Antifungal Activity and Biocontrol Mechanism of Fusicolla violacea J-1 against Soft Rot in Kiwifruit Caused by Alternaria alternata
Abstract
:1. Introduction
2. Materials and Methods
2.1. Pathogen and Antagonistic Strains
2.2. Antagonistic Strain Screening
2.3. Antagonistic Strain Identification
2.4. Antifungal Activity of Aseptic Filtrate from Fusicolla violacea against Alternaria alternata
2.5. Aseptic Filtrate Effects on the Conidial Germination of A. alternata
2.6. Antifungal Spectrum of the Strain J-1 and Its Aseptic Filtrate
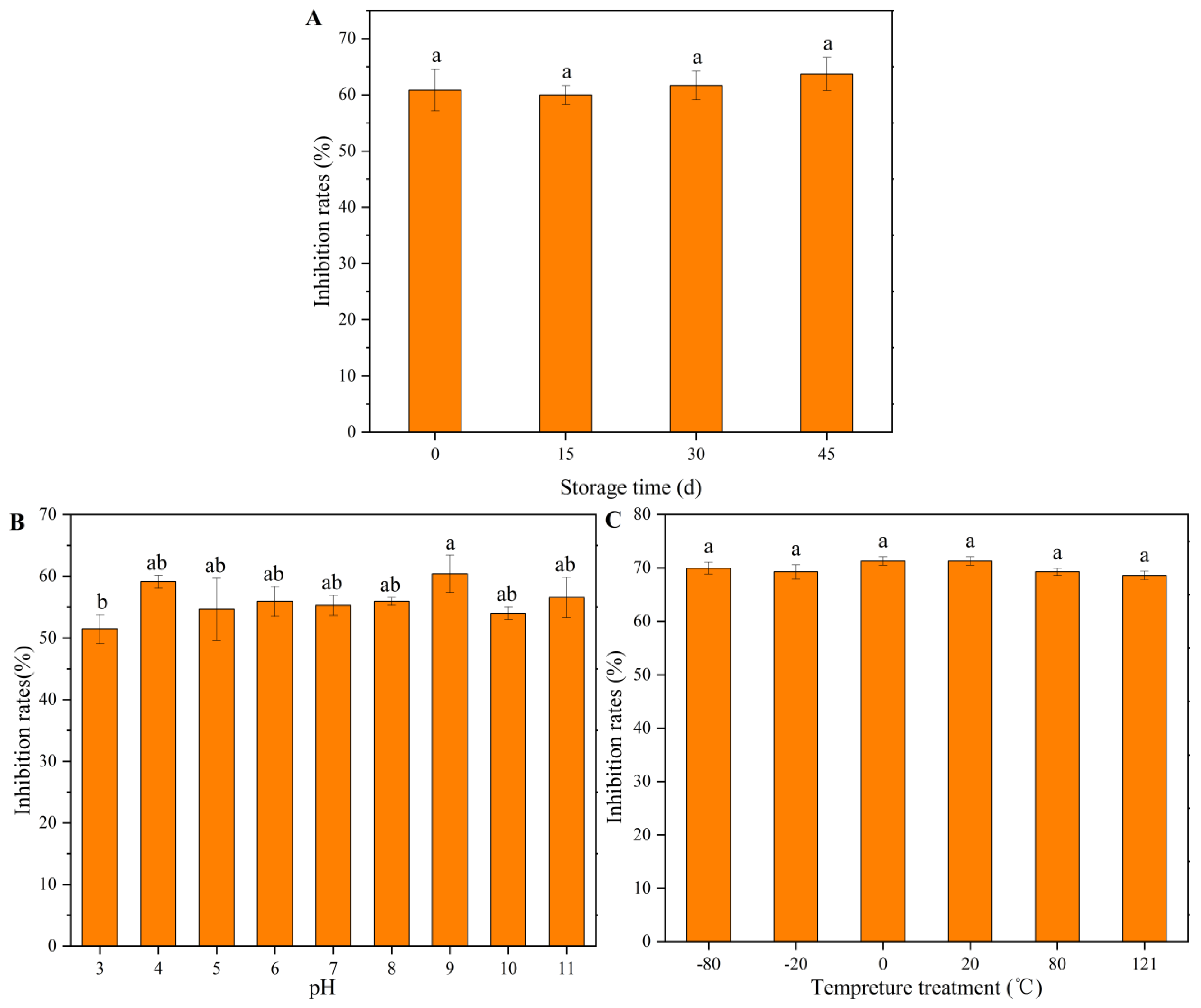
2.7. Aseptic Filtrate Stability
2.8. Propidium Iodide (PI) Staining and Mycelial Morphology
2.9. SEM
2.10. Electrical Conductivity
2.11. Intracellular Content Release
2.12. Chitinase and β-1,3-Glucanase Activities
2.13. Aseptic Filtrate Component Identification by GC–MS
2.14. In Vivo Antifungal Activity Assays
2.15. Statistical Analyses
3. Results
3.1. Screening and Identification of Antagonistic Fungi
3.2. Aseptic Filtrate Effects on the Mycelial Growth of A. alternata
3.3. Aseptic Filtrate Effects on the Conidia Germination of the Pathogen
3.4. Antifungal Spectrum of the Strain J-1 and Its Aseptic Filtrate
3.5. Aseptic Filtrate Stability
3.6. PI Staining and Mycelial Morphology
3.7. SEM
3.8. Cell Membrane Integrity of A. alternata with Aseptic Filtrate Treatment
3.9. Chitinase and β-1,3-Glucanase Enzyme Activities
3.10. GC–MS Analysis
3.11. Aseptic Filtrate Effects on Controlling the Decay of Kiwifruit
4. Discussion
5. Conclusions
Author Contributions
Funding
Institutional Review Board Statement
Informed Consent Statement
Data Availability Statement
Conflicts of Interest
References
- Wang, S.; Qiu, Y.; Zhu, F. Kiwifruit (Actinidia spp.): A Review of Chemical Diversity and Biological Activities. Food Chem. 2021, 350, 128469. [Google Scholar] [CrossRef]
- Li, L.; Pan, H.; Chen, M.; Zhang, S.; Zhong, C. Isolation and Identification of Pathogenic Fungi Causing Postharvest Fruit Rot of Kiwifruit (Actinidia chinensis) in China. J. Phytopathol. 2017, 165, 782–790. [Google Scholar] [CrossRef]
- Pan, L.; Zhao, X.; Chen, M.; Fu, Y.; Xiang, M.; Chen, J. Effect of Exogenous Methyl Jasmonate Treatment on Disease Resistance of Postharvest Kiwifruit. Food Chem. 2020, 305, 125483. [Google Scholar] [CrossRef]
- Hua, C.; Li, Y.; Wang, X.; Kai, K.; Su, M.; Shi, W.; Zhang, D.; Liu, Y. The Effect of Low and High Molecular Weight Chitosan on the Control of Gray Mold (Botrytis cinerea) on Kiwifruit and Host Response. Sci. Hortic. 2019, 246, 700–709. [Google Scholar] [CrossRef]
