Purification and Characterization of a Novel α-L-Rhamnosidase from Papiliotrema laurentii ZJU-L07 and Its Application in Production of Icariin from Epimedin C
Abstract
:1. Introduction
2. Materials and Methods
2.1. Materials and Chemicals
2.2. Strain Screening, Mutagenesis, and Identification
2.3. Preparation and Purification of α-L-Rhamnosidase
2.4. Assay of α-L-Rhamnosidase Activity and Protein Concentration
2.5. Determination of Enzymatic Characteristics
2.5.1. Optimal Temperature and Thermal Stability
2.5.2. Optimal pH and pH Stability
2.5.3. The Effects of Metal Irons on the α-L-Rhamnosidase Activity
2.5.4. Kinetic Parameters
2.6. Substrate Specificity
2.7. Enzymatic Hydrolysis Optimization of Epimedin C
2.8. HPLC Analysis
2.9. Statistical Analysis
3. Results
3.1. Strain Screening and Identification
3.2. Purification of α-L-Rhamnosidase from P. laurentii ZJU-L07
3.3. Enzymatic Characterization
3.3.1. Optimum Temperature and Thermal Stability
3.3.2. Optimal pH and pH Stability
3.3.3. Effects of Metal Ions on Enzyme Activity
3.3.4. Kinetic Parameters
3.4. Substrate Specificity
3.5. Enzymatic Hydrolysis Optimization of Epimedin C by α-L-Rhamnosidase
3.5.1. Selection of the Suitable Substrate
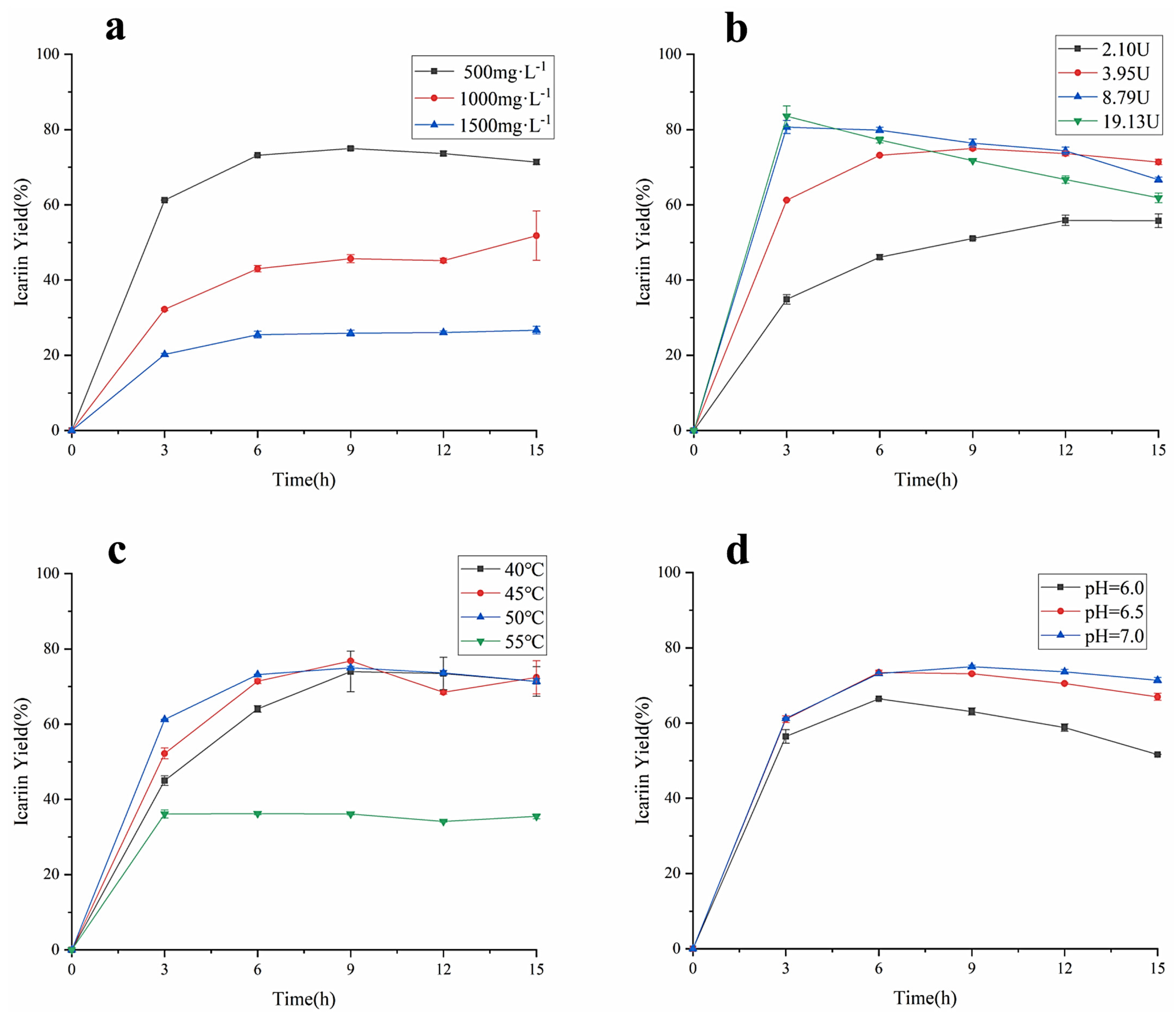
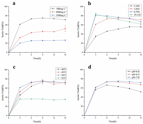
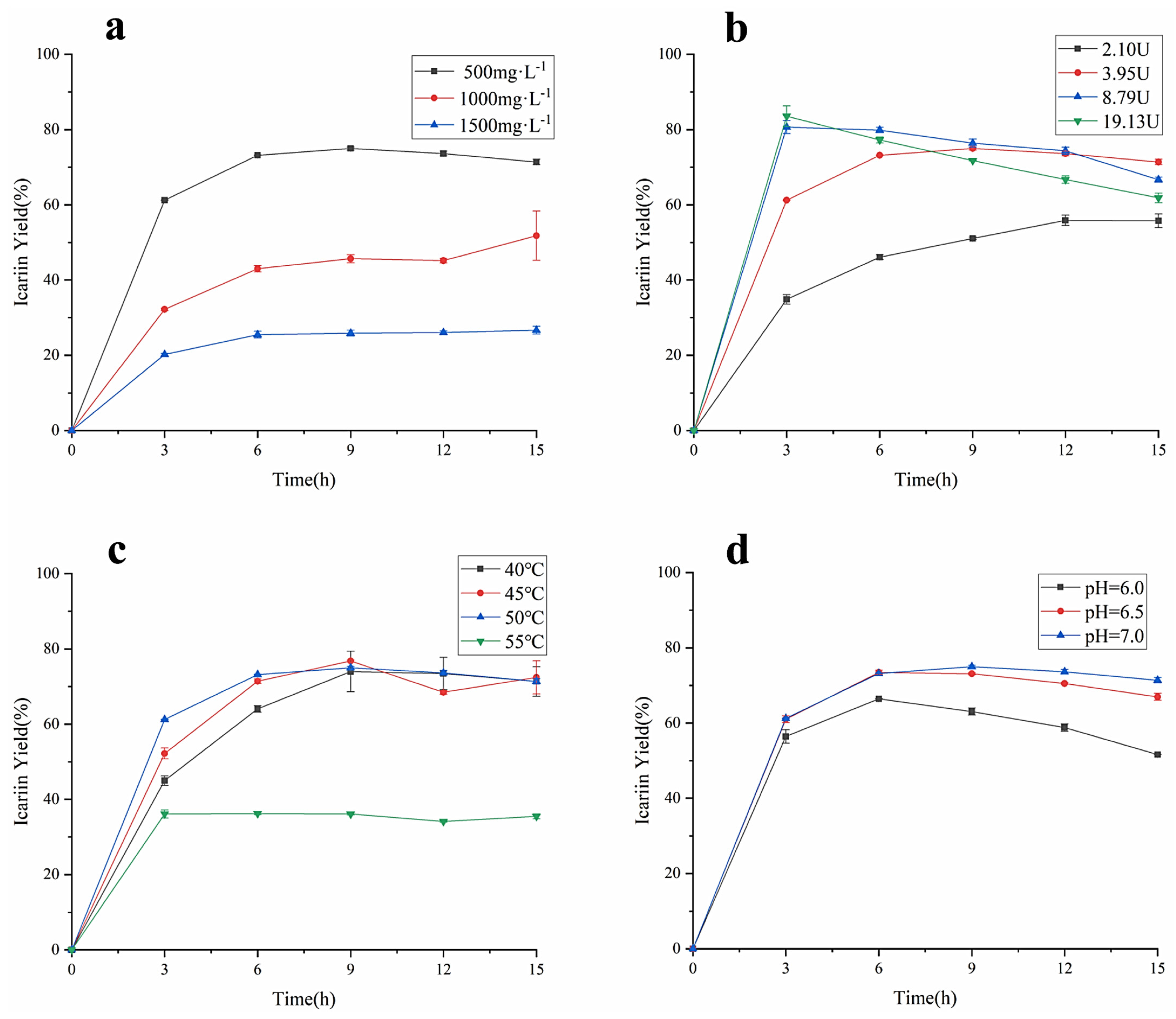
3.5.2. Screening of Enzymatic Conditions Using the Single Factor Test
3.5.3. Optimization of Icariin Yield and Epimedin C Remaining with RSM
4. Discussion
5. Conclusions
Supplementary Materials
Author Contributions
Funding
Institutional Review Board Statement
Informed Consent Statement
Data Availability Statement
Conflicts of Interest
References
- Jiang, J.; Song, J.; Jia, X.-B. Phytochemistry and Ethnopharmacology of Epimedium L. Species. Chin. Herb. Med. 2015, 7, 204–222. [Google Scholar] [CrossRef]
- El-Shitany, N.A.; Eid, B.G. Icariin modulates carrageenan-induced acute inflammation through HO-1/Nrf2 and NF-kB signaling pathways. Biomed. Pharm. 2019, 120, 109567. [Google Scholar] [CrossRef] [PubMed]
