Candidiasis by Candida glabrata, Candida nivariensis and Candida bracarensis in Galleria mellonella: Virulence and Therapeutic Responses to Echinocandins
Abstract
1. Introduction
2. Materials and Methods
2.1. Candida Strains and Growth Conditions
2.2. Survival of Galleria mellonella
2.3. Haemocyte Density Determination
2.4. Phagocytic Activity of Haemocytes
2.5. Antifungal Treatments with Echinocandins
2.6. Statistics
3. Results
3.1. Virulence of Candida in the G. mellonella Model
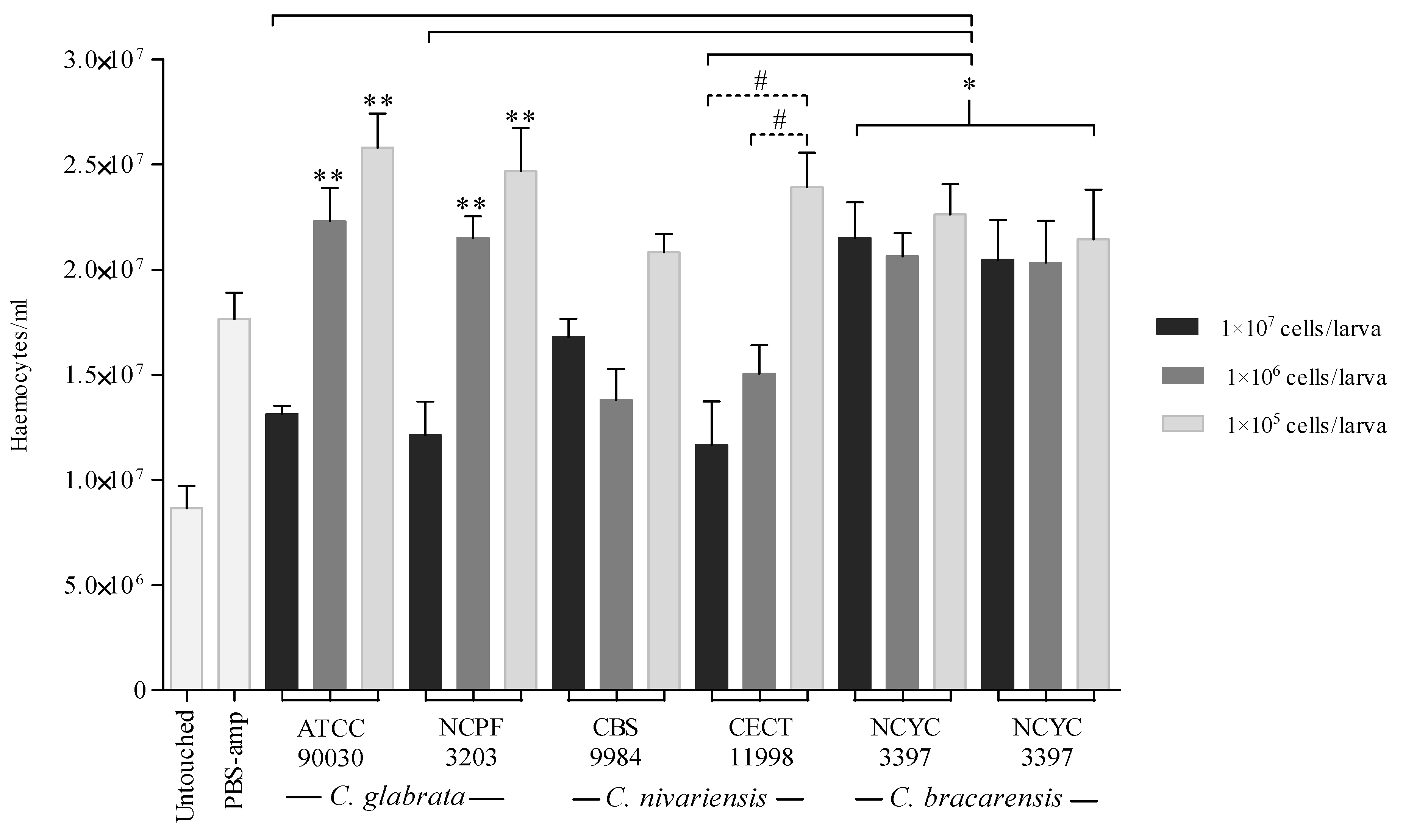
3.2. Haemocyte Production during Candidiasis
3.3. Phagocytic Activity of G. mellonella Haemocytes during Candidiasis
3.4. Efficacy of Echinocandins Treatment of Invasive Candidiasis in G. mellonella
4. Discussion
Author Contributions
Funding
Institutional Review Board Statement
Informed Consent Statement
Conflicts of Interest
References
- Quindós, G.; Marcos-Arias, C.; San-Millán, R.; Mateo, E.; Eraso, E. The continuous changes in the aetiology and epidemiology of invasive candidiasis: From familiar Candida albicans to multiresistant Candida auris. Int. Microbiol. 2018, 21, 107–119. [Google Scholar] [CrossRef] [PubMed]
- Bishop, J.A.; Chase, N.; Magill, S.S.; Kurtzman, C.P.; Fiandaca, M.J.; Merz, W.G. Candida bracarensis detected among isolates of Candida glabrata by peptide nucleic acid fluorescence in situ hybridization: Susceptibility data and documentation of presumed infection. J. Clin. Microbiol. 2008, 46, 443–446. [Google Scholar] [CrossRef] [PubMed]
- Asadzadeh, M.; Alanazi, A.F.; Ahmad, S.; Al-Sweih, N.; Khan, Z. Lack of detection of Candida nivariensis and Candida bracarensis among 440 clinical Candida glabrata sensu lato isolates in Kuwait. PLoS ONE 2019, 14, e0223920. [Google Scholar] [CrossRef] [PubMed]
- Cartier, N.; Chesnay, A.; N’Diaye, D.; Thorey, C.; Ferreira, M.; Haillot, O.; Bailly, E.; Desoubeaux, G. Candida nivariensis: Identification strategy in mycological laboratories. J. Mycol. Med. 2020, 30, 101042. [Google Scholar] [CrossRef] [PubMed]
- Kaan, Ö.; Koç, A.N.; Atalay, M.A.; Sarigüzel, F.M. Molecular epidemiology, antifungal susceptibility and virulence factors of Candida glabrata complex strains in Kayseri/Turkey. Microb. Pathog. 2021, 154, 104870. [Google Scholar] [CrossRef]
- Bhattacharya, S.; Sae-Tia, S.; Fries, B.C. Candidiasis and Mechanisms of Antifungal Resistance. Antibiotics 2020, 9, 312. [Google Scholar] [CrossRef]
- Beyda, N.D.; John, J.; Kilic, A.; Alam, M.J.; Lasco, T.M.; Garey, K.W. FKS mutant Candida glabrata: Risk factors and outcomes in patients with candidemia. Clin. Infect. Dis. 2014, 56, 819–825. [Google Scholar] [CrossRef]
- Mccarty, T.P.; Lockhart, S.R.; Moser, S.A.; Whiddon, J.; Zurko, J.; Pham, C.D.; Pappas, P.G. Echinocandin resistance among Candida isolates at an academic medical centre 2005–15: Analysis of trends and outcomes. J. Antimicrob. Chemother. 2018, 73, 1677–1680. [Google Scholar] [CrossRef]