- Woudenberg, J.H.C.; Groenewald, J.Z.; Binder, M.; Crous, P.W. Alternaria Redefined. Stud. Mycol. 2013, 75, 171–212. [Google Scholar] [CrossRef] [Green Version]
- Wang, F.; Saito, S.; Michailides, T.J.; Xiao, C.-L. Postharvest Use of Natamycin to Control Alternaria Rot on Blueberry Fruit Caused by Alternaria alternata and A. arborescens. Postharvest Biol. Technol. 2021, 172, 111383. [Google Scholar] [CrossRef]
- Ahmad, T.; Liu, Y.; Shujian, H.; Moosa, A. First Record of Alternaria alternata Causing Postharvest Fruit Rot of Sweet Cherry (Prunus avium) in China. Plant. Dis. 2020, 104, 2030. [Google Scholar] [CrossRef] [Green Version]
- Xie, Z.; Li, M.; Wang, D.; Wang, F.; Shen, H.; Sun, G.; Feng, C.; Wang, X.; Chen, D.; Sun, X. Biocontrol Efficacy of Bacillus siamensis LZ88 against Brown Spot Disease of Tobacco Caused by Alternaria alternata. Biol. Control 2021, 154, 104508. [Google Scholar] [CrossRef]
- El-Gazzar, N.; Ismail, A.M. The Potential Use of Titanium, Silver and Selenium Nanoparticles in Controlling Leaf Blight of Tomato Caused by Alternaria alternata. Biocatal. Agric. Biotechnol. 2020, 27, 101708. [Google Scholar] [CrossRef]
- Kgatle, M.G.; Flett, B.; Truter, M.; Aveling, T.A.S. Control of Alternaria Leaf Blight Caused by Alternaria alternata on Sunflower Using Fungicides and Bacillus amyloliquefaciens. Crop. Prot. 2020, 132, 105146. [Google Scholar] [CrossRef]
- Ramires, F.; Masiello, M.; Somma, S.; Villani, A.; Susca, A.; Logrieco, A.; Luz, C.; Meca, G.; Moretti, A. Phylogeny and Mycotoxin Characterization of Alternaria Species Isolated from Wheat Grown in Tuscany, Italy. Toxins 2018, 10, 472. [Google Scholar] [CrossRef] [Green Version]
- Xing, L.; Zou, L.; Luo, R.; Wang, Y. Determination of Five Alternaria Toxins in Wolfberry Using Modified QuEChERS and Ultra-High Performance Liquid Chromatography-Tandem Mass Spectrometry. Food Chem. 2020, 311, 125975. [Google Scholar] [CrossRef]
- Puntscher, H.; Cobankovic, I.; Marko, D.; Warth, B. Quantitation of Free and Modified Alternaria Mycotoxins in European Food Products by LC-MS/MS. Food Control 2019, 102, 157–165. [Google Scholar] [CrossRef]
- Yekeler, H.; Bitmiş, K.; Ozçelik, N.; Doymaz, M.Z.; Çalta, M. Analysis of Toxic Effects of Alternaria Toxins on Esophagus of Mice by Light and Electron Microscopy. Toxicol. Pathol. 2001, 29, 492–497. [Google Scholar] [CrossRef] [Green Version]
- Steyn, P.S.; Rabie, C.J. Characterization of Magnesium and Calcium Tenuazonate from Phoma Sorghina. Phytochemistry 1976, 15, 1977–1979. [Google Scholar] [CrossRef]
- Dong, Z.; Liu, G.; Dong, Z.; Qian, Y.; An, Y.; Miao, J.; Zhen, Y. Induction of Mutagenesis and Transformation by the Extract of Alernaria alternata Isolated from Grains in Linxian, China. Carcinogenesis 1987, 8, 989–991. [Google Scholar] [CrossRef]
