Surface Area of Wood Influences the Effects of Fungal Interspecific Interaction on Wood Decomposition—A Case Study Based on Pinus densiflora and Selected White Rot Fungi
Abstract
1. Introduction
2. Materials and Methods
2.1. Preparation of Colonized Wood Blocks
2.2. Competition Experiment
2.3. Acid-Unhydrolyzable Residue (Klason Lignin) Analysis
2.4. Data Analysis
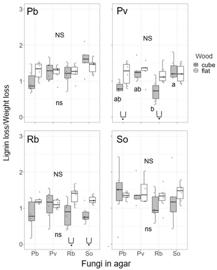
3. Results
4. Discussion
Supplementary Materials
Author Contributions
Funding
Institutional Review Board Statement
Data Availability Statement
Acknowledgments
Conflicts of Interest
References
- Pan, Y.; Birdsey, R.A.; Fang, J.; Houghton, R.; Kauppi, P.E.; Kurz, W.A.; Phillips, O.L.; Shvidenko, A.; Lewis, S.L.; Canadell, J.G.; et al. A large and persistent carbon sink in the world’s forests. Science 2011, 333, 988–993. [Google Scholar] [CrossRef]
- Martin, A.R.; Domke, G.M.; Doraisami, M.; Thomas, S.C. Carbon fractions in the world’s dead wood. Nat. Commun. 2021, 12, 889. [Google Scholar] [CrossRef] [PubMed]
- Rayner, A.D.M.; Boddy, L. Fungal Decomposition of Wood: Its Biology and Ecology; John Wiley & Sons: Chichester, UK, 1988. [Google Scholar]
- Schmidt, O. Wood and Tree Fungi: Biology, Damage, Protection, and Use; Springer: Berlin, Germany, 2006. [Google Scholar]
- Bradford, M.A.; Warren, R.J., II; Baldrian, P.; Crowther, T.W.; Maynard, D.S.; Oldfield, E.E.; Wieder, W.R.; Wood, S.A.; King, J.R. Climate fails to predict wood decomposition at regional scales. Nat. Clim. Chang. 2014, 4, 625–630. [Google Scholar] [CrossRef]
- Griffith, H.M.; Eggleton, P.; Hemming-Schroeder, N.; Swinfield, T.; Woon, J.S.; Allison, S.D.; Coomes, D.A.; Ashton, L.A.; Parr, C.L. Carbon flux and forest dynamics: Increased deadwood decomposition in tropical rainforest tree-fall canopy gaps. Glob. Chang. Biol. 2021, 27, 1601–1613. [Google Scholar] [CrossRef]
- Smith, G.R.; Peay, K.G. Miltiple distinct, scale-dependent links between fungi and decomposition. Ecol. Lett. 2021, 24, 1352–1362. [Google Scholar] [CrossRef] [PubMed]
- Rajala, T.; Tuomivirta, T.; Pennanen, T.; Mäkipää, R. Habitat models of wood-inhabiting fungi along a decay gradient of Norway spruce logs. Fung. Ecol. 2015, 18, 48–55. [Google Scholar] [CrossRef]
- Van der Wal, A.; Ottosson, E.; de Boer, W. Neglected role of fungal community composition in explaining variation in wood decay rates. Ecology 2015, 96, 124–133. [Google Scholar] [CrossRef]
- Kubart, A.; Vasaitis, R.; Stenlid, J.; Dahlberg, A. Fungal communities in Norway spruce stumps along a latitudinal gradient in Sweden. For. Ecol. Manag. 2016, 371, 50–58. [Google Scholar] [CrossRef]
- Boddy, L. Interspecific combative interactions between wood-decaying basidiomycetes. FEMS Microbiol. Ecol. 2000, 31, 185–194. [Google Scholar] [CrossRef] [PubMed]
- Boddy, L.; Hiscox, J. Fungal ecology: Principals and mechanisms of colonization and competition by saprotrophic fungi. Microbiol. Spectr. 2016, 4, FUNK-0019-2016. [Google Scholar] [CrossRef] [PubMed]
- Wells, J.M.; Boddy, L. Interspecific carbon exchange and cost of interactions between basidiomycete mycelia in soil and wood. Func. Ecol. 2002, 16, 153–161. [Google Scholar] [CrossRef]
- Hiscox, J.; Savoury, M.; Vaughan, I.P.; Müller, C.; Boddy, L. Antagonistic fungal interactions influence carbon dioxide evolution from decomposing wood. Fung. Ecol. 2015, 14, 24–32. [Google Scholar] [CrossRef]
- O’Leary, J.; Hiscox, J.; Eastwood, D.C.; Savoury, M.; Langley, A.; McDowell, S.W.; Rogers, H.J.; Boddy, L.; Müller, C. The whiff of decay: Linking volatile production and extracellular enzymes to outcomes of fungal interactions at different temperatures. Fung. Ecol. 2019, 39, 336–348. [Google Scholar] [CrossRef]
