You are currently viewing a new version of our website. To view the old version click .
Journal of Fungi
  • Article
  • Open Access

9 July 2024

Broad-Spectrum Efficacy and Modes of Action of Two Bacillus Strains against Grapevine Black Rot and Downy Mildew

,
,
,
,
,
,
,
,
and
1
National Research Institute for Agriculture, Food and the Environment (INRAE), Institute of Vine and Wine Sciences (ISVV), UMR Santé Agroécologie du VignoblE (SAVE), 71 Avenue E. Bourlaux, CS 20032, 33882 Villenave d’Ornon, France
2
Agroécologie, National Research Institute for Agriculture, Food and the Environment (INRAE), Institut Agro Dijon, Univ. Bourgogne, 21000 Dijon, France
3
Univ. Bordeaux, Bordeaux INP, National Research Institute for Agriculture, Food and the Environment (INRAE), OENO, UMR 1366, Institute of Vine and Wine Sciences (ISVV), 33140 Villenave d’Ornon, France
4
Bordeaux Metabolome, MetaboHUB, 33140 Villenave d’Ornon, France
This article belongs to the Special Issue Biocontrol of Grapevine Diseases, 2nd Edition

Abstract

Black rot (Guignardia bidwellii) and downy mildew (Plasmopara viticola) are two major grapevine diseases against which the development of efficient biocontrol solutions is required in a context of sustainable viticulture. This study aimed at evaluating and comparing the efficacy and modes of action of bacterial culture supernatants from Bacillus velezensis Buz14 and B. ginsengihumi S38. Both biocontrol agents (BCA) were previously demonstrated as highly effective against Botrytis cinerea in grapevines. In semi-controlled conditions, both supernatants provided significant protection against black rot and downy mildew. They exhibited antibiosis against the pathogens by significantly decreasing G. bidwellii mycelial growth, but also the release and motility of P. viticola zoospores. They also significantly induced grapevine defences, as stilbene production. The LB medium, used for the bacterial cultures, also showed partial effects against both pathogens and induced plant defences. This is discussed in terms of choice of experimental controls when studying the biological activity of BCA supernatants. Thus, we identified two bacterial culture supernatants as new potential biocontrol products exhibiting multi-spectrum antagonist activity against different grapevine key pathogens and having a dual mode of action.

1. Introduction

Grapevines (Vitis vinifera L.), like other cultivated plants, can be infected by a wide variety of microorganisms including notably oomycetes and fungi. These mostly include downy mildew (DM), powdery mildew, grey mould, and black rot (BR). Grey mould is caused by the necrotrophic ascomycete Botrytis cinerea Pers.:Fr., an ubiquitous plant pathogen with numerous host plants [1,2]. Downy mildew is caused by Plasmopara viticola ([Berk. and M.A. Curtis] Berl and De Toni), an obligate biotrophic oomycete. In successive sexual and asexual cycles, zoospores penetrate via stomata and develop intercellular mycelium with haustoria. Upon high hygrometry, sporulation occurs with the emergence of sporangiophores, through stomata, producing sporangia that will release zoospores and initiate secondary infections (for review—[3,4]). DM is present in almost all vineyards worldwide. Although historically BR was not so frequent in the past decades [5], it may cause disastrous losses in North America and Europe [6,7], and is in resurgence in several countries [8]. The causal pathogen is Guignardia bidwellii (Ellis) Viala and Ravaz (anamorph: Phyllosticta ampelicida), a hemibiotrophic ascomycete [9]. Primary infections, generally occurring on leaves during spring, mostly originate from ascospores—but also possibly from pycniospores—released from overwintered mummified berries [10]. They germinate and develop an appressorium, from which one or two infection hyphae penetrate through the cuticle and then colonize the plant organ by subcuticular hyphae [11,12,13]. After an incubation and latency period, pycnidia are produced within typical circular necrotic spots on the upper leaf side [14]. After asexual cycle(s) on leaves, the released pycniospores will initiate secondary infections in inflorescences and bunches, that may also still be infected by ascospores. When symptomatic, berries wilt and develop as mummified with a typical purplish-blue colour. Dark pycnidia and pseudothecia form on them and overwinter, thus constituting a source of inoculum for primary infection at the beginning of the following year [15].
Protecting vines against all these diseases is essential to maintain yield and prevent quality losses [16]. If weather conditions are favourable, numerous treatments are necessary: e.g., up to 15 or more against DM with contact fungicides. To date, protection strategies mainly rely on the use of chemical fungicides. However, many of them cause health [17,18] and environmental problems [19,20], can lead to the selection of fungal-resistant strains [21] and leave residues on grapes and in wines [22]. Organic and/or biodynamic viticulture may offer solution(s), but the copper-based fungicides used continuously increase copper levels in the soil, exacerbating its impact on microorganisms and plants [23]. An alternative strategy is breeding. New varieties resistant to downy and powdery mildews have been generated by introgression of resistance genes. For example, four varieties, including Artaban, have been created and registered in France, in 2018 [24]. Nevertheless, the resistant varieties remain susceptible to other diseases, notably BR and with a very high level of susceptibility to this disease. In addition, and to also preserve sustainable resistance, specific fungicide treatments are hence still necessary [9,25]. Finally, since the deployment of resistant varieties remains limited, the use of complementary solutions to reduce the use of chemical fungicides is essential for the protection of traditional cultivars. Among them, bioprotection, of which biocontrol is already in use, deserves to be implemented more extensively to establish sustainable production systems [26].
Bioprotectants active against fungal diseases include algae, plant and microorganism extracts, biocontrol agents (BCA) and the active molecules they secrete. BCA act through various modes of actions, such as antibiosis, niche or nutrient competition, and/or the stimulation of plant defences. Plants indeed have an immune system that enables them to perceive microbial molecular patterns (MAMPs) or damage-associated molecular patterns (DAMPs), owing to pathogen recognition receptors (PRR) located at the plant cell plasma membrane [27,28,29]. In grapevines, we have investigated some of these receptors [30] and identified those for the bacterial flagellin [31] and chito-oligosaccharides [32]. Recognition of MAMPs/DAMPs by PRR activates defensive responses. These involve a cascade of signalling events, leading to the activation of defence genes. This activation leads to defensive responses: the synthesis of PR proteins, phytoalexins, and cell-wall reinforcements [30]. These defences can also be induced by active compounds secreted by microorganisms, generally obtained in their culture filtrates, but also by microbial extracts [33,34]. Stilbenes represent grapevine phytoalexins, with resveratrol being the monomer unit. Their role in the grapevine defence against various key pathogens including P. viticola and B. cinerea [35] has been reported.
Bioprotectants were sought to protect grapevines against cryptogamic diseases [36]. BCA and their excreted molecules were reported to be active, mainly against necrotrophic pathogens, particularly B. cinerea, and some causing grapevine trunk diseases (GTD) pathogens, notably Neofusicoccum parvum [37,38,39,40,41,42]. However, this was investigated to a much lesser extent against biotrophic mildews and/or hemibiotrophic BR pathogens. A few bioprotection studies have been carried out against BR, notably by using plant saponin-containing extracts, but without any conclusive efficacy results in the vineyards [13,15,43]. Some very encouraging results were nonetheless obtained, notably including the activity of GC-3 (a combination of cottonseed, corn oil and garlic extract—[44]). Regarding BCA, the efficacy of Serenade (Bacillus subtilis) was also better documented but was highly dependent upon the tested formulation [44,45,46].
More specifically, among bacterial BCA, the genus Bacillus is largely used in numerous crops [33,47]. In grapevines, we have reported the activity of B. subtilis strain GLB191 against DM [33]. The Bacillus strains B. velezensis Buz14 (isolated from peach) and B. ginsengihumi S38 (isolated from grapevine wood) have been compared and proved highly effective to protect table grapes (cv. Thomson Seedless) against B. cinerea. Their modes of action were mostly elucidated, except for defence gene elicitation [40,41,48]. Notably based on different antibiosis abilities, these modes of action may account for a quite broad-spectrum control of diseases due to various necrotrophic pathogens. The Buz14 strain was hence of interest in different postharvest pathosystems (orange, apple, grape and stone fruit), with Penicillium digitatum, P. expansum, P. italicum, B. cinerea, Monilinia fructicola and M. laxa [49]. As for the S38 strain, such a broad spectrum activity against grapevine necrotrophic GTD pathogens was less noticeable, i.e., medium-low efficacy (between 20 and 30%) against Phaeomoniella chlamydospora and Neofusicoccum parvum [37,50].
In this context, the aim of this study was (1) to test and compare, in semi-controlled conditions, the efficacy of the culture supernatants of the two experimental Bacillus strains, Buz14 and S38 strains, against key grapevine pathogens, i.e., P. viticola (biotrophic) and G. bidwellii (hemibiotrophic); and (2) to study and compare their modes of action, according to the highly different lifestyles and infection pathways of the two pathogens. We observed that the culture supernatants of both bacterial strains are active against DM and BR. The activity is due to excreted bacterial metabolites together with components of the culture medium. Their modes of action combine antibiosis and activation of grapevine defence responses (stilbenes).

2. Materials and Methods

2.1. Biological Material

2.1.1. Grapevine Cuttings Production

For in planta bioassays, one Vitis vinifera cultivar (cv.), Marselan (Cabernet Sauvignon × Grenache), and the hybrid variety Artaban, which is part of the INRA-ResDur breeding program [51], were used. Grapevine plants were issued from wood cuttings grown in the greenhouse in 9 × 9 cm individual pots, containing a mixture of peat and perlite (Substrate5—Recipe 446, Klasmann-Deilmann, Ruy-Montceau, France). They were exposed to a 16 h photoperiod [52], with an additional artificial lighting system (Na-lamps—350 μmol.m−2.s−1) when the natural photoperiod was too short (from January to the end of March).
Until they developed eight to ten fully expanded leaves, plants were watered every two days and fertilized weekly (Allrounder 20/20/20, ICL France, Limas, France). In order to prevent powdery mildew, sulphur evaporators were installed (HotBox Sulfume, Growland, Hamburg, Germany). All the cuttings were finally washed three hours before the first treatment, so as to remove sulphur residues, which may have a side effect on BR [9,15].
For protection assays against DM and defence analysis experiments, Marselan plants were cultivated in another site (INRAE Dijon). Plants obtained from herbaceous cuttings were grown in a greenhouse in individual pots (8 cm × 8 cm × 8 cm) containing a mixture of peat and perlite (7:3 v/v) at 23/15 °C (day/night), under a 16 h light photoperiod. Plants were watered with a nutritive solution (N/P/K 10-10-10, Plantin, France) and were used for experiments when they developed 5 to 7 fully expended leaves.