- Coste, A.T.; Kritikos, A.; Li, J.; Khanna, N.; Goldenberger, D.; Garzoni, C.; Zehnder, C.; Boggian, K.; Neofytos, D.; Riat, A.; et al. Fungal Infection Network of Switzerland (FUNGINOS). Emerging echinocandin-resistant Candida albicans and glabrata in Switzerland. Infection 2020, 48, 761–766. [Google Scholar] [CrossRef]
- Al-Baqsami, Z.F.; Ahmad, S.; Khan, Z. Antifungal drug susceptibility, molecular basis of resistance to echinocandins and molecular epidemiology of fluconazole resistance among clinical Candida glabrata isolates in Kuwait. Sci. Rep. 2020, 10, 6238. [Google Scholar] [CrossRef]
- Katiyar, S.K.; Alastruey-Izquierdo, A.; Healey, K.; Johnson, M.E.; Perlin, D.; Edlind, T.D. Fks1 and Fks2 are functionally redundant but differentially regulated in Candida glabrata: Implications for echinocandin resistance. Antimicrob. Agents Chemother. 2012, 56, 6304–6309. [Google Scholar] [CrossRef] [PubMed]
- Shields, R.K.; Kline, E.G.; Healey, K.R.; Kordalewska, M.; Perlin, D.S.; Nguyen, M.H.; Clancy, C.J. Spontaneous Mutational Frequency and FKS Mutation Rates Vary by Echinocandin Agent against Candida glabrata. Antimicrob. Agents Chemother. 2018, 63, e01692-18. [Google Scholar] [CrossRef]
- Bhattacharya, S.; Fries, B.C. Enhanced Efflux Pump Activity in Old Candida glabrata Cells. Antimicrob. Agents Chemother. 2018, 62, e02227-17. [Google Scholar] [CrossRef]
- Rodrigues, C.F.; Henriques, M. Portrait of Matrix Gene Expression in Candida glabrata Biofilms with Stress Induced by Different Drugs. Genes 2018, 9, 205. [Google Scholar] [CrossRef]
- Lockhart, S.R.; Messer, S.A.; Gherna, M.; Bishop, J.A.; Merz, W.G.; Pfaller, M.A.; Diekema, D. Identification of Candida nivariensis and Candida bracarensis in a large global collection of Candida glabrata isolates: Comparison to the literature. J. Clin. Microbiol. 2009, 47, 1216–1217. [Google Scholar] [CrossRef] [PubMed]
- Arastehfar, A.; Daneshnia, F.; Salehi, M.-R.; Zarrinfar, H.; Khodavaisy, S.; Haas, P.-J.; Roudbary, M.; Najafzadeh, M.J.; Zomorodian, K.; Charsizadeh, A.; et al. Molecular characterization and antifungal susceptibility testing of Candida nivariensis from blood samples—An Iranian multicentre study and a review of the literature. J. Med. Microbiol. 2019, 68, 770–777. [Google Scholar] [CrossRef] [PubMed]
- Garzón, A.C.; Amado, D.; Robert, E.; Giraldo, C.M.P.; Le Pape, P. Impact of calmodulin inhibition by fluphenazine on susceptibility, biofilm formation and pathogenicity of caspofungin-resistant Candida glabrata. J. Antimicrob. Chemother. 2020, 75, 1187–1193. [Google Scholar] [CrossRef]
