Experimental Investigation of the Combustion Characteristics and Thermal Hazards of Methylsilyl-Modified Silica Aerogels
Abstract
1. Introduction
2. Results and Discussion
2.1. Basic Physicochemical Properties of SAs
2.1.1. Density and Thermal Conductivity
2.1.2. Microstructures and Pore Structure
2.1.3. FTIR Analysis and Hydrophobicity
2.2. Combustion Characteristics of SAs
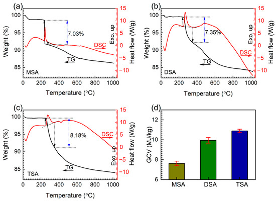
2.2.1. Gross Calorific Value
2.2.2. Combustion Process
2.2.3. Ignition Time and Critical Heat Flux
2.2.4. Fire Spread Rate
2.3. Fire Hazard of SAs
2.3.1. Heat Release
2.3.2. Fire Performance Index
2.4. Combustion Process and Mechanism
3. Conclusions
4. Materials and Methods
4.1. Raw Materials
4.2. Aerogel Preparation
4.3. Basic Characterization
4.4. Combustion Tests
Author Contributions
Funding
Institutional Review Board Statement
Informed Consent Statement
Data Availability Statement
Conflicts of Interest
References
- Zhang, X.; Ni, X.; Li, C.; You, B.; Sun, G. Co-Gel Strategy for Preparing Hierarchically Porous Silica/Polyimide Nanocomposite Aerogel with Thermal Insulation and Flame Retardancy. J. Mater. Chem. A 2020, 8, 9701–9712. [Google Scholar] [CrossRef]
- Liu, Z.; Lyu, J.; Fang, D.; Zhang, X. Nanofibrous Kevlar Aerogel Threads for Thermal Insulation in Harsh Environments. ACS Nano 2019, 13, 5703–5711. [Google Scholar] [CrossRef] [PubMed]
- Soleimani Dorcheh, A.; Abbasi, M.H. Silica Aerogel; Synthesis, Properties and Characterization. J. Mater. Process. Technol. 2008, 199, 10–26. [Google Scholar] [CrossRef]
- Kistler, S.S. Coherent Expanded Aerogels and Jellies. Nature 1931, 127, 741. [Google Scholar] [CrossRef]
- Maleki, H. Recent Advances in Aerogels for Environmental Remediation Applications: A Review. Chem. Eng. J. 2016, 300, 98–118. [Google Scholar] [CrossRef]
- Maleki, H.; Durães, L.; Portugal, A. An Overview on Silica Aerogels Synthesis and Different Mechanical Reinforcing Strategies. J. Non-Cryst. Solids 2014, 385, 55–74. [Google Scholar] [CrossRef]
- Ma, Q.; Liu, Y.; Dong, Z.; Wang, J.; Hou, X. Hydrophobic and Nanoporous Chitosan-Silica Composite Aerogels for Oil Absorption. J. Appl. Polym. Sci. 2015, 132. [Google Scholar] [CrossRef]
- Yin, L.; Xu, J.; Zhang, B.; Wang, L.; Tao, W.; Teng, X.; Ning, W.; Zhang, Z. A Facile Fabrication of Highly Dispersed CeO2/SiO2 Aerogel Composites with High Adsorption Desulfurization Performance. Chem. Eng. J. 2022, 428, 132581. [Google Scholar] [CrossRef]
- Bruzzoniti, M.C.; Appendini, M.; Rivoira, L.; Onida, B.; Bubba, M.D.; Jana, P.; Sorarù, G.D. Polymer-derived ceramic aerogels as sorbent materials for the removal of organic dyes from aqueous solutions. J. Am. Ceram. Soc. 2018, 101, 821–830. [Google Scholar] [CrossRef]
- Villasmil, W.; Fischer, L.J.; Worlitschek, J. A Review and Evaluation of Thermal Insulation Materials and Methods for Thermal Energy Storage Systems. Renew. Sustain. Energy Rev. 2019, 103, 71–84. [Google Scholar] [CrossRef]
