Characterization of a NRPS-like Protein from Pestalotiopsis fici for Aldehyde Generation
Abstract
1. Introduction
2. Materials and Methods
2.1. Strain, Media and Culture Conditions
2.2. Computer-Assisted Sequence Analysis
2.3. RNA Isolation and cDNA Synthesis
2.4. Plasmid Construction
2.5. Protein Overproduction and Purification, as Well as Enzyme Assays
2.6. LC-MS Analysis
3. Results
3.1. Construction of a Fungal Virtual CAR Library
3.2. Overproduction and In Vitro Characterization of PnlA
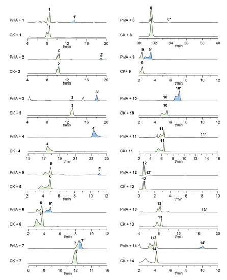
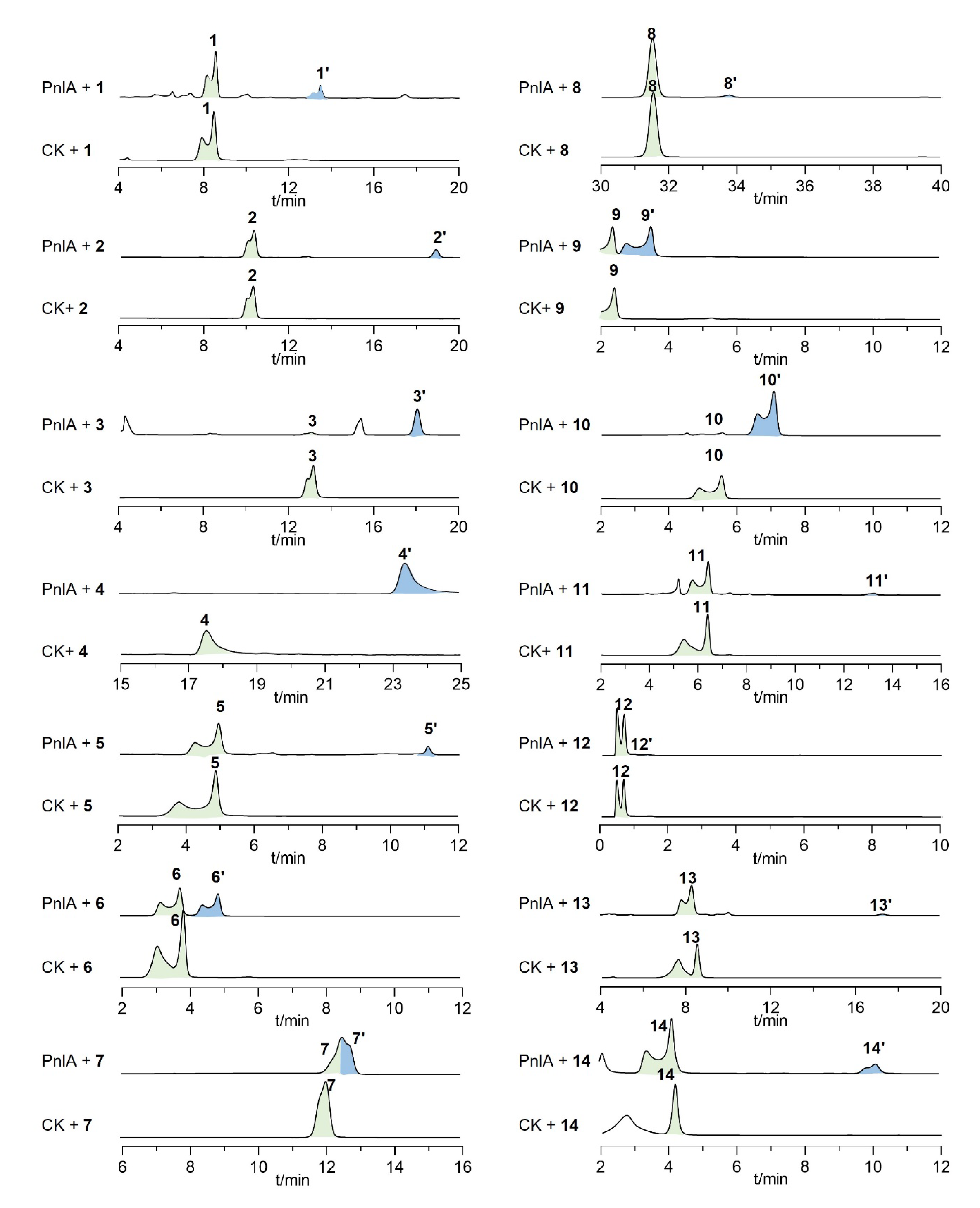
3.3. Flexible Biocatalytic Activities of PnlA
4. Discussion
Supplementary Materials
Author Contributions
Funding
Institutional Review Board Statement
Informed Consent Statement
Data Availability Statement
Conflicts of Interest
References
- Adrover-Castellano, M.L.; Schmidt, J.J.; Sherman, D.H. Biosynthetic cyclization catalysts for the assembly of peptide and polyketide natural products. ChemCatChem 2021, 13, 2095–2116. [Google Scholar] [CrossRef] [PubMed]
- Neethu, K.; Karthik, L.; Li, Z. Nonribosomally and ribosomally synthesized bioactive peptides (NRPS and RiPPs) from Actinobacteria. In Actinobacteria: Microbiology to Synthetic Biology; Karthik, L., Ed.; Springer Nature: Singapore, 2022; pp. 87–99. [Google Scholar]
- Süssmuth, R.D.; Mainz, A. Nonribosomal peptide synthesis-principles and prospects. Angew. Chem. Int. Ed. 2017, 56, 3770–3821. [Google Scholar] [CrossRef] [PubMed]
- Guo, C.J.; Wang, C.C. Recent advances in genome mining of secondary metabolites in Aspergillus terreus. Front. Microbiol. 2014, 5, 717. [Google Scholar] [CrossRef] [PubMed]
- Zhu, J.; Chen, W.; Li, Y.Y.; Deng, J.J.; Zhu, D.Y.; Duan, J.; Liu, Y.; Shi, G.Y.; Xie, C.; Wang, H.X.; et al. Identification and catalytic characterization of a nonribosomal peptide synthetase-like (NRPS-like) enzyme involved in the biosynthesis of echosides from Streptomyces sp. LZ35. Gene 2014, 546, 352–358. [Google Scholar] [CrossRef] [PubMed]
- Hühner, E.; Backhaus, K.; Kraut, R.; Li, S.-M. Production of α-keto carboxylic acid dimers in yeast by overexpression of NRPS-like genes from Aspergillus terreus. Appl. Microbiol. Biotechnol. 2018, 102, 1663–1672. [Google Scholar] [CrossRef]
- Guo, C.-J.; Knox, B.P.; Sanchez, J.F.; Chiang, Y.-M.; Bruno, K.S.; Wang, C.C.C. Application of an efficient gene targeting system linking secondary metabolites to their biosynthetic genes in Aspergillus terreus. Org. Lett. 2013, 15, 3562–3565. [Google Scholar] [CrossRef]