- Feliziani, E.; Lichter, A.; Smilanick, J.L.; Ippolito, A. Disinfecting Agents for Controlling Fruit and Vegetable Diseases after Harvest. Postharvest Biol. Technol. 2016, 122, 53–69. [Google Scholar] [CrossRef]
- El-Hendawy, H.H.; Zeid, I.M.; Mohamed, Z.K. The Biological Control of Soft Rot Disease in Melon Caused by Erwinia carotovora subsp. farotovora Using Pseudomonas fluorescens. Microbiol. Res. 1998, 153, 55–60. [Google Scholar] [CrossRef]
- Azaiez, S.; Ben Slimene, I.; Karkouch, I.; Essid, R.; Jallouli, S.; Djebali, N.; Elkahoui, S.; Limam, F.; Tabbene, O. Biological Control of the Soft Rot Bacterium Pectobacterium carotovorum by Bacillus amyloliquefaciens Strain Ar10 Producing Glycolipid-like Compounds. Microbiol. Res. 2018, 217, 23–33. [Google Scholar] [CrossRef]
- Tsuda, K.; Tsuji, G.; Higashiyama, M.; Ogiyama, H.; Umemura, K.; Mitomi, M.; Kubo, Y.; Kosaka, Y. Biological Control of Bacterial Soft Rot in Chinese Cabbage by Lactobacillus plantarum Strain BY under Field Conditions. Biol. Control 2016, 100, 63–69. [Google Scholar] [CrossRef]
- Alijani, Z.; Amini, J.; Ashengroph, M.; Bahramnejad, B. Antifungal Activity of Volatile Compounds Produced by Staphylococcus sciuri Strain MarR44 and Its Potential for the Biocontrol of Colletotrichum Nymphaeae, Causal Agent Strawberry Anthracnose. Int. J. Food Microbiol. 2019, 307, 108276. [Google Scholar] [CrossRef]
- Fira, D.; Dimkić, I.; Berić, T.; Lozo, J.; Stanković, S. Biological Control of Plant Pathogens by Bacillus species. J. Biotechnol. 2018, 285, 44–55. [Google Scholar] [CrossRef]
- Crous, P.W.; Lombard, L.; Sandoval-Denis, M.; Seifert, K.A.; Schroers, H.-J.; Chaverri, P.; Gené, J.; Guarro, J.; Hirooka, Y.; Bensch, K.; et al. Fusarium: More than a Node or a Foot-Shaped Basal Cell. Stud. Mycol. 2021, 98, 100116. [Google Scholar] [CrossRef]
- Veloso, J.; Díaz, J. The Non-Pathogenic Fusarium oxysporum Fo47 Induces Distinct Responses in Two Closely Related Solanaceae Plants against the Pathogen Verticillium dahliae. JoF 2021, 7, 344. [Google Scholar] [CrossRef]
- Elsharkawy, M.M.; Shimizu, M.; Takahashi, H.; Hyakumachi, M. The Plant Growth-Promoting Fungus Fusarium equiseti and the Arbuscular Mycorrhizal Fungus Glomus mosseae Induce Systemic Resistance against Cucumber mosaic virus in Cucumber Plants. Plant. Soil 2012, 361, 397–409. [Google Scholar] [CrossRef]
- Wei, J.; Wu, B. Chemistry and Bioactivities of Secondary Metabolites from the Genus Fusarium. Fitoterapia 2020, 146, 104638. [Google Scholar] [CrossRef]
