Invasive Fungal Diseases in Hospitalized Patients with COVID-19 in Israel: A Multicenter Cohort Study
Abstract
:1. Introduction
2. Materials and Methods
2.1. Study Design and Population
2.2. Data Collection and Definitions
2.3. Statistical Analyses
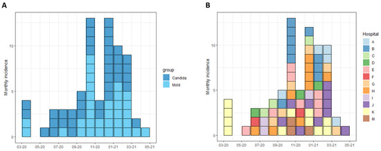
3. Results
3.1. Invasive Candidiasis
3.2. Pulmonary Mold Disease
3.3. Outcomes
4. Discussion
Supplementary Materials
Author Contributions
Funding
Institutional Review Board Statement
Informed Consent Statement
Data Availability Statement
Acknowledgments
Conflicts of Interest
References
- Salazar, F.; Bignell, E.; Brown, G.D.; Cook, P.C.; Warris, A. Pathogenesis of Respiratory Viral and Fungal Coinfections. Clin. Microbiol. Rev. 2021, 35, e0009421. [Google Scholar] [CrossRef] [PubMed]
- Marr, K.A.; Platt, A.; Tornheim, J.A.; Zhang, S.X.; Datta, K.; Cardozo, C.; Garcia-Vidal, C. Aspergillosis Complicating Severe Coronavirus Disease. Emerg. Infect. Dis. 2021, 27, 18–25. [Google Scholar] [CrossRef] [PubMed]
- White, P.L.; Dhillon, R.; Cordey, A.; Hughes, H.; Faggian, F.; Soni, S.; Pandey, M.; Whitaker, H.; May, A.; Morgan, M.; et al. A National Strategy to Diagnose Coronavirus Disease 2019-Associated Invasive Fungal Disease in the Intensive Care Unit. Clin. Infect. Dis. 2021, 73, e1634–e1644. [Google Scholar] [CrossRef] [PubMed]
- Patel, A.; Agarwal, R.; Rudramurthy, S.M.; Shevkani, M.; Xess, I.; Sharma, R.; Savio, J.; Sethuraman, N.; Madan, S.; Shastri, P.; et al. Multicenter Epidemiologic Study of Coronavirus Disease-Associated Mucormycosis, India. Emerg. Infect. Dis. 2021, 27, 2349–2359. [Google Scholar] [CrossRef] [PubMed]
- Singh, A.K.; Singh, R.; Joshi, S.R.; Misra, A. Mucormycosis in COVID-19: A systematic review of cases reported worldwide and in India. Diabetes Metab. Syndr. Clin. Res. Rev. 2021, 15, 102146. [Google Scholar] [CrossRef]
- Schauwvlieghe, A.F.A.D.; Rijnders, B.J.A.; Philips, N.; Verwijs, R.; Vanderbeke, L.; Van Tienen, C.; Lagrou, K.; Verweij, P.E.; Van de Veerdonk, F.L.; Gommers, D.; et al. Invasive aspergillosis in patients admitted to the intensive care unit with severe influenza: A retrospective cohort study. Lancet Respir. Med. 2018, 6, 782–792. [Google Scholar] [CrossRef]
- Koehler, P.; Bassetti, M.; Chakrabarti, A.; Chen, S.C.A.; Colombo, A.L.; Hoenigl, M.; Klimko, N.; Lass-Florl, C.; Oladele, R.O.; Vinh, D.C.; et al. Defining and managing COVID-19-associated pulmonary aspergillosis: The 2020 ECMM/ISHAM consensus criteria for research and clinical guidance. Lancet Infect. Dis. 2020, 21, e149–e162. [Google Scholar] [CrossRef]
- Salmanton-Garcia, J.; Sprute, R.; Stemler, J.; Bartoletti, M.; Dupont, D.; Valerio, M.; Garcia-Vidal, C.; Falces-Romero, I.; Machado, M.; de la Villa, S.; et al. COVID-19-Associated Pulmonary Aspergillosis, March-August 2020. Emerg. Infect. Dis. 2021, 27, 1077–1086. [Google Scholar] [CrossRef]
- Gangneux, J.-P.; Dannaoui, E.; Fekkar, A.; Luyt, C.-E.; Botterel, F.; De Prost, N.; Tadié, J.-M.; Reizine, F.; Houzé, S.; Timsit, J.-F.; et al. Fungal infections in mechanically ventilated patients with COVID-19 during the first wave: The French multicentre MYCOVID study. Lancet Respir. Med. 2022, 10, 180–190. [Google Scholar] [CrossRef]
