Sulfur-Containing Compounds from Endophytic Fungi: Sources, Structures and Bioactivities
Abstract
:1. Introduction
2. Peptides
2.1. Sulfide (R-S-R′)
2.2. Disulfide (R-S-S-R′) and Multisulfide (R-Sn-S-R′, n = 3 or More)
2.3. Sulfoxide (R-SO-R′) and Sulfone (R-SO2-R′)
3. Polyketides
3.1. Sulfide
3.2. Disulfide
3.3. Sulfoxide
3.4. Sulfones
3.5. Sulfates and Sulfonates
4. Hybrids
4.1. Sulfides
4.2. Disulfides
4.3. Thiols
5. Terpenoids
5.1. Sulfide/Thiophene
5.2. Sulfates
6. Others
7. Discussion and Conclusions
8. Prospects
Author Contributions
Funding
Institutional Review Board Statement
Informed Consent Statement
Data Availability Statement
Conflicts of Interest
References
- Francioso, A.; Conrado, A.B.; Mosca, L.; Fontana, M. Chemistry and Biochemistry of Sulfur Natural Compounds: Key Intermediates of Metabolism and Redox Biology. Oxid. Med. Cell. Longev. 2020, 2020, 8294158. [Google Scholar] [CrossRef] [PubMed]
- Scott, K.A.; Njardarson, J.T. Analysis of US FDA-Approved Drugs Containing Sulfur Atoms. Top. Curr. Chem. 2018, 376, 5. [Google Scholar] [CrossRef] [PubMed]
- Soares, D.A.; Rosa, L.H.; da Silva, J.F.M.; Pimenta, R.S. A review of bioactive compounds produced by endophytic fungi associated with medicinal plants. Boletim do Museu Paraense Emílio Goeldi Ciências Naturais 2017, 12, 331–352. [Google Scholar]
- Yang, Y.H.; Yang, D.S.; Li, G.H.; Pu, X.J.; Mo, M.H.; Zhao, P.J. Antibacterial diketopiperazines from an endophytic fungus Bionectria sp. Y1085. J. Antibiot. 2019, 72, 752–758. [Google Scholar] [CrossRef]
- Wei, W.; Jiang, N.; Mei, Y.N.; Chu, Y.L.; Ge, H.M.; Song, Y.C.; Ng, S.W.; Tan, R.X. An antibacterial metabolite from Lasiodiplodia pseudotheobromae F2. Phytochemistry 2014, 100, 103–109. [Google Scholar] [CrossRef]
- Barakat, F.; Vansteelandt, M.; Triastuti, A.; Jargeat, P.; Jacquemin, D.; Graton, J.; Mejia, K.; Cabanillas, B.; Vendier, L.; Stigliani, J.-L.; et al. Thiodiketopiperazines with two spirocyclic centers extracted from Botryosphaeria mamane, an endophytic fungus isolated from Bixa orellana L. Phytochemistry 2019, 158, 142–148. [Google Scholar] [CrossRef]
- Kajula, M.; Ward, J.M.; Turpeinen, A.; Tejesvi, M.V.; Hokkanen, J.; Tolonen, A.; Häkkänen, H.; Picart, P.; Ihalainen, J.; Sahl, H.; et al. Bridged epipolythiodiketopiperazines from Penicillium raciborskii, an endophytic fungus of Rhododendron tomentosum Harmaja. J. Nat. Prod. 2016, 79, 685–690. [Google Scholar] [CrossRef]
- Wang, J.M.; Ding, G.Z.; Fang, L.; Dai, J.G.; Yu, S.S.; Wang, Y.H.; Chen, X.G.; Ma, S.G.; Qu, J.; Xu, S.; et al. Thiodiketopiperazines produced by the endophytic fungus Epicoccum nigrum. J. Nat. Prod. 2010, 73, 1240–1249. [Google Scholar] [CrossRef]
- Feng, Y.; Blunt, J.W.; Cole, A.L.; Munro, M.H. Novel cytotoxic thiodiketopiperazine derivatives from a Tilachlidium sp. J. Nat. Prod. 2004, 67, 2090–2092. [Google Scholar] [CrossRef]
- Haritakun, R.; Rachtawee, P.; Komwijit, S.; Nithithanasilp, S.; Isaka, M. Highly conjugated ergostane-type steroids and aranotin-type diketopiperazines from the fungus Aspergillus terreus BCC 4651. Helv. Chim. Acta 2012, 95, 308–313. [Google Scholar] [CrossRef]
- Wang, F.Q.; Tong, Q.Y.; Ma, H.R.; Xu, H.F.; Hu, S.; Ma, W.; Xue, Y.B.; Liu, J.J.; Wang, J.P.; Song, H.P.; et al. Indole diketopiperazines from endophytic Chaetomium sp. 88194 induce breast cancer cell apoptotic death. Sci. Rep. 2015, 5, 9294. [Google Scholar] [CrossRef] [PubMed]