- Yu, T.; Xiong, Y.; Luu, S.; You, X.M.; Li, B.; Xia, J.; Zhu, H.; Zhao, Y.G.; Zhou, H.C.; Yu, G.R.; et al. The shared KEGG pathways between icariin-targeted genes and osteoporosis. Aging 2020, 12, 8191–8201. [Google Scholar] [CrossRef] [PubMed]
- Wang, F.Y.; Jia, J.; Song, H.H.; Jia, C.M.; Chen, C.B.; Ma, J. Icariin protects vascular endothelial cells from oxidative stress through inhibiting endoplasmic reticulum stress. J. Integr. Med. 2019, 17, 205–212. [Google Scholar] [CrossRef] [PubMed]
- Zhang, X.; Sun, H.; Su, Q.; Lin, T.; Zhang, H.; Zhang, J.; Dang, S.; Zhu, Z. Antidepressant-like activity of icariin mediated by group I mGluRs in prenatally stressed offspring. Brain Dev. 2017, 39, 593–600. [Google Scholar] [CrossRef]
- Wu, X.; Kong, W.; Qi, X.; Wang, S.; Chen, Y.; Zhao, Z.; Wang, W.; Lin, X.; Lai, J.; Yu, Z.; et al. Icariin induces apoptosis of human lung adenocarcinoma cells by activating the mitochondrial apoptotic pathway. Life Sci. 2019, 239, 116879. [Google Scholar] [CrossRef]
- Jin, J.; Wang, H.; Hua, X.; Chen, D.; Huang, C.; Chen, Z. An outline for the pharmacological effect of icariin in the nervous system. Eur. J. Pharm. 2019, 842, 20–32. [Google Scholar] [CrossRef]
- Qi, C.; Shao, Y.; Liu, X.; Wang, D.; Li, X. The cardioprotective effects of icariin on the isoprenaline-induced takotsubo-like rat model: Involvement of reactive oxygen species and the TLR4/NF-kappaB signaling pathway. Int. Immunopharmacol. 2019, 74, 105733. [Google Scholar] [CrossRef]
- Ding, J.; Tang, Y.; Tang, Z.; Zu, X.; Qi, L.; Zhang, X.; Wang, G. Icariin improves the sexual function of male mice through the PI3K/AKT/eNOS/NO signalling pathway. Andrologia 2018, 50, e12802. [Google Scholar] [CrossRef]
- Wang, P.; Li, C.; Li, X.; Huang, W.; Wang, Y.; Wang, J.; Zhang, Y.; Yang, X.; Yan, X.; Wang, Y.; et al. Complete biosynthesis of the potential medicine icaritin by engineered Saccharomyces cerevisiae and Escherichia coli. Sci. Bull. 2021, 66, 1906–1916. [Google Scholar] [CrossRef]
- Yang, Y.; Liu, X.; Li, W.; Jin, Y.; Wu, Y.; Zheng, J.; Zhang, W.; Chen, Y. Rapid measurement of epimedin A, epimedin B, epimedin C, icariin, and moisture in Herba Epimedii using near infrared spectroscopy. Spectrochim. Acta A Mol. Biomol Spectrosc. 2017, 171, 351–360. [Google Scholar] [CrossRef] [PubMed]