- Tang, G.H.; Zhao, Y.; Guo, J.F. Multi-Layer Graded Doping in Silica Aerogel Insulation with Temperature Gradient. Int. J. Heat Mass Transf. 2016, 99, 192–200. [Google Scholar] [CrossRef]
- Çok, S.S.; Gizli, N. Hydrophobic Silica Aerogels Synthesized in Ambient Conditions by Preserving the Pore Structure via Two-Step Silylation. Ceram. Int. 2020, 46, 27789–27799. [Google Scholar] [CrossRef]
- Zhao, Y.; Liang, Y.; Zhao, X.; Jia, Q.; Li, H. Preparation and Microstructure of CuO-CoO-MnO/SiO2 Nanocomposite Aerogels and Xerogels as Catalyst Carriers. Prog. Nat. Sci. Mater. Int. 2011, 21, 330–335. [Google Scholar] [CrossRef]
- Zhang, Q.; Chen, C.; Wang, M.; Cai, J.; Xu, J.; Xia, C. Facile Preparation of Highly-Dispersed Cobalt-Silicon Mixed Oxide Nanosphere and Its Catalytic Application in Cyclohexane Selective Oxidation. Nanoscale Res. Lett. 2011, 6, 586. [Google Scholar] [CrossRef]
- Ulker, Z.; Erkey, C. An Emerging Platform for Drug Delivery: Aerogel Based Systems. J. Control. Release 2014, 177, 51–63. [Google Scholar] [CrossRef]
- García-González, C.A.; Sosnik, A.; Kalmár, J.; De Marco, I.; Erkey, C.; Concheiro, A.; Alvarez-Lorenzo, C. Aerogels in Drug Delivery: From Design to Application. J. Control. Release 2021, 332, 40–63. [Google Scholar] [CrossRef]
- Almeida, C.M.R.; Ghica, M.E.; Ramalho, A.L.; Durães, L. Silica-Based Aerogel Composites Reinforced with Different Aramid Fibres for Thermal Insulation in Space Environments. J. Mater. Sci. 2021, 56, 13604–13619. [Google Scholar] [CrossRef]
- Randall, J.P.; Meador, M.A.B.; Jana, S.C. Tailoring Mechanical Properties of Aerogels for Aerospace Applications. ACS Appl. Mater. Interfaces 2011, 3, 613–626. [Google Scholar] [CrossRef]
- Bergmann Becker, P.F.; Effting, C.; Schackow, A. Lightweight Thermal Insulating Coating Mortars with Aerogel, EPS, and Vermiculite for Energy Conservation in Buildings. Cem. Concr. Compos. 2022, 125, 104283. [Google Scholar] [CrossRef]
- He, F.; Qi, Z.; Zhen, W.; Wu, J.; Huang, Y.; Xiong, X.; Zhang, R. Thermal Conductivity of Silica Aerogel Thermal Insulation Coatings. Int. J. Thermophys. 2019, 40, 92. [Google Scholar] [CrossRef]
- Kovács, Z.; Csík, A.; Lakatos, Á. Thermal Stability Investigations of Different Aerogel Insulation Materials at Elevated Temperature. Therm. Sci. Eng. Prog. 2023, 42, 101906. [Google Scholar] [CrossRef]
- Li, C.; Chen, Z.; Dong, W.; Lin, L.; Zhu, X.; Liu, Q.; Zhang, Y.; Zhai, N.; Zhou, Z.; Wang, Y.; et al. A Review of Silicon-Based Aerogel Thermal Insulation Materials: Performance Optimization through Composition and Microstructure. J. Non-Cryst. Solids 2021, 553, 120517. [Google Scholar] [CrossRef]
- Wu, Q.; Chen, Z.; Ding, Y.; Yin, L.; Yang, M.; Erişen, D.E.; Liu, T.; Li, M.; Yang, L.; Cui, S. A Flexible Double Network Aerogel Reinforced by SiO2/ZrO2 Fibers Paper with Excellent Thermal Insulation at High-Temperature. Ceram. Int. 2024, 50, 55–64. [Google Scholar] [CrossRef]