- Yan, F.; Li, C.; Ye, X.; Lian, Y.; Wu, Y.; Wang, X. Antifungal Activity of Lipopeptides from Bacillus amyloliquefaciens MG3 against Colletotrichum gloeosporioides in Loquat Fruits. Biol. Control 2020, 146, 104281. [Google Scholar] [CrossRef]
- Etebarian, H.-R.; Sholberg, P.L.; Eastwell, K.C.; Sayler, R.J. Biological Control of Apple Blue Mold with Pseudomonas fluorescens. Can. J. Microbiol. 2005, 51, 591–598. [Google Scholar] [CrossRef]
- Booth, C. The Genus Fusarium. Commonwealth; Commonwealth Mycological Institute: Kew, UK, 1971; pp. 1–237. [Google Scholar]
- Gräfenhan, T.; Schroers, H.-J.; Nirenberg, H.I.; Seifert, K.A. An Overview of the Taxonomy, Phylogeny, and Typification of Nectriaceous Fungi in Cosmospora, Acremonium, Fusarium, Stilbella, and Volutella. Stud. Mycol. 2011, 68, 79–113. [Google Scholar] [CrossRef] [Green Version]
- Watanabe, M.; Yonezawa, T.; Lee, K.; Kumagai, S.; Sugita-Konishi, Y.; Goto, K.; Hara-Kudo, Y. Molecular Phylogeny of the Higher and Lower Taxonomy of the Fusarium Genus and Differences in the Evolutionary Histories of Multiple Genes. BMC Evol. Biol. 2011, 11, 322. [Google Scholar] [CrossRef] [Green Version]
- Zheng, T.; Liu, L.; Nie, Q.; Hsiang, T.; Sun, Z.; Zhou, Y. Isolation, Identification and Biocontrol Mechanisms of Endophytic Bacterium D61-A from Fraxinus hupehensis against Rhizoctonia solani. Biol. Control 2021, 158, 104621. [Google Scholar] [CrossRef]
- Li, X.; Jing, T.; Zhou, D.; Zhang, M.; Qi, D.; Zang, X.; Zhao, Y.; Li, K.; Tang, W.; Chen, Y.; et al. Biocontrol Efficacy and Possible Mechanism of Streptomyces Sp. H4 against Postharvest Anthracnose Caused by Colletotrichum fragariae on Strawberry Fruit. Postharvest Biol. Technol. 2021, 175, 111401. [Google Scholar] [CrossRef]
- Li, X.; Wang, W.; Liu, S.; Ruan, C.; Yi, L.; Deng, L.; Yao, S.; Zeng, K. Effects of the Peptide H-OOWW-NH2 and Its Derived Lipopeptide C12-OOWW-NH2 on Controlling of Citrus Postharvest Green Mold. Postharvest Biol. Technol. 2019, 158, 110979. [Google Scholar] [CrossRef]
- Liu, X.; Cai, J.; Chen, H.; Zhong, Q.; Hou, Y.; Chen, W.; Chen, W. Antibacterial Activity and Mechanism of Linalool against Pseudomonas aeruginosa. Microb. Pathog. 2020, 141, 103980. [Google Scholar] [CrossRef]
- Fiehn, O.; Wohlgemuth, G.; Scholz, M.; Kind, T.; Lee, D.Y.; Lu, Y.; Moon, S.; Nikolau, B. Quality Control for Plant Metabolomics: Reporting MSI-Compliant Studies: Quality Control in Metabolomics. Plant. J. 2008, 53, 691–704. [Google Scholar] [CrossRef]
- Zhang, D.; Bi, W.; Kai, K.; Ye, Y.; Liu, J. Effect of Chlorogenic Acid on Controlling Kiwifruit Postharvest Decay Caused by Diaporthe sp. LWT 2020, 132, 109805. [Google Scholar] [CrossRef]
