Effect of Fungal Endophyte Epichloë bromicola Infection on Cd Tolerance in Wild Barley (Hordeum brevisubulatum)
Abstract
:1. Introduction
2. Materials and Methods
2.1. Plant Materials and Growth Conditions
2.2. Experimental Design
2.2.1. Plants Growth and Photosynthetic Parameters
2.2.2. Cd Distribution in Different Parts
2.2.3. Subcellular Distribution of Cd in H. brevisubulatum
2.2.4. Chemical Forms Extraction
- 80% ethanol, extracting inorganic Cd, giving priority to nitrate/nitrite, chloride, and aminophenol cadmium, i.e., 80% ethanol extraction state (FEthanol).
- Deionized water, extracting water-soluble Cd, Cd-organic acid complexes, and Cd(H2PO4)2, i.e., deionized water extraction state (FH2O).
- 1 M NaCl, extracting pectates and protein-integrated Cd, i.e., 1 M NaCl extraction state (FNaCl).
- 2% acetic acid, extracting undissolved cadmium phosphate, including CdHPO4, Cd3(PO4)2, and other Cd-phosphate complexes, i.e., 2% HAc extraction state (FHAc).
- 0.6 M HCl, extracting cadmium oxalate, i.e., 0.6 M HCl extraction state (FHCl)
- The remainder is the residual state (FR).
2.3. Statistical Analyses
3. Results
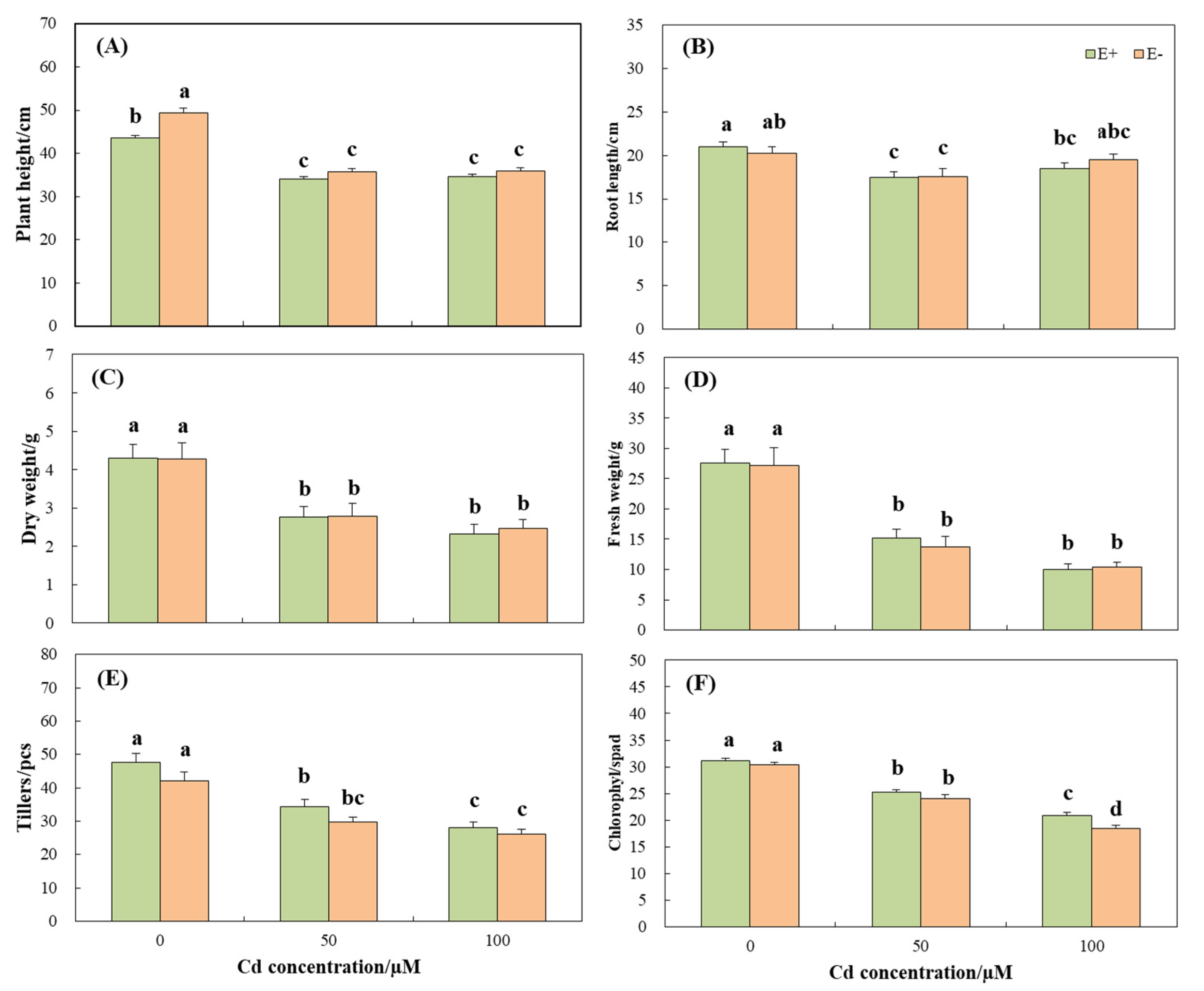
3.1. Plants Growth and Photosynthetic Parameters
3.2. Cd Distribution in Different H. brevisublatum Parts
3.3. Cd Subcellular Distributions and Proportions in H. brevisubulatum
3.4. Cd Chemical Forms and Proportions in H. brevisubulatum
4. Discussion
5. Conclusions
Author Contributions
Funding
Institutional Review Board Statement
Informed Consent Statement
Data Availability Statement
Acknowledgments
Conflicts of Interest
References
- Wang, S.L.; Xu, X.R.; Sun, Y.X.; Liu, J.L.; Li, H.B. Heavy Metal Pollution in Coastal Areas of South China: A Review. Mar. Pollut. Bull. 2013, 76, 7–15. [Google Scholar] [CrossRef] [PubMed]
- Di Toppi, L.S.; Gabbrielli, R. Response to Cadmium in Higher Plants. Environ. Exp. Bot. 1999, 41, 105–130. [Google Scholar] [CrossRef]
- Gallego, S.M.; Pena, L.B.; Barcia, R.A.; Azpilicueta, C.E.; Lannone, M.F.; Rosales, E.P.; Zawoznik, M.S.; Groppa, M.D.; Benavides, M.P. Unravelling Cadmium Toxicity and Tolerance in Plants: Insight into Regulatory Mechanisms. Environ. Exp. Bot. 2012, 83, 33–46. [Google Scholar] [CrossRef]
- Zhang, F.Q.; Zhang, H.X.; Shen, Z.G. Reactive Oxygen Production and Genome DNA Polymorphism Change in Root Tip Tissues of Two Leguminous Species with Different Tolerance Under Cd Stress. Shengtaixue Zazhi 2012, 31, 2330–2336. [Google Scholar]
- Malkowski, E.; Sitko, K.; Szopinski, M.; Gieron, Z.; Pogrzeba, M.; Kalaji, H.M.; Zieleznik-Rusinowska, P. Hormesis in Plants: The Role of Oxidative Stress, Auxins and Photosynthesis in Corn Treated with Cd or Pb. Int. J. Mol. Sci. 2020, 21, 2099. [Google Scholar] [CrossRef] [Green Version]