- Zhan, W.; Feng, X.; Zhang, Q.; Chen, L.; Li, L.; Kong, Q.; Shi, F.; Chen, M.; Du, D.; Jiang, J. Effects of Silica Aerogel Particles on Performance of the Coatings for New Energy Vehicle Battery Packs. J. Dispers. Sci. Technol. 2024, 1–11. [Google Scholar] [CrossRef]
- Huang, S.; Wu, X.; Li, Z.; Shi, L.; Zhang, Y.; Liu, Q. Rapid Synthesis and Characterization of Monolithic Ambient Pressure Dried MTMS Aerogels in Pure Water. J. Porous. Mater. 2020, 27, 1241–1251. [Google Scholar] [CrossRef]
- Zhao, S.; Siqueira, G.; Drdova, S.; Norris, D.; Ubert, C.; Bonnin, A.; Galmarini, S.; Ganobjak, M.; Pan, Z.; Brunner, S.; et al. Additive Manufacturing of Silica Aerogels. Nature 2020, 584, 387–392. [Google Scholar] [CrossRef]
- Gheonea, R.; Crasmareanu, E.C.; Plesu, N.; Sauca, S.; Simulescu, V.; Ilia, G. New Hybrid Materials Synthesized with Different Dyes by Sol-Gel Method. Adv. Mater. Sci. Eng. 2017, 2017, 4537039. [Google Scholar] [CrossRef]
- Macarie, L.; Pekar, M.; Simulescu, V.; Plesu, N.; Iliescu, S.; Ilia, G.; Tara-Lunga-Mihali, M. Properties in Aqueous Solution of Homo- and Copolymers of Vinylphosphonic Acid Derivatives Obtained by UV-Curing. Macromol. Res. 2017, 25, 214–221. [Google Scholar] [CrossRef]
- Wu, X.; Zhong, K.; Ding, J.; Shen, X.; Cui, S.; Zhong, Y.; Ma, J.; Chen, X. Facile Synthesis of Flexible and Hydrophobic Polymethylsilsesquioxane Based Silica Aerogel via the Co-Precursor Method and Ambient Pressure Drying Technique. J. Non-Cryst. Solids 2020, 530, 119826. [Google Scholar] [CrossRef]
- Yao, C.; Dong, X.; Gao, G.; Sha, F.; Xu, D. Microstructure and Adsorption Properties of MTMS/TEOS Co-Precursor Silica Aerogels Dried at Ambient Pressure. J. Non-Cryst. Solids 2021, 562, 120778. [Google Scholar] [CrossRef]
- Sorour, M.H.; Hani, H.A.; Al-Bazedi, G.A.; EL-Rafei, A.M. Hydrophobic Silica Aerogels for Oil Spills Clean-up, Synthesis, Characterization and Preliminary Performance Evaluation. J. Porous. Mater. 2016, 23, 1401–1409. [Google Scholar] [CrossRef]
- Sert Çok, S.; Koç, F.; Gizli, N. Lightweight and Highly Hydrophobic Silica Aerogels Dried in Ambient Pressure for an Efficient Oil/Organic Solvent Adsorption. J. Hazard. Mater. 2021, 408, 124858. [Google Scholar] [CrossRef] [PubMed]
- Gurav, J.L.; Nadargi, D.Y.; Rao, A.V. Effect of Mixed Catalysts System on TEOS-Based Silica Aerogels Dried at Ambient Pressure. Appl. Surf. Sci. 2008, 255, 3019–3027. [Google Scholar] [CrossRef]
- Panyo, C.; Wannagon, A.; Chimupala, Y.; Pearce, J.T.H.; Nuntiya, A. Silica Aerogel from Sugarcane Bagasse Ash Incorporated Cementitious Thermal Insulation Composites. Mater. Lett. 2023, 350, 134903. [Google Scholar] [CrossRef]
- Rao, A.V.; Kalesh, R.R. Organic Surface Modification of TEOS Based Silica Aerogels Synthesized by Co-Precursor and Derivatization Methods. J. Sol-Gel Sci. Technol. 2004, 30, 141–147. [Google Scholar] [CrossRef]