- Guimarães, D.O.; Borges, W.S.; Vieira, N.J.; De Oliveira, L.F.; Da Silva, C.H.; Lopes, N.P.; Dias, L.G.; Durán-Patrón, R.; Collado, I.G.; Pupo, M.T. Diketopiperazines produced by endophytic fungi found in association with two Asteraceae species. Phytochemistry 2010, 71, 1423–1429. [Google Scholar] [CrossRef] [PubMed]
- Peng, F.; Hou, S.Y.; Zhang, T.Y.; Wu, Y.Y.; Zhang, M.Y.; Yan, X.M.; Xia, M.Y.; Zhang, Y.X. Cytotoxic and antimicrobial indole alkaloids from an endophytic fungus Chaetomium sp. SYP-F7950 of Panax notoginseng. RSC Adv. 2019, 9, 28754–28763. [Google Scholar] [CrossRef] [PubMed] [Green Version]
- Meng, L.H.; Li, X.M.; Liu, Y.; Xu, G.M.; Wang, B.G. Antimicrobial alkaloids produced by the mangrove endophyte Penicillium brocae MA-231 using the OSMAC approach. RSC Adv. 2017, 7, 55026–55033. [Google Scholar] [CrossRef] [Green Version]
- Chinworrungsee, M.; Kittakoop, P.; Saenboonrueng, J.; Kongsaeree, P.; Thebtaranonth, Y. Bioactive compounds from the seed fungus Menisporopsis theobromae BCC 3975. J. Nat. Prod. 2006, 69, 1404–1410. [Google Scholar] [CrossRef]
- Chu, M.; Mierzwa, R.; Truumees, I.; Gentile, F.; Patel, M.; Gullo, V.; Chan, T.M.; Puar, M.S. Two novel diketopiperazines isolated from the fungus Tolypocladium sp. Tetrahedron Lett. 1993, 34, 7537–7540. [Google Scholar] [CrossRef]
- Zhu, M.; Yang, Z.; Wang, H.; Gan, Q.; Zhang, G.; Che, Q.; Zhu, T.J.; Gu, Q.; Han, B.N.; Li, D. Penispirozines A–H, three classes of dioxopiperazine alkaloids with spirocyclic skeletons isolated from the mangrove-derived Penicillium janthinellum. J. Nat. Prod. 2020, 83, 2647–2654. [Google Scholar] [CrossRef]
- Pedras, M.S.C.; Séguin-Swartz, G.; Abrams, S.R. Minor phytotoxins from the blackleg fungus Phoma lingam. Phytochemistry 1990, 29, 777–782. [Google Scholar] [CrossRef]
- Kong, F.; Wang, Y.; Liu, P.; Dong, T.; Zhu, W. Thiodiketopiperazines from the marine-derived fungus Phoma sp. OUCMDZ-1847. J. Nat. Prod. 2014, 77, 132–137. [Google Scholar] [CrossRef]
- Meng, L.H.; Wang, C.Y.; Mándi, A.; Li, X.M.; Hu, X.Y.; Kassack, M.U.; Kurtán, T.; Wang, B.G. Three diketopiperazine alkaloids with spirocyclic skeletons and one bisthiodiketopiperazine derivative from the mangrove-derived endophytic fungus Penicillium brocae MA-231. Org. Lett. 2016, 18, 5304–5307. [Google Scholar] [CrossRef]
- Zhu, M.; Zhang, X.; Feng, H.; Dai, J.; Li, J.; Che, Q.; Gu, Q.; Zhu, T.J.; Li, D. Penicisulfuranols A–F, alkaloids from the mangrove endophytic fungus Penicillium janthinellum HDN13-309. J. Nat. Prod. 2017, 80, 71–75. [Google Scholar] [CrossRef] [PubMed]
- Meng, L.H.; Zhang, P.; Li, X.M.; Wang, B.G. Penicibrocazines A–E, five new sulfide diketopiperazines from the marine-derived endophytic fungus Penicillium brocae. Mar. Drugs 2015, 13, 276–287. [Google Scholar] [CrossRef] [PubMed] [Green Version]
- Sugawara, K.; Sugawara, F.; Strobel, G.A.; Fu, Y.; He, C.H.; Clardy, J. Exserohilone: A novel phytotoxin produced by Exserohilum holmii. J. Org. Chem. 1985, 50, 5631–5633. [Google Scholar] [CrossRef]
- Cutler, H.G.; Hoogsteen, K.; Littrell, R.H.; Arison, B.H. Epoxyexserohilone, a novel metabolite from Nigrospora sphaerica. Agric. Biol. Chem. 1991, 55, 2037–2042. [Google Scholar] [CrossRef]
- Centko, R.M.; Ratnaweera, P.B.; Tysoe, C.; Withers, S.G.; de Silva, E.D.; Andersen, R.J. Alpha-glucosidase and alpha-amylase inhibiting thiodiketopiperazines from the endophytic fungus Setosphaeria rostrata isolated from the medicinal plant Costus speciosus in Sri Lanka. Phytochem. Lett. 2017, 22, 76–80. [Google Scholar] [CrossRef]