- Rebello, S.; Sivaprasad, M.S.; Anoopkumar, A.N.; Jayakrishnan, L.; Aneesh, E.M.; Narisetty, V.; Sindhu, R.; Binod, P.; Pugazhendhi, A.; Pandey, A. Cleaner Technologies to Combat Heavy Metal Toxicity. J. Environ. Manag. 2021, 296, 113231. [Google Scholar] [CrossRef]
- Luo, J.S.; Zhang, Z.H. Mechanisms of Cadmium Phytoremediation and Detoxification in Plants. Crop J. 2021, 9, 521–529. [Google Scholar] [CrossRef]
- Wang, X.; Liu, Y.G.; Zeng, G.M.; Chai, L.Y.; Song, X.C.; Min, Z.Y.; Xiao, X. Subcellular Distribution and Chemical Forms of Cadmium in Bechmeria Nivea (L.) Gaud. Environ. Exp. Bot. 2008, 62, 389–395. [Google Scholar] [CrossRef]
- Parrotta, L.; Guerriero, G.; Sergeant, K.; Cai, G.; Hausman, J. Target or Barrier? The Cell Wall of Early- and Later-Diverging Plants Vs Cadmium Toxicity: Differences in the Response Mechanisms. Front. Plant Sci. 2015, 6, 133. [Google Scholar] [CrossRef] [Green Version]
- Douchiche, O.; Soret-Morvan, O.; Chaibi, W.; Morvan, C.; Paynel, F. Characteristics of Cadmium Tolerance in ‘Hermes’ Flax Seedlings: Contribution of Cell Walls. Chemosphere 2010, 81, 1430–1436. [Google Scholar] [CrossRef]
- Küpper, H.; Lombi, E.; Zhao, F.J.; McGrath, S.P. Cellular Compartmentation of Cadmium and Zinc in Relation to Other Elements in the Hyperaccumulator Arabidopsis Halleri. Planta 2000, 212, 75–84. [Google Scholar] [CrossRef] [PubMed] [Green Version]
- Krzeslowska, M. The Cell Wall in Plant Cell Response to Trace Metals: Polysaccharide Remodeling and its Role in Defense Strategy. Acta Physiol. Plant. 2011, 33, 35–51. [Google Scholar] [CrossRef] [Green Version]
- Barbeoch, L.P.; Leonhardt, N.; Vavasseur, A.; Forestier, C. Heavy Metal Toxicity: Cadmium Permeates through Calcium Channels and Disturbs the Plant Water Status. Plant J. 2002, 32, 539–548. [Google Scholar] [CrossRef]
- Clemens, S. Toxic Metal Accumulation, Responses to Exposure and Mechanisms of Tolerance in Plants. Biochimie 2006, 88, 1707–1719. [Google Scholar] [CrossRef] [PubMed]
- Shi, Y.; Liu, Y.Q.; Li, H.Y.; Pei, H.P.; Xu, Y.; Ju, X.H. Phytochelatins Formation Kinetics and Cd-induced Growth Inhibition in Lolium Perenne L. at Elevated CO2 Level Under Cd Stress. Environ. Sci. Pollut. Res. 2021, 28, 35751–35763. [Google Scholar] [CrossRef] [PubMed]
- Chen, Q.; Lu, X.Y.; Guo, X.R.; Pan, Y.J.; Yu, B.F.; Tang, Z.H.; Guo, Q.X. Differential Responses to Cd Stress Induced by Exogenous Application of Cu, Zn or Ca in the Medicinal Plant Catharanthus Roseus. Ecotoxicol. Environ. Saf. 2018, 157, 266–275. [Google Scholar] [CrossRef] [PubMed]
- Lou, Y.H.; Yang, Y.; Hu, L.X.; Liu, H.M.; Xu, Q.G. Exogenous Glycinebetaine Alleviates the Detrimental Effect of Cd Stress on Perennial Ryegrass. Ecotoxicology 2015, 24, 1330–1340. [Google Scholar] [CrossRef]