2.1.2. Pathogen Strains and Culture Conditions—Inoculum Preparation

  • G. bidwellii
Two G. bidwellii strains, namely GF2 (isolated from foliar symptoms—Villenave d’Ornon, France) and 111645 (f. sp. parthenocissi, obtained from the Fungal Biodiversity Centre—[53]) were cultured for the assays. Both strains were maintained on oat-meal agar—2% oatmeal and 1.5% agar—culture medium in Petri dishes [54], at 23 °C.
For in planta bioassays, spore suspensions were prepared as follows:
-
Asexual inoculum: after a 3-week growth period under permanent light at constant 23 °C in a growth chamber (LMS 610XAP, LMS Ltd., Sevenoaks, Kent, United Kingdom), pycniospores were obtained by flooding the Petri dishes with 10 mL of sterile deionised water, and the spore concentration was further adjusted by hematocytometry (see also hereafter) at the desired density, 2 × 104 spores.mL−1 [12,13].
-
Sexual inoculum: overwintered fruit mummies (cv. Prior) were used, originating from an INRAE vineyard near Bordeaux (Château Couhins, Gironde, France) in fall in 2021 and 2022, and intended for use the following year. Mummies were stored outdoors for perithecia maturation during winter. At maturity, spores were obtained by soaking mummies in sterile water for 30 to 45 min [10]. In the spore suspensions, ascospore concentration was adjusted at the desired density, namely 2 × 104 spores.mL−1 of suspension, by hematocytometry.
  • P. viticola
The P. viticola strain used was collected in a Burgundy vineyard (SRPV, Beaune, France) and maintained on Marselan plants as previously described [55]. Briefly, abaxial sides of leaves were sprayed with a suspension of 104 sporangia.mL−1 in ultrapure water. Inoculated plants were placed in a humidity chamber (relative humidity (R.H.) > 95%, 21 °C in darkness) for at least 6 h, to facilitate the encystment before being transferred back to the greenhouse under the conditions indicated above. Six days after inoculation, plants were again placed overnight in the humid chamber to induce sporulation.

2.1.3. Bacterial Supernatant Production

Two Bacillus strains, namely Buz14 (B. velezensis) and S38 (B. ginsengihumi—[48]), were selected and evaluated for their potential antifungal activity against the different plant pathogens.
These two strains were first grown in the dark for 48 h, in 3 L Erlenmeyer flasks and under magnetic stirring (180 rpm—27 °C), in Luria–Bertani (LB) liquid culture medium (Fisher Scientific, Hampton, NH, USA). LB culture medium (tryptone, 10.0 g; yeast extract, 5.0 g; sodium chloride, 10.0 g) was prepared by dissolving 25 g of the product powder in 1 L of deionized water and autoclaved (121 °C—20 min) before use. At the time of harvesting, bacterial growth was determined as previously described [37].
Culture supernatants were then obtained by two successive centrifugation steps, for 10 min at 5100 rpm. The supernatants were later collected and stored at −20 °C until further use.
LB medium alone was incubated under the same conditions and used as a control in all following assays.

2.2. In Planta Protection Assays

2.2.1. Black Rot Experimental Design and Disease Evaluation

Overall, two different experiments were carried out during the first year, i.e., 2022, and three successive ones during the second one, i.e., 2023. In every experiment, within the same grapevine variety, plants were arranged in a completely randomized block design, with 3 blocks each, and 2 to 3 replicates per block.
Leaves were sprayed (WS2342 spray, WESCO, France) until run-off, at a volume of 10 mL of solution per cutting, under the following conditions: supernatants were applied once (48 h or 24 h prior to inoculation) at different concentrations (25 and 50% of supernatants in aqueous solution), and so was the LB medium alone (25 and 50% in aqueous solution). The control plants were sprayed using tap water only.
Cuttings were then inoculated, by spraying either spore suspension (as described in Section 2.1.2) until run-off on the adaxial face of potentially susceptible leaves, including the apex and the first six fully expanded leaves [13]. A 10 mL small glass hand atomizer was used [12]. Additionally, the first expanded leaf (L1, displaying a surface between 4 and 9 cm2) was identified using a coloured plastic tag.
Directly following inoculation, cuttings were placed for 24 h under plastic domes, to maintain a high R.H. (between 90 and 100% R.H.), mandatory for spore germination and pathogen penetration [9,56].
After a two-week incubation period, when typical BR symptoms were expressed and fully developed—that is, foliar symptomatic spots showing visible pycnidia and the specific surrounding brownish dark edge [9]—disease severity was assessed on every cutting by visually measuring the BR typical lesion surface on the symptomatic leaves. The six (upper) youngest fully expanded leaves at the time of inoculation, together with the first two leaves that developed after inoculation, were taken into account for the evaluation. For each plant, disease severity was further calculated as a mean value of the eight leaves considered, as previously described [13], and expressed on a relative scale, as a percentage in relation to the leaf surface at each leaf stage, taken individually. Two or three independent biological repetitions were performed.

2.2.2. Protection Assays against Downy Mildew

Supernatants (10 and 25%) were sprayed on leaves until run-off. Ultrapure water and LB medium (10 and 25%) were used as controls. After allowing treatments to dry for at least 2 h at room temperature, plants were placed in the greenhouse, under the conditions indicated above (Section 2.1.1). Two days after treatment, abaxial faces of treated leaves were inoculated with a sporangia suspension (104 sporangia.mL−1). Inoculated plants were placed in a humid chamber (R.H. > 95%) in darkness for at least 6 h before moving back to the greenhouse. Five days after inoculation, leaf discs (1.3 cm diameter) were punched out and placed with the abaxial side uppermost, on Whatman paper soaked with water, in a closed plastic box. This system was left overnight in darkness at 21 °C and saturated relative humidity to trigger sporulation. Finally, photos of the discs were taken before being analysed with the image analysis software Visilog 6.9 (Noesis, Paris, France; [57]). Fifteen leaf discs from 3 plants per condition were used, and three independent biological repetitions were performed.

2.3. Evaluation of Direct Toxicity of the Bacterial Supernatants towards Pathogens

2.3.1. In Planta Experiments

  • Towards G. bidwellii
For in planta antibiosis bioassays against G. bidwellii, two different experiments were carried out during the first year, i.e., 2022, and two successive ones during the second year, i.e., 2023. In every experiment, within the same grapevine variety, plants were arranged in a completely randomized block design, with 3 blocks each, and 2 to 3 replicates per block. Two or three independent biological repetitions were performed.
Experimental design and symptom evaluation were carried out as described in Section 2.2.1, with slight modifications, as follows:
Leaves were sprayed 2 h prior to inoculation with the supernatants, LB medium, or tap water (control), and at a single concentration (25% of supernatants or LB in aqueous solution).
Cuttings were then inoculated by spraying an ascospore suspension (as described in Section 2.1.2) only, until run-off.
  • Towards P. viticola
Leaves were treated as described in Section 2.2.2 and inoculated (105 sporangia.mL−1) 2 h after treatment. Twenty-four hours after inoculation, 10 leaf discs (0.8 cm diameter) were punched out before being immersed in absolute methanol for at least 24 h. This step allows fixing of the plant tissues and solubilizing of the chlorophyll pigments. Then, the discs were transferred to chloral hydrate (1 g.mL−1) until complete transparency (overnight). After rinsing with a phosphate buffer (0.1 M, pH 9), discs were immersed in aniline blue solution overnight [58]. Infection sites were shown by epifluorescence microscopy [λ exc 340–380 nm, λ em 425 nm (long pass filter)]. Three representative fields per disc were observed. Three independent biological repetitions were performed.

2.3.2. In Vitro Experiments

  • Supernatant anti-germinative activity against G. bidwellii pycniospores
Germination bioassays were performed on collodion membranes placed over a water agar medium, as previously described [13]. Briefly, collodion membranes were prepared by pipetting 45 µL of collodion (4%, 1026441000, Merck, Saint Quentin Fallavier, France) directly onto a microscopic slide. Once the solvents had evaporated, microscopic slides coated with collodion were placed in a water-filled beaker, so as to float the membranes. These latter were then collected and placed over a water agar medium (1.5%), in 9 mm Petri dishes.
Each membrane was further inoculated using a mix of 5 µL of pycniospore suspension (as previously described in Section 2.2.1) and 5 µL of the solution to test (control, LB, supernatants, or Polyram®, BASF, Ecully, France – used at 0.2% as a positive control), and each treatment consisted of 5 membranes (replicated 3 times). The final concentrations of the solutions to test were 50% (supernatants and LB). To ensure optimal germination conditions for the spores [59], Ca2+ was added in the spore suspension (10 mM), and pH was checked and adjusted in both spore suspension (6.5) and water agar medium (6).
After inoculation, Petri dishes were sealed and placed at 23 °C, in the dark, for 16 h. At the end of this incubation period, at least 25 spores were examined per membrane and classified according to their development stage, following recommendations [13]. Mean germination rate was finally estimated by comparing the number of germinated spores (“with germ tube” and “with germ tube and appressorium”) to the total value of examined spores, for each experimental condition. Three independent biological repetitions were performed.
  • Supernatant antifungal activity against G. bidwellii mycelial growth
Antifungal activity of the supernatants against G. bidwellii was evaluated by means of a direct contact in vitro bioassay. An oatmeal agar medium was first prepared (2% oat flakes and 1.5% agar), in which the supernatants were mixed, before agar medium solidification, so as to obtain a final concentration scale ranging from 0.02 to 25% of supernatant in the medium, and poured into 9 mm Petri dishes. Discs of G. bidwellii (0.6 cm) were then cut out from the periphery of a 21-day-old fungal colony, and 3 discs were placed per Petri dish, containing the agar medium complemented with the supernatant.
Petri dishes were then sealed and incubated for 14 days in the dark, at 23 °C. At the end of this incubation period, mycelial radial growth was measured (two orthogonal measurements per fungal colony), and the inhibition rate was calculated for each product concentration, using Equation (1):
X 0 X t X 0 × 100
where X0 and Xt stand for the average diameter of the fungal colony in control and in treatments, respectively.
The test conditions consisted of aqueous solutions of both supernatants (Buz14 and S38), as well as LB medium alone. Sterile water was used as a negative control, while a marketed BCA, Sonata® (B. pumilus QST 2808, Bayer Crop Science, Lyon, France), and a commercial fungicide, Polyram® (Metiram, BASF), were used as positive controls. Each treatment was replicated five times.
The half-maximal inhibitory concentration (IC50) of supernatants (expressed as a percentage) required to obtain a fungal pathogen growth inhibition of 50% was also calculated, based on the dose–response curve for each evaluated product (Supplementary Figure S1). A graphical interpolation, complemented with a statistical analysis based on a nonlinear regression [60], was used to calculate the IC50 values. Three independent biological repetitions were performed.
  • Effects on the release and the motility of P. viticola zoospores
Supernatants at 25% were applied on a suspension of sporangia (105 sporangia.mL−1). The whole was placed under agitation (200 rpm) at room temperature for 2 h (time necessary for the zoospore release from the sporangia). Then, the number of empty and full sporangia was counted using a Malassez cell under a light microscope (magnification ×100). Sporangia that were still full were a sign of inhibition of zoospore release from the sporangia.
To observe the effect of the treatment on zoospore mobility, the treatment was applied after the release of zoospores from sporangia. Only 2 min after treatment, microscopic observations of the Malassez cell and counting were performed. The counting was conducted in one rectangle (0.25 mm × 0.20 mm) of the Malassez cell and consisted of counting all the zoospores entering this rectangle during 1 min.
IC50 values were determined by probit regression analysis using percentage of full sporangia data.
Three independent biological repetitions (with 3 technical replicates for each) were performed.