- Kwon, J.-H.; Cheon, M.-G.; Kim, J.-W.; Kwack, Y.-B. Black Rot of Kiwifruit Caused by Alternaria alternata in Korea. Plant. Pathol. J. 2011, 27, 298. [Google Scholar] [CrossRef] [Green Version]
- Li, L.; Pan, H.; Liu, W.; Chen, M.Y.; Zhong, C.H. First Report of Alternaria alternata Causing Postharvest Rot of Kiwifruit in China. Plant. Dis. 2017, 101, 1046. [Google Scholar] [CrossRef]
- Naseri, B.; Younesi, H. Beneficial Microbes in Biocontrol of Root Rots in Bean Crops: A Meta-Analysis (1990–2020). Physiol. Mol. Plant. Pathol. 2021, 116, 101712. [Google Scholar] [CrossRef]
- Mazurier, S.; Corberand, T.; Lemanceau, P.; Raaijmakers, J.M. Phenazine Antibiotics Produced by Fluorescent pseudomonads Contribute to Natural Soil Suppressiveness to Fusarium wilt. ISME J. 2009, 3, 977–991. [Google Scholar] [CrossRef]
- Sharma, R.R.; Singh, D.; Singh, R. Biological Control of Postharvest Diseases of Fruits and Vegetables by Microbial Antagonists: A Review. Biol. Control 2009, 50, 205–221. [Google Scholar] [CrossRef]
- Gao, Y.; He, L.; Li, X.; Lin, J.; Mu, W.; Liu, F. Toxicity and Biochemical Action of the Antibiotic Fungicide Tetramycin on Colletotrichum scovillei. Pestic. Biochem. Physiol. 2018, 147, 51–58. [Google Scholar] [CrossRef]
- Klinsukon, C.; Ekprasert, J.; Boonlue, S. Using Arbuscular Mycorrhizal Fungi (Gigaspora margarita) as a Growth Promoter and Biocontrol of Leaf Blight Disease in Eucalyptus Seedlings Caused by Cylindrocladium quinqueseptatum. Rhizosphere 2021, 20, 100450. [Google Scholar] [CrossRef]
- Messa, V.R. Biocontrol by Induced Systemic Resistance Using Plant Growth Promoting Rhizobacteria. Rhizosphere 2021, 17, 100323. [Google Scholar] [CrossRef]
- Kalantari, S.; Marefat, A.; Naseri, B.; Hemmati, R. Improvement of Bean Yield and Fusarium Root Rot Biocontrol Using Mixtures of Bacillus, Pseudomonas and Rhizobium. Trop. Plant Pathol. 2018, 43, 499–505. [Google Scholar] [CrossRef]
- Gerlach, W.; Nirenberg, H. The Genus Fusarium: A Pictorial Atlas. Mycologia 1983, 75, 1110. [Google Scholar] [CrossRef]
- Hoch, H.C.; Abawi, G.S. Mycoparasitism of Oospores of Pythium ultimum by Fusarium merismoides. Mycologia 1979, 71, 621. [Google Scholar] [CrossRef]
- Farhat, H.; Urooj, F.; Tariq, A.; Sultana, V.; Ansari, M.; Ahmad, V.U.; Ehteshamul-Haque, S. Evaluation of antimicrobial potential of endophytic fungi associated with healthy plants and characterization of compounds produced by endophytic Cephalosporium and Fusarium solani. Biocatal. Agric. Biotechnol. 2019, 18, 101043. [Google Scholar] [CrossRef]