- Wang, F.; Chen, F.; Cai, Y.; Zhang, G.P.; Wu, F.B. Modulation of Exogenous Glutathione in Ultrastructure and Photosynthetic Performance Against Cd Stress in the Two Barley Genotypes Differing in Cd Tolerance. Biol. Trace Element Res. 2011, 144, 1275–1288. [Google Scholar] [CrossRef]
- Wojcik, M.; Tukendorf, A. The Effect of EDTA On Maize Seedlings Response to Cd-induced Stress. Z. Naturforschung C-A J. Biosci. 1999, 54, 754–758. [Google Scholar] [CrossRef]
- Wang, Q.; Ge, C.F.; Xu, S.A.; Wu, Y.J.; Sahito, Z.A.; Ma, L.Y.; Pan, F.S.; Zhou, Q.Y.; Huang, L.K.; Feng, Y.; et al. The Endophytic Bacterium Sphingomonas SaMR12 Alleviates Cd Stress in Oilseed Rape through Regulation of the GSH-AsA Cycle and Antioxidative Enzymes. BMC Plant Biol. 2020, 20, 63. [Google Scholar] [CrossRef]
- Ullah, I.; Al-Johny, B.O.; AL-Ghamdi, K.M.S.; Al-Zahrani, H.A.A.; Anwar, Y.; Firoz, A.; AL-Kenani, N.; Almatry, M.A.A. Endophytic Bacteria Isolated from Solanum Nigrum L. Alleviate Cadmium (Cd) Stress Response by their Antioxidant Potentials, Including SOD Synthesis by sodA Gene. Ecotoxicol. Environ. Saf. 2019, 174, 197–207. [Google Scholar] [CrossRef] [PubMed]
- Leuchtmann, A.; Bacon, C.W.; Schardl, C.L.; White, J.F.; Tadych, M. Nomenclatural Realignment of Neotyphodium Species with Genus Epichloë. Mycol. 2014, 106, 202–215. [Google Scholar] [CrossRef] [PubMed]
- Scott, B. Epichloë Endophytes: Fungal Symbionts of Grasses. Curr. Opin. Microbiol. 2001, 4, 393–398. [Google Scholar] [CrossRef]
- Saikkonen, K.; Faeth, S.; Helander, M.; Sullivan, T.J. Fungal Endophytes: A Continuum of Interactions with Host Plants. Annu. Rev. Ecol. Syst. 2002, 319–343. [Google Scholar] [CrossRef]
- Tadych, M.; Ambrose, K.V.; Bergen, M.S.; Belanger, F.C.; White, J.F., Jr. Taxonomic Placement of Epichloë Poae Sp. Nov. And Horizontal Dissemination to Seedlings Via Conidia. Fungal Divers. 2012, 54, 117–131. [Google Scholar] [CrossRef]
- Florea, S.; Schardl, C.L.; Hollin, W. Detection and Isolation of Epichloë Species, Fungal Endophytes of Grasses. Curr. Protoc. Microbiol. 2015, 38, 11A–19A. [Google Scholar] [CrossRef]
- Clay, K. Fungal Endophytes of Grasses: A Defensive Mutualism between Plants and Fungi. Ecology 1988, 69, 10–16. [Google Scholar] [CrossRef]
- Wang, J.F.; Hou, W.P.; Christensen, M.J.; Li, X.Z.; Xia, C.; Li, C.J.; Nan, Z.B. Role of Epichloë Endophytes in Improving Host Grass Resistance Ability and Soil Properties. J. Agric. Food Chem. 2020, 68, 6944–6955. [Google Scholar] [CrossRef]
- Xia, C.; Li, N.N.; Zhang, Y.W.; Li, C.J.; Zhang, X.X.; Nan, Z.B. Role of Epichloë Endophytes in Defense Responses of Cool-Season Grasses to Pathogens: A Review. Plant Dis. 2018, 102, 2061–2073. [Google Scholar] [CrossRef] [Green Version]
- Tanaka, A.; Takemoto, D.; Chujo, T.; Scott, B. Fungal Endophytes of Grasses. Curr. Opin. Plant Biol. 2012, 15, 462–468. [Google Scholar] [CrossRef]