- Rao, A.V.; Kulkarni, M.M.; Pajonk, G.M.; Amalnerkar, D.P.; Seth, T. Synthesis and Characterization of Hydrophobic Silica Aerogels Using Trimethylethoxysilane as a Co-Precursor. J. Sol-Gel Sci. Technol. 2003, 27, 103–109. [Google Scholar] [CrossRef]
- Luo, Y.; Li, Z.; Zhang, W.; Yan, H.; Wang, Y.; Li, M.; Liu, Q. Rapid Synthesis and Characterization of Ambient Pressure Dried Monolithic Silica Aerogels in Ethanol/Water Co-Solvent System. J. Non-Cryst. Solids 2019, 503–504, 214–223. [Google Scholar] [CrossRef]
- Li, Z.; Huang, S.; Shi, L.; Li, Z.; Liu, Q.; Li, M. Reducing the Flammability of Hydrophobic Silica Aerogels by Doping with Hydroxides. J. Hazard. Mater. 2019, 373, 536–546. [Google Scholar] [CrossRef]
- Ghazi Wakili, K.; Remhof, A. Reaction of Aerogel Containing Ceramic Fibre Insulation to Fire Exposure. Fire Mater. 2017, 41, 29–39. [Google Scholar] [CrossRef]
- He, S.; Huang, Y.; Chen, G.; Feng, M.; Dai, H.; Yuan, B.; Chen, X. Effect of Heat Treatment on Hydrophobic Silica Aerogel. J. Hazard. Mater. 2019, 362, 294–302. [Google Scholar] [CrossRef]
- Zhang, W.; Li, Z.; Shi, L.; Li, Z.; Luo, Y.; Liu, Q.; Huang, R. Methyltrichlorosilane Modified Hydrophobic Silica Aerogels and Their Kinetic and Thermodynamic Behaviors. J. Sol-Gel Sci. Technol. 2019, 89, 448–457. [Google Scholar] [CrossRef]
- Li, Z.; Zhang, Y.; Huang, S.; Wu, X.; Shi, L.; Liu, Q. Thermal Stability and Pyrolysis Characteristics of MTMS Aerogels Prepared in Pure Water. J. Nanopart. Res. 2020, 22, 334. [Google Scholar] [CrossRef]
- Li, Z.; Wang, Y.; Wu, X.; Liu, Q.; Li, M.; Shi, L.; Cheng, X. Surface Chemistry, Skeleton Structure and Thermal Safety of Methylsilyl Modified Silica Aerogels by Heat Treatment in an Argon Atmosphere. J. Non-Cryst. Solids 2023, 611, 122335. [Google Scholar] [CrossRef]
- Han, M.L.; Wei, X.L.; Zhang, J.C.; Liu, Y.; Tang, X.; Li, P.; Liu, Z.Y. Influence of Structural Damage on Evaluation of Microscopic Pore Structure in Marine Continental Transitional Shale of the Southern North China Basin: A Method Based on the Low-Temperature N2 Adsorption Experiment. Pet. Sci. 2022, 19, 100–115. [Google Scholar] [CrossRef]
- Estella, J.; Echeverría, J.C.; Laguna, M.; Garrido, J.J. Effects of Aging and Drying Conditions on the Structural and Textural Properties of Silica Gels. Microporous Mesoporous Mater. 2007, 102, 274–282. [Google Scholar] [CrossRef]
- Wang, X.; Liu, Q.; Li, M.; Chen, Z.; Cheng, X.; Wu, X.; Li, Z. Insights into the Thermal Safety of Ambient Pressure Dried Hydrophobic Montmorillonite/Silica Aerogel Composites. Ceram. Int. 2024, 50, 6135–6145. [Google Scholar] [CrossRef]
- Chen, H.-B.; Wang, Y.-Z.; Sánchez-Soto, M.; Schiraldi, D.A. Low Flammability, Foam-like Materials Based on Ammonium Alginate and Sodium Montmorillonite Clay. Polymer 2012, 53, 5825–5831. [Google Scholar] [CrossRef]