- Janssen, N.A.F.; Nyga, R.; Vanderbeke, L.; Jacobs, C.; Ergun, M.; Buil, J.B.; van Dijk, K.; Altenburg, J.; Bouman, C.S.C.; van der Spoel, H.I.; et al. Multinational Observational Cohort Study of COVID-19-Associated Pulmonary Aspergillosis(1). Emerg. Infect. Dis. 2021, 27, 2892–2898. [Google Scholar] [CrossRef]
- Takazono, T.; Mukae, H.; Izumikawa, K.; Hasegawa, N.; Yokoyama, A. COVID-19 associated pulmonary aspergillosis: A nationwide survey by the Japanese Respiratory Society. ERJ Open Res. 2021, 7, 00402-2021. [Google Scholar] [CrossRef] [PubMed]
- Ranhel, D.; Ribeiro, A.; Batista, J.; Pessanha, M.; Cristovam, E.; Duarte, A.; Dias, A.; Coelho, L.; Monteiro, F.; Freire, P.; et al. COVID-19-Associated Invasive Pulmonary Aspergillosis in the Intensive Care Unit: A Case Series in a Portuguese Hospital. J Fungi 2021, 7, 881. [Google Scholar] [CrossRef] [PubMed]
- Bretagne, S.; Sitbon, K.; Botterel, F.; Dellière, S. COVID-19-Associated Pulmonary Aspergillosis, Fungemia, and Pneumocystosis in the Intensive Care Unit: A Retrospective Multicenter Observational Cohort during the First French Pandemic Wave. Microbiol. Spectr. 2021, 9, e0113821. [Google Scholar] [CrossRef] [PubMed]
- Permpalung, N.; Chiang, T.P.; Massie, A.B.; Zhang, S.X.; Avery, R.K.; Nematollahi, S.; Ostrander, D.; Segev, D.L.; Marr, K.A. Coronavirus Disease 2019-Associated Pulmonary Aspergillosis in Mechanically Ventilated Patients. Clin. Infect. Dis. 2022, 74, 83–91. [Google Scholar] [CrossRef]
- Zhang, S.X.; Balada-Llasat, J.M.; Pancholi, P.; Sullivan, K.V.; Riedel, S. COVID-Associated Pulmonary Aspergillosis in the United States: Is It Rare or Have We Missed the Diagnosis? J. Clin. Microbiol. 2021, 59, e0113521. [Google Scholar] [CrossRef] [PubMed]
- Feys, S.; Almyroudi, M.P.; Braspenning, R.; Lagrou, K.; Spriet, I.; Dimopoulos, G.; Wauters, J. A Visual and Comprehensive Review on COVID-19-Associated Pulmonary Aspergillosis (CAPA). J. Fungi 2021, 7, 1067. [Google Scholar] [CrossRef]
- Prattes, J.; Wauters, J.; Giacobbe, D.R.; Salmanton-Garcia, J.; Maertens, J.; Bourgeois, M.; Reynders, M.; Rutsaert, L.; Van Regenmortel, N.; Lormans, P.; et al. Risk factors and outcome of pulmonary aspergillosis in critically ill coronavirus disease 2019 patients-a multinational observational study by the European Confederation of Medical Mycology. Clin. Microbiol. Infect. 2022, 28, 580–587. [Google Scholar] [CrossRef]
- Hussain, S.; Riad, A.; Singh, A.; Klugarová, J.; Antony, B.; Banna, H.; Klugar, M. Global Prevalence of COVID-19-Associated Mucormycosis (CAM): Living Systematic Review and Meta-Analysis. J. Fungi 2021, 7, 985. [Google Scholar] [CrossRef]
- Hoenigl, M.; Seidel, D.; Carvalho, A.; Rudramurthy, S.M.; Arastehfar, A.; Gangneux, J.-P.; Nasir, N.; Bonifaz, A.; Araiza, J.; Klimko, N.; et al. The emergence of COVID-19 associated mucormycosis: A review of cases from 18 countries. Lancet Microbe 2022, 3, e543–e552. [Google Scholar] [CrossRef]
- National Institutes of Health. COVID-19 Treatment Guidelines. Available online: https://www.covid19treatmentguidelines.nih.gov/overview/clinical-spectrum/ (accessed on 28 November 2021).