- He, T.; Wang, Y.; Du, L.; Li, F.; Hu, Q.; Cheng, G.; Wang, W. Overexpression of global regulator LaeA induced secondary metabolite production in Aspergillus versicolor 0312. Rec. Nat. Prod. 2020, 14, 387–394. [Google Scholar] [CrossRef]
- Xu, Y.M.; Espinosa-Artiles, P.; Liu, M.X.; Arnold, A.E.; Gunatilaka, A.L. Secoemestrin D, a cytotoxic epitetrathiodioxopiperizine, and emericellenes A–E, five sesterterpenoids from Emericella sp. AST0036, a fungal endophyte of Astragalus lentiginosus. J. Nat. Prod. 2013, 76, 2330–2336. [Google Scholar] [CrossRef] [Green Version]
- Seephonkai, P.; Kongsaeree, P.; Prabpai, S.; Isaka, M.; Thebtaranonth, Y. Transformation of an irregularly bridged epidithiodiketopiperazine to trichodermamide A. Org. Lett. 2006, 8, 3073–3075. [Google Scholar] [CrossRef]
- Harwoko, H.; Daletos, G.; Stuhldreier, F.; Lee, J.; Wesselborg, S.; Feldbrügge, M.; Müller, W.E.G.; Kalscheuer, R.; Ancheeva, E.; Proksch, P. Dithiodiketopiperazine derivatives from endophytic fungi Trichoderma harzianum and Epicoccum nigrum. Nat. Prod. Res. 2021, 35, 257–265. [Google Scholar] [CrossRef]
- Ma, Y.M.; Liang, X.A.; Zhang, H.C.; Liu, R. Cytotoxic and antibiotic cyclic pentapeptide from an endophytic Aspergillus tamarii of Ficus carica. J. Agric. Food Chem. 2016, 64, 3789–3793. [Google Scholar] [CrossRef]
- Meng, L.H.; Li, X.M.; Lv, C.T.; Huang, C.G.; Wang, B.G. Brocazines A–F, cytotoxic bisthiodiketopiperazine derivatives from Penicillium brocae MA-231, an endophytic fungus derived from the marine mangrove plant Avicennia marina. J. Nat. Prod. 2014, 77, 1921–1927. [Google Scholar] [CrossRef] [PubMed]
- Dong, J.Y.; He, H.P.; Shen, Y.M.; Zhang, K.Q. Nematicidal Epipolysulfanyldioxopiperazines from Gliocladium roseum. J. Nat. Prod. 2005, 68, 1510–1513. [Google Scholar] [CrossRef] [PubMed]
- Yu, F.X.; Chen, Y.; Yang, Y.H.; Li, G.H.; Zhao, P.J. A new epipolythiodioxopiperazine with antibacterial and cytotoxic activities from the endophytic fungus Chaetomium sp. M336. Nat. Prod. Res. 2018, 32, 689–694. [Google Scholar] [CrossRef] [PubMed]
- Li, H.; Xu, Q.; Sun, W.; Zhang, R.; Wang, J.; Lai, Y.; Hu, Z.X.; Zhang, Y. 21-Epi-taichunamide D and (±)-versicaline A, three unusual alkaloids from the endophytic Aspergillus versicolor F210. Tetrahedron Lett. 2020, 61, 152219. [Google Scholar] [CrossRef]
- Wang, M.; Sun, Z.H.; Chen, Y.C.; Liu, H.X.; Li, H.H.; Tan, G.H.; Li, S.N.; Guo, X.L.; Zhang, W.M. Cytotoxic cochlioquinone derivatives from the endophytic fungus Bipolaris sorokiniana derived from Pogostemon cablin. Fitoterapia 2016, 110, 77–82. [Google Scholar] [CrossRef]
- Li, C.S.; Sarotti, A.M.; Huang, P.; Dang, U.T.; Hurdle, J.G.; Kondratyuk, T.P.; Pezzuto, J.M.; Turkson, J.; Cao, S. NF-κB inhibitors, unique γ-pyranol-γ-lactams with sulfide and sulfoxide moieties from Hawaiian plant Lycopodiella cernua derived fungus Paraphaeosphaeria neglecta FT462. Sci. Rep. 2017, 7, 10424. [Google Scholar] [CrossRef] [Green Version]
- Li, C.S.; Ding, Y.; Yang, B.J.; Miklossy, G.; Yin, H.Q.; Walker, L.A.; Turkson, J.; Cao, S. A new metabolite with a unique 4-pyranone− γ-lactam–1, 4-thiazine moiety from a Hawaiian-plant associated fungus. Org. Lett. 2015, 17, 3556–3559. [Google Scholar] [CrossRef]
- Wang, F.W.; Ye, Y.H.; Ding, H.; Chen, Y.X.; Tan, R.X.; Song, Y.C. Benzophenones from Guignardia sp. IFB-E028, an Endophyte on Hopea hainanensis. Chem. Biodivers. 2010, 7, 216–220. [Google Scholar] [CrossRef]