- Soleimani, M.; Hajabbasi, M.A.; Afyuni, M.; Mirlohi, A.; Borggaard, O.K.; Holm, P.E. Effect of Endophytic Fungi on Cadmium Tolerance and Bioaccumulation by Festuca Arundinacea and Festuca Pratensis. Int. J. Phytoremediation 2010, 12, 535–549. [Google Scholar] [CrossRef] [PubMed]
- Ren, A.Z.; Li, C.; Gao, Y.B. Endophytic Fungus Improves Growth and Metal Uptake of Lolium Arundinaceum Darbyshire Ex. Schreb. Int. J. Phytoremediation 2011, 13, 233–243. [Google Scholar] [CrossRef] [PubMed]
- Zhang, X.X.; Li, C.J.; Nan, Z.B. Effects of Cadmium Stress on Growth and Anti-Oxidative Systems in Achnatherum Inebrians Symbiotic with Neotyphodium Gansuense. J. Hazard. Mater. 2010, 175, 703–709. [Google Scholar] [CrossRef] [PubMed]
- Zhang, X.X.; Li, C.J.; Nan, Z.B. Effects of Cadmium Stress on Seed Germination and Seedling Growth of Elymus Dahuricus Infected with the Neotyphodium Endophyte. Sci. China Life Sci. 2012, 55, 793–799. [Google Scholar] [CrossRef] [PubMed] [Green Version]
- Monnet, F.; Vaillant, N.; Hitmi, A.; Coudret, A.; Sallanon, H. Endophytic Neotyphodium Lolii Induced Tolerance to Zn Stress in Lolium Perenne. Physiol. Plant. 2001, 113, 557–563. [Google Scholar] [CrossRef]
- Zaurov, D.E.; Bonos, S.; Murphy, J.A.; Richardson, M.; Belanger, F.C. Endophyte Infection Can Contribute to Aluminum Tolerance in Fine Fescues. Crop Sci. 2001, 41, 1981–1984. [Google Scholar] [CrossRef]
- Wang, C.M.; Xia, Z.R.; Wu, G.Q.; Yuan, H.J.; Wang, X.R.; Li, J.H.; Tian, F.P.; Zhang, Q.; Zhu, X.Q.; He, J.J.; et al. The Coordinated Regulation of Na+ and K+ in Hordeum Brevisubulatum Responding to Time of Salt Stress. Plant Sci. 2016, 252, 358–366. [Google Scholar] [CrossRef]
- Chen, T.X.; Johnson, R.; Chen, S.H.; Lv, H.; Zhou, J.L.; Li, C.J. Infection by the Fungal Endophyte Epichloë Bromicola Enhances the Tolerance of Wild Barley (Hordeum Brevisubulatum) to Salt and Alkali Stresses. Plant Soil 2018, 428, 353–370. [Google Scholar] [CrossRef]
- Song, M.L.; Li, X.Z.; Saikkonen, K.; Li, C.J.; Nan, Z.B. An Asexual Epichloë Endophyte Enhances Waterlogging Tolerance of Hordeum Brevisubulatum. Fungal Ecol. 2015, 13, 44–52. [Google Scholar] [CrossRef]
- Clement, S.L.; Elberson, L.R.; Bosque-Perez, N.A.; Schotzko, D.J. Detrimental and Neutral Effects of Wild Barley—Neotyphodium Fungal Endophyte Associations on Insect Survival. Entomol. Exp. Appl. 2005, 114, 119–125. [Google Scholar] [CrossRef]
- Chen, T.X.; Simpson, W.R.; Song, Q.Y.; Chen, S.H.; Li, C.J.; Ahmad, R.Z. Identification of Epichloë Endophytes Associated with Wild Barley (Hordeum Brevisubulatum) and Characterisation of their Alkaloid Biosynthesis. N. Z. J. Agric. Res. 2019, 62, 131–149. [Google Scholar] [CrossRef]