- Winkler, M.; Ling, J.G. Biocatalytic carboxylate reduction—Recent advances and new enzymes. ChemCatChem 2022, e202200441. [Google Scholar] [CrossRef]
- Farmer, V.C.; Henderson, M.E.K.; Russell, J.D. Reduction of certain aromatic acids to aldehydes and alcohols by Polystictus versicolor. Biochim. Biophys. Acta 1959, 35, 202–211. [Google Scholar] [CrossRef]
- Ran, H.; Li, S.-M. Fungal benzene carbaldehydes: Occurrence, structural diversity, activities and biosynthesis. Nat. Prod. Rep. 2021, 38, 240–263. [Google Scholar] [CrossRef]
- Winkler, M. Carboxylic acid reductase enzymes (CARs). Curr. Opin. Chem. Biol. 2018, 43, 23–29. [Google Scholar] [CrossRef]
- Kuhnert, E.; Navarro-Muñoz, J.C.; Becker, K.; Stadler, M.; Collemare, J.; Cox, R.J. Secondary metabolite biosynthetic diversity in the fungal family Hypoxylaceae and Xylaria hypoxylon. Stud. Mycol. 2021, 99, 100118. [Google Scholar] [CrossRef] [PubMed]
- Li, C.; Matsuda, Y.; Gao, H.; Hu, D.; Yao, X.S.; Abe, I. Biosynthesis of LL-Z1272β: Discovery of a new member of NRPS-like enzymes for aryl-aldehyde formation. ChemBioChem 2016, 17, 904–907. [Google Scholar] [CrossRef] [PubMed]
- Zhu, G.; Hou, C.; Yuan, W.; Wang, Z.; Zhang, J.; Jiang, L.; Karthik, L.; Li, B.; Ren, B.; Lv, K.; et al. Molecular networking assisted discovery and biosynthesis elucidation of the antimicrobial spiroketals epicospirocins. Chem. Commun. 2020, 56, 10171–10174. [Google Scholar] [CrossRef] [PubMed]
- Forseth, R.R.; Amaike, S.; Schwenk, D.; Affeldt, K.J.; Hoffmeister, D.; Schroeder, F.C.; Keller, N.P. Homologous NRPS-like gene clusters mediate redundant small-molecule biosynthesis in Aspergillus flavus. Angew. Chem. Int. Ed. 2013, 52, 1590–1594. [Google Scholar] [CrossRef]
- Yuan, B.; Liu, D.; Guan, X.; Yan, Y.; Zhang, J.; Zhang, Y.; Yang, D.; Ma, M.; Lin, W. Piperazine ring formation by a single-module NRPS and cleavage by an α-KG-dependent nonheme iron dioxygenase in brasiliamide biosynthesis. Appl. Microbiol. Biotechnol. 2020, 104, 6149–6159. [Google Scholar] [CrossRef] [PubMed]
- Wang, M.; Zhao, H. Characterization and engineering of the adenylation domain of a NRPS-like protein: A potential biocatalyst for aldehyde generation. ACS Catal. 2014, 4, 1219–1225. [Google Scholar] [CrossRef]