- Zhang, F.Z.; Li, X.M.; Yang, S.Q.; Meng, L.H.; Wang, B.G. Thiocladospolides A–D, 12-membered macrolides from the mangrove-derived endophytic fungus Cladosporium cladosporioides MA-299 and structure revision of pandangolide. J. Nat. Prod. 2019, 82, 1535–1541. [Google Scholar] [CrossRef]
- Huang, C.; Chen, T.; Yan, Z.; Guo, H.; Hou, X.; Jiang, L.; Long, Y. Thiocladospolide E and cladospamide A, novel 12-membered macrolide and macrolide lactam from mangrove endophytic fungus Cladosporium sp. SCNU-F0001. Fitoterapia 2019, 137, 104246. [Google Scholar] [CrossRef]
- Wang, W.; Feng, H.; Sun, C.; Che, Q.; Zhang, G.; Zhu, T.; Li, D. Thiocladospolides F-J, antibacterial sulfur containing 12-membered macrolides from the mangrove endophytic fungus Cladosporium oxysporum HDN13-314. Phytochemistry 2020, 178, 112462. [Google Scholar] [CrossRef] [PubMed]
- Chen, H.Y.; Liu, T.K.; Shi, Q.; Yang, X.L. Sesquiterpenoids and diterpenes with antimicrobial activity from Leptosphaeria sp. XL026, an endophytic fungus in Panax notoginseng. Fitoterapia 2019, 137, 104243. [Google Scholar] [CrossRef] [PubMed]
- Zhao, D.L.; Zhang, X.F.; Huang, R.H.; Wang, D.; Wang, X.Q.; Li, Y.Q.; Zheng, C.J.; Zhang, P.; Zhang, C.S. Antifungal nafuredin and epithiodiketopiperazine derivatives from the mangrove-derived fungus Trichoderma harzianum D13. Front. Microbiol. 2020, 11, 1495. [Google Scholar] [CrossRef] [PubMed]
- Song, X.-Q.; Zhang, X.; Han, Q.-J.; Li, X.-B.; Li, G.; Li, R.-J.; Jiao, Y.; Zhou, J.-C.; Lou, H.-X. Xanthone derivatives from Aspergillus sydowii, an endophytic fungus from the liverwort Scapania ciliata S. Lac and their immunosuppressive activities. Phytochemistry Lett. 2013, 6, 318–321. [Google Scholar] [CrossRef]
- Akone, S.H.; Wang, H.; Mouelle, E.N.M.; Mándi, A.; Kurtán, T.; Koliye, P.R.; Hartmann, R.; Bhatia, S.; Yang, J.; Müller, W.E.G. Prenylated cyclohexene-type meroterpenoids and sulfur-containing xanthones produced by Pseudopestalotiopsis theae. Phytochemistry 2022, 197, 113124. [Google Scholar] [CrossRef]
- Zhang, A.L.; He, L.Y.; Gao, J.M.; Xu, X.; Li, S.Q.; Bai, M.S.; Qin, J.C. Metabolites from an endophytic fungus sphaceloma sp. LN-15 isolated from the leaves of Melia azedarach. Lipids 2009, 44, 745–751. [Google Scholar] [CrossRef]
- Yu, G.; Wang, Q.; Liu, S.; Zhang, X.; Che, Q.; Zhang, G.; Zhu, T.; Gu, Q.; Li, D. Methylsulfonylated polyketides produced by Neosartorya udagawae HDN13-313 via exogenous addition of small molecules. J. Nat. Prod. 2019, 82, 998–1001. [Google Scholar] [CrossRef]
- Yu, G.; Sun, Z.; Peng, J.; Zhu, M.; Che, Q.; Zhang, G.; Zhu, T.; Gu, Q.; Li, D. Secondary metabolites produced by combined culture of Penicillium crustosum and a Xylaria sp. J. Nat. Prod. 2019, 82, 2013–2017. [Google Scholar] [CrossRef]
- Aly, A.H.; Edrada-Ebel, R.; Indriani, I.D.; Wray, V.; Müller, W.E.; Totzke, F.; Zirrgiebel, U.; Schächtele, C.; Kubbutat, M.H.G.; Lin, W.H. Cytotoxic metabolites from the fungal endophyte Alternaria sp. and their subsequent detection in its host plant Polygonum senegalense. J. Nat. Prod. 2008, 71, 972–980. [Google Scholar] [CrossRef]
- Aly, A.H.; Edrada-Ebel, R.; Wray, V.; Müller, W.E.; Kozytska, S.; Hentschel, U.; Proksch, P.; Ebel, R. Bioactive metabolites from the endophytic fungus Ampelomyces sp. isolated from the medicinal plant Urospermum picroides. Phytochemistry 2008, 69, 1716–1725. [Google Scholar] [CrossRef]