- Ames, L.; Duxbury, S.; Pawlowska, B.; Ho, H.-L.; Haynes, K.; Bates, S. Galleria mellonella as a host model to study Candida glabrata virulence and antifungal efficacy. Virulence 2017, 8, 1909–1917. [Google Scholar] [CrossRef]
- Mesa-Arango, A.C.; Forastiero, A.; Bernal-Martínez, L.; Cuenca-Estrella, M.; Mellado, E.; Zaragoza, O. The non-mammalian host Galleria mellonella can be used to study the virulence of the fungal pathogen Candida tropicalis and the efficacy of antifungal drugs during infection by this pathogenic yeast. Med. Mycol. 2013, 51, 461–472. [Google Scholar] [CrossRef]
- Hernando-Ortiz, A.; Mateo, E.; Ortega-Riveros, M.; De-La-Pinta, I.; Quindós, G.; Eraso, E. Caenorhabditis elegans as a Model System To Assess Candida glabrata, Candida nivariensis, and Candida bracarensis Virulence and Antifungal Efficacy. Antimicrob. Agents Chemother. 2020, 64, e00824-20. [Google Scholar] [CrossRef]
- Huang, X.-W.; Xu, M.-N.; Zheng, H.-X.; Wang, M.-L.; Li, L.; Zeng, K.; Li, D.-D. Pre-exposure to Candida glabrata protects Galleria mellonella against subsequent lethal fungal infections. Virulence 2020, 11, 1674–1684. [Google Scholar] [CrossRef]
- Marcos-Zambrano, L.; Bordallo-Cardona, M.; Borghi, E.; Falleni, M.; Tosi, D.; Muñoz, P.; Escribano, P.; Guinea, J. Candida isolates causing candidemia show different degrees of virulence in Galleria mellonella. Med. Mycol. 2020, 58, 83–92. [Google Scholar] [CrossRef]
- Pais, P.; Vagueiro, S.; Mil-Homens, D.; Pimenta, A.I.; Viana, R.; Okamoto, M.; Chibana, H.; Fialho, A.M.; Teixeira, M.C. A new regulator in the crossroads of oxidative stress resistance and virulence in Candida glabrata: The transcription factor CgTog1. Virulence 2020, 11, 1522–1538. [Google Scholar] [CrossRef] [PubMed]
- Cavalheiro, M.; Romão, D.; Santos, R.; Mil-Homens, D.; Pais, P.; Costa, C.; Galocha, M.; Pereira, D.; Takahashi-Nakaguchi, A.; Chibana, H.; et al. Role of CgTpo4 in Polyamine and Antimicrobial Peptide Resistance: Determining Virulence in Candida glabrata. Int. J. Mol. Sci. 2021, 22, 1376. [Google Scholar] [CrossRef]
- Gago, S.; Garcia-Rodas, R.; Cuesta, I.; Mellado, E.; Alastruey-Izquierdo, A. Candida parapsilosis, Candida orthopsilosis and Candida metapsilosis virulence in the non-conventional host Galleria mellonella. Virulence 2014, 5, 278–285. [Google Scholar] [CrossRef]
- Scorzoni, L.; De Lucas, M.P.; Mesa-Arango, A.C.; Fusco-Almeida, A.M.; Lozano, E.; Cuenca-Estrella, M.; Mendes-Giannini, M.J.; Zaragoza, O. Antifungal Efficacy during Candida krusei Infection in Non-Conventional Models Correlates with the Yeast In Vitro Susceptibility Profile. PLoS ONE 2013, 8, e60047. [Google Scholar] [CrossRef]