- Winkler, M.; Winkler, C.K. Trametes versicolor carboxylate reductase uncovered. Monatsh. Chem. 2016, 147, 575–578. [Google Scholar] [CrossRef]
- Sanchez, J.F.; Entwistle, R.; Corcoran, D.; Oakley, B.R.; Wang, C.C.C. Identification and molecular genetic analysis of the cichorine gene cluster in Aspergillus nidulans. MedChemComm 2012, 3, 997–1002. [Google Scholar] [CrossRef]
- Reyes-Fernández, E.Z.; Shi, Y.-M.; Grün, P.; Bode, H.B.; Bölker, M. An unconventional melanin biosynthesis pathway in Ustilago maydis. Appl. Environ. Microbiol. 2021, 87, e01510–e01520. [Google Scholar] [CrossRef]
- Araki, Y.; Awakawa, T.; Matsuzaki, M.; Cho, R.; Matsuda, Y.; Hoshino, S.; Shinohara, Y.; Yamamoto, M.; Kido, Y.; Inaoka, D.K.; et al. Complete biosynthetic pathways of ascofuranone and ascochlorin in Acremonium egyptiacum. Proc. Natl. Acad. Sci. USA 2019, 116, 8269–8274. [Google Scholar] [CrossRef]
- Lebar, M.D.; Cary, J.W.; Majumdar, R.; Carter-Wientjes, C.H.; Mack, B.M.; Wei, Q.; Uka, V.; De Saeger, S.; Di Mavungu, J.D. Identification and functional analysis of the aspergillic acid gene cluster in Aspergillus flavus. Fungal Genet. Biol. 2018, 116, 14–23. [Google Scholar] [CrossRef] [PubMed]
- Zhang, P.; Wang, X.; Fan, A.; Zheng, Y.; Liu, X.; Wang, S.; Zou, H.; Oakley, B.R.; Keller, N.P.; Yin, W.B. A cryptic pigment biosynthetic pathway uncovered by heterologous expression is essential for conidial development in Pestalotiopsis fici. Mol. Microbiol. 2017, 105, 469–483. [Google Scholar] [CrossRef] [PubMed]
- Wang, X.; Zhang, X.; Liu, L.; Xiang, M.; Wang, W.; Sun, X.; Che, Y.; Guo, L.; Liu, G.; Guo, L.; et al. Genomic and transcriptomic analysis of the endophytic fungus Pestalotiopsis fici reveals its lifestyle and high potential for synthesis of natural products. BMC Genom. 2015, 16, 28. [Google Scholar] [CrossRef] [PubMed]
- Sommers, C.H.; Raikowski, K.T. Inactivation of Escherichia coli Biosynthesis of LL-Z1272109, DH5α, and O157:H7 suspended in Butterfield’s phosphate buffer by gamma irradiation. J. Food Sci. 2008, 73, M87–M90. [Google Scholar] [CrossRef] [PubMed]
- Bond, C.; Tang, Y.; Li, L. Saccharomyces cerevisiae as a tool for mining, studying and engineering fungal polyketide synthases. Fungal Genet. Biol. 2016, 89, 52–61. [Google Scholar] [CrossRef] [PubMed]