2.4. Assessment of Defence-Related Responses

Treated leaves (LB, Buz14 and S38 supernatants at 25% or water, as negative control) were collected at 10 h post-treatment (hpt) or 24 hpt for gene expression analyses or stilbene analyses, respectively. They were rapidly immersed in liquid nitrogen and grounded using TissueLyser II (Qiagen, Les Ulis, France). For stilbene analyses, samples were lyophilized.

2.4.1. Gene Expression Analyses by qRT-PCR

Total RNAs were extracted from around 80 mg of leaf powder with a Spectrum Plant Total RNA Kit (Sigma, Saint Quentin Fallavier, France) according to the manufacturer’s instructions and including a DNAse step. Concentration and purity of RNA were assessed by spectrophotometry. One µg of total RNA was reverse-transcribed using the Superscript III Reverse Transcriptase kit (Thermofisher, Carlsbad, CA, USA) according to the manufacturer’s instructions. qRT-PCR experiments were performed as previously described [33]. Relative gene expression was calculated according to the Common Base Method [61], as described by [32]. Data were normalized with water control and housekeeping genes (VvVATP16 and EF1α; Supplementary Table S1). Three independent biological repetitions (with 3 technical replicates per biological experiment) were performed.

2.4.2. Stilbene Extraction and Analyses

A first extraction was made by adding 1 mL of methanol 100% to 50 mg of leaf powder. The resulting suspension was then vortexed and sonicated for 15 min. The sample was then centrifuged for 10 min at 10,000 rpm. Supernatant was recovered and a second extraction was performed from the resulting pellet with 1 mL of methanol 70%. Finally, the two supernatants were pooled and centrifuged for 5 min at 14,000 rpm at 4 °C before UHPLC-QqQ analysis. An aliquot of 500 µL of the extract was evaporated to dryness (SpeedVac) and resuspended in 100 µL of MeOH 50% for detection and quantification of stilbenes.
The samples were analysed by targeted analysis using high-performance liquid chromatography (Agilent Technology 1260 Infinity HPLC, Santa Clara, CA, USA) coupled with a triple quadrupole mass spectrometer (Agilent Technologies 6430 Triple Quadrupole detector). Chromatographic separation was conducted on an Agilent Zorbax SB-C18 column (100 mm × 2.1 mm, 1.8 µm, Santa Clara, CA, USA) at 40 °C with a binary solvent system composed of solvent A (0.1% formic acid in milli-Q water) and B (0.1% formic acid in acetonitrile LC-MS grade), with a flow of 0.3 mL/min. The gradient elution was set as follows: 0–4 min, 1–10% B; 4–12 min, 10–20% B; 12–13 min, 20–30% B; 13–16 min, 30% B; 16–18 min, 30–35% B; 18–20 min, 35–50% B; 20–23 min, 50–70% B; 23–24 min, 70–95% B; 24–26 min, 95% B; 27 min, 1% B). The injection volume of samples and standards was 4 µL. We used standard concentrations, between 0.0003 and 2.84 mg/L (for the 4 µL injection), to generate calibration curves for each stilbene compound studied and to quantify them in the samples, except as indicated in Supplementary Table S2.
For mass spectrometry analysis, the parameters used for the source were as follows: gas temperature, 350 °C; nitrogen flow rate, 11 L.min−1; nebulizer pressure, 15 psi; and capillary voltage, 3000 V. Measurements were made with a multiple reaction monitoring (MRM) method in positive or negative mode according to the compounds studied. Fragment conditions and collision energies had been previously published [62]. Finally, all the results are expressed as micrograms of compounds per gram of leaf (dry weight (DW)).

2.5. Statistical Analyses

Statistical analyses were performed using R statistical software version 4.3.2 (R Core Team, 2023, Vienna, Austria), and XLSTAT software (Version 2022.3.1, Adinsoft©, Paris, France).
For BR assays, disease severity data were first subjected to both the Shapiro–Wilk normality test and the Levene homoscedasticity test. To better fit these hypotheses, a variable transformation was used, namely log10(X + 1). Data were then subjected to either one-way or two-way ANOVA (at a 5% significance level), complemented with the Tukey Honestly Significant Difference (HSD) post-hoc test. Specific use of statistical tests is further detailed in the figure captions.
For DM assays and gene expression analyses, data normality (Shapiro test) and variance homogeneity (Levene test) were assessed at a significance level of 5%. Based on the results, treatments were compared statistically either parametrically using the one-way ANOVA test, or non-parametrically using the Kruskal–Wallis test at the 5% significance level. Where necessary, Tukey’s post-hoc test or Wilcoxon’s pairwise test with Holm’s correction were used at the same level of significance, respectively.
In graphs, significant differences between treatments are recognized if they have no letter (a, b, c, etc.) in common.

3. Results

3.1. Preventive Protection Assays

3.1.1. Efficient Preventive Protection against G. bidwellii

  • Supernatant preventive application 24 h pre-inoculation
Based on a preventive application 24 h before inoculation (using pycniospores), both S38 and Buz14 supernatants were shown to provide a significant reduction in BR disease severity, when compared to both the water-treated control and the LB medium alone (Figure 1A). At a 50% concentration, both strains were able to significantly reduce disease severity by 90%, in comparison with the untreated control. For illustrative purposes, pictures of infected leaves, representative of the low and high severity levels displayed in the following figures, are presented in Supplementary Figure S1.
Figure 1. BCA supernatant preventive efficacy against G. bidwellii foliar symptoms originating from pycniospore-based (A) and ascospore-based (B) inocula, when applied 24 h pre-inoculation. Results are means ± SD (n = 27 and n = 8, resp.). Means followed by the same either lowercase or capital letter are not significantly different, by two-way and one-way ANOVA (α = 0.05) tests, respectively.
At a lower concentration of supernatant (25%), both Bacillus strain supernatants provided high levels of protection (Figure 1A), with respective disease reductions of 52 and 57% (Figure 1A), for S38 and Buz14, when compared to the water-treated control.
Furthermore, the LB medium alone was able to significantly reduce disease severity when applied at a 50% concentration (77% reduction), while this effect disappeared at a lower dose.
Comparatively, when grapevine cuttings were inoculated using a sexual inoculum, i.e., ascospores (Figure 1B), high levels of protection were also demonstrated following a preventive spraying 24 h before inoculation. Both supernatants significantly reduced disease severity in comparison with the untreated control. The corresponding reductions reached 64 and 81%, for S38 and Buz14, respectively.
In addition, LB medium alone did not significantly reduce disease severity when compared to the untreated control, despite the 50% concentration that was applied.
  • Supernatant preventive application 48 h pre-inoculation
So as to evaluate the potential of the experimental BCA supernatants, an earlier spray timing was also evaluated (48 h before inoculation, without washout) by focusing on one of the Bacillus strain supernatants, S38, at a 25% concentration (Figure 2).
Figure 2. BCA supernatant preventive efficacy against G. bidwellii foliar symptoms originating from both pycniospore- and ascospore-based inocula, when applied 48 h pre-inoculation. Results are means ± SD (n = 6). Means followed by the same lowercase or capital letter are not significantly different, by two-way ANOVA (α = 0.05).
Regardless of the inoculum type used, the S38 supernatant application provided a highly significant disease reduction. When inoculations were performed using asexual (pycniospore) and sexual (ascospore) inocula, the protection efficacy reached 84 and 97%, respectively, when compared with the untreated control.
At this 25% concentration and whatever the inoculum used, it was also noticeable that the control LB medium, alone, significantly reduced the disease severity by about 16 and 62%, against pycniospore and ascospore infections, respectively.

3.1.2. Supernatant Efficient Preventive Application against Downy Mildew

Based on a preventive application 48 h before inoculation, both supernatants used at 10% induced a significant decrease in P. viticola sporulation, when compared with the water control and LB medium alone (Figure 3). At a 25% concentration, the sporulation was almost completely inhibited (0.3 and 0.6% leaf sporulating area for Buz14 and S38, respectively). LB medium 25% also significantly inhibited sporulation, when compared to the water control (4.4 and 10.4%, respectively), but to a lesser extent than the supernatants. As the 25% treatment appeared to be the most effective one against DM, this concentration was kept for further analysis (i.e., direct effects against P. viticola and defence-related experiments).
Figure 3. Effect of BCA supernatants on P. viticola sporulation. Leaves of cv. Marselan were sprayed with water (control) or LB medium, Buz14, and S38 supernatants at 10% and 25%. P. viticola was inoculated 48 h post-treatment, and sporulation was evaluated at 7 days post-inoculation. Results are means ± SD (n = 3). Means followed by the same letter are not significantly different, by the non-parametric Kruskal–Wallis test and pairwise Wilcoxon post-hoc test (α = 0.05). Photographs correspond to representative leaf discs.

3.2. Evidence of Direct Toxicity of the Bacterial Supernatants towards Pathogens

3.2.1. In Planta Experiments

  • In planta direct toxicity towards G. bidwellii
Considering the biocontrol of the primary sexual inoculum of G. bidwellii, i.e., ascospores, the antifungal direct effect of the two BCA supernatants was shown in planta following a 2 h preventive treatment (Figure 4). Similar results were obtained on the two grapevine varieties, namely Marselan and Artaban, without any significant effect of the cultivar.
Figure 4. BCA supernatant in planta direct effect against G. bidwellii foliar symptoms originating from an ascospore-based inoculum, when applied 2 h pre-inoculation. Results are means ± SD (n = 14). Means followed by the same letter are not significantly different, by two-way ANOVA (α = 0.05).
As shown in Figure 4, the Buz14 supernatant, at the 25% concentration, showed a highly significant reduction in BR severity (82%), when compared with the untreated control.
This clearly demonstrated a direct antibiosis effect, due to the presence of active antifungal secondary metabolites in the Buz14 supernatant.
Moreover, the LB medium at 25% also showed, by itself, a significant direct antifungal effect on the sexual infections by ascospores (64%), when compared to the untreated control.
  • In planta direct toxicity towards P. viticola
To assess the direct effect of BCA supernatants in planta against P. viticola, the encystment of zoospores (infection step) was studied on leaves inoculated only 2 h after treatment. Both bacterial supernatants, Buz14 and S38, and LB medium used at 25% significantly decreased the number of encysted sites compared to the water control (Figure 5). This direct effect was significantly stronger for BCA supernatants compared to LB (0.9 and 0.7 for S38 and Buz14, respectively, compared to 5.6 for LB medium), suggesting the presence of BCA-specific active metabolites. Finally, no statistical difference was found between the two bacterial supernatants.
Figure 5. In planta direct effect of BCA supernatants against P. viticola. Leaves (cv. Marselan) were sprayed with water (control) or LB medium, S38, and Buz14 supernatants at 25%. Inoculation was performed 2 h post-treatment. Observation by epifluorescence microscopy was performed 24 h post-inoculation, and infection sites (i.e., encysted zoospores) were counted. Results are means ± SD (n = 3). Means followed by the same letter are not significantly different, by the non-parametric Kruskal–Wallis test and pairwise Wilcoxon post-hoc test (α = 0.05).