- Bouklas, T.; Alonso-Crisóstomo, L.; Székely, T., Jr.; Navarro, E.D.; Orner, E.P.; Smith, K.; Munshi, M.A.; Del Poeta, M.; Balazsi, G.; Fries, B.C. Generational distribution of a Candida glabrata population: Resilient old cells prevail, while younger cells dominate in the vulnerable host. PLoS Pathog. 2017, 13, e1006355. [Google Scholar] [CrossRef] [PubMed]
- Bhattacharya, S.; Bouklas, T.; Fries, B.C. Replicative Aging in Pathogenic Fungi. J. Fungi 2020, 7, 6. [Google Scholar] [CrossRef] [PubMed]
- Hernando-Ortiz, A.; Mateo, E.; Perez-Rodriguez, A.; de Groot, P.W.; Quindós, G.; Eraso, E. Virulence of Candida auris from different clinical origins in Caenorhabditis elegans and Galleria mellonella host models. Virulence 2021, 12, 1063–1075. [Google Scholar] [CrossRef]
- Borman, A.M.; Petch, R.; Linton, C.J.; Palmer, M.; Bridge, P.D.; Johnson, E.M. Candida nivariensis, an emerging pathogenic fungus with multidrug resistance to antifungal agents. J. Clin. Microbiol. 2008, 46, 933–938. [Google Scholar] [CrossRef]
- Hou, X.; Xiao, M.; Chen, S.C.-A.; Wang, H.; Yu, S.-Y.; Fan, X.; Kong, F.; Xu, Y.-C. Identification and antifungal susceptibility profiles of Candida nivariensis and Candida bracarensis in a multi-center Chinese collection of yeasts. Front. Microbiol. 2017, 8, 5. [Google Scholar] [CrossRef] [PubMed]
- Alobaid, K.; Asadzadeh, M.; Bafna, R.; Ahmad, S. First isolation of Candida nivariensis, an emerging fungal pathogen, in Kuwait. Med. Princ. Pract. 2021, 30, 80–84. [Google Scholar] [CrossRef]
- Bergin, D.; Brennan, M.; Kavanagh, K. Fluctuations in haemocyte density and microbial load may be used as indicators of fungal pathogenicity in larvae of Galleria mellonella. Microbes Infect. 2003, 5, 1389–1395. [Google Scholar] [CrossRef] [PubMed]
- Romão, D.; Cavalheiro, M.; Mil-Homens, D.; Santos, R.; Pais, P.; Costa, C.; Takahashi-Nakaguchi, A.; Fialho, A.; Chibana, H.; Teixeira, M.C. A New Determinant of Candida glabrata Virulence: The Acetate Exporter CgDtr1. Front. Cell. Infect. Microbiol. 2017, 7, 473. [Google Scholar] [CrossRef] [PubMed]
- Filler, E.E.; Liu, Y.; Solis, N.V.; Wang, L.; Diaz, L.F.; Edwards, J.E.; Filler, S.G.; Yeaman, M.R. Identification of Candida glabrata Transcriptional Regulators That Govern Stress Resistance and Virulence. Infect. Immun. 2021, 89, e00146-20. [Google Scholar] [CrossRef]
- Pham, C.D.; Iqbal, N.; Bolden, C.B.; Kuykendall, R.J.; Harrison, L.H.; Farley, M.M.; Schaffner, W.; Beldavs, Z.G.; Chiller, T.M.; Park, B.J.; et al. Role of FKS mutations in Candida glabrata: MIC values, echinocandin resistance, and multidrug resistance. Antimicrob. Agents Chemother. 2014, 58, 4690–4696. [Google Scholar] [CrossRef]
- Morales, S.; Dudiuk, C.; Vivot, W.; Szusz, W.; Córdoba, S.B.; Garcia-Effron, G. Phenotypic and molecular evaluation of echinocandin susceptibility of Candida. Antimicrob. Agents Chemother. 2017, 61, 7–10. [Google Scholar] [CrossRef]