- Kirker, G.T.; Bishell, A.B.; Lebow, P.K.; Clausen, C.A. Effects of fungal competition on decay rates in bicultured soil bottle assays. Holzforschung 2016, 70, 585–591. [Google Scholar] [CrossRef]
- Toljander, Y.K.; Lindahl, B.D.; Holmer, L.; Hogberg, N.O.S. Environmental fluctuations facilitate species co-existence and increase decomposition in communities of wood decay fungi. Oecologia 2006, 148, 625–631. [Google Scholar] [CrossRef]
- Fukami, T.; Dickie, I.A.; Wilkie, J.P.; Paulus, B.C.; Park, D.; Roberts, A.; Buchanan, P.K.; Allen, R.B. Assembly history dictates ecosystem functioning: Evidence from wood decomposer communities. Ecol. Lett. 2010, 13, 675–684. [Google Scholar] [CrossRef]
- Fukasawa, Y.; Osono, T.; Takeda, H. Effects of attack of saprocib fungi on twig decomposition by endophytic fungi. Ecol. Res. 2009, 24, 1067–1073. [Google Scholar] [CrossRef]
- Fukasawa, Y.; Gilmartin, E.C.; Savoury, M.; Boddy, L. Inoculum volume effects on competitive outcome and wood decay rate of brown- and white-rot basidiomycetes. Fung. Ecol. 2020, 45, 100938. [Google Scholar] [CrossRef]
- Fukasawa, Y. Fungal succession and decomposition of Pinus densiflora snags. Ecol. Res. 2018, 33, 435–444. [Google Scholar] [CrossRef]
- Ganjegunte, G.K.; Condron, L.M.; Clinton, P.W.; Davis, M.R.; Mahieu, N. Decomposition and nutrient release from radiata pine (Pinus radiata) coarse woody debris. For. Ecol. Manag. 2004, 187, 197–211. [Google Scholar] [CrossRef]
- Fukasawa, Y. The geographical gradient of pine log decomposition in Japan. For. Ecol. Manag. 2015, 349, 29–35. [Google Scholar] [CrossRef]
- Fukasawa, Y.; Ando, Y.; Oishi, Y.; Matsukura, K.; Okano, K.; Song, Z.; Sakuma, D. Effects of forest dieback on wood decay, saproxylic communities, and spruce seedling regeneration on coarse woody debris. Fung. Ecol. 2019, 41, 198–208. [Google Scholar] [CrossRef]
- Fukasawa, Y.; Ando, Y.; Oishi, Y.; Suzuki, S.N.; Matsukura, K.; Okano, K.; Song, Z. Does typhoon disturbance in subalpine forest have long-lasting impacts on saproxylic fungi, bryophytes, and seedling regeneration on coarse woody debris? For. Ecol. Manag. 2019, 432, 309–318. [Google Scholar] [CrossRef]
- Maillard, F.; Jusino, M.A.; Andrews, E.; Moran, M.; Vaziri, G.J.; Banik, M.T.; Fanin, N.; Trettin, C.C.; Lindner, D.L.; Schilling, J.S. Wood-decay type and fungal guild dominance across a North American log transplant experiment. Fung. Ecol. 2022, in press. [CrossRef]
- Fukasawa, Y.; Matsukura, K. Decay stages of wood and associated fungal communities characterise diversity–decomposition relationships. Sci. Rep. 2021, 11, 8972. [Google Scholar] [CrossRef] [PubMed]
- Hiscox, J.; Savoury, M.; Toledo, S.; Kingscott-Edmunds, J.; Bettridge, A.; Waili, N.A.; Boddy, L. Threesomes destabilise certain relationships: Multispecies interactions between wood decay fungi in natural resources. FEMS Microbiol. Ecol. 2017, 93, fix014. [Google Scholar] [CrossRef] [PubMed]
- Hiscox, J.; Clarkson, G.; Savoury, M.; Powell, G.; Savva, I.; Lloyd, M.; Shipcott, J.; Choimes, A.; Cumbriu, X.A.; Boddy, L. Effects of pre-colonisation and temperature on interspecific fungal interactions in wood. Fung. Ecol. 2016, 21, 32–42. [Google Scholar] [CrossRef]
- King, H.G.C.; Heath, G.W. The chemical analysis of small samples of leaf material and the relationship between the disappearance and composition of leaves. Pedobiologia 1967, 7, 192–197. [Google Scholar]