- Charlson, M.E.; Pompei, P.; Ales, K.L.; MacKenzie, C.R. A new method of classifying prognostic comorbidity in longitudinal studies: Development and validation. J. Chronic Dis. 1987, 40, 373–383. [Google Scholar] [CrossRef]
- Verweij, P.E.; Bruggemann, R.J.M.; Azoulay, E.; Bassetti, M.; Blot, S.; Buil, J.B.; Calandra, T.; Chiller, T.; Clancy, C.J.; Cornely, O.A.; et al. Taskforce report on the diagnosis and clinical management of COVID-19 associated pulmonary aspergillosis. Intensive Care Med. 2021, 47, 819–834. [Google Scholar] [CrossRef] [PubMed]
- Donnelly, J.P.; Chen, S.C.; Kauffman, C.A.; Steinbach, W.J.; Baddley, J.W.; Verweij, P.E.; Clancy, C.J.; Wingard, J.R.; Lockhart, S.R.; Groll, A.H.; et al. Revision and Update of the Consensus Definitions of Invasive Fungal Disease from the European Organization for Research and Treatment of Cancer and the Mycoses Study Group Education and Research Consortium. Clin. Infect. Dis. 2020, 71, 1367–1376. [Google Scholar] [CrossRef] [PubMed] [Green Version]
- Israeli Ministry of Health. Beds and Services. January 2021. Available online: https://www.gov.il/ (accessed on 29 November 2021).
- Bassetti, M.; Giacobbe, D.R.; Vena, A.; Trucchi, C.; Ansaldi, F.; Antonelli, M.; Adamkova, V.; Alicino, C.; Almyroudi, M.P.; Atchade, E.; et al. Incidence and outcome of invasive candidiasis in intensive care units (ICUs) in Europe: Results of the EUCANDICU project. Crit. Care 2019, 23, 219. [Google Scholar] [CrossRef] [PubMed] [Green Version]
- Kett, D.H.; Azoulay, E.; Echeverria, P.M.; Vincent, J.L.; Extended Prevalence of Infection in ICUSGoI. Candida bloodstream infections in intensive care units: Analysis of the extended prevalence of infection in intensive care unit study. Crit. Care Med. 2011, 39, 665–670. [Google Scholar] [CrossRef] [PubMed] [Green Version]
- Kula, B.E.; Clancy, C.J.; Hong Nguyen, M.; Schwartz, I.S. Invasive mould disease in fatal COVID-19: A systematic review of autopsies. Lancet Microbe 2021, 2, e405–e414. [Google Scholar] [CrossRef]
- Senger, S.S.; Thompson, G.R., 3rd; Samanta, P.; Ahrens, J.; Clancy, C.J.; Nguyen, M.H. Candida Empyema Thoracis at Two Academic Medical Centers: New Insights Into Treatment and Outcomes. Open Forum. Infect. Dis. 2021, 8, ofaa656. [Google Scholar] [CrossRef] [PubMed]
- Placik, D.A.; Taylor, W.L.; Wnuk, N.M. Bronchopleural fistula development in the setting of novel therapies for acute respiratory distress syndrome in SARS-CoV-2 pneumonia. Radiol. Case Rep. 2020, 15, 2378–2381. [Google Scholar] [CrossRef] [PubMed]
- Divisi, D.; Zaccagna, G.; Angeletti, C.; Cicerone, E.; De Vico, A. Pleural empyema associated with alveolar-pleural fistulas in severe acute respiratory syndrome coronavirus 2. Clin. Case Rep. 2021, 9, e04262. [Google Scholar] [CrossRef]