- Zanganeh, J.; Moghtaderi, B.; Ishida, H. Combustion and Flame Spread on Fuel-Soaked Porous Solids. Prog. Energy Combust. Sci. 2013, 39, 320–339. [Google Scholar] [CrossRef]
- Li, Z.; Cheng, X.; Gong, L.; Liu, Q.; Li, S. Enhanced Flame Retardancy of Hydrophobic Silica Aerogels by Using Sodium Silicate as Precursor and Phosphoric Acid as Catalyst. J. Non-Cryst. Solids 2018, 481, 267–275. [Google Scholar] [CrossRef]
- Chen, H.-B.; Wang, Y.-Z.; Schiraldi, D.A. Preparation and Flammability of Poly(Vinyl Alcohol) Composite Aerogels. ACS Appl. Mater. Interfaces 2014, 6, 6790–6796. [Google Scholar] [CrossRef]
- Bippus, L.; Jaber, M.; Lebeau, B.; Schleich, D.; Scudeller, Y. Thermal Conductivity of Heat Treated Mesoporous Silica Particles. Microporous Mesoporous Mater. 2014, 190, 109–116. [Google Scholar] [CrossRef]
- ISO 5660-1:2015; Heat Release Rate (Cone Calorimeter Method) and Smoke Production Rate (Dynamic Measurement). ISO: Geneva, Switzerland, 2015.















| Sample | BET Surface Area (m2/g) | Pore Volume (cm3/g) | Average Pore Size (nm) | Vpore (cm3/g) | Dpore (nm) |
|---|---|---|---|---|---|
| MSA | 773 | 3.0 | 3.8 | 6.6 | 34.2 |
| DSA | 878 | 3.9 | 3.1 | 8.5 | 38.8 |
| TSA | 1002 | 2.6 | 3.0 | 10.5 | 41.9 |
Disclaimer/Publisher’s Note: The statements, opinions and data contained in all publications are solely those of the individual author(s) and contributor(s) and not of MDPI and/or the editor(s). MDPI and/or the editor(s) disclaim responsibility for any injury to people or property resulting from any ideas, methods, instructions or products referred to in the content. |
© 2024 by the authors. Licensee MDPI, Basel, Switzerland. This article is an open access article distributed under the terms and conditions of the Creative Commons Attribution (CC BY) license (https://creativecommons.org/licenses/by/4.0/).
Share and Cite
Wu, X.; Shen, K.; Hu, M.; Zhou, F.; Chen, Z.; Liu, Q.; Li, Z.; Li, Z. Experimental Investigation of the Combustion Characteristics and Thermal Hazards of Methylsilyl-Modified Silica Aerogels. Gels 2024, 10, 702. https://doi.org/10.3390/gels10110702
Wu X, Shen K, Hu M, Zhou F, Chen Z, Liu Q, Li Z, Li Z. Experimental Investigation of the Combustion Characteristics and Thermal Hazards of Methylsilyl-Modified Silica Aerogels. Gels. 2024; 10(11):702. https://doi.org/10.3390/gels10110702
Chicago/Turabian StyleWu, Xiaoxu, Kai Shen, Min Hu, Fang Zhou, Zikang Chen, Qiong Liu, Zijun Li, and Zhi Li. 2024. "Experimental Investigation of the Combustion Characteristics and Thermal Hazards of Methylsilyl-Modified Silica Aerogels" Gels 10, no. 11: 702. https://doi.org/10.3390/gels10110702
APA StyleWu, X., Shen, K., Hu, M., Zhou, F., Chen, Z., Liu, Q., Li, Z., & Li, Z. (2024). Experimental Investigation of the Combustion Characteristics and Thermal Hazards of Methylsilyl-Modified Silica Aerogels. Gels, 10(11), 702. https://doi.org/10.3390/gels10110702