- Guo, Y.; Wang, X.; Gao, J. Simultaneous Preparation and Comparison of the Osteogenic Effects of Epimedins A-C and Icariin from Epimedium brevicornu. Chem. Biodivers. 2018, 15, e1700578. [Google Scholar] [CrossRef] [PubMed]
- Wu, T.; Pei, J.; Ge, L.; Wang, Z.; Ding, G.; Xiao, W.; Zhao, L. Characterization of a alpha-l-rhamnosidase from Bacteroides thetaiotaomicron with high catalytic efficiency of epimedin C. Bioorg. Chem. 2018, 81, 461–467. [Google Scholar] [CrossRef]
- Lyu, Y.; Zeng, W.; Du, G.; Chen, J.; Zhou, J. Efficient bioconversion of epimedin C to icariin by a glycosidase from Aspergillus nidulans. Bioresour. Technol. 2019, 289, 121612. [Google Scholar] [CrossRef] [PubMed]
- Yadav, V.; Yadav, P.K.; Yadav, S.; Yadav, K.D.S. α-l-Rhamnosidase: A review. Process. Biochem. 2010, 45, 1226–1235. [Google Scholar] [CrossRef]
- Zhang, T.; Yuan, W.; Li, M.; Miao, M.; Mu, W. Purification and characterization of an intracellular alpha-l-rhamnosidase from a newly isolated strain, Alternaria alternata SK37.001. Food Chem. 2018, 269, 63–69. [Google Scholar] [CrossRef]
- Gonzalez-Pombo, P.; Farina, L.; Carrau, F.; Batista-Viera, F.; Brena, B.M. Aroma enhancement in wines using co-immobilized Aspergillus niger glycosidases. Food Chem. 2014, 143, 185–191. [Google Scholar] [CrossRef]
- Markosova, K.; Weignerova, L.; Rosenberg, M.; Kren, V.; Rebros, M. Upscale of recombinant alpha-L-rhamnosidase production by Pichia pastoris Mut(S) strain. Front. Microbiol. 2015, 6, 1140. [Google Scholar] [CrossRef]
- Weignerova, L.; Marhol, P.; Gerstorferova, D.; Kren, V. Preparatory production of quercetin-3-beta-D-glucopyranoside using alkali-tolerant thermostable alpha-L-rhamnosidase from Aspergillus terreus. Bioresour. Technol. 2012, 115, 222–227. [Google Scholar] [CrossRef]
- Céliz, G.; Rodriguez, J.; Soria, F.; Daz, M. Synthesis of hesperetin 7-O-glucoside from flavonoids extracted from Citrus waste using both free and immobilized α-l-rhamnosidases. Biocatal. Agric. Biotechnol. 2015, 4, 335–341. [Google Scholar] [CrossRef]
