Fusarium Consortium Populations Associated with Asparagus Crop in Spain and Their Role on Field Decline Syndrome
Abstract
1. Introduction
2. Materials and Methods
2.1. Asparagus Fields Sampling
2.2. Analysis of Plant Samples
2.3. Analysis of Soil Samples
2.4. Morphological Characterization of Fungal Isolates
2.5. Molecular Characterization of Fungal Isolates
2.6. Pathogenicity Tests of Plant and Soil Isolates
2.7. Phylogenetic Analysis
2.8. Genetic Diversity
2.9. Statistical Analysis of Data
3. Results
3.1. Characterization of Fusarium Soil Communities and Correlation with Climatic Features
3.2. Characterization of Fusarium Plant Communities
3.3. Pathogenicity of Fusarium Species Associated to Asparagus
3.4. Phylogenetic Analysis
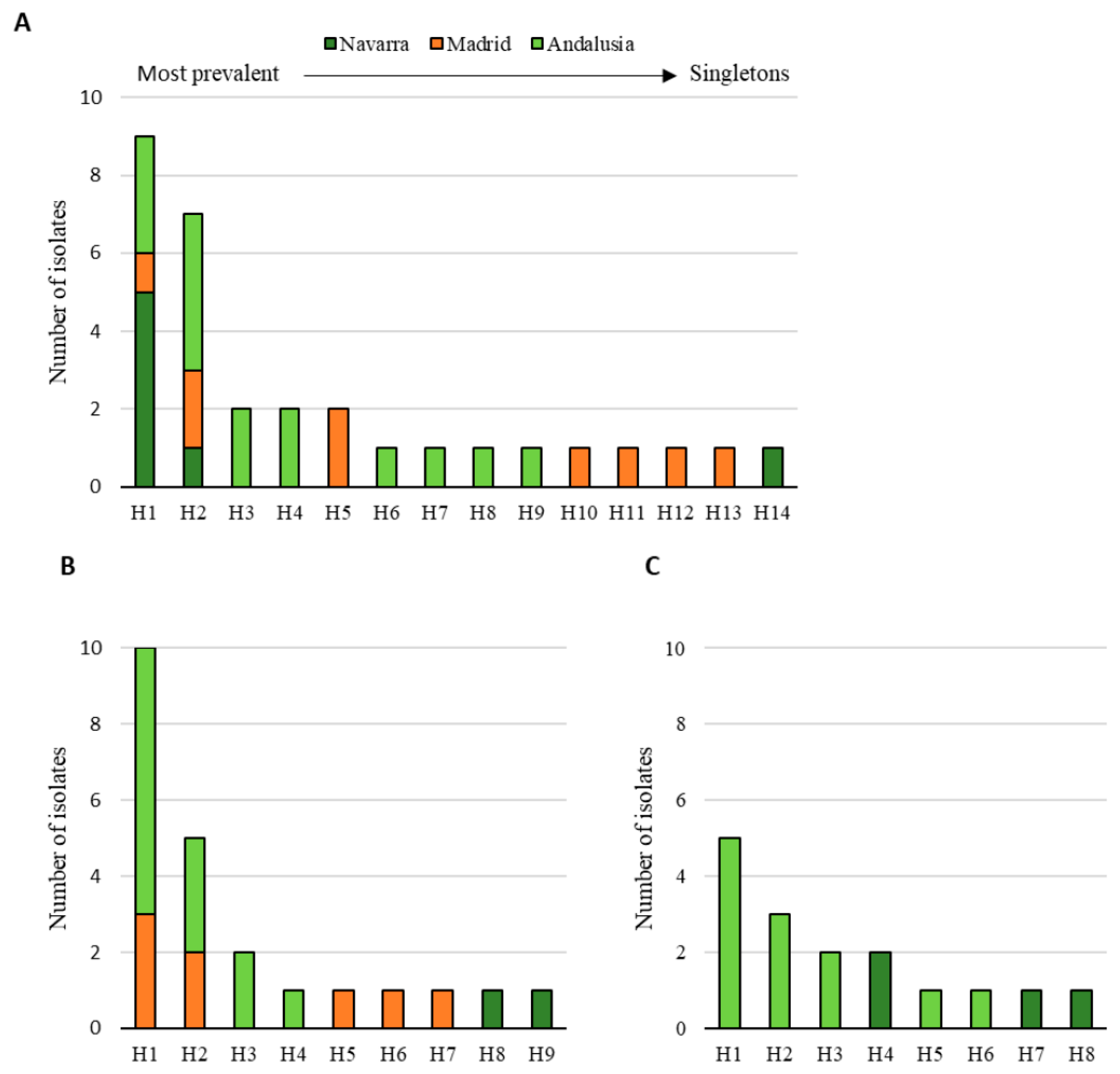
3.5. Genetic Diversity
4. Discussion
5. Conclusions
Supplementary Materials
Author Contributions
Funding
Conflicts of Interest
References
- FAOSTAT. Food and Agriculture Organization of the United Nations. 2018. Available online: http://www.fao.org/faostat/es/#rankings/countries_by_commodity_exports (accessed on 14 May 2020).