- Spreghini, E.; Orlando, F.; Sanguinetti, M.; Posteraro, B.; Giannini, D.; Manso, E.; Barchiesi, F. Comparative effects of micafungin, caspofungin, and anidulafungin against a difficult-to-treat fungal opportunistic pathogen, Candida glabrata. Antimicrob. Agents Chemother. 2012, 56, 1215–1222. [Google Scholar] [CrossRef]
- Fernández-Silva, F.; Lackner, M.; Capilla, J.; Mayayo, E.; Sutton, D.; Castanheira, M.; Fothergill, A.W.; Lass-Flörl, C.; Guarro, J. In vitro antifungal susceptibility of Candida glabrata to caspofungin and the presence of FKS mutations correlate with treatment response in an immunocompromised murine model of invasive infection. Antimicrob. Agents Chemother. 2014, 58, 3646–3649. [Google Scholar] [CrossRef]
- Domán, M.; Kovács, R.; Perlin, D.; Kardos, G.; Gesztelyi, R.; Juhász, B.; Bozó, A.; Majoros, L. Dose escalation studies with caspofungin against Candida glabrata. J. Med. Microbiol. 2015, 64, 998–1007. [Google Scholar] [CrossRef]
- Healey, K.R.; Nagasaki, Y.; Zimmerman, M.; Kordalewska, M.; Park, S.; Zhao, Y.; Perlin, D.S. The gastrointestinal tract is a major source of echinocandin drug resistance in a murine model of Candida glabrata colonization and systemic dissemination. Antimicrob. Agents Chemother. 2017, 61, e01412-17. [Google Scholar] [CrossRef]
- Gil-Alonso, S.; Jauregizar, N.; Cantón, E.; Eraso, E.; Quindós, G. In Vitro fungicidal activities of anidulafungin, caspofungin, and micafungin against Candida glabrata, Candida bracarensis, and Candida nivariensis evaluated by time-kill studies. Antimicrob. Agents Chemother. 2015, 59, 3615–3618. [Google Scholar] [CrossRef] [PubMed][Green Version]
- López-Soria, L.M.; Bereciartua, E.; Santamaría, M.; Soria, L.M.; Hernández-Almaraz, J.L.; Mularoni, A.; Nieto, J.; Montejo, M. Primer caso de fungemia asociada a catéter por Candida nivariensis en la Península Ibérica. Rev. Iberoam. Micol 2013, 30, 69–71. [Google Scholar] [CrossRef] [PubMed]
- Mariné, M.; Serena, C.; Pastor, F.J.; Guarro, J. Combined antifungal therapy in a murine infection by Candida glabrata. J. Antimicrob. Chemother. 2006, 58, 1295–1298. [Google Scholar] [CrossRef]
- Howard, S.J.; Livermore, J.; Sharp, A.; Goodwin, J.; Gregson, L.; Alastruey-Izquierdo, A.; Perlin, D.; Warn, P.A.; Hope, W.W. Pharmacodynamics of echinocandins against Candida glabrata: Requirement for dosage escalation to achieve maximal antifungal activity in neutropenic hosts. Antimicrob. Agents Chemother. 2011, 55, 4880–4887. [Google Scholar] [CrossRef] [PubMed]
- Warren, T.A.; McTaggart, L.; Richardson, S.E.; Zhang, S.X. Candida bracarensis bloodstream infection in an immunocompromised patient. J. Clin. Microbiol. 2010, 48, 4677–4679. [Google Scholar] [CrossRef] [PubMed][Green Version]