- Preston, C.M.; Trofymow, J.A.; Sayer, B.G.; Niu, J. 13CPMAS NMR investigation of the proximate analysis of fractions used to assess litter quality in decomposition studies. Can. J. Bot. 1997, 75, 1601–1613. [Google Scholar] [CrossRef]
- R Core Team. R: A Language and Environment for Statistical Computing; The R Foundation for Statistical Computing: Vienna, Austria, 2021. [Google Scholar]
- Yoneda, T. Relation of wood diameter to the rates of dry weight loss and CO2 evolution of wood litter in evergreen oak forests (Studies on the rate of decay of wood litter on the forest floor. V). Jpn. J. Ecol. 1985, 35, 57–66. [Google Scholar]
- Chambers, J.Q.; Schimel, J.P.; Nobre, A.D. Respiration from coarse wood litter in central Amazon forests. Biogeochemistry 2001, 52, 115–131. [Google Scholar] [CrossRef]
- Hintikka, V.; Korhonen, K. Effects of carbon dioxide on the growth of lignicolous and soil-inhabiting Hymenomycetes. Commun. Inst. For. Fenn. 1970, 62, 5–29. [Google Scholar]
- Chapela, I.H.; Boddy, L.; Rayner, A.D.M. Structure and development of fungal communities in beech logs four and a half years after felling. FEMS Microbiol. Ecol. 1988, 53, 59–70. [Google Scholar] [CrossRef]
- Reid, I.D.; Seifert, K.A. Effect of an atmosphere of oxygen on growth, respiration, and lignin degradation by white-rot fungi. Can. J. Bot. 1982, 60, 252–260. [Google Scholar] [CrossRef]
- Zadražil, F.; Galletti, G.C.; Piccaglia, R.; Chiavari, G.; Francioso, O. Influence of oxygen and carbon dioxide on cell wall degradation by white-rot fungi. Anim. Feed Sci. Technol. 1991, 32, 137–142. [Google Scholar] [CrossRef]
- Schilling, J.S.; Kaffenberger, J.T.; Held, B.W.; Ortiz, R.; Blanchette, R.A. Using wood rot phenotypes to illuminate the “Gray” among decomposer fungi. Front. Microbiol. 2020, 11, 1288. [Google Scholar] [CrossRef]
- Oberle, B.; Covey, K.R.; Dunham, K.M.; Hernandez, E.J.; Walton, M.L.; Young, D.F.; Zanne, A.E. Dissecting the effects of diameter on wood decay emphasizes the importance of cross-stem conductivity in Fraxinus americana. Ecosystems 2018, 21, 85–97. [Google Scholar] [CrossRef]
- Deacon, J.W. Decomposition of filter paper cellulose by thermophilic fungi acting singly, in combination, and in sequence. Trans. Br. Mycol. Soc. 1985, 85, 663–669. [Google Scholar] [CrossRef]
- Tanaka, H.; Enoki, A.; Fuse, G.; Nishimoto, K. Interactions in successive exposure of wood to varying wood-inhabiting fungi. Holzforschung 1988, 42, 29–35. [Google Scholar] [CrossRef]
- Fukasawa, Y.; Osono, T.; Takeda, H. Wood decomposing abilities of diverse lignicolous fungi on nondecayed and decayed beech wood. Mycologia 2011, 103, 474–482. [Google Scholar] [CrossRef]
- Boddy, L.; Owens, E.M.; Chapela, I.H. Small scale variation in decay rate within logs one years after felling: Effect of fungal community structure and moisture content. FEMS Microbiol. Ecol. 1989, 62, 173–184. [Google Scholar] [CrossRef][Green Version]
- Boddy, L.; Abdalla, S.H.M. Development of Phanerochaete velutina mycelial cord systems: Effect of encounter of multiple colonised wood resources. FEMS Microbiol. Ecol. 1998, 25, 257–269. [Google Scholar] [CrossRef]
- Hiscox, J.; O’Leary, J.; Boddy, L. Fungus wars: Basidiomycete battles in wood decay. Stud. Mycol. 2018, 89, 117–124. [Google Scholar] [CrossRef] [PubMed]
- Chi, Y.; Hatakka, A.; Maijala, P. Can co-culturing of two white-rot fungi increase lignin degradation and the production of lignin-degrading enzymes? Int. Biodeter. Biodegr. 2007, 59, 32–39. [Google Scholar] [CrossRef]
- Fukasawa, Y.; Osono, T.; Takeda, H. Effects of environmental moisture on twig litter decomposition by fungal colonizers. J. Integr. Field Sci. 2013, 10, 1–6. [Google Scholar]