- FEPEX. Federación Española de Asociaciones de Productores Exportadores de Frutas, Hortalizas, Flores y Plantas Vivas. 2019. Available online: https://www.fepex.es/datos-del-sector/exportacion-importacion-espa%C3%B1ola-frutas-hortalizas (accessed on 14 May 2020).
- Elena, K. Asparagus Diseases. Eur. J. Plant Sci. Biotechnol. 2007, 1, 76–83. [Google Scholar]
- Unterecker, H. Fusarium-Wurzelfäule an Spargeljungpflanzen. Gemüse 1972, 8, 147–148. [Google Scholar]
- Smith, A.K.; Peterson, R.L. Examination of primary roots of Asparagus infected by Fusarium. Scanning Electron Microsc. 1983, 3, 1475–1480. [Google Scholar]
- Hartung, A.C.; Stephens, C.T. Effects of allelopathic substances produced by asparagus on incidence and severity of asparagus decline due to Fusarium crown rot. J. Chem. Ecol. 1983, 9, 1163–1173. [Google Scholar] [CrossRef]
- Nigh, E.L. Stress factors influencing Fusarium infection in asparagus. Acta Hortic. 1990, 271, 315–322. [Google Scholar] [CrossRef]
- Elena, K.; Kranias, L. Fusarium spp. as a cause of crown and root rot of asparagus in Greece. Eur. Mediterr. Plant Prot. Organ. Bull. 1996, 26, 407–411. [Google Scholar] [CrossRef]
- Elmer, W.H. Fusarium diseases of asparagus. In Fusarium: Paul E. Nelson Memorial Symposium; Summerell, B.A., Leslie, J.F., Backhouse, D., Bryden, W.L., Burgess, L.W., Eds.; APS Press: St. Paul, MN, USA, 2001; pp. 248–262. [Google Scholar]
- Elmer, W.H. Management of Fusarium crown and root rot of asparagus. Crop Prot. 2015, 73, 2–6. [Google Scholar] [CrossRef]
- Schofield, P.E. Asparagus decline and replant problem in New Zealand. N. Z. J. Crop Hortic. Sci. 1991, 19, 213–220. [Google Scholar] [CrossRef][Green Version]
- Cohen, S.I.; Heald, F.D. A wilt and root rot of asparagus caused by Fusarium oxysporum (Schlecht.). Plant Dis. Rep. 1941, 25, 503–509. [Google Scholar]
- Bakel, J.M.M.; Kerstens, J.J.A. Foot rot in asparagus caused by Fusarium oxysporum f. sp. asparagi. Neth. J. Plant Pathol. 1970, 76, 320–325. [Google Scholar] [CrossRef]
- Schreuder, W.; Lamprecht, S.C.; Marasas, W.F.O.; Calitz, F.J. Pathogenicity of three Fusarium species associated with asparagus decline in South Africa. Plant Dis. 1995, 79, 177–181. [Google Scholar] [CrossRef]
- Blok, W.J.; Bollen, G.J. Inoculum sources of Fusarium oxysporum f. sp. asparagi in asparagus production. Ann. Appl. Biol. 1996, 128, 219–231. [Google Scholar] [CrossRef]
- Baayen, R.P.; van den Boogert, P.H.J.F.; Bonants, P.J.M.; Poll, J.T.K.; Blok, W.J.; Waalwijk, C. Fusarium redolens f. sp. asparagi, causal agent of asparagus root rot, crown rot and spear rot. Eur. J. Plant Pathol. 2000, 106, 907–912. [Google Scholar] [CrossRef]
- Corpas-Hervias, C.; Melero-Vara, J.M.; Molinero-Ruiz, M.L.; Zurera-Muñoz, C.; Basallote-Ureba, M.J. Characterization of isolates of Fusarium spp. obtained from asparagus in Spain. Plant Dis. 2006, 90, 1441–1451. [Google Scholar] [CrossRef]
- Borrego-Benjumea, A.; Basallote-Ureba, M.J.; Melero-Vara, J.M.; Abbasi, P.A. Characterization of Fusarium isolates from asparagus fields in Southwestern Ontario and influence of soil organic amendments on Fusarium crown and root rot. Phytopathology 2014, 104, 403–415. [Google Scholar] [CrossRef]
