doostan, M.; Maleki, H. Enhanced healing of burn wounds by multifunctional alginate-chitosan hydrogel enclosing silymarin and zinc oxide nanoparticles. Burns 2024, 50, 2029–2044. [Google Scholar] [CrossRef]
- Doostan, M.; Doostan, M.; Mohammadi, P.; Khoshnevisan, K.; Maleki, H. Wound healing promotion by flaxseed extract-loaded polyvinyl alcohol/chitosan nanofibrous scaffolds. Int. J. Biol. Macromol. 2023, 228, 506–516. [Google Scholar] [CrossRef]
- Dinu, M.V.; Gradinaru, A.C.; Lazar, M.M.; Dinu, I.A.; Raschip, I.E.; Ciocarlan, N.; Aprotosoaie, A.C. Physically cross-linked chitosan/dextrin cryogels entrapping Thymus vulgaris essential oil with enhanced mechanical, antioxidant and antifungal properties. Int. J. Biol. Macromol. 2021, 184, 898–908. [Google Scholar] [CrossRef] [PubMed]
- Maleki, H.; Doostan, M.; Khoshnevisan, K.; Baharifar, H.; Maleki, S.A.; Fatahi, M.A. Zingiber officinale and thymus vulgaris extracts co-loaded polyvinyl alcohol and chitosan electrospun nanofibers for tackling infection and wound healing promotion. Heliyon 2024, 10, e23719. [Google Scholar] [CrossRef] [PubMed]
- Amalraj, A.; Haponiuk, J.T.; Thomas, S.; Gopi, S. Preparation, characterization and antimicrobial activity of polyvinyl alcohol/gum arabic/chitosan composite films incorporated with black pepper essential oil and ginger essential oil. Int. J. Biol. Macromol. 2020, 151, 366–375. [Google Scholar] [CrossRef] [PubMed]
- Edo, G.I.; Yousif, E.; Al-Mashhadani, H. Chitosan: An overview of biological activities, derivatives, properties, and current advancements in biomedical applications. Carbohydr. Res. 2024, 542, 109199. [Google Scholar] [CrossRef]
- ClinicalTRials.gov. Available online: https://clinicaltrials.gov (accessed on 23 September 2024).
- Kantak, M.N.; Bharate, S.S. Analysis of clinical trials on biomaterial and therapeutic applications of chitosan: A review. Carbohydr. Polym. 2022, 278, 118999. [Google Scholar] [CrossRef]

































| CS Derivative | Formula | Physical Properties | Biological Properties | Preparation Method | Advantages/Limitations/Potential Use | References |
|---|---|---|---|---|---|---|
| Alkylated CS Derivatives | ||||||
| Alkylated derivatives (in general) | ![]() | -solubility is lowered when the alkyl chain is too long -soluble at a broad range of pH values (2–12); strong mucoadhesion; decreased TEER; increased paracellular permeability of basic or neutral macromolecules | -biocompatibility -biodegradability | -alkylation reaction with alkyl halides under basic conditions with the introduction of an alkyl group on the N and O atoms of CS | -strong aggregation with anionic macromolecules such as heparin -coagulation and antibacterial -DNA delivery with dodecyl CS -increasing entry into cells facilitated by hydrophobic interactions and easier unpacking of DNA from alkylated CS carriers -antibacterial properties -increased cell entry | [6,14,15,16] |
| Carboxyalkylated CS | ![]() | -amphoteric nature -water-soluble -film- and gel-forming abilities -solubility depends on pH -insoluble at pH 3–7 (depending on the degree of substitution) due to its polyampholytic nature | -biodegradability -biocompatibility -bioactivity -non-toxicity | N,O-CMC NaOH, chloroacetic acid, isopropanol, 50 °C O-CMC same but 55 °C and strongly alkaline N-CMC Glyoxylic acid, NaBH4, pH = 3, 2–4, CH3COOH/NaOH, 60 °C N,N-CMC Same as N-CMC but pH = 2–3 Amine–glyoxylic = 1:9 | -antibacterial, anticancer, antitumor, antifungal, antioxidant -drug/gene therapy, targeted/controlled release of therapeutics -wound healing, tissue engineering, and bioimaging applications -protein drug delivery systems as super porous hydrogels, pH-sensitive hydrogels, crosslinked hydrogels | [17,18,19,20,23] |
| Quaternized derivatives | ![]() | -cationic derivatives -water-soluble at neutral pH -N,N,N-trimethyl CS chloride (TMC) increases aqueous solubility than CS -soluble at a wide range of pH values | -biocompatibility -biodegradability -mucoadhesion | -direct quaternary ammonium substitution -epoxy derivative open loop -N-alkylation | -antifungal, antibacterial, antituberculosis -enzyme inhibition -permeation enhancers -gene transfection and delivery -good moisture retention and absorption -mucoadhesion decreases with increased degree of quaternization -with an increasing degree of quaternization, intrinsic viscosity decreases -pH 7.4 CS and salts failed to increase the permeability -absorption enhancer for intestinal lumen with pH close to its pKa -TMC: collecting and delivering negatively charged DNA/genes -better than plain CS -quaternized CS has an increased hydroxyl radical scavenging activity in comparison to other CS -pH-sensitive targeting -DNA delivery properties | [1,19] |