3.2.2. In Vitro Experiments

  • In vitro anti-germinative activity against G. bidwellii (pycniospores)
When G. bidwellii pycniospores were exposed to the Bacillus supernatants, at the 50% concentration, there was no significant decrease in the germination rates (Figure 6), whatever the tested BR strain (Vitis-specific strain, GF2; Parthenocissus-specific strain, 111645). Similarly, Sonata® did not significantly reduce the germination rates either. This demonstrates that the supernatants could rather inhibit mycelial development or further penetration phases in plant tissues. In addition, on the GF2 strain, the control LB medium alone applied at 50% led to a significant reduction in the germination rate (68%), when compared with the untreated control. However, this was associated with highly variable data.
Figure 6. G. bidwellii pycniospore germination rates determined 16 h after inoculation. Values are means ± SD (n = 8). Means followed by the same lowercase or capital letter are not significantly different, by one-way ANOVA comparison (α = 0.05).
It should also be noted that pycniospore status was classified according to the development stage, i.e., “with germ tube” or “with germ tube and appressorium”. In all our experimental conditions, similar results were observed between the number of germinated spores (total), and the number of spores with germ tube and appressorium. This means that, when spores were able to germinate (after 16 h of experiment), an appressorium developed shortly afterwards, and that regardless of the strain and the treatment.
  • In vitro antifungal activity against G. bidwellii (mycelial growth) and P. viticola (zoospore-release inhibition)
Regarding G. bidwellii fungal growth inhibition, the two experimental BCA supernatants were able to significantly reduce the in vitro mycelial growth. The obtained IC50 ranged from 1.3 to 3.6% and 1.8 to 5.7%, with no significant difference, for S38 and Buz14 supernatants, respectively (Table 1). Additionally, similar results were obtained between the two fungal strains for both BCA supernatants. The dose–response curves, obtained with both G. bidwellii strains, are provided as Supplementary Materials (Vitis-specific strain, Supplementary Figure S2A; Parthenocissus-specific strain, Supplementary Figure S2B).
Table 1. Supernatants and LB medium IC50 values (%) arising from the antifungal in vitro direct contact bioassay against G. bidwellii and P. viticola.
Furthermore, interestingly, the control LB medium alone was also able to reduce the fungal growth, but to a significantly lesser extent compared with the bacterial supernatants. The related IC50 ranged from 39.8 to 64.1%, according to the strain effect that was observed with the LB medium only. In comparison, Polyram® (a marketed synthetic fungicide) displayed a 100% inhibition at a 0.2% concentration, while Sonata® (a marketed biocontrol product) displayed an IC50 of 1.6%, regardless of the G. bidwellii strain.
With regard to inhibition of zoospore release by P. viticola sporangia, the findings are very similar to those obtained for G. bidwellii (Table 1). Both BCA supernatants were able to significantly inhibit zoospore release with IC50 values of 2.71% for S38 and 3.45% for Buz14 (non-significant difference). In addition, they did not significantly differ from those obtained against G. bidwellii fungal growth.
In addition, LB medium alone was also able to induce a relatively strong inhibition of zoospore release with an IC50 of 14.9%, although significantly higher than BCA supernatants. Interestingly, the IC50 of LB medium against P. viticola is significantly lower than that against the two G. bidwellii strains (Table 1).
  • In vitro direct effect against P. viticola
The direct effects of treatments were assessed in vitro by the determination of their ability to inhibit the release of P. viticola zoospores from sporangia and to inhibit the mobility of released zoospores (Figure 7).
Figure 7. In vitro direct effect against P. viticola. (A) Percentage of empty and full P. viticola sporangia observed 2 h after treatment. (B) Number of mobile P. viticola zoospores observed 2 min post-treatment. Treatments: water (control), LB medium, S38 and Buz14 supernatants at 25%. Values are means ± SD (n = 9). Means followed by the same letter are not significantly different, by the non-parametric Kruskal–Wallis test and pairwise Wilcoxon post-hoc test (α = 0.05).
As shown in Figure 7A, LB medium, S38 and Buz14 supernatants sharply inhibited the release of zoospores, compared to the water control (more than 90% full sporangia and less than 10%, respectively) (Figure 7A).
Regarding the mobility of zoospores, LB used at 25% did not seem to have any marked direct effect compared to the control (Figure 7B). Conversely, both bacterial supernatants completely inhibited the mobility of zoospores, demonstrating the antibiosis effect of the two bacterial strain supernatants.

3.3. Accumulation of Gene Transcripts (STS and ROMT) Contributing to Defence-Related Responses

3.3.1. Gene Expression Analyses by qRT-PCR

To assess the ability of bacterial supernatants to induce defence responses, we focused on stilbene compounds. These compounds are well known to be major compounds in grapevine defence. They act as phytoalexins as they are synthesized de novo in response to microbial pathogens and/or abiotic stress, and as they rapidly accumulate at the areas/sites of infection.
First, the accumulation of transcripts of two genes encoding stilbene synthase (STS) and trans-Resveratrol di-O-MethylTransferase (ROMT) was analysed. As shown in Figure 8, the transcripts of the two defence genes were accumulated in response to LB medium, S38 and Buz14 treatments, compared to water control. LB medium seemed to induce the highest fold change (120.5 and 73.9 for STS and ROMT, respectively) and Buz14 seemed to be more active than S38. However, no statistical difference was found between the three treatments.
Figure 8. Relative expression of defence-related genes in grapevine leaves. Leaves of cv. Marselan were sprayed with water (as control), LB medium, S38 or Buz14 supernatants at 25% and collected at 10 hpt. Means (n = 9) followed by the same letter are not significantly different by parametric ANOVA test and Tukey post-hoc test (α = 0.05). * Fold change in gene expression was calculated with the Common Base Method (fold change = 10 −ΔΔC(w)q). ROMT: trans-resveratrol di-O-methyltransferase; STS: stilbene synthase.

3.3.2. Stilbene Analyses

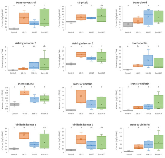
The capacity of Buz14 and S38 supernatants (25%) to induce stilbenes was analysed by UHPLC-QqQ in leaves of Marselan plants and compared to the controls (water as negative control and LB medium). The amount of 15 stilbenes was measured, including trans-resveratrol, cis-piceid, trans-piceid, piceid isomer, astringin isomer 1, astringin isomer 2, isorhapontin, pterostilbene, trans-δ-viniferin, trans-piceatannol, piceatannol isomer, trans-ɛ-viniferin, viniferin isomer 1, viniferin isomer 2 and trans-ω-viniferin. The changes in the leaf stilbene content, determined at 24 h post-treatment, are shown using a principal component analysis (PCA—Figure 9).
Figure 9. Principal component analysis (PCA) on all stilbenes quantified (15 in total) in treated grapevine leaves. (A) PCA score plot; (B) PCA loading plot.
The first two main axes accounted together for 70.2% of the total variance, i.e., 56.2% and 14% for PC1 and PC2, respectively (Figure 9A). Water-control samples were clearly separated from the other three treatments, namely LB medium, S38 and Buz14. In addition, both supernatant samples—which cannot be distinguished from each other—were clearly different from the LB medium alone. The PCA (Figure 9B) also allowed us to distinguish the control (water) from LB medium, S38 and Buz14, with stilbenes representative of the treated leaf samples. Nevertheless, three stilbenes did not take part in this separation: trans-piceatannol, one of its isomers and an isomer of piceid.
The content of each stilbene studied is shown in Figure 10, except for trans-piceatannol, one of its isomers, and an isomer of piceid, since their amount was similar in the different conditions. The LB medium alone significantly increased the content of the 12 stilbenes when compared to the water-control (except for trans-piceid). S38 induced a significant increase in the content of eight stilbenes (trans-resveratrol, cis-piceid, astringin isomer 2, isorhapontin, pterostilbene, trans-ɛ-viniferin, viniferin isomer 1 and trans-ω-viniferin), and Buz14 in the content of six stilbenes (trans-resveratrol, astringin isomer 2, isorhapontin, pterostilbene, trans-ɛ-viniferin and trans-ω-viniferin).
Figure 10. Stilbene content of the 12 stilbenes studied in grapevine leaves. Leaves of cv. Marselan were sprayed with water (as control), LB medium, S38 or Buz14 supernatants at 25% and collected at 24 hpt. Means followed by the same letter are not significantly different by parametric ANOVA test or non-parametric Kruskal–Wallis and Tukey post-hoc test or pairwise Wilcoxon post-hoc test (α = 0.05).
The LB medium was the treatment leading to the highest accumulation of most stilbenes. More precisely, the content in trans-resveratrol, astringin isomer 1, astringin isomer 2, pterostilbene, trans-δ-viniferin, viniferin isomer 1 and viniferin isomer 2 were 10.1, 4, 2.4, 2.7, 13.1, 5.2 and 6-fold higher than in the water control condition, respectively. Buz14 was the treatment triggering the greatest accumulation of trans-ɛ-viniferin and trans-ω-viniferin, 13.6 and 11.2 times more than in the control, respectively. Additionally, S38 resulted in a higher content of isorhapontin compared to LB medium and Buz14, which was 13.3 times more than the control (water). Finally, the amount of cis-piceid was equally higher for both LB medium and S38 treatments (and very close to the one of Buz14) than in the control, with a 1.5-fold higher content.

4. Discussion

4.1. In Planta Multi-Pathogen Preventive Protection

As for the overall protection efficacy, the original results in this study substantiate the broad-spectrum biocontrol ability of the two Bacillus strains tested, B. velezensis Buz14 and B. ginsengihumi S38. Most published papers in the biocontrol field using Bacillus strains as BCA, particularly addressing post-harvest pathosystems, focused on very few pathogens, mostly just one [63]. This may have resulted from both (i) the important biocontrol stepwise screening strategy theorized by [64] (widely accepted paper with 170 citations), and (ii) the time-consuming in vivo screening biotests. In this study, for the first time against two key grapevine diseases, namely DM and BR, in planta biotests showed a high and significant biocontrol efficacy of both Bacillus supernatants tested. In terms of broad-spectrum disease control, the Buz14 strain was then further confirmed as showing a very high multi-pathogen antifungal capacity, including now in its BCA spectrum a biotrophic (P. viticola) and an hemibiotrophic pathogen (G. bidwellii). This is in addition to the postharvest ones, mostly necrotrophs, screened initially and including Penicillium digitatum, P. expansum, P. italicum, Monilinia fructicola, M. laxa and B. cinerea [49]. Comparatively, the S38 strain had not been shown with such a broad multi-pathogen antifungal capacity, exhibiting an efficient antagonistic effect against Botrytis bunch rot [41,48] but a limited efficacy against two necrotrophic pathogens, N. parvum and P. chlamydospora [37,50].
Concerning G. bidwellii, very importantly and interestingly, the biocontrol antifungal efficacy has been demonstrated in this paper against the two major types of BR infections, primary and secondary ones caused by sexual (ascospores) and asexual (pycniospores) inocula, respectively. In 24 h preventive treatments before inoculations by either pycniospores or ascospores, both BCA supernatants exhibited high efficacy as biocontrol active substances, at the concentration of 50%. Likewise, but at a lower concentration (25%), this was clear for pycniospore infections (Figure 1). Furthermore, both supernatants were also highly effective against P. viticola. This is the first efficacy demonstration by using a strain of the Bacillus species ginsengihumi (S38). As for fungal BCA, [65] reported the efficacy of Trichoderma harzanium, but only a few BCA effective against DM have been described in the literature. Regarding bacterial BCA, it is noticeable that, for example, only one is registered in France, based on B. amyloliquefaciens (strain FZB24) [66]. In the literature, three endophytic strains were isolated from grapevines: two from leaves, i.e., the B. subtilis strain GLB191 [67] and the B. pumilus strain GLB197 [67,68], and the B. velezensis strain KOF112 from shoot xylem [69]. B. ginsengihumi S38 is also an endophytic bacterium isolated within the grapevine wood tissue [37]. This suggests that endophyte bacteria might have a higher potential to control P. viticola than epiphytic ones. Accordingly, ref. [70] observed that inhibition of Phytophthora infestans was achieved by strains of several genera, more frequently among endophytes than epiphytes. This was based on 78 bacteria isolated from foliar endophytic and epiphytic communities, in three grapevine cultivars, and tested against the oomycete P. infestans (as a surrogate for the obligate parasite oomycete P. viticola). Thus, endophytic bacteria may be a more promising resource than epiphytic bacteria for identifying BCA active against DM. In addition, the fact that culture filtrates or supernatants are also active (results obtained in this study and in [33]) facilitates their use in the vineyard, as the efficacy does not depend on the bacterial colonization and/or survival capacity and response of the microorganism to the environment, but only on the active substances they produce.