- Papizadeh, M.; van Diepeningen, A.D.; Zamanizadeh, H.R. Fusarium ershadii sp. nov., a Pathogen on Asparagus officinalis and Musa acuminate. Eur. J. Plant Pathol. 2018, 151, 689. [Google Scholar] [CrossRef]
- Tello, J.C.; González, M.L.; Lacasa, A. The “Fusariosis” (disease produced by Fusarium spp.) of aspargus in Spain. In Proceedings of the 6th International Asparagus Symposium; Lougheed, E.C., Tiessen, H., Eds.; University of Guelph: Guelph, ON, Canada, 1985; pp. 126–135. [Google Scholar]
- Messiaen, C.M.; Casini, R. Recherches sur les fusarioses IV. La sytématique des Fusarium. Ann. Epiphyt. 1968, 19, 387–454. [Google Scholar]
- Blok, W.J.; Bollen, G.J. Host specificity and vegetative compatibility of Dutch isolates of Fusarium oxysporum f. sp. asparagi. Can. J. Bot. 1997, 75, 383–393. [Google Scholar] [CrossRef]
- Lassaga, S.L.; Camadro, E.L.; Babinec, F.J. Assessing genetic variability for Fusarium resistance in three asparagus populations with an in vitro assay. Euphytica 1998, 103, 131–136. [Google Scholar] [CrossRef]
- Fravel, D.; Olivain, C.; Alabouvette, C. Fusarium oxysporum and its biocontrol. New Phytol. 2003, 157, 493–502. [Google Scholar] [CrossRef]
- He, C.Y.; Hsiang, T.; Wolyng, D.J. Induction of syfrondsic resistance and pathogen defence responses in Asparagus officinalis inoculated with non-pathogenic strains of Fusarium oxysporum. Plant Pathol. 2002, 51, 225–230. [Google Scholar] [CrossRef]
- Kottek, M.; Grieser, J.; Beck, C.; Rudolf, B.; Rubel, F. World Map of the Köppen-Geiger climate classification updated. Meteorol. Z. 2006, 15, 259–263. [Google Scholar] [CrossRef]
- Komada, H. Development of a selective medium for quantitative isolation of Fusarium oxysporum from natural soil. Rev. Plant Prot. Res. 1975, 8, 114–125. [Google Scholar]
- Tello, J.C.; Vares, F.; Lacasa, A. Análisis de muestras. In Manual de Laboratorio. Diagnóstico de Hongos, Bacterias y Nematodos Fitopatógenos; MAPA: Madrid, Spain, 1991; pp. 9–48. [Google Scholar]
- Nelson, P.E.; Toussoun, T.A.; Marasas, W.F.O. Fusarium Species. An Illustrated Manual for Identification; The Pennsylvania State University Press: University Park, PA, USA, 1983. [Google Scholar]
- Leslie, J.F.; Summerell, B.A. The Fusarium Laboratory Manual; Blackwell Publishing: Ames, IA, USA, 2006. [Google Scholar]
- O’Donnell, K.; Kistler, H.C.; Cigelnik, E.; Ploetz, R.C. Multiple evolutionary origins of the fungus causing Panama disease of banana: Concordant evidence from nuclear and mitochondrial gene genealogies. Proc. Natl. Acad. Sci. USA 1998, 95, 2044–2049. [Google Scholar] [CrossRef] [PubMed]
- Shaner, G.; Finney, R.E. The effect of nitrogen fertilization on the expression of slow-mildewing resistance in Knoxwheat. Phytopathology 1977, 67, 1051–1056. [Google Scholar] [CrossRef]
- O’Donnell, K.; Sutton, D.A.; Fothergill, A.; McCarthy, D.; Rinaldi, M.G.; Brandt, M.E.; Zhang, N.; Geiser, D.M. Molecular phylogenetic diversity, multilocus haplotype nomenclature, and in vitro antifungal resistance within the Fusarium solani species complex. J. Clin. Microbiol. 2008, 46, 2477–2490. [Google Scholar] [CrossRef] [PubMed]
- O’Donnell, K.; Sutton, D.; Rinaldi, M.; Sarver, B.; Balajee, S.; Schroers, H.; Summerbell, R.; Robert, V.; Crous, P.; Zhang, N.; et al. Internet-accessible DNA sequence database for identifying fusaria from human and animal infections. J. Clin. Microbiol. 2010, 48, 3708–3718. [Google Scholar] [CrossRef]