- Chen, Z.J.; Jin, Y.Y.; Yao, X.; Chen, T.X.; Wei, X.K.; Li, C.J.; White, J.F.; Nan, Z.B. Fungal Endophyte Improves Survival of Lolium perenne in Low Fertility Soils by Increasing Root Growth, Metabolic Activity and Absorption of Nutrients. Plant Soil 2020, 452, 185–206. [Google Scholar] [CrossRef]
- Weigel, H.J.; Jager, H.J. Subcellular-Distribution and Chemical Form of Cadmium in Bean-Plants. Plant Physiol. 1980, 65, 480–482. [Google Scholar] [CrossRef] [PubMed] [Green Version]
- Wu, F.B.; Dong, J.; Qian, Q.Q.; Zhang, G.P. Subcellular Distribution and Chemical Form of Cd and Cd-Zn Interaction in Different Barley Genotypes. Chemosphere 2005, 60, 1437–1446. [Google Scholar] [CrossRef]
- Gill, S.S.; Khan, N.A.; Nazar, R.; Anjum, N.A. Photosynthetic Traits and Activities of Antioxidant Enzymes in Blackgram (Vigna Mungo L. Hepper) Under Cadmium Stress. Am. J. Plant Physiol. 2008, 3, 25–32. [Google Scholar]
- Afzal, S.; Begum, N.; Zhao, H.; Fang, Z.; Lou, L. Influence of Endophytic Root Bacteria on the Growth, Cadmium Tolerance and Uptake of Switchgrass (Panicum Virgatum L.). J. Appl. Microbiol. 2017, 123, 498–510. [Google Scholar] [CrossRef]
- Zamani, N.; Sabzalian, M.R.; Khoshgoftarmanesh, A.; Afyuni, M. Neotyphodium Endophyte Changes Phytoextraction of Zinc in Festuca Arundinacea and Lolium Perenne. Int. J. Phytoremediation 2015, 17, 456–463. [Google Scholar] [CrossRef]
- Ren, A.; Gao, Y.; Zhang, L.; Xie, F. Effects of Cadmium on Growth Parameters of Endophyte-Infected Endophyte-Free Ryegrass. J. Plant Nutr. Soil Sci. 2006, 169, 857–860. [Google Scholar] [CrossRef]
- Nan, Z.B.; Li, C.J. Roles of the grass-Neotyphodium Association in Pastoral Agriculture Systems. Acta Ecol. Sin. 2004, 24, 605–616. [Google Scholar]
- Zhao, X.J.; Wang, P.; Li, X.Z.; Gu, L.J.; LI, C.J. Distribution Characteristics of Epichloë Endophyte in Gramineous Grasses. Pratacultural Sci. 2015, 32, 1206–1215. [Google Scholar]
- Salt, D.E.; Prince, R.C.; Raskin, P.I. Mechanisms of Cadmium Mobility and Accumulation in Indian Mustard. Plant Physiol. 1995, 109, 1427–1433. [Google Scholar] [CrossRef] [PubMed] [Green Version]
- Gong, J.M.; Lee, D.A.; Schroeder, J.I. Long-Distance Root-To-Shoot Transport of Phytochelatins and Cadmium in Arabidopsis. Proc. Nat. Acad. Sci. USA 2003, 100, 10118. [Google Scholar] [CrossRef] [PubMed] [Green Version]
- Seregin, I.V.; Ivanov, V.B. Physiological Aspects of Cadmium and Lead Toxic Effects on Higher Plants. Russ. J. Plant Physiol. 2001, 48, 523–544. [Google Scholar] [CrossRef]
- Becerril, J.M.; Munoz-Rueda, A.; Aparicio-Tejo, P.; Gonzales-Murua, C. The Effects of Cadmium and Lead on Photosynthetic Electron Transport in Clover and Lucerne. Plant Physiol. Biochem. 1988, 26, 357–363. [Google Scholar]