4.2. Characterisation of the Antibiosis Mode of Action

Against G. bidwellii, (Figure 4), the antibiosis mode of action of B. velezensis Buz14 was clearly demonstrated in planta, at the supernatant concentration of 25%, by the 2 h preventive treatments that were efficient significantly against ascospore infections (whatever the cultivar, Marselan or Artaban). Thus, direct antibiosis and toxic effects of the bacterial Buz14 supernatant were shown on the ascospore inoculum of BR. Because of the very short 2 h preventive duration, it is indeed not hypothesized that the supernatant may have elicited the grapevine defences, hence excluding this mechanism for contributing significantly to the observed biocontrol efficacy. However, we may put forward two potential direct effects, possibly acting together: (i) a surface physical effect, i.e., interfering with and impeding the early step of spore attachment at the leaf surface, and (ii) the antibiosis effect affecting spore germination, mycelial growth and/or appressorium formation. Since the anti-germinative effect was not demonstrated on pycniospores from the “GF2” BR strain, the latter assumption for the germination should be further investigated, in the near future, by testing in vitro ascospore germination and associated appressorium formation. Nonetheless, it was previously demonstrated that both G. bidwellii spore types displayed similar germination and infection patterns [12]. Thus, the pattern observed for pycniospores should be similar regarding ascospores. In addition, it is interesting to note that in the presence of the supernatants, pycniospores appeared misshapen. Hence, even though the germination rates were not affected by the supernatants, spore viability might have been affected, which should be further investigated. Similarly, the first hypothesis of leaf surface interference also needs to be further studied because such a mode of action has already been demonstrated as quite effective against the BR pathogen [13]. By studying different saponin-containing extracts, with an efficacy of more than 90%, such biocontrol molecules affecting key leaf surface properties (notably hydrophobicity) were indeed shown as very efficient against the BR pathogen [13]. These molecules, known as powerful surfactant compounds, were issued from Sapindus mukorossi, Chenopodium quinoa and Quillaja sp. As for G. bidwellii, the antibiosis was also shown in vitro, conclusively, regarding both BCA strains via the mycelial growth tests, resulting in low IC50 values that were always lower than 5.7% (Table 1). In addition, very similar results were obtained for the two supernatants in comparison with Sonata®, a marketed biocontrol product in France based on B. pumilus (QST 2808) with an IC50 of about 1.6%. Among the very few studies showing the potential of Bacillus BCA against G. bidwellii, an organically registered biofungicide, based on B. subtilis (Serenade®), has been reported recently in Virginia [46]. However, with the same biocontrol product, a previous study showed the crucial role of the formulation in the efficacy of the registered product [45].
This antibiosis mode of action of both Buz14 and S38 supernatants was also clearly demonstrated for P. viticola. In vitro, both supernatants inhibited the release of zoospores from sporangia and the zoospore mobility. They displayed similar activities, with IC50 values of 2.7 and 3.4% for S38 and Buz14 strains, respectively. Accordingly, the application of the supernatants on leaves, two hours before inoculation (time too short for eliciting significant defence responses), led to a strong reduction in the number of infection sites, i.e., encysted zoospores. As mentioned above, it could be due to surface physical effects impairing zoospores to reach stomata and/or to antibiosis affecting zoospore mobility and viability as observed in vitro. This needs to be further investigated to check if both effects may be involved. In planta, the antibiosis effect of culture filtrates of B. subtilis strain GLB191 were also shown against P. viticola [33]. Another published article also demonstrated the antibiosis effects by the B. velezensis strain KOF112 against the oomycete P. infestans [69].
Very interestingly in the broad-spectrum BCA prospect, we found that both BCA supernatants displayed a similar efficacy in terms of IC50 regarding the fungal growth inhibition of G. bidwellii and the zoospore-release inhibition of P. viticola. Thus, this substantiates the broad-spectrum biocontrol ability of both BCA supernatants and may be indicative of the potential use of such active substances, with a similar dosage, against the two key grapevine pathogens in further studies. Such a great antibiosis capacity of the two BCA model strains was also reported in several other studies dealing with various strains within the Bacillus genus that could be used as powerful biocontrol products based on viable BCA and/or their active substances. Acting via various and complementary modes of action, such as antagonism and/or plant defence induction following the production of key metabolites, and/or nutrient and space competition, they indeed represent a promising tool for crop protection [33,71]. More specifically, they are known to produce different cyclic lipopeptides belonging to the following families: surfactins, iturins, fengycins, kurstakins and locillomycins [71,72]. Different B. velezensis isolates were previously reported as valuable BCA owing to the nature of the cyclic lipopeptides they secrete, mostly identified as belonging to the surfactins, iturins and fengycin families [48,71,73]. In that regard, the B. velezensis Buz14 strain antifungal activity was demonstrated against several postharvest moulds, including B. cinerea, and mostly attributed to hydrosoluble metabolites [73,74]. Fengycin corresponded to the most abundant compound (853 µg.mL−1) in the lipopeptide fraction, while Iturin A, despite a lower concentration (407 µg.mL−1), presented a stronger antifungal activity [73]. Interestingly, B. velezensis strains could also act through the synthesis of polyketides [48,72,75] as well as the release of volatile compounds displaying antifungal properties [72,75]. This is also documented in the B. velezensis Buz14 strain, since up to 15 volatile metabolites were identified, including benzaldehyde and diacetyl as the most effective [75]. Furthermore, it was concluded that the living cells of these Bacillus strains did not account for the key and main part of the biological activity, compared with the bacterial culture supernatants [48].
By contrast, very few articles deal with B. ginsengihumi strains. As other Bacillus spp., they are capable of producing cyclic lipopeptides, but their nature and concentration are to date unknown. They could also possibly act through the synthesis of siderophores, known to interfere with the development of various microorganisms [72,76,77]. Some strains are also described for their ability to produce a phytohormone, indolacetic acid, so as to promote plant growth, alongside fungicidal metabolites [76].
Therefore, based on such a well-known synthesis of various biologically active compounds [37,47,78], our results further substantiate the fundamental role of the Bacillus genus in sourcing for new BCA strains inhibiting various species of plant pathogens. This seems to us very important to underline such a sourcing for an actual BCA broad-spectrum prospect. Further studies are underway to better elucidate the active molecules that are present in the supernatants produced by these two model BCA strains. Genome sequencing approaches have also been initiated to forecast their potential production, notably of lipopeptide and/or polyketide antifungal compounds.

4.3. Plant Defence Elicitation

Buz14 and S38 supernatants (i.e., LB medium containing active metabolites released by bacteria) induced the expression of two defence genes, STS and ROMT, concomitantly with the synthesis of several stilbenes (Figure 8 and Figure 10). Both S38 and Buz14 increased significantly the content of six stilbenes: trans-resveratrol, astringin isomer 2, isorhapontin, pterostilbene, trans-ɛ-viniferin and trans-ω-viniferin. The targeted genes STS (stilbene synthase) and ROMT (resveratrol O-methyl transferase) are involved in the synthesis of the stilbene phytoalexins, resveratrol—the monomer unit of all stilbenes—and pterostilbene, respectively. In response to disease or injury stresses, it is well recognized that an active resistance mechanism is set up involving particularly the up-regulation of the enzyme STS. The consecutive formed compounds, resveratrol and its derivatives, including viniferins (resveratrol dimers or tetramers) and pterostilbene (dimethylated form of resveratrol), are known to have high antimicrobial activity against grapevine pathogens, including P. viticola [79]. Resveratrol inhibits the germination of sporangia of P. viticola, and a mixture of stilbenes has also been shown to affect zoospore mobility [80,81]. Furthermore, pterostilbene displays a higher fungal inhibitory activity compared to resveratrol, and the methylation of hydroxyphenyl groups would be responsible for this better biocidal activity [80]. In addition to pterostilbene, viniferins are also considered as highly effective compounds against DM [80,82]. Thus, such significant accumulations of the most toxic forms of stilbenes in grapevine leaves treated by the bacterial supernatants can explain, to a certain extent, their enhanced resistance to P. viticola and G. bidwellii. Very interestingly and for the first time, we thus demonstrated the ability of the supernatants of B. velezensis Buz14 and B. ginsengihumi S38 to stimulate stilbene accumulation both at the gene expression level and in terms of metabolite contents in grapevines. Although this important biocontrol mode of action had not been investigated in these two strains, other Bacillus BCA strains such as B. velezensis and B. amyloliquefaciens were known for activating key defence-related enzymes in different plant host species, including grape, tomato and loquat [69,83,84]. The activation of grapevine defences by the culture filtrate of B. subtilis strain GLB191 were also demonstrated, together with an antibiosis effect [33]. The generation of mutants, affected in the production of fengycin and/or surfactin, allowed them to conclude that activity was partly due to these lipopeptides. Similarly, our results suggest that compounds released by bacteria in their culture medium show both antibiosis and defence eliciting marked anti-pathogen effects.