- Ma, S.M.; Li, J.W.-H.; Choi, J.W.; Zhou, H.; Lee, K.K.M.; Moorthie, V.A.; Xie, X.; Kealey, J.T.; Da Silva, N.A.; Vederas, J.C.; et al. Complete reconstitution of a highly reducing iterative polyketide synthase. Science 2009, 326, 589–592. [Google Scholar] [CrossRef]
- Zhou, S.; Zhang, P.; Zhou, H.; Liu, X.; Li, S.-M.; Guo, L.; Li, K.; Yin, W.-B. A new regulator RsdA mediating fungal secondary metabolism has a detrimental impact on asexual development in Pestalotiopsis fici. Environ. Microbiol. 2019, 21, 416–426. [Google Scholar] [CrossRef]
- Bok, J.W.; Keller, N.P. Fast and easy method for construction of plasmid vectors using modified quick-change mutagenesis. Methods Mol. Biol. 2012, 944, 163–174. [Google Scholar] [CrossRef]
- Zou, Y.; Garcia-Borràs, M.; Tang, M.; Hirayama, Y.; Li, D.; Li, L.; Watanabe, K.; Houk, K.N.; Tang, Y. Enzyme-catalyzed cationic epoxide rearrangements in quinolone alkaloid biosynthesis. Nat. Chem. Biol. 2017, 13, 325–332. [Google Scholar] [CrossRef]
- Yu, X.; Li, S.-M. Prenyltransferases of the dimethylallyltryptophan synthase superfamily. Methods Enzymol. 2012, 516, 259–278. [Google Scholar] [CrossRef]
- Butler, N.; Kunjapur, A.M. Carboxylic acid reductases in metabolic engineering. J. Biotechnol. 2020, 307, 1–14. [Google Scholar] [CrossRef] [PubMed]
- Brandenburger, E.; Braga, D.; Kombrink, A.; Lackner, G.; Gressler, J.; Künzler, M.; Hoffmeister, D. Multi-genome analysis identifies functional and phylogenetic diversity of basidiomycete adenylate-forming reductases. Fungal Genet. Biol. 2018, 112, 55–63. [Google Scholar] [CrossRef] [PubMed]
- Yang, C.; Xu, Y.; Xu, K.; Tan, G.; Yu, X. Preparation of new halogenated diphenyl pyrazine analogs in Escherichia coli by a mono-module fungal nonribosomal peptide synthetase from Penicillium herquei. Tetrahedron Lett. 2018, 59, 3084–3087. [Google Scholar] [CrossRef]
- Kalb, D.; Lackner, G.; Hoffmeister, D. Functional and phylogenetic divergence of fungal adenylate-forming reductases. Appl. Environ. Microbiol. 2014, 80, 6175–6183. [Google Scholar] [CrossRef] [PubMed]
- Hai, Y.; Chen, M.; Huang, A.; Tang, Y. Biosynthesis of mycotoxin fusaric acid and application of a PLP-dependent enzyme for chemoenzymatic synthesis of substituted L-pipecolic acids. J. Am. Chem. Soc. 2020, 142, 19668–19677. [Google Scholar] [CrossRef]
- Wang, M.; Beissner, M.; Zhao, H. Aryl-aldehyde formation in fungal polyketides: Discovery and characterization of a distinct biosynthetic mechanism. Chem. Biol. 2014, 21, 257–263. [Google Scholar] [CrossRef]