- Peng, X.L.; Zhao, W.J.; Wang, Y.S.; Dai, K.L.; Cen, Y.K.; Liu, Z.Q.; Zheng, Y.G. Enhancement of gibberellic acid production fromFusarium fujikuroiby mutation breeding and glycerol addition. 3 Biotech 2020, 10, 10. [Google Scholar] [CrossRef]
- Laemmli, U.K. Cleavage of Structural Proteins during Assembly of Head of Bacteriophage-t4. Nature 1970, 227, 680–685. [Google Scholar] [CrossRef] [PubMed]
- Xie, J.; Zhang, S.; Tong, X.; Wu, T.; Pei, J.; Zhao, L. Biochemical characterization of a novel hyperthermophilic α-l-rhamnosidase from Thermotoga petrophila and its application in production of icaritin from epimedin C with a thermostable β-glucosidase. Process. Biochem. 2020, 93, 115–124. [Google Scholar] [CrossRef]
- Zhao, W.; Shu, Q.; He, G.; Qihe, C. Reducing antigenicity of bovine whey proteins by Kluyveromyces marxianus fermentation combined with ultrasound treatment. Food Chem. 2020, 311, 125893. [Google Scholar] [CrossRef] [PubMed]
- Miccoli, C.; Palmieri, D.; De Curtis, F.; Lima, G.; Heitman, J.; Castoria, R.; Ianiri, G. The necessity for molecular classification of basidiomycetous biocontrol yeasts. BioControl 2020, 65, 489–500. [Google Scholar] [CrossRef]
- Yanai, T.; Sato, M. Purification and characterization of an alpha-L-rhamnosidase from Pichia angusta X349. Biosci. Biotechnol. Biochem. 2000, 64, 2179–2185. [Google Scholar] [CrossRef] [Green Version]
- Hashimoto, W.; Nankai, H.; Sato, N.; Kawai, S.; Murata, K. Characterization of α-l-Rhamnosidase of Bacillus sp. GL1 Responsible for the Complete Depolymerization of Gellan. Arch. Biochem. Biophys. 1999, 368, 56–60. [Google Scholar] [CrossRef]
- Bang, S.H.; Hyun, Y.J.; Shim, J.; Hong, S.W.; Kim, D.H. Metabolism of rutin and poncirin by human intestinal microbiota and cloning of their metabolizing alpha-L-rhamnosidase from Bifidobacterium dentium. J. Microbiol. Biotechnol. 2015, 25, 18–25. [Google Scholar] [CrossRef] [Green Version]
- Manzanares, P.; Orejas, M.; Ibanez, E.; Valles, S.; Ramon, D. Purification and characterization of an alpha-L-rhamnosidase from Aspergillus nidulans. Lett. Appl. Microbiol. 2000, 31, 198–202. [Google Scholar] [CrossRef]