| Formula | Physical Properties | Biological Properties | Preparation Method | Advantages/Limitations/Potential Use | References |
|---|---|---|---|---|---|
![]() | -O-acylated CS is lipid-soluble and dissolved in non-polar solvents—pyridine and chloroform—while N-acylated CS improves water solubility -The length of the side chain is proportional to the crystallinity, and a longer side chain results in higher crystallinity and lower relative solubility | -biocompatibility -non-toxicity -biodegradability | -CS dissolved in 1% acetic acid–methanol at 1:1. -neutralization before the dropwise addition of acid anhydride -solution left overnight and neutralized before precipitation with a large quantity of acetone -centrifugation at 5000 rpm for 2 min at 25 °C and the precipitate was washed with excess methanol and dried overnight under a vacuum | -anticoagulability and blood compatibility -can be used as a carrier or sustained-release agent in pharmaceutical applications -O-acylated CS is used in the films of fibers or polymeric materials to enhance the hydrophobicity and stability of the material; N-acylated CS can be used as a carrier or a sustained-release agent in the delivery of drugs and can also be used as a material additive in biological scaffolds | [6,25,26,28] |
| Formula | Physical Properties | Biological Properties | Preparation Method | Advantages/Limitations/Potential Use | References |
|---|---|---|---|---|---|
![]() | -water-soluble -pH-sensitive -insolubility at pH 4, 5–6, and 8 owing to the isoelectric point, which exists at equimolar numbers of -NH3+ and -COO− groups in the molecule | -biocompatibility, low toxicity, and long-term retention in the body | -inclusion of succinyl groups on the N-termini of the glucosamine units of CS (succinic anhydride, L-lactic acid, methanol, pH = 6–7 for 24 h) | -anti-inflammatory, antibacterial, antimicrobial, anticoagulating, and aggregating properties -moisture retention ability -lactosaminated N-succinyl CS and its fluorescein thiocarbonyl derivative can be used as liver-specific drug carriers in mice through asialoglycoprotein receptors -wound-healing activity | [32,33,34] |
| Formula | Physical Properties | Biological Properties | Preparation Method | Advantages/Limitations/Potential Use | References |
|---|---|---|---|---|---|
![]() | -better foam formation and foaming stability -soluble in DMSO, DMF, and acetone -insoluble in THF and ethanol | -biodegradability -biocompatibility | -benzoylation of CS -partial acylation of CS, benzoyl chloride, and acetic acid under high-intensity ultrasound | -antifungal and antibacterial activity stronger than CS -similar thermal stability to CS -BBTU-CS-4 (4,4-(5,5′ carbonylbis(1,3-dioxoisoindoline-5,2-diyl))dibenzoyl isothiocyanate) showed promising potential as an anti-H. pylori and selective anti-inflammatory agent -in comparison with the COX inhibitor celecoxib, BBTU-CS showed inhibition activity towards COX enzymes, with selective inhibition towards COX-2 | [35,38,39] |
| Formula | Physical Properties | Biological Properties | Preparation Method | Advantages/Limitations/Potential Use | References |
|---|---|---|---|---|---|
![]() | -soluble in organic solvents, film formability, flexibility -increased permeance and hydrophilicity | -biocompatibility -biodegradability | -CS with phthalic anhydride in N,N-dimethylformamide (DMF) at 130 °C and O-(3,6-hydroxyethyl) CS was produced using chlorohydrins as a grafting agent and hydrazine hydrate as a reductant | -N-phthaloyl CS derivatives have higher reactivity than N,O-phthaloylated CS derivatives -enhanced drug solubilization | [40,41,42,43] |
| Formula | Physical Properties | Biological Properties | Preparation Method | Advantages/Limitations/Potential Use | References |
|---|---|---|---|---|---|
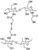
![]() | -cohesive properties for prolonged controlled release -hydrophilic macromolecules | -adhesion to biological surfaces -biocompatibility -biodegradability -enzyme inhibition -antioxidative properties | -immobilization of thiol-bearing moieties in the 2-position of glucosamine -using thiolating agents bearing thiol groups like cysteine, thioglycolic acid (TGA), 2-iminothiolane or 4-thiobutylamidine (TBA), N-acetyl cysteine, isopropyl-S-acetylthioacetimidate, and glutathione -oxidation of thiol groups during synthesis can be avoided by performing the reaction under inert conditions | -controlled release of covalently bound active pharmaceutical ingredients -enhanced API permeation due to opened tight junctions caused by the interaction of thiolated CS with cysteine-bearing membrane receptors and enzymes -permeation-enhancing effects, ability to inhibit efflux pumps, and in situ gelling properties -improved permeability -controllable drug release | [45,46,47,48,49,50,51,52] |