- Gao, Z.; Zhang, R.; Xiong, B. Management of Postharvest Diseases of Kiwifruit with a Combination of the Biocontrol Yeast Candida oleophila and an Oligogalacturonide. Biol. Control 2021, 156, 104549. [Google Scholar] [CrossRef]
- Sui, Y.; Wang, Z.; Zhang, D.; Wang, Q. Oxidative Stress Adaptation of the Antagonistic Yeast, Debaryomyces Hansenii, Increases Fitness in the Microenvironment of Kiwifruit Wound and Biocontrol Efficacy against Postharvest Diseases. Biol. Control 2021, 152, 104428. [Google Scholar] [CrossRef]
- Cheng, L.; Nie, X.; Jiang, C.; Li, S. The Combined Use of the Antagonistic Yeast Hanseniaspora uvarum with β-Aminobutyric Acid for the Management of Postharvest Diseases of Kiwifruit. Biol. Control 2019, 137, 104019. [Google Scholar] [CrossRef]
- Kurniawan, O.; Wilson, K.; Mohamed, R.; Avis, T.J. Bacillus and Pseudomonas Spp. Provide Antifungal Activity against Gray Mold and Alternaria Rot on Blueberry Fruit. Biol. Control 2018, 126, 136–141. [Google Scholar] [CrossRef]
- Ghosh, R.; Barman, S.; Khatun, J.; Mandal, N.C. Biological Control of Alternaria alternata Causing Leaf Spot Disease of Aloe Vera Using Two Strains of Rhizobacteria. Biol. Control 2016, 97, 102–108. [Google Scholar] [CrossRef]
- Li, Z.; Guo, B.; Wan, K.; Cong, M.; Huang, H.; Ge, Y. Effects of Bacteria-Free Filtrate from Bacillus megaterium Strain L2 on the Mycelium Growth and Spore Germination of Alternaria alternata. Biotechnol. Biotechnol. Equip. 2015, 29, 1062–1068. [Google Scholar] [CrossRef] [Green Version]
- Aneja, M.; Gianfagna, T.J.; Hebbar, P.K. Trichoderma harzianum Produces Nonanoic Acid, an Inhibitor of Spore Germination and Mycelial Growth of Two Cacao Pathogens. Physiol. Mol. Plant. Pathol. 2005, 67, 304–307. [Google Scholar] [CrossRef]
- Jang, Y.-W.; Jung, J.-Y.; Lee, I.-K.; Kang, S.-Y.; Yun, B.-S. Nonanoic Acid, an Antifungal Compound from Hibiscus syriacus Ggoma. Mycobiology 2012, 40, 145–146. [Google Scholar] [CrossRef] [Green Version]
- Sari, M.; Chung, Y.; Agatha, F.; Kim, H.K. Evaluation of Antioxidant and Antimicrobial Activity of Phenolic Lipids Produced by the Transesterification of 4-Hydroxyphenylacetic Acid and Triglycerides. Appl. Biol. Chem. 2019, 62, 5. [Google Scholar] [CrossRef]
- Karunanayake, L.C.; Adikaram, N.; Kumarihamy, B.M.M.; Bandara, B.M.R.; Abayasekara, C. Role of Antifungal Gallotannins, Resorcinols and Chitinases in the Constitutive Defence of Immature Mango (Mangifera indica L.) against Colletotrichum gloeosporioides: Role of Antifungal Substances in Mango Defence. J. Phytopathol. 2011, 159, 657–664. [Google Scholar] [CrossRef]