- Ferreira-Gregorio, A.P.; da Silva, I.R.; Sedarati, M.R.; Hedger, J.N. Changes in production of lignin degrading enzymes during interactions between mycelia of the tropical decomposer basidiomycetes Marasmiellus troyanus and Marasmius pallescens. Mycol. Res. 2007, 110, 161–168. [Google Scholar] [CrossRef] [PubMed]
- Hiscox, J.; Baldrian, P.; Rogers, H.J.; Boddy, L. Changes in oxidative enzyme activity during interspecific mycelial interactions involving the white-rot fungus Trametes versicolor. Fung. Gen. Biol. 2010, 47, 562–571. [Google Scholar] [CrossRef] [PubMed]
- Iakovlev, A.; Stenlid, J. Spatiotemporal patterns of laccase activity in interacting mycelia of wood-decaying basidiomycete fungi. Microb. Ecol. 2000, 39, 236–245. [Google Scholar]
- Fukasawa, Y.; Osono, T.; Takeda, H. Dynamics of physicochemical properties and occurrence of fungal fruit bodies during decomposition of coarse woody debris of Fagus crenata. J. For. Res. 2009, 14, 20–29. [Google Scholar] [CrossRef]
- Bai, Z.; Ma, Q.; Dai, Y.; Yuan, H.; Ye, J.; Yu, W. Spatial heterogeneity of SOM concentrations associated with white-rot versus brown-rot wood decay. Sci. Rep. 2017, 7, 13758. [Google Scholar] [CrossRef]
- Song, Z.; Kennedy, P.G.; Liew, F.J.; Schilling, J.S. Fungal endophytes as priority colonizers initiating wood decomposition. Func. Ecol. 2017, 31, 407–418. [Google Scholar] [CrossRef]




| Geometry | Cube | Flat |
|---|---|---|
| Surface area (cm2) | 24 | 40 |
| Volume (cm3) | 8 | 8 |
| Surface area/volume | 3 | 5 |
| Agar contact (cm2) | 4 | 16 |
| Fungi | Abbreviation | NBRC * Code |
|---|---|---|
| Pholiota brunnescens A.H. Sm. & Hesler | Pb | 110175 |
| Phanerochaete velutina (DC.) P. Karst. | Pv | 110184 |
| Resinicium bicolor (Alb. & Schwein.) Parmasto | Rb | 110186 |
| Scytinostroma odoratum (Fr.) Donk | So | 110188 |
| Agar | Pb-Cube | Pv-Cube | Rb-Cube | So-Cube | Pb-Flat | Pv-Flat | Rb-Flat | So-Flat |
|---|---|---|---|---|---|---|---|---|
| Pb | – | win | win | win | – | win | win | win |
| Pv | loss | – | win | loss | loss | – | loss | loss |
| Rb | loss | loss | – | loss | loss | loss | – | loss |
| So | loss | win/loss | win | – | loss | win/loss | win | – |
Publisher’s Note: MDPI stays neutral with regard to jurisdictional claims in published maps and institutional affiliations. |
© 2022 by the authors. Licensee MDPI, Basel, Switzerland. This article is an open access article distributed under the terms and conditions of the Creative Commons Attribution (CC BY) license (https://creativecommons.org/licenses/by/4.0/).
Share and Cite
Fukasawa, Y.; Kaga, K. Surface Area of Wood Influences the Effects of Fungal Interspecific Interaction on Wood Decomposition—A Case Study Based on Pinus densiflora and Selected White Rot Fungi. J. Fungi 2022, 8, 517. https://doi.org/10.3390/jof8050517
Fukasawa Y, Kaga K. Surface Area of Wood Influences the Effects of Fungal Interspecific Interaction on Wood Decomposition—A Case Study Based on Pinus densiflora and Selected White Rot Fungi. Journal of Fungi. 2022; 8(5):517. https://doi.org/10.3390/jof8050517
Chicago/Turabian StyleFukasawa, Yu, and Koji Kaga. 2022. "Surface Area of Wood Influences the Effects of Fungal Interspecific Interaction on Wood Decomposition—A Case Study Based on Pinus densiflora and Selected White Rot Fungi" Journal of Fungi 8, no. 5: 517. https://doi.org/10.3390/jof8050517
APA StyleFukasawa, Y., & Kaga, K. (2022). Surface Area of Wood Influences the Effects of Fungal Interspecific Interaction on Wood Decomposition—A Case Study Based on Pinus densiflora and Selected White Rot Fungi. Journal of Fungi, 8(5), 517. https://doi.org/10.3390/jof8050517