- Fernández-Martínez, L.T.; Borsetto, C.; Gomez-Escribano, J.P.; Bibb, M.J.; Al-Bassam, M.M.; Chandra, G.; Bibb, M.J. New insights into chloramphenicol biosynthesis in Streptomyces venezuelae ATCC 10712. Antimicrob. Agents Chemother. 2014, 58, 7441–7450. [Google Scholar] [CrossRef] [PubMed]
- Herbst, D.A.; Townsend, C.A.; Maier, T. The architectures of iterative type I PKS and FAS. Nat. Prod. Rep. 2018, 35, 1046–1069. [Google Scholar] [CrossRef]
- Lo, H.C.; Entwistle, R.; Guo, C.J.; Ahuja, M.; Szewczyk, E.; Hung, J.H.; Chiang, Y.M.; Oakley, B.R.; Wang, C.C. Two separate gene clusters encode the biosynthetic pathway for the meroterpenoids austinol and dehydroaustinol in Aspergillus nidulans. J. Am. Chem. Soc. 2012, 134, 4709–4720. [Google Scholar] [CrossRef]
- Matsuda, Y.; Iwabuchi, T.; Fujimoto, T.; Awakawa, T.; Nakashima, Y.; Mori, T.; Zhang, H.; Hayashi, F.; Abe, I. Discovery of key dioxygenases that diverged the paraherquonin and acetoxydehydroaustin pathways in Penicillium brasilianum. J. Am. Chem. Soc. 2016, 138, 12671–12677. [Google Scholar] [CrossRef]
- Matsuda, Y.; Awakawa, T.; Abe, I. Reconstituted biosynthesis of fungal meroterpenoid andrastin A. Tetrahedron Lett. 2013, 69, 8199–8204. [Google Scholar] [CrossRef]
- Matsuda, Y.; Awakawa, T.; Itoh, T.; Wakimoto, T.; Kushiro, T.; Fujii, I.; Ebizuka, Y.; Abe, I. Terretonin biosynthesis requires methylation as essential step for cyclization. ChemBioChem 2012, 13, 1738–1741. [Google Scholar] [CrossRef] [PubMed]
- Matsuda, Y.; Wakimoto, T.; Mori, T.; Awakawa, T.; Abe, I. Complete biosynthetic pathway of anditomin: Nature’s sophisticated synthetic route to a complex fungal meroterpenoid. J. Am. Chem. Soc. 2014, 136, 15326–15336. [Google Scholar] [CrossRef] [PubMed]
- Kohlpaintner, C.; Schulte, M.; Falbe, J.; Lappe, P.; Weber, J. Aldehydes, aliphatic and araliphatic. In Ullmann’s Encyclopedia of Industrial Chemistry; John Wiley & Sons: Hoboken, NJ, USA, 2000. [Google Scholar]





| Substrate | [M + H]+ of PnlA Product | Conversion | |
|---|---|---|---|
| Calculated | Measured | ||
| orsellinic acid (1) | 153.1 | 153.1 | 22.6% |
| 5-methylorsellinic acid (5-MOA, 2) | 167.1 | 167.0 | 19.2% |
| 3-methylorsellinic acid (3-MOA, 3) | 167.1 | 166.9 | 58.8% |
| 3,5-dimethylorsellinic acid (DMOA, 4) | 181.1 | 181.0 | 100.0% |
| 2,4-dihydroxybenzoic acid (5) | 139.0 | 139.3 | 16.3% |