- Sun, J.F.; Lin, X.; Zhou, X.F.; Wan, J.; Zhang, T.; Yang, B.; Yang, X.W.; Tu, Z.; Liu, Y. Pestalols A–E, new alkenyl phenol and benzaldehyde derivatives from endophytic fungus Pestalotiopsis sp. AcBC2 isolated from the Chinese mangrove plant Aegiceras corniculatum. J. Antibiot. 2014, 67, 451–457. [Google Scholar] [CrossRef] [PubMed]
- Jayasuriya, H.; Bills, G.F.; Cascales, C.; Zink, D.L.; Goetz, M.A.; Jenkins, R.G.; Silverman, K.C.; Lingham, R.B.; Singh, S.B. Oreganic acid: A potent novel inhibitor of Ras farnesyl-protein transferase from an endophytic fungus. Bioorg. Med. Chem. Lett. 1996, 6, 2081–2084. [Google Scholar] [CrossRef]
- Zhang, L.; Liu, Y.; Deng, Z.; Guo, Z.; Chen, J.; Tu, X.; Zou, K. Fusaodavinvin, a novel metabolite containing sulfur from the endophytic fungus Fusarium sp. (CTGU-ZL-34). Nat. Prod. Commun. 2013, 8, 83–84. [Google Scholar] [CrossRef] [PubMed] [Green Version]
- Wu, Z.; Zhang, X.; Anbari, W.H.A.; Zhou, Q.; Zhou, P.; Zhang, M.; Zeng, F.; Chen, C.; Tong, Q.; Wang, J. Cysteine residue containing merocytochalasans and 17, 18-seco-aspochalasins from Aspergillus micronesiensis. J. Nat. Prod. 2019, 82, 2653–2658. [Google Scholar] [CrossRef]
- Su, X.Z.; Zhu, Y.Y.; Tang, J.W.; Hu, K.; Li, X.N.; Sun, H.D.; Li, Y.; Puno, P.T. Pestaloamides A and B, two spiro-heterocyclic alkaloid epimers from the plant endophytic fungus Pestalotiopsis sp. HS30. Sci. China Chem. 2020, 63, 1208–1213. [Google Scholar] [CrossRef]
- Verekar, S.A.; Mishra, P.D.; Sreekumar, E.S.; Deshmukh, S.K.; Fiebig, H.H.; Kelter, G.; Maier, A. Anticancer activity of new depsipeptide compound isolated from an endophytic fungus. J. Antibiot. 2014, 67, 697–701. [Google Scholar] [CrossRef]
- Obayashi, Y.; Yoshimura, T.; Ikenoue, Y.; Fudo, R.; Murata, M.; Ando, T. Group of Antitumor Compounds and Method for Producing the Same. U.S. Patent 5,843,755, 1 December 1998. [Google Scholar]
- Ibrahim, S.R.M.; Elkhayat, E.S.; Mohamed, G.A.A.; Fat’hi, S.M.; Ross, S.A. Fusarithioamide A, a new antimicrobial and cytotoxic benzamide derivative from the endophytic fungus Fusarium chlamydosporium. Biochem. Bioph. Res. Commun. 2016, 479, 211–216. [Google Scholar] [CrossRef]
- Ibrahim, S.R.; Mohamed, G.A.; Al Haidari, R.A.; Zayed, M.F.; El-Kholy, A.A.; Elkhayat, E.S.; Ross, S.A. Fusarithioamide B, a new benzamide derivative from the endophytic fungus Fusarium chlamydosporium with potent cytotoxic and antimicrobial activities. Bioorg. Med. Chem. 2018, 26, 786–790. [Google Scholar] [CrossRef]
- Mei, W.L.; Chen, P.; Wang, H.; Huang, J.L.; Dai, H.F. Two new sesquiterpenes from endophytic fungus S49 of Cephalotaxus hainanensis. J. Asian Nat. Prod. Res. 2010, 12, 582–585. [Google Scholar] [CrossRef]
- Wu, S.H.; He, J.; Li, X.N.; Huang, R.; Song, F.; Chen, Y.W.; Miao, C.P. Guaiane sesquiterpenes and isopimarane diterpenes from an endophytic fungus Xylaria sp. Phytochemistry 2014, 105, 197–204. [Google Scholar] [CrossRef]
- Liu, H.X.; Tan, H.B.; Chen, Y.C.; Li, S.N.; Li, H.H.; Zhang, W.M. Secondary metabolites from the Colletotrichum gloeosporioides A12, an endophytic fungus derived from Aquilaria sinensis. Nat. Prod. Res. 2018, 32, 2360–2365. [Google Scholar] [CrossRef] [PubMed]
- Bisen, P.S.; Mittal, S.; Shrivastava, D.; Govil, S.; Kumar, S. Isolation of a Novel Anticandidal Sulphur Containing Molecule from Emericella sp. India. Patent IN2012DE03504, 12 December 2014. [Google Scholar]