- Romagnoli, C.; Baldisserotto, A.; Vicentini, C.; Mares, D.; Andreotti, E.; Vertuani, S.; Manfredini, S. Antidermatophytic Action of Resorcinol Derivatives: Ultrastructural Evidence of the Activity of Phenylethyl Resorcinol against Microsporum gypseum. Molecules 2016, 21, 1306. [Google Scholar] [CrossRef] [Green Version]
- Guigón-López, C.; Holguín-Ibarra, P.D.; Torres-Zapien, J.H.; García- Cruz, I.; Villapando, I.; Salas-Salazar, N.A. Metarhizium Anisopliae Reduces Conidial Germination and Mycelium Growth of the Apple Gray Mold Botrytis cinerea. Biol. Control 2021, 160, 104660. [Google Scholar] [CrossRef]
- Rajaofera, M.J.N.; Wang, Y.; Dahar, G.Y.; Jin, P.; Fan, L.; Xu, L.; Liu, W.; Miao, W. Volatile Organic Compounds of Bacillus atrophaeus HAB-5 Inhibit the Growth of Colletotrichum gloeosporioides. Pestic. Biochem. Physiol. 2019, 156, 170–176. [Google Scholar] [CrossRef]
- Deepthi, B.V.; Poornachandra Rao, K.; Chennapa, G.; Naik, M.K.; Chandrashekara, K.T.; Sreenivasa, M.Y. Antifungal Attributes of Lactobacillus plantarum MYS6 against Fumonisin Producing Fusarium proliferatum Associated with Poultry Feeds. PLoS ONE 2016, 11, e0155122. [Google Scholar] [CrossRef] [Green Version]
- Liu, Q.; Yin, G.; Zhang, J. The Suitable Condition for Lactobacillus parafarraginis ZH1 Producing Hexadecanoic Acid and Inhibiting Pathogenic and Spoilage Yeasts. Biol. Control 2020, 149, 104318. [Google Scholar] [CrossRef]
- Vanitha, V.; Vijayakumar, S.; Nilavukkarasi, M.; Punitha, V.N.; Vidhya, E.; Praseetha, P.K. Heneicosane—A Novel Microbicidal Bioactive Alkane Identified from Plumbago zeylanica L. Ind. Crop. Prod. 2020, 154, 112748. [Google Scholar] [CrossRef]
- Barupal, T.; Meena, M.; Sharma, K. Inhibitory Effects of Leaf Extract of Lawsonia inermis on Curvularia Lunata and Characterization of Novel Inhibitory Compounds by GC–MS Analysis. Biotechnol. Rep. 2019, 23, e00335. [Google Scholar] [CrossRef]
- Singh, A.; Xu, Y.-J. The Cell Killing Mechanisms of Hydroxyurea. Genes 2016, 7, 99. [Google Scholar] [CrossRef] [Green Version]













| Treatment | Colony Diameter (mm) | Inhibition Rate (%) |
|---|---|---|
| 200 mL L−1 AF | 18.50 ± 0.21 d | 66.8 ± 0.4 a |
| 100 mL L−1 AF | 25.67 ± 0.26 c | 53.9 ± 1.7 b |
| 50 mL L−1 AF | 33.00 ± 0.95 b | 40.7 ± 0.5 c |
| Control | 55.67 ± 0.22 a | - |
| Treatment | Conidia Germination Rate (%) | Inhibition Rate (%) |
|---|---|---|
| 200 mL L−1 AF | 18.4 ± 4.2 d | 80.0 ± 5.6 a |
| 100 mL L−1 AF | 38.7 ± 5.7 c | 57.8 ± 4.3 b |
| 50 mL L−1 AF | 71.1 ± 8.1 b | 22.5 ± 7.8 c |
| Control | 91.4 ± 1.4 a | - |
| Number | Pathogens | Disease | Inhibition Rate by Strain J-1 (%) | Inhibition Rate by AF (%) |
|---|---|---|---|---|
| 1 | Diaporthe eres | Black spot on kiwifruit | 75.1 ± 0.9 a | 75.23 ± 0.80 a |