- O’Donnell, K.; Rooney, A.P.; Proctor, R.H.; Brown, D.W.; McCormick, S.P.; Ward, T.J.; Frandsen, R.J.; Lysøe, E.; Rehner, S.A.; Aoki, T.; et al. Phylogenetic analyses of RPB1 and RPB2 support a middle Cretaceous origin for a clade comprising all agriculturally and medically important fusaria. Fungal Genet Biol. 2013, 52, 20–31. [Google Scholar]
- Zhang, N.; O’Donnell, K.; Sutton, D.A.; Nalim, F.A.; Summerbell, R.C.; Padhye, A.A.; Geiser, D.M. Members of the Fusarium solani species complex that cause infections in both humans and plants are common in the environment. J. Clin. Microbiol. 2006, 44, 2186–2190. [Google Scholar] [CrossRef]
- O’Donnell, K.; Sutton, D.A.; Rinaldi, M.G.; Magnon, K.C.; Cox, P.A.; Revankar, S.G.; Sanche, S.; Geiser, D.M.; Juba, J.H.; van Burik, J.A.H.; et al. Genetic Diversity of Human Pathogenic Members of the Fusarium oxysporum Complex Inferred from Multilocus DNA Sequence Data and Amplified Fragment Length Polymorphism Analyses: Evidence for the Recent Dispersion of a Geographically Widespread Clonal Lineage and Nosocomial Origin. J. Clin. Microbiol. 2004, 42, 5109–5120. [Google Scholar]
- Laurence, M.H.; Summerell, B.A.; Burgess, L.W.; Liew, E.C.Y. Genealogical concordance phylogenetic species recognition in the Fusarium oxysporum species complex. Fungal Biol. 2014, 118, 374–384. [Google Scholar] [CrossRef] [PubMed]
- Kimura, M. A simple method for estimating evolutionary rate of base substitutions through comparative studies of nucleotide sequences. J. Mol. Evol. 1980, 16, 111–120. [Google Scholar] [CrossRef] [PubMed]
- Librado, P.; Rozas, J. DnaSP v5: A software for comprehensive analysis of DNA polymorphism data. Bioinformatics 2009, 25, 1451–1452. [Google Scholar] [CrossRef] [PubMed]
- Hudson, R.R.; Boos, D.D.; Kaplan, N.L. A statistical test for detecting geographic subdivision. Mol. Biol. Evol. 1992, 9, 138–151. [Google Scholar] [PubMed]
- Delgado-Baquerizo, M.; Guerra, C.A.; Cano-Díaz, C.; Egidi, E.; Wang, J.T.; Eisenhauer, N.; Singh, B.K.; Maestre, F.T. The proportion of soil-borne pathogens increases with warming at the global scale. Nat. Clim. Change 2020, 10, 550–554. [Google Scholar] [CrossRef]
- Gordon, T.R.; Martyn, R.D. The evolutionary biology of Fusarium oxysporum. Annu. Rev. Phytopathol. 1997, 35, 111–128. [Google Scholar] [CrossRef] [PubMed]
- Kvas, M.; Marasas, W.F.O.; Wingfield, B.D.; Wingfield, M.J.; Steenkamp, E.T. Diversity and evolution of Fusarium species in the Gibberella fujikuroi complex. Fungal Divers. 2009, 34, 1–21. [Google Scholar]
- Blok, W.J.; Lamers, J.G.; Termorshuizen, A.J.; Bollen, G.J. Control of soilborne plant pathogens by incorporating fresh organic amendments followed by tarping. Phytopathology 2000, 90, 253–259. [Google Scholar] [CrossRef]
- Borrego-Benjumea, A.M.; Basallote-Ureba, M.J.; Melero-Vara, J.M. Etiology and Management of Asparagus Crown and Root Rot. In Fusarium: Epidemiology, Environmental Sources and Prevention; Ferrari-Ríos, T., Reyes-Ortega, E., Eds.; Novascience Publishers: Hauppauge, NY, USA, 2012; pp. 145–160. [Google Scholar]
- Sandoval-Denis, M.; Lombard, L.; Crous, P.W. Back to the roots: A reappraisal of Neocosmospora. Persoonia 2019, 43, 90–1858. [Google Scholar] [CrossRef]