- Uz Zaman, K.H.A.; Park, J.H.; DeVine, L.; Hu, Z.; Wu, X.; Kim, H.S.; Cao, S. Secondary Metabolites from the Leather Coral-Derived Fungal Strain Xylaria sp. FM1005 and Their Glycoprotein IIb/IIIa Inhibitory Activity. J. Nat. Prod. 2021, 84, 466–473. [Google Scholar] [CrossRef] [PubMed]
- Baccile, J.A.; Le, H.H.; Pfannenstiel, B.T.; Bok, J.W.; Gomez, C.; Brandenburger, E.; Hoffmeister, D.; Keller, N.P.; Schroeder, F.C. Diketopiperazine Formation in Fungi Requires Dedicated Cyclization and Thiolation Domains. Angew. Chem. Int. Ed. 2019, 58, 14589–14593. [Google Scholar] [CrossRef] [PubMed] [Green Version]
- Clevenger, K.D.; Bok, J.W.; Ye, R.; Miley, G.P.; Verdan, M.H.; Velk, T.; Chen, C.; Yang, K.; Robey, M.T.; Gao, P.; et al. A scalable platform to identify fungal secondary metabolites and their gene clusters. Nat. Chem. Biol. 2017, 13, 895–901. [Google Scholar] [CrossRef] [Green Version]
- Blin, K.; Shaw, S.; Kloosterman, A.M.; Charlop-Powers, Z.; van Wezel, G.P.; Medema, M.H.; Weber, T. antiSMASH 6.0: Improving cluster detection and comparison capabilities. Nucleic Acids Res. 2021, 49, W29–W35. [Google Scholar] [CrossRef]
- Van der Lee, T.A.J.; Medema, M.H. Computational strategies for genome-based natural product discovery and engineering in fungi. Fungal Genet. Biol. 2016, 89, 29–36. [Google Scholar] [CrossRef] [Green Version]
- Chiang, Y.-M.; Oakley, C.E.; Ahuja, M.; Entwistle, R.; Schultz, A.; Chang, S.-L.; Sung, C.T.; Wang, C.C.C.; Oakley, B.R. An Efficient System for Heterologous Expression of Secondary Metabolite Genes in Aspergillus nidulans. J. Am. Chem. Soc. 2013, 135, 7720–7731. [Google Scholar] [CrossRef] [Green Version]
- Harvey, C.J.B.; Tang, M.; Schlecht, U.; Horecka, J.; Fischer, C.R.; Lin, H.-C.; Li, J.; Naughton, B.; Cherry, J.; Miranda, M.; et al. HEx: A heterologous expression platform for the discovery of fungal natural products. Sci Adv. 2018, 4, eaar5459. [Google Scholar] [CrossRef] [Green Version]









| Compound Structures | Producing Strain | Host Plant etc. | Bioactivity | Reference(s) |
|---|---|---|---|---|
![]() | Bionectria sp. Y1085 | Huperzia serrata | Antibacterial | [4] |
![]() ![]() ![]() | Lasiodiplodia pseudotheobromae | Flower of Illigera rhodantha (Hernandiaceae) | Antibacterial (5) | [5] |
![]() ![]() | Botryosphaeria mamani | Fresh leaves of Bixa orellana L. (Bixaceae) | Anticancer | [6] |
![]() | Penicillium raciborskii (TRT59) | Rhododendron tomentosum | [7] | |
![]() ![]() ![]() ![]() ![]() | Epicoccum nigrum | Leaves of Lysidice rhodostegia | Inhibition of β- Glucuronidase release (11 and 15) | [8] |
![]() | Tilachlidium sp. (CANU-T988) | Decaying wood sample collected in Christchurch | Cytotoxicity | [9] |
![]() | Aspergillus terreus BCC 4651 | Tree hole | Weak antimycobacterial activity | [10] |
![]() ![]() ![]() | Chaetomium sp. 88194 | Cymbidium goeringii | Cytotoxicity (21) | [11] |
![]() ![]() | Penicillium crustosum and Colletotrichum gloeosporioides, respectively | Viguiera robusta | [12] | |
![]() | Chaetomium sp. SYP-F7950 | Panax notoginseng | Cytotoxic (26) | [13] |
![]() ![]() ![]() ![]() | Penicillium brocae MA-231 | Fresh tissue of the marine mangrove plant Avicennia marina | Antibacterial (30 and 31) | [14] |
![]() ![]() | Menisporopsis theobromae BCC 3975 | Seed | Antimycobacterial Cytotoxic (32) | [15] |
![]() | TolypocJadium sp. | Quercus virginiana Miller | PAF inhibition (35) | [16] |
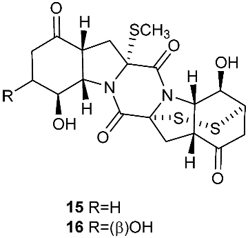
![]() ![]() ![]() | Penicillium janthinellum HDN13-309 | Root of Sonneratia caseolaris | Cytoprotective (38 and 39) | [17] |