| Formula | Physical Properties | Biological Properties | Preparation Method | Advantages/Limitations/Potential Use | References |
|---|---|---|---|---|---|
![]() | -prolonged body residence time -soluble in water and organic solvents (DMF, DMSO) | -biocompatible -no toxicity, antigenicity, and immunogenicity | 1. deacetylation of CS 2. using DMF for preparation of phthaloyl CS 3. SOCl2 and pyridine-prepared chlorinated phthaloyl CS intermediate 4. NaH and tetrahydrofuran (THF) PEGylated phthaloyl CS 5. deprotection of PEGylated phthaloyl CS by hydrazine monohydrate and final product = PEGylated CS 6.-grafting hydrophilic PEG onto the backbone of CS | -antimicrobial activity -reduced renal clearance and limited toxicity -increases the stability of the drug against enzymatic degradation -low cytotoxicity, higher ductility, and body fluid stability make this derivative attractive for drug delivery, hydrogels, and nanotechnology | [53,56,57,58] |
| Formula | Physical Properties | Biological Properties | Preparation Method | Advantages/Limitations/Potential Use | References |
|---|---|---|---|---|---|
![]() | -low transfection efficacy in comparison to viral transfection, reducing the cationic charge of the polymer, thus reducing the strength of binding to poly-anionic plasmid DNA -crosslinked CS–EDTA polymer could produce stabilized particles with efficient release | -mucoadhesive properties -biocompatibility -biodegradability | -conjugates have been generated by carbodiimide condensation with acids or by interacting with anhydrides of complexing agent EDTA -covalent crosslinking can be achieved with a smaller amount of EDTA during the coupling reaction—one EDTA molecule is bound to more than only one amino group of CS | -better mucoadhesion than unmodified CS -inhibits Zn- and Co-dependent proteases including carboxypeptidase A and aminopeptidase N -no Ca-dependent serine protease inhibition -can be used as a carrier matrix where the release of drugs can be controlled -antimicrobial activity | [63,64,65] |
| Formula | Physical Properties | Biological Properties | Preparation Method | Advantages/Limitations/Potential Use | References |
|---|---|---|---|---|---|
![]() | -hydrophilic external surface and hydrophobic internal cavity -inclusion of small organic molecules -cyclodextrins enhance solubility and dissolution of poorly water-soluble drugs -enhanced wettability | -non-toxicity -mucoadhesion | 1. reductive amination -a solution of CS in acetic acid/methanol reacts with an aldehyde-containing CD derivative in the presence of NaCNBH3 2. amidation of CDs modified with a carboxylic group with the amino groups of CS 3. nucleophilic substitution of halides or tosyl groups by CS amino groups 4. anchoring β-cyclodextrin onto CS by click chemistry using Huisgen cycloaddition reaction | -electrostatic interactions between chitosan-g-CDs and insulin allowed strong binding at a wide range of pH values -potential to be applied in the delivery of peptides and proteins as an efficient delivery carrier -improving cell proliferation -orthopedic applications | [68,69,70,71,72] |
| Formula | Physical Properties | Biological Properties | Preparation Method | Advantages/Limitations/Potential Use | References |
|---|---|---|---|---|---|
![]() | -do not dissolve in general organic solvents (such as dimethysulfoxide, formamide, and dimethylformamide) -can be powdered and are thus better adsorbents than simple CS | -biocompatibility -biodegradability -mucoadhesion | -reaction of 4,4′-diformyldibenzo-18-c-6 crown ether with crosslinked CS | -bacteriostatic potential -good complexing selectivity for metal ions because of the synergistic effect of a high molecular weight -crown-ether-bound CS has good absorption capacity for Pd2+, Au3+, and Ag+ ions and high selectivity for the adsorption of Pd2+ in the presence of Cu2+ and Hg2+ -enhanced wettability -orthopedic applications—smart drug delivery systems | [73,74,75] |
| Formula | Physical Properties | Biological Properties | Preparation Method | Advantages/Limitations/Potential Use | References |
|---|---|---|---|---|---|