- Yadav, S.; Yadava, S.; Yadav, K.D. alpha-l-rhamnosidase selective for rutin to isoquercitrin transformation from Penicillium griseoroseum MTCC-9224. Bioorg. Chem. 2017, 70, 222–228. [Google Scholar] [CrossRef]
- Zhang, R.; Zhang, B.L.; Xie, T.; Li, G.C.; Tuo, Y.; Xiang, Y.T. Biotransformation of rutin to isoquercitrin using recombinant alpha-L-rhamnosidase from Bifidobacterium breve. Biotechnol. Lett. 2015, 37, 1257–1264. [Google Scholar] [CrossRef] [PubMed]
- Sulaiman, N.S.; Hashim, R.; Amini, M.H.M.; Danish, M.; Sulaiman, O. Optimization of activated carbon preparation from cassava stem using response surface methodology on surface area and yield. J. Clean. Prod. 2018, 198, 1422–1430. [Google Scholar] [CrossRef]
- Chen, Y.; Ni, H.; Chen, F.; Cai, H.; Li, L.; Su, W. Purification and characterization of a naringinase from Aspergillus aculeatus JMUdb058. J. Agric. Food Chem. 2013, 61, 931–938. [Google Scholar] [CrossRef] [PubMed]
- McMahon, H.; Zoecklein, B.W.; Fugelsang, K.; Jasinski, Y. Quantification of glycosidase activities in selected yeasts and lactic acid bacteria. J. Ind. Microbiol. Biotechnol. 1999, 23, 198–203. [Google Scholar] [CrossRef]
- Borzova, N.; Gudzenko, O.; Varbanets, L. Purification and Characterization of a Naringinase from Cryptococcus albidus. Appl. Biochem. Biotechnol. 2017, 184, 953–969. [Google Scholar] [CrossRef] [PubMed]
- Yadav, V.; Yadav, S.; Yadava, S.; Yadav, K.D.S. α-l-Rhamnosidase from Aspergillus flavus MTCC-9606 isolated from lemon fruit peel. Int. J. Food Sci. Technol. 2011, 46, 350–357. [Google Scholar] [CrossRef]
- Zhu, Y.; Jia, H.; Xi, M.; Xu, L.; Wu, S.; Li, X. Purification and characterization of a naringinase from a newly isolated strain of Bacillus amyloliquefaciens 11568 suitable for the transformation of flavonoids. Food Chem. 2017, 214, 39–46. [Google Scholar] [CrossRef]
- Kumar, D.; Yadav, S.; Yadava, S.; Yadav, K.D.S. An alkali tolerant alpha-l-rhamnosidase from Fusarium moniliforme MTCC-2088 used in de-rhamnosylation of natural glycosides. Bioorg. Chem. 2019, 84, 24–31. [Google Scholar] [CrossRef]