| Variable | Invasive Candidiasis | Pulmonary Mold Disease | Total |
|---|---|---|---|
| Total | 40 | 33 | 71 |
| Sex | |||
| Male | 28 (70.0) | 21 (63.6) | 47 (66.1) |
| Female | 12 (30.0) | 12 (36.4) | 24 (33.8) |
| Age, years, median (IQR) | 64.5 (57–74.2) | 64 (59–74) | 64 (59–74) |
| Charlson Comorbidity score, median (IQR) | 2 (1–4) | 2 (1–3) | 2 (1–4) |
| COPD | 4 (10.3) | 4 (12.1) | 8 (11.2) |
| Diabetes mellitus | 11 (28.2) | 12 (36.4) | 24 (33.8) |
| Ischemic heart disease | 9 (23.9) | 9 (27.3) | 17 (23.9) |
| Cerebrovascular disease | 4 (10.3) | 2 (6.1) | 6 (8.4) |
| Immune suppression | 6 (15.0) | 5 (15.2) | 11 (15.1) |
| Dementia | 3 (7.5) | 0 (0) | 3 (4.2) |
| LTCF residence | 3 (7.5) | 0 (0) | 3 (4.2) |
| COVID-19 category | |||
| Non-severe | 2 (5.0) | 1 (3.0) | 3 (4.2) |
| Severe | 5 (12.5) | 1 (3.0) | 6 (8.4) |
| Critical | 33 (82.5) | 31 (93.9) | 62 (87.3) |
| SOFA score, median (IQR) | 10 (7.5–13) | 7 (5–11) | 9 (6–12) |
| ICU | 29 (74.4) | 31 (93.9) | 58 (81.6) |
| Mechanical ventilation | 32 (82.1) | 31 (93.9) | 61 (85.9) |
| Time from diagnosis, median (IQR) | 18.5 (12–28) | 16 (10–28) | 17 (11–28) |
| MV days before IFD, median (IQR) | 12 (3–24) | 7 (1–16) | 9 (1–18) |
| ICU days before IFD, median (IQR) | 16 (8–24) | 10 (3–17) | 12 (4.7–18) |
| CVC | 34 (87.2) | 28 (84.8) | 60 (84.5) |
| Urinary catheter | 33 (84.6) | 32 (97.0) | 64 (90.1) |
| Chest tube | 6 (15.4) | 4 (12.1) | 9 (12.6) |
| Bacterial infection | 25 (64.1) | 24 (72.7) | 46 (64.7) |
| Corticosteroids | 35 (89.7) | 31 (93.9) | 64 (90.1) |
| Tocilizumab | 5 (12.8) | 5 (15.2) | 10 (14.0) |
| Remdesivir | 14 (35.9) | 9 (27.3) | 23 (32.3) |
| Broad-spectrum antibiotics | 32 (82.1) | 30 (90.9) | 61 (85.9) |
| Complications | |||
| Pneumothorax/Pneumomediastinum | 9 (23.1) | 6 (18.2) | 13 (18.3) |
| Venous thromboembolism | 3 (7.7) | 6 (18.2) | 9 (12.6) |
| Outcomes | |||
| Days in ICU | 24 (12–44) | 24 (15–35) | 24 (14–37.5) |
| Days on ventilator | 13 (3.5–40) | 28.5 (15–42) | 22 (8–41) |
| Days in hospital | 30 (14–41) | 33 (23–52) | 31 (20–46) |
| Crude hospital mortality | 27 (67.5) | 19 (57.5) | 45 (63.3) |
| BSI | IC | Total | |
|---|---|---|---|
| Total | 34 (100) | 6 (100) | 40 (100) |
| CVC-associated BSI | 13 (38.2) | NA | 13 (33.3) |
| Pleural empyema | 2 (5.8) | 4 (66.6) | 6 (15.4) |
| Peritonitis | 1 (2.9) | 1 (16.6) | 2 (5.1) |
| Biliary | 0 (0) | 1 (16.6) | 1 (2.6) |
| Undetermined source | 18 (52.9) | NA | 18 (45) |
| Candida species | |||
| C. glabrata | 13 (38.2) | 0 (0) | 13 (32.5) |
| C. albicans | 7 (20.5) | 2 (33.3) | 9 (22.5) |
| C. parapsilosis | 6 (17.6) | 1 (16.6) | 7 (17.5) |
| C. tropicalis | 4 (11.7) | 0 (0) | 4 (10.0) |
| C. lusitaniae | 2 (5.8) | 0 (0) | 2 (5.0) |
| C. krusei | 1 (2.9) | 0 (0) | 1 (2.5) |
| C. dubliniensis | 0 (0) | 1 (16.6) | 1 (2.5) |