- Xin, J.L.; Huang, B.F.; Dai, H.W.; Liu, A.J.; Zhou, W.J.; Liao, K.B. Characterization of Cadmium Uptake, Translocation, and Distribution in Young Seedlings of Two Hot Pepper Cultivars that Differ in Fruit Cadmium Concentration. Environ. Sci. Pollut. Res. 2014, 21, 7449–7456. [Google Scholar] [CrossRef]
- Zhou, C.F.; Huang, M.Y.; Li, Y.; Luo, J.W.; Cai, L.P. Changes in Subcellular Distribution and Antioxidant Compounds Involved in Pb Accumulation and Detoxification in Neyraudia Reynaudiana. Environ. Sci. Pollut. Res. 2016, 23, 21794–21804. [Google Scholar] [CrossRef]
- He, C.Q.; Zhao, Y.P.; Wang, F.F.; Oh, K.; Zhao, Z.Z.; Wu, C.L.; Zhang, X.Y.; Chen, X.P.; Liu, X.Y. Phytoremediation of Soil Heavy Metals (Cd and Zn) by Castor Seedlings: Tolerance, Accumulation and Subcellular Distribution. Chemosphere 2020, 252, 1–10. [Google Scholar] [CrossRef]
- Wang, J.B.; Su, L.Y.; Yang, J.Z.; Yuan, J.G.; Yin, A.G.; Qiu, Q.; Zhang, K.; Yang, Z.Y. Comparisons of Cadmium Subcellular Distribution and Chemical Forms Between Low-Cd and high-Cd Accumulation Genotypes of Watercress (Nasturtium Officinale L. R. Br.). Plant Soil 2015, 396, 325–337. [Google Scholar] [CrossRef]
- Fu, X.P.; Dou, C.M.; Chen, Y.X.; Chen, X.C.; Shi, J.Y.; Yu, M.G.; Xu, J. Subcellular Distribution and Chemical Forms of Cadmium in Phytolacca Americana L. J. Hazard. Mater. 2011, 186, 103–107. [Google Scholar] [CrossRef]
- Uddin, M.M.; Chen, Z.F.; Huang, L.F. Cadmium Accumulation, Subcellular Distribution and Chemical Fractionation in Hydroponically Grown Sesuvium Portulacastrum [Aizoaceae]. PLoS ONE 2020, 15, e0244085. [Google Scholar] [CrossRef]
- Wali, M.; Gunse, B.; Llugany, M.; Corrales, I.; Abdelly, C.; Poschenrieder, C.; Ghnaya, T. High Salinity Helps the Halophyte Sesuvium Portulacastrum in Defense Against Cd Toxicity by Maintaining Redox Balance and Photosynthesis. Planta 2016, 244, 333–346. [Google Scholar] [CrossRef] [PubMed]
- Wali, M.; Ben Rjab, K.; Gunse, B.; Lakdhar, A.; Lutts, S.; Poschenrieder, C.; Abdelly, C.; Ghnaya, T. How Does NaCl Improve Tolerance to Cadmium in the Halophyte Sesuvium Portulacastrum? Chemosphere 2014, 117, 243–250. [Google Scholar]







| Variable | df | Plant Height | Root Length | Tiller Numbers | Chlorophyll Content | Dry Weight | Fresh Weight |
|---|---|---|---|---|---|---|---|
| E | 1 | 24.383 *** | 0.078 ns | 5.699 * | 9.304 ** | 0.036 ns | 0.109 ns |
| S | 2 | 162.748 *** | 9.444 *** | 37.291 *** | 190.589 *** | 19.152 *** | 48.189 *** |
| E × S | 2 | 6.350 ** | 0.726 ns | 0.398 ns | 1.188 ns | 0.045 ns | 0.125 ns |
| Variable | df | Transpiration Rate | Stomatal Conductance | Net Photosynthetic Rate | Intercellular CO2 Concentration |
|---|---|---|---|---|---|
| E | 1 | 23.429 *** | 34.459 *** | 36.075 *** | 5.391 * |
| S | 2 | 11.651 *** | 14.272 *** | 24.628 *** | 5.284 *** |