- Yadav, S.; Yadav, R.S.S.; Yadav, K.D.S. An α-l-rhamnosidase fromAspergillus awamori MTCC-2879 and its role in debittering of orange juice. Int. J. Food Sci. Technol. 2013, 48, 927–933. [Google Scholar] [CrossRef]
- Yadav, S.; Yadav, V.; Yadav, S.; Yadav, K.D.S. Purification, characterisation and application of α-l-rhamnosidase from Penicillium citrinum MTCC-8897. Int. J. Food Sci. Technol. 2012, 47, 290–298. [Google Scholar] [CrossRef]
- Li, C.; Li, Q.; Mei, Q.; Lu, T. Pharmacological effects and pharmacokinetic properties of icariin, the major bioactive component in Herba Epimedii. Life Sci. 2015, 126, 57–68. [Google Scholar] [CrossRef] [PubMed]
- Wang, D.; Zheng, P.; Chen, P. Production of a Recombinant alpha-L-Rhamnosidase from Aspergillus niger CCTCC M 2018240 in Pichia pastoris. Appl. Biochem. Biotechnol. 2019, 189, 1020–1037. [Google Scholar] [CrossRef] [PubMed]






| Run | X1 Enzyme Dosage (U) | X2 pH | X3 Hydrolysis Time (h) | Y1 Yield of Icariin (%) | Y2 Epimedin C Remaining (%) |
|---|---|---|---|---|---|
| 1 | −1 (3.84) | −1 (6.5) | 0 (6) | 72.29 | 16.01 |
| 2 | 0 (6.64) | 1 (7.5) | −1 (3) | 74.34 | 16.82 |
| 3 | −1 | 0 (7.0) | 1 (9) | 76.11 | 8.13 |
| 4 | 0 | 0 | 0 | 79.70 | 3.99 |
| 5 | 0 | 0 | 0 | 80.24 | 3.99 |
| 6 | 1 (9.53) | 0 | −1 | 78.13 | 10.74 |
| 7 | 0 | −1 | 1 | 70.18 | 4.86 |
| 8 | 1 | 1 | 0 | 79.60 | 5.48 |
| 9 | −1 | 1 | 0 | 73.21 | 19.40 |
| 10 | 0 | 0 | 0 | 79.56 | 6.32 |
| 11 | 0 | 0 | 0 | 77.49 | 6.68 |
| 12 | −1 | 0 | −1 | 56.77 | 38.86 |
| 13 | 1 | −1 | 0 | 74.65 | 6.19 |
| 14 | 0 | 1 | 1 | 82.26 | 5.39 |
| 15 | 0 | 0 | 0 | 75.51 | 3.99 |
| 16 | 0 | −1 | −1 | 76.77 | 16.47 |
| 17 | 1 | 0 | 1 | 76.92 | 3.99 |
| Substrate | Hydrolyzable Bonds | Product Formed | Yield (%) |
|---|---|---|---|
| Epimedin C | α-1,2 | Icariin | 60.0 |
| Neohesperidin | α-1,2 | Hesperetin-7-O-glucoside | 61.3 |
| Naringin | α-1,2 | Prunin | 59.5 |
| Hesperidin | α-1,6 | Hesperetin-7-O-glucoside | 4.5 |
| Rutin | α-1,6 | Quercetin-3-β-D-glucoside | 6.6 |
| Source | Sum of Squares | Degree of Freedom | Mean Square | F-Value | p-Value Probability > F | Remarks |
|---|---|---|---|---|---|---|
| Model | 455.642 | 9 | 50.627 | 4.714 | 0.027 | significant |