4.4. Antifungal Activity of the LB Culture Medium

In this study, by itself, the LB medium also showed partial effects against both pathogens and induced plant defences. Similar effects were observed with the PDB (Potato Dextrose Broth) bacterial culture medium [33]. So, for the bacterial supernatants we have assessed, the question arises of the origin of the observed activity and the relative complementary parts played by the initial components of the LB medium and by the bacteria-secreted metabolites (as discussed above). The LB medium showed an antimicrobial effect against both P. viticola and G. bidwellii; the effectiveness was much lower than that of the supernatants. First, our results clearly showed a direct antibiosis effect of the LB medium alone, on both pathogens, with IC50 in the range of approx. 15–40%, for the two pathogenic strains infecting V. vinifera (Table 1). As for G. bidwellii, such results of a direct effect on the mycelial growth have not been published previously, and further studies are then needed to investigate some of the possible reasons. Accordingly, in the in planta bio-tests at the 25% concentration (Figure 4), the LB medium by itself, applied two hours before inoculation by ascospores, also evidenced an unexpected, yet significant antifungal effect. At this 25% concentration, it also significantly reduced both the release of P. viticola zoospores and the number of encysted zoospores, although it did not affect their mobility as did supernatants. As previously reported for PDB against P. viticola [33], both effects were noted by reducing the number of infected sites (compared to the water control) and by activating plant defences. Second, LB medium at 25% significantly induced the expression of defence genes, compared to the water control, at a quite similar level as bacterial supernatants. LB medium contains yeast extracts (LB product sheet), which have been reported as plant defence inducers. It was, for instance, used to induce the accumulation of phenolic compounds in flowering flax (Linum grandiflorum Desf.) cells cultured in vitro [85]. Similarly, application of a yeast extract to Zataria multiflora cell suspensions induced the production of H2O2, NO, malondialdehyde, phenylpropanoids and terpenoids [86]. Yeast extracts also contain vitamins, among which are B vitamins (product data sheet). It was shown that riboflavin (vitamin B2) and thiamine (vitamin B) induced grapevine defence and resistance to DM [87,88]. Due to this activity of the LB medium by itself, this control shows also its own limitations. It is not a perfect experimental control since, during bacterial cultivation, it is indeed depleted in constituents used by bacteria for their growth, multiplication and metabolism, conversely to the non-inoculated one.
Overall, we can conclude that the supernatants of B. velezensis Buz14 and B. ginsengihumi S38 (LB medium plus metabolites secreted by bacteria) have a dual mode of action associating both antibiosis and elicitation of the plant defences.

5. Conclusions

This study highlights the effectiveness of two bacterial culture supernatants, from B. velezensis Buz14 and B. ginsengihumi S38 strains, for bioprotection against the grapevine key diseases, downy mildew and black rot. Previous work has also shown them to be effective against grey mould and various other necrotrophic pathogens. These supernatants therefore have a greatly interesting broad-spectrum antagonistic action for grapevine protection against microorganisms of very different lifestyles, i.e., biotrophic, hemibiotrophic and necrotrophic. Furthermore, their mode of action is demonstrated as clearly dual, combining both antibiosis and stimulation of plant defences. Further investigation is needed to assess their efficiency in the vineyard and to identify the active bacterial compounds. It would also be interesting to further investigate their effectiveness against other grapevine pathogens and key diseases, such as powdery mildew, as well as those in other major crops.

Supplementary Materials

The following supporting information can be downloaded at: https://www.mdpi.com/article/10.3390/jof10070471/s1, Figure S1: Black rot typical lesions on Artaban (A and B) and Marselan grapevine varieties, corresponding to high (A and C) and low (B and D) severity levels; Figure S2: G. bidwellii fungal growth inhibition dose–response curves, for Vitis-specific strain (A) and Parthenocissus-specific strain (B); Table S1: List of primers used for the assessment of defence-related responses; Table S2: Quantification of the different studied stilbenes.

Author Contributions

Conceptualization, M.A., M.-C.H. and M.F.; methodology, A.P.-C., C.I., J.V.-F., K.P., R.R., S.D. and T.M., software, C.I., R.R. and A.P.-C.; validation, M.A., M.-C.H., M.F. and S.C.; formal analysis, C.I., J.V.-F., M.-C.H., R.R. and T.M.; resources, C.I., K.P. and R.R.; data curation, C.I., and R.R.; writing—original draft preparation, C.I., M.A., M.-C.H., M.F. and R.R.; writing—review and editing, C.I., M.A., M.-C.H., M.F., R.R. and S.C.; supervision, M.A., M.-C.H., M.F. and S.C.; project administration, M.A. and M.F.; funding acquisition, M.A. and M.F. All authors have read and agreed to the published version of the manuscript.

Funding

This research was funded by the French National Research Agency (ANR) under the grant 20-PCPA-0010 (PPR VITAE).

Data Availability Statement

The raw data supporting the conclusions of this article will be made available on request from the corresponding author.

Acknowledgments

The authors acknowledge the greenhouses/4PMI (Plant Phenotyping Platform for Plant and Micro-organism Interactions) platform of the UMR Agroecology (Dijon) for contribution to plant production, and the Bordeaux INRAE-BSA-IFV Joint Technology Unit “UMT SEVEN” for its support. In UMR SAVE, the authors are grateful to collaborators for technical support, notably in the greenhouse: Ghislain Delestre, Jérôme Jolivet and Sébastien Gambier. The authors also wish to thank Valérie Martin for proofreading the article.

Conflicts of Interest

The authors declare no conflicts of interest.