| E × S | 2 | 2.957 ns | 2.440 ns | 7.350 *** | 1.205 ns |
| CdCl2 Stress/µM | Endophyte | Total/(mg/kg) | Leaf/(mg/kg) | Stem/(mg/kg) | Root/(mg/kg) | TIroots-stems/% | TIstems-leaves/% |
|---|---|---|---|---|---|---|---|
| 0 | E+ | 142.94 ± 18.86 c | 19.48 ± 3.73 c | 30.35 ± 3.68 e | 93.11 ± 13.75 c | 33.79 ± 3.85 a | 63.25 ± 8.14 a |
| E− | 109.98 ± 5.26 c | 11.99 ± 0.32 c | 20.67 ± 2.14 e | 77.32 ± 7.03 c | 28.09 ± 5.18 ab | 60.35 ± 8.02 a | |
| 50 | E+ | 1029.12 ± 24.02 b | 63.63 ± 5.68 ab | 126.86 ± 9.35 c | 838.63 ± 19.39 b | 15.08 ± 0.8 6c | 52.13 ± 9.00 ab |
| E− | 906.81 ± 76.55 b | 43.62 ± 4.14 b | 95.01 ± 3.79 d | 768.19 ± 70.67 b | 12.55 ± 0.66 c | 46.85 ± 3.93 ab | |
| 100 | E+ | 1520.43 ± 169.76 a | 81.96 ± 15.44 a | 230.71 ± 17.29 a | 1207.76 ± 178.40 a | 20.39 ± 3.47 bc | 35.32 ± 5.33 b |
| E− | 1490.85 ± 114.89 a | 61.87 ± 5.04 ab | 196.44 ± 16.25 b | 1232.55 ± 107.78 a | 16.20 ± 1.52 c | 32.50 ± 4.66 b |
| Variable | df | Total | Leaf | Stem | Root | TIroots-stems | TIstems-leaves |
|---|---|---|---|---|---|---|---|
| E | 1 | 0.70 ns | 6.92 * | 8.41 ** | 0.08 ns | 2.70 ns | 0.52 ns |
| S | 2 | 118.73 *** | 30.12 *** | 155.73 *** | 80.63 *** | 16.57 *** | 8.44 *** |
| E × S | 2 | 0.17 ns | 0.48 ns | 0.81 ns | 0.14 ns | 0.13 ns | 0.04 ns |
| Variable | df | Leaf | Stem | Root |
|---|---|---|---|---|
| E | 1 | 0.14 ns | 3.17 ns | 0.47 * |
| S | 2 | 3.99 * | 0.19 ns | 9.19 *** |
| E × S | 2 | 0.08 ns | 0.05 ns | 0.33 ns |
| Chemical Forms | CdCl2 Stress/µM | Endophyte | Leaf /(mg/kg) | Stem /(mg/kg) | Root /(mg/kg) |
|---|---|---|---|---|---|
| FEthanol | 0 | E+ | 23.60 ± 0.37 c | 7.79 ± 0.95 ab | 10.70 ± 0.59 i |
| E− | 25.28 ± 0.33 bc | 4.36 ± 0.29 mno | 9.65 ± 0.56 i | ||
| 50 | E+ | 27.69 ± 1.11 a | 4.10 ± 0.34 no | 30.55 ± 8.53 fg | |
| E− | 26.82 ± 0.36 ab | 4.69 ± 0.08 klmno | 34.88 ± 0.44 fg | ||
| 100 | E+ | 26.08 ± 0.97 ab | 6.50 ± 0.47 cdefg | 99.17 ± 3.79 c | |
| E− | 26.04 ± 0.43 ab | 6.45 ± 0.52 cdefg | 54.09 ± 7.08 de | ||
| FH2O | 0 | E+ | 24.93 ± 0.21 bc | 3.97 ± 0.22 o | 11.92 ± 0.57 i |
| E− | 25.14 ± 0.41 bc | 5.00 ± 0.16 ijklmno | 7.00 ± 1.02 i | ||
| 50 | E+ | 26.27 ± 0.50 ab | 4.41 ± 0.20 lmno | 62.19 ± 9.84 d | |
| E− | 25.54 ± 0.27 b | 5.24 ± 0.28 hijklmn | 114.28 ± 10.60 b | ||
| 100 | E+ | 25.83 ± 0.18 ab | 4.79 ± 0.26 jklmno | 117.91 ± 4.49 b | |
| E− | 25.50 ± 0.15 b | 5.43 ± 0.23 ghijklm | 200.32 ± 19.72 a | ||
| FNaCl | 0 | E+ | 1.28 ± 0.15 ghi | 5.03 ± 0.16 ijklmno | 10.05 ± 0.71 i |
| E− | 2.54 ± 1.89 efghi | 5.74 ± 0.44 fghijk | 4.07 ± 0.24 i | ||
| 50 | E+ | 4.54 ± 0.86 d | 6.75 ± 0.89 bcdef | 44.93 ± 2.62 ef | |
| E− | 3.60 ± 0.53 de | 8.16 ± 0.49 a | 34.49 ± 5.42 fg | ||
| 100 | E+ | 2.88 ± 0.55 defg | 5.63 ± 0.21 fghijk | 61.76 ± 9.21 d | |
| E− | 3.50 ± 0.20 def | 7.21 ± 0.38 abc | 115.38 ± 5.65 b | ||