| X1 | 119.597 | 1 | 119.597 | 11.136 | 0.013 | |
| X2 | 30.146 | 1 | 30.146 | 2.807 | 0.138 | |
| X3 | 47.317 | 1 | 47.317 | 4.406 | 0.074 | |
| X12 | 58.678 | 1 | 58.678 | 5.463 | 0.052 | |
| X22 | 0.124 | 1 | 0.124 | 0.012 | 0.918 | |
| X32 | 32.637 | 1 | 32.637 | 3.039 | 0.125 | |
| X1 × X2 | 4.043 | 1 | 4.0427 | 0.376 | 0.559 | |
| X1 × X3 | 105.545 | 1 | 105.545 | 9. 263 | 0.017 | |
| X2 × X3 | 52.654 | 1 | 52.654 | 4.903 | 0.062 | |
| Residual | 75.180 | 7 | 10.740 | |||
| Lack of Fit | 59.644 | 3 | 19.881 | 5.119 | 0.074 | not significant |
| Pure Error | 15.536 | 4 | 3.884 | |||
| Cor Total | 530.822 | 16 |
Publisher’s Note: MDPI stays neutral with regard to jurisdictional claims in published maps and institutional affiliations. |
© 2022 by the authors. Licensee MDPI, Basel, Switzerland. This article is an open access article distributed under the terms and conditions of the Creative Commons Attribution (CC BY) license (https://creativecommons.org/licenses/by/4.0/).
Share and Cite
Lou, H.; Liu, X.; Liu, S.; Chen, Q. Purification and Characterization of a Novel α-L-Rhamnosidase from Papiliotrema laurentii ZJU-L07 and Its Application in Production of Icariin from Epimedin C. J. Fungi 2022, 8, 644. https://doi.org/10.3390/jof8060644
Lou H, Liu X, Liu S, Chen Q. Purification and Characterization of a Novel α-L-Rhamnosidase from Papiliotrema laurentii ZJU-L07 and Its Application in Production of Icariin from Epimedin C. Journal of Fungi. 2022; 8(6):644. https://doi.org/10.3390/jof8060644
Chicago/Turabian StyleLou, Hanghang, Xiayu Liu, Siyu Liu, and Qihe Chen. 2022. "Purification and Characterization of a Novel α-L-Rhamnosidase from Papiliotrema laurentii ZJU-L07 and Its Application in Production of Icariin from Epimedin C" Journal of Fungi 8, no. 6: 644. https://doi.org/10.3390/jof8060644
APA StyleLou, H., Liu, X., Liu, S., & Chen, Q. (2022). Purification and Characterization of a Novel α-L-Rhamnosidase from Papiliotrema laurentii ZJU-L07 and Its Application in Production of Icariin from Epimedin C. Journal of Fungi, 8(6), 644. https://doi.org/10.3390/jof8060644