| 2 | Epicoccum sorghinum | Leaf Sheath and Spot on Maize | 34.4 ± 1.7 d | 46.0 ± 0.8 c |
| 3 | Fusarium graminearum | Fusarium head blight on wheat | 62.4 ± 0.7 b | 42.7 ± 2.8 c |
| 4 | Phomopsis sp. | Soft rot on kiwifruit | 56.6 ± 1.4 b | 69.2 ± 0.9 b |
| 5 | Botryosphaeria dothidea | Soft rot on kiwifruit | 52.0 ± 5.2 c | 46.2 ± 2.1 c |
| Number | Compound | Structure | RT | Molecular Formula |
|---|---|---|---|---|
| 1 | Nonanoic acid | ![]() | 7.837 | C9H18O2 |
| 2 | 4-Hydroxyphen-ylacetic acid | ![]() | 9.606 | C8H8O3 |
| 3 | Resorcinol | ![]() | 8.119 | C6H6O2 |
| 4 | Oxalic acid | ![]() | 6.002 | C2H2O4 |
| 5 | Hexadecanoic acid | ![]() | 11.754 | C16H32O2 |
| 6 | Heptadecanoic acid | ![]() | 12.213 | C17H34O2 |
| 7 | 10-Octadecenoic acid | ![]() | 12.553 | C18H34O2 |
| 8 | Octadecane | ![]() | 11.989 | C18H38 |
| 9 | Hydroxyurea | ![]() | 6.928 | CH4N2O2 |
| 10 | Heneicosane | ![]() | 12.931 | C21H44 |
| 11 | Docosane | ![]() | 13.256 | C22H46 |
Publisher’s Note: MDPI stays neutral with regard to jurisdictional claims in published maps and institutional affiliations. |
© 2021 by the authors. Licensee MDPI, Basel, Switzerland. This article is an open access article distributed under the terms and conditions of the Creative Commons Attribution (CC BY) license (https://creativecommons.org/licenses/by/4.0/).
Share and Cite
Li, W.; Long, Y.; Mo, F.; Shu, R.; Yin, X.; Wu, X.; Zhang, R.; Zhang, Z.; He, L.; Chen, T.; et al. Antifungal Activity and Biocontrol Mechanism of Fusicolla violacea J-1 against Soft Rot in Kiwifruit Caused by Alternaria alternata. J. Fungi 2021, 7, 937. https://doi.org/10.3390/jof7110937
Li W, Long Y, Mo F, Shu R, Yin X, Wu X, Zhang R, Zhang Z, He L, Chen T, et al. Antifungal Activity and Biocontrol Mechanism of Fusicolla violacea J-1 against Soft Rot in Kiwifruit Caused by Alternaria alternata. Journal of Fungi. 2021; 7(11):937. https://doi.org/10.3390/jof7110937
Chicago/Turabian StyleLi, Wenzhi, Youhua Long, Feixu Mo, Ran Shu, Xianhui Yin, Xiaomao Wu, Rongquan Zhang, Zhuzhu Zhang, Linan He, Tingting Chen, and et al. 2021. "Antifungal Activity and Biocontrol Mechanism of Fusicolla violacea J-1 against Soft Rot in Kiwifruit Caused by Alternaria alternata" Journal of Fungi 7, no. 11: 937. https://doi.org/10.3390/jof7110937
APA StyleLi, W., Long, Y., Mo, F., Shu, R., Yin, X., Wu, X., Zhang, R., Zhang, Z., He, L., Chen, T., & Chen, J. (2021). Antifungal Activity and Biocontrol Mechanism of Fusicolla violacea J-1 against Soft Rot in Kiwifruit Caused by Alternaria alternata. Journal of Fungi, 7(11), 937. https://doi.org/10.3390/jof7110937