![]() | Phoma lingam isolate Leroy | Rapeseed | [18] | |
![]() ![]() | Phoma sp. OUCMDZ-1847 | Mangrove plant Kandelia candel | Cytotoxic (42) | [19] |
![]() ![]() | Penicillium brocae MA-231 | Avicennia marina | Antimicrobial (43) | [20] |
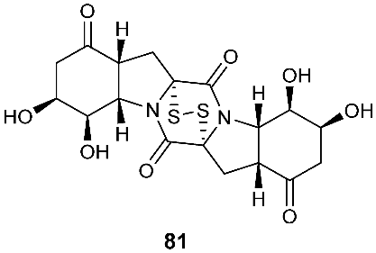
![]() | Penicillium janthinellum HDN13-309 | Root of Sonneratia caseolaris | [21] | |
![]() ![]() ![]() ![]() ![]() | Penicillium brocae MA-231 | Fresh tissue of the marine mangrove plant Avicennia marina | Antimicrobial | [22] |
![]() ![]() | Exserohilum holmii | Dactyloctenium aegyptium | [23] | |
![]() | Nigrospora sphaerica | Germinating fescue seed | [24] | |
![]() ![]() ![]() | Setosphaeria rostrata | Fresh asymptomatic leaf tissues of the medicinal plant Costus speciosus | Inhibiting porcine pancreatic alpha-amylase (57) | [25] |
![]() | Aspergillus versicolor 0312 | Stems of Paris polyphylla var. yunnanensis | Cytotoxic | [26] |
![]() | Bionectria sp. Y1085 | Huperzia serrata | Antibacterial | [9] |
![]() | Lasiodiplodia pseudotheobromae | Apparently normal flower of Illigera rhodantha (Hernandiaceae) | [5] | |
![]() | Botryosphaeria mamani | Fresh leaves of Bixa orellana L. (Bixaceae) | Cytotoxic | [6] |
![]() ![]() | Penicillium raciborskii (TRT59) | Rhododendron tomentosum | Cytotoxic (64) Antifungal (64) | [7] |
![]() ![]() | Epicoccum nigrum | Leaves of Lysidice rhodostegia | Inhibiting the release of β-glucuronidase (67) | [8] |
![]() | Emericella sp. AST0036 | Healthy leaf tissue of Astragalus lentiginosus | Cytotoxic | [27] |
![]() ![]() | Tilachlidium sp. (CANU-T988) | Decaying wood sample collected in Christchurch | Cytotoxicity | [9] |
![]() | Trichoderma sp. BCC 5926 | Bamboo leaf | Antibacterial | [28] |
![]() | Trichoderma harzianum | Zingiber officinale | [29] | |
![]() | Aspergillus tamarii | Ficus carica | Cytotoxic Antimicrobial | [30] |
![]() ![]() ![]() ![]() | Penicillium brocae MA-231 | Fresh tissue of the marine mangrove plant Avicennia marina | Cytotoxic (75, 76, 79 and 80) | [31] |
![]() | Phoma sp. OUCMDZ-1847 | Mangrove plant Kandelia candel | [19] | |
![]() | Penicillium janthinellum HDN13-309 | Root of Sonneratia caseolaris | Cytotoxic | [21] |
![]() | Penicillium brocae MA-231 | Fresh tissue of the marine mangrove plant Avicennia marina | Cytotoxic Antimicrobial | [20] |
![]() ![]() | Gliocladium roseum 1A | Submerged wood | Nematicidal | [32] |
![]() | Chaetomium sp. M336 | Huperzia serrata Trev | Cytotoxic Antibacterial | [33] |
![]() | Aspergillus versicolor F210 | Bulbs of Lycoris radiata | Anticancer | [34] |
![]() | Bipolaris sorokiniana A606 | Pogostemon cablin | Antiproliferative | [35] |
![]() ![]() | Paraphaeosphaeria neglecta FT462 | Lycopodiella cernua | Antibacterial (94) Inhibiting NF-kB (94), iNOS (94 and 95) | [36] |
![]() | Paraphaeosphaeria neglecta FT462 | Lycopodiella cernua (L.) Pic | [37] | |
![]() | Guignardia sp. IFB-E028 | Hopea hainanensis | Cytotoxic Antimicrobial | [38] |
![]() ![]() ![]() | Cladosporium cladosporioides MA-299 | Bruguiera gymnorrhiza | Antimicrobial | [39] |
![]() | Cladosporium sp. SCNU-F0001 | Mangrove plant | [40] | |
![]() ![]() | Cladosporium oxysporum | Root of Avicennia marina (Forssk.) Vierh. (Acanthaceae) | Antimicrobial | [41] |
![]() ![]() | Aspergillus micronesiensis | Phyllanthus glaucus | Cytotoxic Antibacteria | [42] |
![]() | Trichoderma harzianum D13 | Root of mangrove plant Excoecaria agallocha Linn | [43] | |