![]() | -enhanced water solubility -water-soluble amphoteric polymer -flocculant, separating agent -for immunogen carriers, water-soluble drug carriers | -biocompatibility -biodegradability -hemocompatibility | -hydrothermal grafting reaction using 4-formyl-1,3-benzene disulfonate and glutaraldehyde as a crosslinker reagent -CS with chlorosulfonic acid (ClHSO3) in pyridine or with sulfur trioxide (SO3) in dimethylformamide (DMF) | -selective antimicrobial activity, antifungal, antibacterial, anticoagulant -stronger antibacterial activity against Gram-negative bacteria -antiviral activity -a structure similar to heparin that is studied for inexpensive anticoagulant activity | [76,78,82,83,84,85] |
| Formula | Physical Properties | Biological Properties | Preparation Method | Advantages/Limitations/Potential Use | References |
|---|---|---|---|---|---|
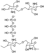
![]() | -good water solubility -good application prospects as an excellent rare earth complexant | -biocompatibility -biodegradability -osteoinductive properties | -H3PO4/P2O5/Et3PO4/hexanol method -Kabachnik–Fields reaction (CS with phosphorous acid and formaldehyde sequentially or simultaneously in aqueous acidic medium provides water-soluble N-mono- and di-phosphonicmethylene CS) | -bactericidal and osteoinductive properties -less thermal stability and crystallinity than CS -CS extended with phosphorous-containing groups like the -COOH group of carboxymethyl CS made to react with -NH2 of phosphatidylethanolamine, affording an amphiphilic polymer, which was investigated regarding its feasibility as a delivery carrier for the transfection of the hydrophobic drug ketoprofen | [90,91,92,93] |
| Formula | Physical Properties | Biological Properties | Preparation Method | Advantages/Limitations/Potential Use | References |
|---|---|---|---|---|---|
![]() | -water-soluble -amorphous network and porous, while CS has a non-porous and flat lamellar phase surface | -biodegradability -biocompatibility | -Reacting CS with methacrylic anhydride at various molar ratios -Michael’s addition reaction | -use of low-molecular-weight PEGDA results in weaker mucoadhesion -good transfection efficiency -simple and viable synthetic strategy to generate drug carriers with greater mucoadhesive properties -methacrylated CS dosage forms offer prolonged drug residence times in the bladder for bladder cancer treatment | [94,95,96,97] |
| Formula | Physical Properties | Biological Properties | Preparation Method | Advantages/Limitations/Potential Use | References |
|---|---|---|---|---|---|
![]() | -higher TPP-to-CS ratios reduced the ζ potential and increased the compactness of the particles -the physical stability of CS nanoparticles crosslinked with TPP is affected by the ionic strength, the CS concentration, and the TPP-to-CS ratio | -biocompatible -non-toxic -biodegradable -cytocompatibility | -ionic gelation for preparation of nanoparticles | -showed superior stability upon storage -improved poor solubility of non-crosslinked CS in aqueous media -TPP nanoparticles prepared and stored in saline solvents were stable for one month -suitable for tissue engineering applications -improving mechanical properties, insolubility, and stability of polymers -gels for wound dressing -ocular implants | [98,99,100,101,102,103,104,105,106,107,108,109,110,111] |
Disclaimer/Publisher’s Note: The statements, opinions and data contained in all publications are solely those of the individual author(s) and contributor(s) and not of MDPI and/or the editor(s). MDPI and/or the editor(s) disclaim responsibility for any injury to people or property resulting from any ideas, methods, instructions or products referred to in the content. |
© 2024 by the authors. Licensee MDPI, Basel, Switzerland. This article is an open access article distributed under the terms and conditions of the Creative Commons Attribution (CC BY) license (https://creativecommons.org/licenses/by/4.0/).
Share and Cite
Žigrayová, D.; Mikušová, V.; Mikuš, P. Advances in Chitosan Derivatives: Preparation, Properties and Applications in Pharmacy and Medicine. Gels 2024, 10, 701. https://doi.org/10.3390/gels10110701
Žigrayová D, Mikušová V, Mikuš P. Advances in Chitosan Derivatives: Preparation, Properties and Applications in Pharmacy and Medicine. Gels. 2024; 10(11):701. https://doi.org/10.3390/gels10110701
Chicago/Turabian StyleŽigrayová, Dominika, Veronika Mikušová, and Peter Mikuš. 2024. "Advances in Chitosan Derivatives: Preparation, Properties and Applications in Pharmacy and Medicine" Gels 10, no. 11: 701. https://doi.org/10.3390/gels10110701
APA StyleŽigrayová, D., Mikušová, V., & Mikuš, P. (2024). Advances in Chitosan Derivatives: Preparation, Properties and Applications in Pharmacy and Medicine. Gels, 10(11), 701. https://doi.org/10.3390/gels10110701

