| 4-hydroxybenzoic acid (6) | 123.0 | 122.9 | 45.0% |
| 4-methoxybenzoic acid (7) | 137.1 | 137.0 | 40.0% |
| 4-butoxybenzoic acid (8) | 179.1 | 179.0 | 4.1% |
| 3,4-dihydroxybenzoic acid (9) | 139.0 | 139.0 | 53.9% |
| vanillic acid (10) | 153.1 | 152.9 | 95.8% |
| isovanillic acid (11) | 153.1 | 152.9 | 7.7% |
| 3,4-diaminobenzoic acid (12) | 137.1 | 136.8 | t.a. |
| 4-amino-3-nitrobenzoic acid (13) | 167.0 | 166.8 | 6.3% |
| 4-amino-2-chlorobenzoic acid (14) | 156.0 | 156.0 | 22.6% |
| benzoic acid (15) | 107.0 | n.d. | 0 |
| salicylic acid (16) | 123.0 | n.d. | 0 |
| 3-hydroxybenzoic acid (17) | 123.0 | n.d. | 0 |
| 2-nitrobenzoic acid (18) | 152.0 | n.d. | 0 |
| 3-nitrobenzoic acid (19) | 152.0 | n.d. | 0 |
| 4-nitrobenzoic acid (20) | 152.0 | n.d. | 0 |
| phthalic acid (21) | 151.0 or 135.0 | n.d. | 0 |
| cinnamic acid (22) | 133.1 | n.d. | 0 |
| coumaric acid (23) | 149.1 | n.d. | 0 |
| caffeic acid (24) | 165.1 | n.d. | 0 |
| ferulic acid (25) | 179.1 | n.d. | 0 |
| 4-hydroxyphenylacetic acid (26) | 137.1 | n.d. | 0 |
| 2-hydroxyphenylacetic acid (27) | 137.1 | n.d. | 0 |
| 4-aminophenylacetic acid (28) | 136.1 | n.d. | 0 |
Publisher’s Note: MDPI stays neutral with regard to jurisdictional claims in published maps and institutional affiliations. |
© 2022 by the authors. Licensee MDPI, Basel, Switzerland. This article is an open access article distributed under the terms and conditions of the Creative Commons Attribution (CC BY) license (https://creativecommons.org/licenses/by/4.0/).
Share and Cite
Li, Y.; Wei, P.-L.; Ran, H.; Fan, J.; Yin, W.-B. Characterization of a NRPS-like Protein from Pestalotiopsis fici for Aldehyde Generation. J. Fungi 2022, 8, 1001. https://doi.org/10.3390/jof8101001
Li Y, Wei P-L, Ran H, Fan J, Yin W-B. Characterization of a NRPS-like Protein from Pestalotiopsis fici for Aldehyde Generation. Journal of Fungi. 2022; 8(10):1001. https://doi.org/10.3390/jof8101001
Chicago/Turabian StyleLi, Yuanyuan, Peng-Lin Wei, Huomiao Ran, Jie Fan, and Wen-Bing Yin. 2022. "Characterization of a NRPS-like Protein from Pestalotiopsis fici for Aldehyde Generation" Journal of Fungi 8, no. 10: 1001. https://doi.org/10.3390/jof8101001
APA StyleLi, Y., Wei, P.-L., Ran, H., Fan, J., & Yin, W.-B. (2022). Characterization of a NRPS-like Protein from Pestalotiopsis fici for Aldehyde Generation. Journal of Fungi, 8(10), 1001. https://doi.org/10.3390/jof8101001