| FHAc | 0 | E+ | 2.60 ± 1.64 efghi | 5.40 ± 0.26 ghijklm | 6.19 ± 1.08 i |
| E− | 0.81 ± 0.20 hi | 5.86 ± 0.27 efghijk | 5.11 ± 0.22 i | ||
| 50 | E+ | 1.42 ± 0.68 ghi | 5.68 ± 0.29 fghijk | 14.71 ± 1.53 hi | |
| E− | 2.01 ± 0.37 efghi | 5.97 ± 0.10 defghij | 10.78 ± 2.45 i | ||
| 100 | E+ | 0.75 ± 0.38 i | 5.50 ± 0.36 ghijklm | 27.8 ± 4.32 gh | |
| E− | 2.24 ± 0.43 efghi | 5.56 ± 0.10 fghijkl | 32.82 ± 6.21 fg | ||
| FHCl | 0 | E+ | 1.16 ± 0.12 ghi | 5.65 ± 0.17 fghijk | 4.71 ± 0.05 i |
| E− | 1.13 ± 0.35 ghi | 6.00 ± 0.29 defghi | 5.75 ± 0.16 i | ||
| 50 | E+ | 0.97 ± 0.21 ghi | 5.98 ± 0.19 defghij | 4.97 ± 0.24 i | |
| E− | 1.56 ± 0.26 fghi | 6.94 ± 0.33 bcde | 6.03 ± 0.27 i | ||
| 100 | E+ | 1.43 ± 0.37 ghi | 6.28 ± 0.09 cdefgh | 5.51 ± 0.48 i | |
| E− | 2.12 ± 0.11 efghi | 6.24 ± 0.17 cdefgh | 8.49±0.79 i | ||
| FR | 0 | E+ | 1.72 ± 0.21 efghi | 7.09 ± 0.22 abcd | 6.30 ± 0.22 i |
| E− | 2.83 ± 0.15 defgh | 6.45 ± 0.23 cdefg | 6.73 ± 0.42 i | ||
| 50 | E+ | 2.31 ± 0.22 efghi | 6.33 ± 0.30 cdefgh | 6.11 ± 0.14 i | |
| E− | 2.16 ± 0.18 efghi | 6.55 ± 0.23 cdefg | 6.04 ± 0.09 i | ||
| 100 | E+ | 2.01 ± 0.22 efghi | 6.24 ± 0.09 cdefgh | 6.97 ± 0.19 i | |
| E− | 2.67 ± 0.20 defghi | 7.08 ± 0.36 abcd | 6.98 ± 0.17 i |
| Variable | df | Leaf | Stem | Root |
|---|---|---|---|---|
| E | 1 | 0.014 ns | 2.934 ns | 1.206 ns |
| S | 2 | 0.093 ns | 1.368 ns | 22.532 *** |
| E × S | 2 | 0.016 ns | 2.451 ns | 0.650 ns |
Publisher’s Note: MDPI stays neutral with regard to jurisdictional claims in published maps and institutional affiliations. |
© 2022 by the authors. Licensee MDPI, Basel, Switzerland. This article is an open access article distributed under the terms and conditions of the Creative Commons Attribution (CC BY) license (https://creativecommons.org/licenses/by/4.0/).
Share and Cite
Zhai, Y.; Chen, Z.; Malik, K.; Wei, X.; Li, C. Effect of Fungal Endophyte Epichloë bromicola Infection on Cd Tolerance in Wild Barley (Hordeum brevisubulatum). J. Fungi 2022, 8, 366. https://doi.org/10.3390/jof8040366
Zhai Y, Chen Z, Malik K, Wei X, Li C. Effect of Fungal Endophyte Epichloë bromicola Infection on Cd Tolerance in Wild Barley (Hordeum brevisubulatum). Journal of Fungi. 2022; 8(4):366. https://doi.org/10.3390/jof8040366
Chicago/Turabian StyleZhai, Yurun, Zhenjiang Chen, Kamran Malik, Xuekai Wei, and Chunjie Li. 2022. "Effect of Fungal Endophyte Epichloë bromicola Infection on Cd Tolerance in Wild Barley (Hordeum brevisubulatum)" Journal of Fungi 8, no. 4: 366. https://doi.org/10.3390/jof8040366
APA StyleZhai, Y., Chen, Z., Malik, K., Wei, X., & Li, C. (2022). Effect of Fungal Endophyte Epichloë bromicola Infection on Cd Tolerance in Wild Barley (Hordeum brevisubulatum). Journal of Fungi, 8(4), 366. https://doi.org/10.3390/jof8040366