References

  1. Elad, Y.; Pertot, I.; Cotes Prado, A.M.; Stewart, A. Plant Hosts of Botrytis spp. In Botrytis—The Fungus, the Pathogen and Its Management in Agricultural Systems; Fillinger, S., Elad, Y., Eds.; Springer International Publishing: Cham, Switzerland, 2016; pp. 413–486. ISBN 978-3-319-23371-0. [Google Scholar]
  2. Elad, Y.; Vivier, M.; Fillinger, S. Botrytis, the good, the bad and the ugly. In Botrytis—The Fungus, the Pathogen and Its Management in Agricultural Systems; Fillinger, S., Elad, Y., Eds.; Springer International Publishing: Cham, Switzerland, 2016; pp. 1–15. ISBN 978-3-319-23371-0. [Google Scholar]
  3. Koledenkova, K.; Esmaeel, Q.; Jacquard, C.; Nowak, J.; Clément, C.; Ait Barka, E. Plasmopara viticola the Causal Agent of Downy Mildew of Grapevine: From Its Taxonomy to Disease Management. Front. Microbiol. 2022, 13, 889472. [Google Scholar] [CrossRef] [PubMed]
  4. Peng, J.; Wang, X.; Wang, H.; Li, X.; Zhang, Q.; Wang, M.; Yan, J. Advances in understanding grapevine downy mildew: From pathogen infection to disease management. Mol. Plant Pathol. 2024, 25, 13401. [Google Scholar] [CrossRef] [PubMed]
  5. Fermaud, M.; Merot, A.; Delbac, L.; Daraignes, L.; Fraysse, M.; Smits, N. Long-term historical characterization of French vineyard exposure to pests and diseases: A case study of the Bordeaux and Champagne regions. Work. Group Integr. Prot. Vitic. 2024, 171, 29–33. [Google Scholar]
  6. Besselat, B.; Bouchet, J. Black-rot: A cause for concern in some vineyards. Phytoma 1984, 356, 33–35. [Google Scholar]
  7. Ramsdell, D.C.; Milholland, R.D. Black rot. In Compendium of Grape Diseases; Pearson, R.C., Goheen, A.C., Eds.; The American Phytopathological Society: St. Paul, MN, USA, 1988; pp. 15–17. [Google Scholar]
  8. Rossi, V.; Onesti, G.; Legler, S.E.; Caffi, T. Use of systems analysis to develop plant disease models based on literature data: Grape black-rot as a case-study. Eur. J. Plant Pathol. 2015, 141, 427–444. [Google Scholar] [CrossRef]
  9. Szabó, M.; Csikász-Krizsics, A.; Dula, T.; Farkas, E.; Roznik, D.; Kozma, P.; Deák, T. Black Rot of Grapes (Guignardia bidwellii)—A Comprehensive Overview. Horticulturae 2023, 9, 130. [Google Scholar] [CrossRef]
  10. Onesti, G.; González-Domínguez, E.; Manstretta, V.; Rossi, V. Release of Guignardia bidwellii ascospores and conidia from overwintered grape berry mummies in the vineyard. Aust. J. Grape Wine Res. 2017, 24, 136–144. [Google Scholar] [CrossRef]
  11. Kuo, K.; Hoch, H.C. The parasitic relationship between Phyllosticta ampelicida and Vitis vinifera. Mycologia 1996, 88, 626–634. [Google Scholar] [CrossRef]
  12. Ullrich, C.I.; Kleespies, R.G.; Enders, M.; Koch, E. Biology of the black rot pathogen, Guignardia bidwellii, its development in susceptible leaves of grapevine Vitis vinifera. J. Kult. 2009, 61, 82–90. [Google Scholar]
  13. Koch, E.; Enders, M.; Ullrich, C.; Molitor, D.; Berkelmann-Löhnertz, B. Effect of Primula root and other plant extracts on infection structure formation of Phyllosticta ampelicida (asexual stage of Guignardia bidwellii) and on black rot disease of grapevine in the greenhouse. J. Plant Dis. Prot. 2013, 120, 26–33. [Google Scholar] [CrossRef]
  14. Onesti, G.; González-Domínguez, E.; Rossi, V. Production of Pycnidia and Conidia by Guignardia bidwellii, the Causal Agent of Grape Black Rot, as Affected by Temperature and Humidity. Phytopathology 2017, 107, 173–183. [Google Scholar] [CrossRef]
  15. Molitor, D.; Beyer, M. Epidemiology, identification and disease management of grape black rot and potentially useful metabolites of black rot pathogens for industrial applications—A review. Ann. Appl. Biol. 2014, 165, 305–317. [Google Scholar] [CrossRef]
  16. Fermaud, M.; Smits, N.; Merot, A.; Roudet, J.; Thiéry, D.; Wery, J.; Delbac, L. New multipest damage indicator to assess protection strategies in grapevine cropping systems. Aust. J. Grape Wine Res. 2016, 22, 450–461. [Google Scholar] [CrossRef]
  17. Richardson, J.R.; Fitsanakis, V.; Westerink, R.H.S.; Kanthasamy, A.G. Neurotoxicity of pesticides. Acta Neuropathol. 2019, 138, 343–362. [Google Scholar] [CrossRef] [PubMed]
  18. Yilmaz, B.; Terekeci, H.; Sandal, S.; Kelestimur, F. Endocrine disrupting chemicals: Exposure, effects on human health, mechanism of action, models for testing and strategies for prevention. Rev. Endocr. Metab. Disord. 2020, 21, 127–147. [Google Scholar] [CrossRef]
  19. Lushchak, V.I.; Matviishyn, T.M.; Husak, V.V.; Storey, J.M.; Storey, K.B. Pesticide toxicity: A mechanistic approach. EXCLI J. 2018, 17, 1101–1136. [Google Scholar] [CrossRef]
  20. Zhang, C.; Zhou, T.; Xu, Y.; Du, Z.; Li, B.; Wang, J.; Wang, J.; Zhu, L. Ecotoxicology of strobilurin fungicides. Sci. Total Environ. 2020, 742, 140611. [Google Scholar] [CrossRef]
  21. Hahn, M. The rising threat of fungicide resistance in plant pathogenic fungi: Botrytis as a case study. J. Chem. Biol. 2014, 7, 133–141. [Google Scholar] [CrossRef] [PubMed]
  22. Cabras, P.; Angioni, A. Pesticide Residues in Grapes, Wine, and Their Processing Products. J. Agric. Food Chem. 2000, 48, 967–973. [Google Scholar] [CrossRef] [PubMed]
  23. Mattiello, A.; Novello, N.; Cornu, J.-Y.; Babst-Kostecka, A.; Pošćić, F. Copper accumulation in five weed species commonly found in the understory vegetation of Mediterranean vineyards. Environ. Pollut. 2023, 329, 121675. [Google Scholar] [CrossRef]
  24. Schneider, C.; Onimus, C.; Prado, E.; Dumas, V.; Wiedemann-Merdinoglu, S.; Dorne, M.A.; Lacombe, M.C.; Piron, M.C.; Umar-Faruk, A.; Duchene, E.; et al. INRA-ResDur: The French grapevine breeding programme for durable resistance to downy and powdery mildew. In Proceedings of the Acta Horticulturae, International Society for Horticultural Science (ISHS), Leuven, Belgium, 30 August 2019; pp. 207–214. [Google Scholar]
  25. Hausmann, L.; Rex, F.; Töpfer, R. Evaluation and genetic analysis of grapevine black rot resistances. Acta Hortic. 2017, 1188, 285–290. [Google Scholar] [CrossRef]
  26. Galli, M.; Feldmann, F.; Vogler, U.K.; Kogel, K.H. Can biocontrol be the game-changer in integrated pest management? A review of definitions, methods and strategies. J. Plant Dis. Prot. 2024, 131, 265–291. [Google Scholar] [CrossRef]
  27. Zipfel, C. Plant pattern-recognition receptors. Trends Immunol. 2014, 35, 345–351. [Google Scholar] [CrossRef] [PubMed]
  28. Couto, D.; Zipfel, C. Regulation of pattern recognition receptor signalling in plants. Nat. Rev. Immunol. 2016, 16, 537–552. [Google Scholar] [CrossRef] [PubMed]
  29. Boutrot, F.; Zipfel, C. Function, Discovery, and Exploitation of Plant Pattern Recognition Receptors for Broad-Spectrum Disease Resistance. Annu. Rev. Phytopathol. 2017, 55, 257–286. [Google Scholar] [CrossRef] [PubMed]
  30. Héloir, M.C.; Adrian, M.; Brulé, D.; Claverie, J.; Cordelier, S.; Daire, X.; Dorey, S.; Gauthier, A.; Lemaître-Guillier, C.; Negrel, J.; et al. Recognition of Elicitors in Grapevine: From MAMP and DAMP Perception to Induced Resistance. Front. Plant Sci. 2019, 10, 01117. [Google Scholar] [CrossRef] [PubMed]
  31. Trdá, L.; Fernandez, O.; Boutrot, F.; Héloir, M.-C.; Kelloniemi, J.; Daire, X.; Adrian, M.; Clément, C.; Zipfel, C.; Dorey, S.; et al. The grapevine flagellin receptor VvFLS2 differentially recognizes flagellin-derived epitopes from the endophytic growth-promoting bacterium Burkholderia phytofirmans and plant pathogenic bacteria. New Phytol. 2014, 201, 1371–1384. [Google Scholar] [CrossRef] [PubMed]
  32. Roudaire, T.; Marzari, T.; Landry, D.; Löffelhardt, B.; Gust, A.A.; Jermakow, A.; Dry, I.; Winckler, P.; Héloir, M.C.; Poinssot, B. The grapevine LysM receptor-like kinase VvLYK5-1 recognizes chitin oligomers through its association with VvLYK1-1. Front. Plant Sci. 2023, 14, 1130782. [Google Scholar] [CrossRef]
  33. Li, Y.; Héloir, M.C.; Zhang, X.; Geissler, M.; Trouvelot, S.; Jacquens, L.; Henkel, M.; Su, X.; Fang, X.; Wang, Q.; et al. Surfactin and fengycin contribute to the protection of a Bacillus subtilis strain against grape downy mildew by both direct effect and defence stimulation. Mol. Plant Pathol. 2019, 20, 1037–1050. [Google Scholar] [CrossRef]
  34. Demanèche, S.; Mirabel, L.; Abbe, O.; Eberst, J.-B.; Souche, J.-L. A New Active Substance Derived from Lyzed Willaertia magna C2c Maky Cells to Fight Grapevine Downy Mildew. Plants 2020, 9, 1013. [Google Scholar] [CrossRef]
  35. Jeandet, P.; Vannozzi, A.; Sobarzo-Sánchez, E.; Uddin, M.S.; Bru, R.; Martínez-Márquez, A.; Clément, C.; Cordelier, S.; Manayi, A.; Nabavi, S.F.; et al. Phytostilbenes as agrochemicals: Biosynthesis, bioactivity, metabolic engineering and biotechnology. Nat. Prod. Rep. 2020, 38, 1282–1329. [Google Scholar] [CrossRef] [PubMed]
  36. Compant, S.; Mathieu, F. Biocontrol of Major Grapevine Diseases: Leading Research; CABI: Wallingford, UK, 2016; ISBN 9781780647128. [Google Scholar]
  37. Haidar, R.; Deschamps, A.; Roudet, J.; Calvo-Garrido, C.; Bruez, E.; Rey, P.; Fermaud, M. Multi-organ screening of efficient bacterial control agents against two major pathogens of grapevine. Biol. Control 2016, 92, 55–65. [Google Scholar] [CrossRef]
  38. Daraignes, L.; Gerbore, J.; Yacoub, A.; Dubois, L.; Romand, C.; Zekri, O.; Roudet, J.; Chambon, P.; Fermaud, M. Efficacy of P. oligandrum affected by its association with bacterial BCAs and rootstock effect in controlling grapevine trunk diseases. Biol. Control 2018, 119, 59–67. [Google Scholar] [CrossRef]
  39. Zanzotto, A.; Morroni, M. Major biocontrol studies and measures against fungal and oomycete pathogens of grapevine. CABI 2016, 1, 1–34. [Google Scholar] [CrossRef]
  40. Calvo-Garrido, C.; Haidar, R.; Roudet, J.; Gautier, T.; Fermaud, M. Pre-selection in laboratory tests of survival and competition before field screening of antagonistic bacterial strains against Botrytis bunch rot of grapes. Biol. Control 2018, 124, 100–111. [Google Scholar] [CrossRef]
  41. Calvo-Garrido, C.; Roudet, J.; Aveline, N.; Davidou, L.; Dupin, S.; Fermaud, M. Microbial antagonism toward Botrytis bunch rot of grapes in multiple field tests using one Bacillus ginsengihumi strain and formulated biological control products. Front. Plant Sci. 2019, 10, 00105. [Google Scholar] [CrossRef]
  42. Silva-Valderrama, I.; Toapanta, D.; Miccono, M.d.l.A.; Lolas, M.; Díaz, G.A.; Cantu, D.; Castro, A. Biocontrol Potential of Grapevine Endophytic and Rhizospheric Fungi Against Trunk Pathogens. Front. Microbiol. 2021, 11, 614620. [Google Scholar] [CrossRef]
  43. Loskill, B.; Molitor, D.; Koch, E.; Harms, M.; Berkelmann-Löhnertz, B.; Hoffmann, C.; Kortekamp, A.; Porten, M.; Louis, F.; Maixner, M. Strategien zur Regulation der Schwarzfäule (Guignardia bidwellii) im ökologischen Weinbau. 2010, pp. 1–121. Available online: https://orgprints.org/id/eprint/17072/1/17072-04OE032-jki-maixner-2009-schwarzfaeule.pdf (accessed on 16 May 2024).
  44. Travis, J.; Hed, B.; Muza, A. Control of Black Rot in Greenhouse and Field Trials Using Organic Approved Materials, 2005; Research Report to the New York Wine/Grape Foundation, The Grape Production Research Fund and The Viticulture Consortium-East; Penn State College of Agricultural Science: University Park, PA, USA, 2005. [Google Scholar]
  45. Stafne, E.T.; Carroll, B.; Smith, D. Black rot control and bud cold hardiness of ‘Noiret’ winegrape. J. Appl. Hortic. 2015, 17, 106–108. [Google Scholar] [CrossRef]
  46. Rutto, L.K.; Mersha, Z.; Nita, M. Evaluation of cultivars and spray programs for organic grape production in Virginia. Horttechnology 2021, 31, 166–173. [Google Scholar] [CrossRef]