![]() ![]() | Aspergillus sydowii | Livewort Scapania ciliata S. Lac | [44] | |
![]() ![]() | Pseudopestalotiopsis theae | Leaves of Caloncoba welwitschii | [45] | |
![]() | Sphaceloma sp. LN-15 | Leaves of Melia azedarach L. | [46] | |
![]() | Paraphaeosphaeria neglecta FT462 | Lycopodiella cernua | [36] | |
![]() | Neosartorya udagawae HDN13-313 | Root of the mangrove plant Aricennia marina | Decreasing the lipid accumulation elicited by oleic acid | [47] |
![]() | Neosartorya udagawae HDN13-313 | Root of the mangrove plant Avicennia marina | [47] | |
![]() ![]() | Penicillium crustosum PRB-2 and Xylaria sp. HDN13-249. | Root of Sonneratia caseolaris | Antibacterial | [48] |
![]() | Alternaria sp. | Polygonum senegalense Meisn. (Polygonaceae) | Cytotoxic (123) Inhibiting protein kinases (123) | [49] |
![]() | Ampelomyces sp. | Urospermum picroides | [50] | |
![]() | Pestalotiopsis sp. AcBC2 | Aegiceras corniculatum | [51] | |
![]() | MF6046 | Surface-sterilized leaves of Berberis oregana (Berberidaceae) | Inhibiting FPTase (128) | [52] |
![]() | Fusarium sp. (CTGU-ZL-34). | Davidia involucrata | Cytotoxic | [53] |
![]() | Pestalotiopsis sp. HS30 | Isodon xerophilus | Antitumor | [54] |
![]() | Phomopsis glabrae | Leaves of Pongamia pinnata (family Fabaceae) | Anticancer | [55] |
![]() | Ascochyta sp. AJ 117309 | Raw leaf of Taxus cuspidata var. nana Rehd | Cytotoxic | [56] |
![]() | Fusarium chlamydosporium | Leaves of Anvillea garcinia (Burm.f.) DC. (Asteraceae) | Cytotoxic Antimicrobial | [57] |
![]() | Fusarium chlamydosporium | Anvillea garcinii (Burm.f.) DC. leaves | Antibacterial Antifungal Cytotoxic | [58] |
![]() | Leptosphaeria sp. XL026 | Panax notoginseng | Antifungal Antibacterial | [59] |
![]() ![]() | S49 | Bark of Cephalotaxus hainanensis tree | [60] | |
![]() ![]() | Xylaria sp. YM 311647 | Azadirachta indica | Antifungal | [61] |
![]() | Colletotrichum gloeosporioides A12 | Aquilaria sinensis | [62] | |
![]() | Emericella Sp | Azadirachta indica | Anticandidal | [63] |
Publisher’s Note: MDPI stays neutral with regard to jurisdictional claims in published maps and institutional affiliations. |
© 2022 by the authors. Licensee MDPI, Basel, Switzerland. This article is an open access article distributed under the terms and conditions of the Creative Commons Attribution (CC BY) license (https://creativecommons.org/licenses/by/4.0/).
Share and Cite
Fan, Y.; Ma, Z.; Zhang, Y.; Wang, Y.; Ding, Y.; Wang, C.; Cao, S. Sulfur-Containing Compounds from Endophytic Fungi: Sources, Structures and Bioactivities. J. Fungi 2022, 8, 628. https://doi.org/10.3390/jof8060628
Fan Y, Ma Z, Zhang Y, Wang Y, Ding Y, Wang C, Cao S. Sulfur-Containing Compounds from Endophytic Fungi: Sources, Structures and Bioactivities. Journal of Fungi. 2022; 8(6):628. https://doi.org/10.3390/jof8060628
Chicago/Turabian StyleFan, Yaqin, Zhiheng Ma, Yan Zhang, Yufei Wang, Yousong Ding, Cong Wang, and Shugeng Cao. 2022. "Sulfur-Containing Compounds from Endophytic Fungi: Sources, Structures and Bioactivities" Journal of Fungi 8, no. 6: 628. https://doi.org/10.3390/jof8060628
APA StyleFan, Y., Ma, Z., Zhang, Y., Wang, Y., Ding, Y., Wang, C., & Cao, S. (2022). Sulfur-Containing Compounds from Endophytic Fungi: Sources, Structures and Bioactivities. Journal of Fungi, 8(6), 628. https://doi.org/10.3390/jof8060628


















































































