| C. auris | 1 (2.9) | 0 (0) | 1 (2.5) |
| Mixed species | 0 (0) | 2 (33.3) | 2 (5.0) |
| Variable | N (%) |
|---|---|
| Aspergillus species | |
| A. fumigatus | 13 (39.4) |
| A. flavus | 8 (24.2) |
| A. terreus | 5 (15.2) |
| Aspergillus spp. | 6 (18.2) |
| Rhizopus arrhizus | 1 (3.03) |
| Positive Culture | 26/33 (78.8) |
| Positive Galactomannan | |
| Airway | 14/26 (53.8) |
| Plasma | 6/22 (27.3) |
| Positive PCR | 2/17 (11.8) |
| Total | 33 (100) |
| Variable | IC | PMD |
|---|---|---|
| Age > 65 years | 2.84 (1.34–6.02) | 1.76 (0.75–4.10) |
| SOFA score > 12 | 3.64 (1.46–9.05) | 0.76 (0.097–5.99) |
| Charlson score > 2 | 1.72 (0.81–3.65) | 1.74 (0.70–4.32) |
| Primary treatment | ||
| Echinocandin | 0.44 (0.20–0.94) | 1.68 (0.56–5.075) |
| Fluconazole | 0.92 (0.39–2.17) | NA |
| Extended-spectrum azole | NA | 0.23 (0.093–0.57) |
| Cox proportional hazards model | ||
| Age > 65 years | 3.52 (1.26–9.77) | NA |
| SOFA score > 12 | 7.37 (2.38–22.77) | NA |
| Echinocandin | 0.26 (0.07–0.91) | NA |
Publisher’s Note: MDPI stays neutral with regard to jurisdictional claims in published maps and institutional affiliations. |
© 2022 by the authors. Licensee MDPI, Basel, Switzerland. This article is an open access article distributed under the terms and conditions of the Creative Commons Attribution (CC BY) license (https://creativecommons.org/licenses/by/4.0/).
Share and Cite
Elbaz, M.; Korem, M.; Ayalon, O.; Wiener-Well, Y.; Shachor-Meyouhas, Y.; Cohen, R.; Bishara, J.; Atamna, A.; Brosh-Nissimov, T.; Maaravi, N.; et al. Invasive Fungal Diseases in Hospitalized Patients with COVID-19 in Israel: A Multicenter Cohort Study. J. Fungi 2022, 8, 721. https://doi.org/10.3390/jof8070721
Elbaz M, Korem M, Ayalon O, Wiener-Well Y, Shachor-Meyouhas Y, Cohen R, Bishara J, Atamna A, Brosh-Nissimov T, Maaravi N, et al. Invasive Fungal Diseases in Hospitalized Patients with COVID-19 in Israel: A Multicenter Cohort Study. Journal of Fungi. 2022; 8(7):721. https://doi.org/10.3390/jof8070721
Chicago/Turabian StyleElbaz, Meital, Maya Korem, Oshrat Ayalon, Yonit Wiener-Well, Yael Shachor-Meyouhas, Regev Cohen, Jihad Bishara, Alaa Atamna, Tal Brosh-Nissimov, Nir Maaravi, and et al. 2022. "Invasive Fungal Diseases in Hospitalized Patients with COVID-19 in Israel: A Multicenter Cohort Study" Journal of Fungi 8, no. 7: 721. https://doi.org/10.3390/jof8070721
APA StyleElbaz, M., Korem, M., Ayalon, O., Wiener-Well, Y., Shachor-Meyouhas, Y., Cohen, R., Bishara, J., Atamna, A., Brosh-Nissimov, T., Maaravi, N., Nesher, L., Chazan, B., Reisfeld, S., Zimhony, O., Chowers, M., Maor, Y., Katchman, E., & Ben-Ami, R. (2022). Invasive Fungal Diseases in Hospitalized Patients with COVID-19 in Israel: A Multicenter Cohort Study. Journal of Fungi, 8(7), 721. https://doi.org/10.3390/jof8070721