| Strain | Origin | Collection Reference | Survival Percentages of G. mellonella at 120 h | Most Effective Antifungal Treatments (Survival Rate Increase of G. mellonella at 120 h) |
|---|---|---|---|---|
| Candida glabrata | ||||
| ATCC 90030 | Blood | American Type Culture Collection | 38.7% | Micafungin, 8 µg/larva (34.6%) Micafungin, 4 µg/larva (33%) Caspofungin, 4 µg/larva (33%) |
| NCPF 3203 | Blood | National Collection of Pathogenic Fungi | 39.2% | Anidulafungin, 4 µg/larva (45.8%) Micafungin, 8 µg/larva (42.5%) Caspofungin, 8 µg/larva (42.5%) |
| Candida nivariensis | ||||
| CBS 9984 | Bronchoalveolar lavage | Westerdijk Fungal Biodiversity Institute | 43.3% | Micafungin, 4 µg/larva (41.7%) Caspofungin, 8 µg/larva (38.4%) Caspofungin, 4 µg/larva (35%) |
| CECT 11998 | Blood | Spanish Type Culture | 45.8% | Caspofungin, 4 µg/larva (35.9%) Caspofungin, 8 µg/larva (34.2%) Micafungin, 4 µg/larva (29.2%) |
| Candida bracarensis | ||||
| NCYC 3397 | Blood | National Collection of Yeast Cultures | 42.5% | Anidulafungin, 4 µg/larva (29.2%) Caspofungin, 8 µg/larva (19.2%) Anidulafungin, 8 µg/larva (14.2%) |
| NCYC 3133 | Catheter | National Collection of Yeast Cultures | 55.7% | Micafungin, 4 µg/larva (24.3%) Anidulafungin, 8 µg/larva (21%) Caspofungin, 8 µg/larva (14.6%) |
Publisher’s Note: MDPI stays neutral with regard to jurisdictional claims in published maps and institutional affiliations. |
© 2021 by the authors. Licensee MDPI, Basel, Switzerland. This article is an open access article distributed under the terms and conditions of the Creative Commons Attribution (CC BY) license (https://creativecommons.org/licenses/by/4.0/).
Share and Cite
Hernando-Ortiz, A.; Eraso, E.; Quindós, G.; Mateo, E. Candidiasis by Candida glabrata, Candida nivariensis and Candida bracarensis in Galleria mellonella: Virulence and Therapeutic Responses to Echinocandins. J. Fungi 2021, 7, 998. https://doi.org/10.3390/jof7120998
Hernando-Ortiz A, Eraso E, Quindós G, Mateo E. Candidiasis by Candida glabrata, Candida nivariensis and Candida bracarensis in Galleria mellonella: Virulence and Therapeutic Responses to Echinocandins. Journal of Fungi. 2021; 7(12):998. https://doi.org/10.3390/jof7120998
Chicago/Turabian StyleHernando-Ortiz, Ainara, Elena Eraso, Guillermo Quindós, and Estibaliz Mateo. 2021. "Candidiasis by Candida glabrata, Candida nivariensis and Candida bracarensis in Galleria mellonella: Virulence and Therapeutic Responses to Echinocandins" Journal of Fungi 7, no. 12: 998. https://doi.org/10.3390/jof7120998
APA StyleHernando-Ortiz, A., Eraso, E., Quindós, G., & Mateo, E. (2021). Candidiasis by Candida glabrata, Candida nivariensis and Candida bracarensis in Galleria mellonella: Virulence and Therapeutic Responses to Echinocandins. Journal of Fungi, 7(12), 998. https://doi.org/10.3390/jof7120998