  47. Haidar, R.; Fermaud, M.; Calvo-Garrido, C.; Roudet, J.; Deschamps, A. Modes of action for biological control of Botrytis cinerea by antagonistic bacteria. Phytopathol. Mediterr. 2016, 55, 301–322. [Google Scholar] [CrossRef]
  48. Calvo, H.; Roudet, J.; Gracia, A.P.; Venturini, M.E.; Fermaud, M. Comparison of efficacy and modes of action of two high-potential biocontrol Bacillus strains and commercial biocontrol products against Botrytis cinerea in table grapes. OENO One 2021, 55, 228–243. [Google Scholar] [CrossRef]
  49. Calvo, H.; Marco, P.; Blanco, D.; Oria, R.; Venturini, M.E. Potential of a new strain of Bacillus amyloliquefaciens BUZ-14 as a biocontrol agent of postharvest fruit diseases. Food Microbiol. 2016, 63, 101–110. [Google Scholar] [CrossRef]
  50. Haidar, R.; Roudet, J.; Bonnard, O.; Dufour, M.C.; Corio-Costet, M.F.; Fert, M.; Gautier, T.; Deschamps, A.; Fermaud, M. Screening and modes of action of antagonistic bacteria to control the fungal pathogen Phaeomoniella chlamydospora involved in grapevine trunk diseases. Microbiol. Res. 2016, 192, 172–184. [Google Scholar] [CrossRef] [PubMed]
  51. Calonnec, A.; Jolivet, J.; Ramaroson, M.L.; Dufour, M.C.; Corio-Costet, M.F. Defence responses of grapevine cultivars to powdery mildew: Ontogenic resistance versus genetic resistance. Plant Pathol. 2021, 70, 1583–1600. [Google Scholar] [CrossRef]
  52. Burdziej, A.; Bellée, A.; Bodin, E.; Valls Fonayet, J.; Magnin, N.; Szakiel, A.; Richard, T.; Cluzet, S.; Corio-Costet, M.F. Three Types of Elicitors Induce Grapevine Resistance against Downy Mildew via Common and Specific Immune Responses. J. Agric. Food Chem. 2021, 69, 1781–1795. [Google Scholar] [CrossRef] [PubMed]
  53. Zhang, K.; Zhang, N.; Cai, L. Typification and phylogenetic study of Phyllosticta ampelicida and P. vaccinii. Mycologia 2013, 105, 1030–1042. [Google Scholar] [CrossRef] [PubMed]
  54. Jailloux, F. In vitro production of the teleomorph of Guignardia bidwellii, causal agent of black rot of grapevine. Can. J. Bot. 1992, 70, 254–257. [Google Scholar] [CrossRef]
  55. Allègre, M.; Héloir, M.C.; Trouvelot, S.; Daire, X.; Pugin, A.; Wendehenne, D.; Adrian, M. Are grapevine stomata involved in the elicitor-induced protection against downy mildew? Mol. Plant-Microbe Interact. 2009, 22, 977–986. [Google Scholar] [CrossRef] [PubMed]
  56. Spotts, R.A. Ecology and Epidemiology Effect of Leaf Wetness Duration and Temperature on the Infectivity of Guignardia bidwellii on Grape Leaves manually increased or decreased hourly in equal. Phytopathology 1977, 67, 1378–1381. [Google Scholar] [CrossRef]
  57. Kim Khiook, I.L.; Schneider, C.; Heloir, M.-C.; Bois, B.; Daire, X.; Adrian, M.; Trouvelot, S. Image analysis methods for assessment of H2O2 production and Plasmopara viticola development in grapevine leaves: Application to the evaluation of resistance to downy mildew. J. Microbiol. Methods 2013, 95, 235–244. [Google Scholar] [CrossRef]
  58. Gauthier, A.; Trouvelot, S.; Kelloniemi, J.; Frettinger, P.; Wendehenne, D.; Daire, X.; Joubert, J.-M.; Ferrarini, A.; Delledonne, M.; Flors, V.; et al. The Sulfated Laminarin Triggers a Stress Transcriptome before Priming the SA- and ROS-Dependent Defenses during Grapevine’s Induced Resistance against Plasmopara viticola. PLoS ONE 2014, 9, e88145. [Google Scholar] [CrossRef]
  59. Shaw, B.D.; Hoch, H.C. Ca2+ regulation of Phyllosticta ampelicida pycnidiospore germination and appressorium formation. Fungal Genet. Biol. 2000, 31, 43–53. [Google Scholar] [CrossRef]
  60. Sahmer, K.; Sahmer, K.; Deweer, C.; Santorufo, L.; Louvel, B.; Douay, F. Utilisation d’une régression non linéaire pour des applications microbiologiques. In Proceedings of the Seminaire Modal, Lille, France, 15 September 2015; pp. 1–35. [Google Scholar]
  61. Ganger, M.T.; Dietz, G.D.; Ewing, S.J. A common base method for analysis of qPCR data and the application of simple blocking in qPCR experiments. BMC Bioinform. 2017, 18, 534. [Google Scholar] [CrossRef]
  62. Loupit, G.; Prigent, S.; Franc, C.; De Revel, G.; Richard, T.; Cookson, S.J.; Fonayet, J.V. Polyphenol Profiles of Just Pruned Grapevine Canes from Wild Vitis Accessions and Vitis vinifera Cultivars. J. Agric. Food Chem. 2020, 68, 13397–13407. [Google Scholar] [CrossRef]
  63. Droby, S.; Wisniewski, M.; Norelli, J.L. Chapter 6: Biological Approaches for Managing Postharvest Decay. In Postharvest Pathology of Fruit and Nut Crops; IPM; The American Phytopathological Society: St. Paul, MN, USA, 2022; pp. 103–120. ISBN 978-0-89054-668-0. [Google Scholar]
  64. Köhl, J.; Postma, J.; Nicot, P.; Ruocco, M.; Blum, B. Stepwise screening of microorganisms for commercial use in biological control of plant-pathogenic fungi and bacteria. Biol. Control 2011, 57, 1–12. [Google Scholar] [CrossRef]
  65. Dagostin, S.; Schärer, H.-J.; Pertot, I.; Tamm, L. Are there alternatives to copper for controlling grapevine downy mildew in organic viticulture? Crop Prot. 2011, 30, 776–788. [Google Scholar] [CrossRef]
  66. Index acta Biocontrôle, 7th ed.; Acta Éditions: Paris, France, 2023; ISBN 978-2-85794-330-3.
  67. Zhang, X.; Zhou, Y.; Li, Y.; Fu, X.; Wang, Q. Screening and characterization of endophytic Bacillus for biocontrol of grapevine downy mildew. Crop Prot. 2017, 96, 173–179. [Google Scholar] [CrossRef]
  68. Zeng, Q.; Xie, J.; Li, Y.; Gao, T.; Zhang, X.; Wang, Q. Comprehensive Genomic Analysis of the Endophytic Bacillus altitudinis Strain GLB197, a Potential Biocontrol Agent of Grape Downy Mildew. Front. Genet. 2021, 12, 729603. [Google Scholar] [CrossRef]
  69. Hamaoka, K.; Aoki, Y.; Suzuki, S. Isolation and characterization of endophyte Bacillus velezensis KOF112 from grapevine shoot xylem as biological control agent for fungal diseases. Plants 2021, 10, 1815. [Google Scholar] [CrossRef]
  70. Bruisson, S.; Zufferey, M.; L’Haridon, F.; Trutmann, E.; Anand, A.; Dutartre, A.; De Vrieze, M.; Weisskopf, L. Endophytes and Epiphytes From the Grapevine Leaf Microbiome as Potential Biocontrol Agents Against Phytopathogens. Front. Microbiol. 2019, 10, 02726. [Google Scholar] [CrossRef]
  71. Lam, V.B.; Meyer, T.; Arias, A.A.; Ongena, M.; Oni, F.E.; Höfte, M. Bacillus cyclic lipopeptides iturin and fengycin control rice blast caused by Pyricularia oryzae in potting and acid sulfate soils by direct antagonism and induced systemic resistance. Microorganisms 2021, 9, 1441. [Google Scholar] [CrossRef]
  72. Andrić, S.; Rigolet, A.; Argüelles Arias, A.; Steels, S.; Hoff, G.; Balleux, G.; Ongena, L.; Höfte, M.; Meyer, T.; Ongena, M. Plant-associated Bacillus mobilizes its secondary metabolites upon perception of the siderophore pyochelin produced by a Pseudomonas competitor. ISME J. 2023, 17, 263–275. [Google Scholar] [CrossRef]
  73. Calvo, H.; Mendiara, I.; Arias, E.; Blanco, D.; Venturini, M.E. The role of iturin A from B. amyloliquefaciens BUZ-14 in the inhibition of the most common postharvest fruit rots. Food Microbiol. 2019, 82, 62–69. [Google Scholar] [CrossRef]
  74. Calvo-Garrido, C.; Paňitrur-De La Fuente, C.; Davidou, L.; Aveline, N.; Cestaret, S.; Roudet, J.; Valdés-Gómez, H.; Fermaud, M. Epidemiology of Botrytis bunch rot in Bordeaux vineyards and alternative control strategies. Integr. Prot. Prod. Vitic. 2017, 128, 18–27. [Google Scholar]
  75. Calvo, H.; Mendiara, I.; Arias, E.; Gracia, A.P.; Blanco, D.; Venturini, M.E. Antifungal activity of the volatile organic compounds produced by Bacillus velezensis strains against postharvest fungal pathogens. Postharvest Biol. Technol. 2020, 166, 111208. [Google Scholar] [CrossRef]
  76. Itkina, D.L.; Suleimanova, A.D.; Sharipova, M.R. Pantoea brenneri AS3 and Bacillus ginsengihumi M2.11 as Potential Biocontrol and Plant Growth-Promoting Agents. Microbiology 2021, 90, 210–218. [Google Scholar] [CrossRef]
  77. Köhl, J.; Kolnaar, R.; Ravensberg, W.J. Mode of action of microbial biological control agents against plant diseases: Relevance beyond efficacy. Front. Plant Sci. 2019, 10, 00845. [Google Scholar] [CrossRef]
  78. Morales-Cedeño, L.R.; Orozco-Mosqueda, M.d.C.; Loeza-Lara, P.D.; Parra-Cota, F.I.; de los Santos-Villalobos, S.; Santoyo, G. Plant growth-promoting bacterial endophytes as biocontrol agents of pre- and post-harvest diseases: Fundamentals, methods of application and future perspectives. Microbiol. Res. 2021, 242, 126612. [Google Scholar] [CrossRef]
  79. Chong, J.; Poutaraud, A.; Hugueney, P. Metabolism and roles of stilbenes in plants. Plant Sci. 2009, 177, 143–155. [Google Scholar] [CrossRef]
  80. Pezet, R.; Gindro, K.; Viret, O.; Richter, H. Effects of resveratrol, viniferins and pterostilbene on Plasmopara viticola zoospore mobility and disease development. Vitis J. Grapevine Res. 2004, 43, 145–148. [Google Scholar]
  81. Taillis, D.; Pébarthé-Courrouilh, A.; Lepeltier, É.; Petit, E.; Palos-Pinto, A.; Gabaston, J.; Mérillon, J.M.; Richard, T.; Cluzet, S. A grapevine by-product extract enriched in oligomerised stilbenes to control downy mildews: Focus on its modes of action towards Plasmopara viticola. Oeno One 2022, 56, 55–68. [Google Scholar] [CrossRef]
  82. Schnee, S.; Queiroz, E.F.; Voinesco, F.; Marcourt, L.; Dubuis, P.-H.; Wolfender, J.-L.; Gindro, K. Vitis vinifera Canes, a New Source of Antifungal Compounds against Plasmopara viticola, Erysiphe necator, and Botrytis cinerea. J. Agric. Food Chem. 2013, 61, 5459–5467. [Google Scholar] [CrossRef] [PubMed]
  83. Feng, B.; Li, P.; Chen, D.; Ding, C. Inhibition activity of tomato endophyte Bacillus velezensis FQ-G3 against postharvest Botrytis cinerea. Folia Microbiol. 2023, 69, 361–371. [Google Scholar] [CrossRef] [PubMed]
  84. Ye, W.-Q.; Sun, Y.-F.; Tang, Y.-J.; Zhou, W.-W. Biocontrol potential of a broad-spectrum antifungal strain Bacillus amyloliquefaciens B4 for postharvest loquat fruit storage. Postharvest Biol. Technol. 2021, 174, 111439. [Google Scholar] [CrossRef]
  85. Goncharuk, E.A.; Saibel, O.L.; Zaitsev, G.P.; Zagoskina, N.V. The Elicitor Effect of Yeast Extract on the Accumulation of Phenolic Compounds in Linum grandiflorum Cells Cultured In Vitro and Their Antiradical Activity. Biol. Bull. 2022, 49, 620–628. [Google Scholar] [CrossRef]
  86. Bavi, K.; Khavari-Nejad, R.A.; Najafi, F.; Ghanati, F. Phenolics and terpenoids change in response to yeast extract and chitosan elicitation in Zataria multiflora cell suspension culture. 3 Biotech 2022, 12, 163. [Google Scholar] [CrossRef] [PubMed]
  87. Boubakri, H.; Wahab, M.A.; Chong, J.; Bertsch, C.; Mliki, A.; Soustre-Gacougnolle, I. Thiamine induced resistance to Plasmopara viticola in grapevine and elicited host-defense responses, including HR like-cell death. Plant Physiol. Biochem. PPB 2012, 57, 120–133. [Google Scholar] [CrossRef]
  88. Boubakri, H.; Chong, J.; Poutaraud, A.; Schmitt, C.; Bertsch, C.; Mliki, A.; Masson, J.E.; Soustre-Gacougnolle, I. Riboflavin (Vitamin B2) induces defence responses and resistance to Plasmopara viticola in grapevine. Eur. J. Plant Pathol. 2013, 136, 837–855. [Google Scholar] [CrossRef]
Disclaimer/Publisher’s Note: The statements, opinions and data contained in all publications are solely those of the individual author(s) and contributor(s) and not of MDPI and/or the editor(s). MDPI and/or the editor(s) disclaim responsibility for any injury to people or property resulting from any ideas, methods, instructions or products referred to in the content.

Article Metrics

Citations

Article Access Statistics

Multiple requests from the same IP address are counted as one view.