- LaMondia, J.A.; Elmer, W.H. Pathogenicity and vegetative compatibility among isolates of Fusarium oxysporum and F. moniliforme colonizing asparagus tissues. Can. J. Bot. 1989, 67, 2420–2424. [Google Scholar] [CrossRef]
- Blok, W.J.; Bollen, G.J. Fungi on root and stem bases of asparagus in The Netherlands: Species and pathogenicity. Eur. J. Plant Pathol. 1995, 101, 15–24. [Google Scholar] [CrossRef]
- Basallote-Ureba, M.J.; Zurera-Muñoz, C.; Prados-Ligero, A.M.; Melero-Vara, J.M. Nueva enfermedad en el cultivo del ajo ocasionada por Fusarium spp. Phytoma-España 2011, 229, 55–58. [Google Scholar]
- O’Donnell, K.; Gueidan, C.; Sink, S.; Johnston, P.R.; Crous, P.W.; Glenn, A.; Riley, R.; Zitomer, N.C.; Colyer, P.; Waalwijk, C.; et al. A two-locus DNA sequence database for typing plant and human pathogens within the Fusarium oxysporum species complex. Fungal Genet Biol. 2009, 46, 936–948. [Google Scholar] [CrossRef] [PubMed]
- Reid, T.C.; Kizilkaya, K. Use of fungicides and biological controls in the suppression of Fusarium crown and root rot of asparagus under greenhouse and growth chamber conditions. Plant Dis. 2002, 86, 493–498. [Google Scholar] [CrossRef] [PubMed]










| Sample | Region | Municipality | Variety | Cultivation Type | Köppen–Geiger Climate Classification System [26] | Sowing Date |
|---|---|---|---|---|---|---|
| 1 | Navarra | Ancín | Grolim | White asparagus | Oceanic (Cfb) | 2012 |
| 2 | Navarra | Ancín | Grolim | White asparagus | Oceanic (Cfb) | 2017 |
| 3 | Navarra | Ancín | Grolim | White asparagus | Oceanic (Cfb) | 2009 |
| 4 | Navarra | Ancín | Grolim | White asparagus | Oceanic (Cfb) | 2012 |
| 5 | Navarra | Ancín | Grolim | White asparagus | Oceanic (Cfb) | 2017 |
| 6 | Navarra | Ancín | Fortens | White asparagus | Oceanic (Cfb) | 2016 |
| 7 | Navarra | Ancín | Grolim | White asparagus | Oceanic (Cfb) | 2014 |
| 8 | Navarra | Ancín | Grolim | White asparagus | Oceanic (Cfb) | 2016 |
| 9 | Navarra | Ancín | Cygnus | White asparagus | Oceanic (Cfb) | 2016 |
| 10 | Navarra | Larraga | Grolim | White asparagus | Oceanic (Cfb) | 2009 |
| 11 | Navarra | Berbinzana | Grolim | White asparagus | Oceanic (Cfb) | 2009 |
| 12 | Navarra | Berbinzana | Grolim | White asparagus | Oceanic (Cfb) | 2009 |
| 13 | Navarra | Miranda de Arga | Grolim | White asparagus | Oceanic (Cfb) | 2010 |
| 14 | Navarra | Miranda de Arga | Grolim | White asparagus | Oceanic (Cfb) | 2012 |
| 15 | Navarra | Tudela | Grolim | White asparagus | Warm-summer Mediterranean (Csb) | 2006 |
| 16 | Navarra | Tudela | Grolim | White asparagus | Warm-summer Mediterranean (Csb) | 2014 |
| 17 | Madrid | Aranjuez | Grande | Green asparagus | Cold semi-arid (BSk) | 2011 |
| 18 | Madrid | Aranjuez | Grande | Green asparagus | Cold semi-arid (BSk) | 2017 |
| 19 | Madrid | Aranjuez | Grande | Green asparagus | Cold semi-arid (BSk) | 2012 |
| 20 | Madrid | Aranjuez | Grande | Green asparagus | Cold semi-arid (BSk) | 2011 |
| 21 | Madrid | Aranjuez | Grande | Green asparagus | Cold semi-arid (BSk) | 2014 |
| 22 | Madrid | Aranjuez | Grande | Green asparagus | Cold semi-arid (BSk) | 2010 |
| 23 | Andalusia | Huétor-Tájar | Grande | Green asparagus | Hot-summer Mediterranean (Csa) | 2010 |
| 24 | Andalusia | Huétor-Tájar | Grande | Green asparagus | Hot-summer Mediterranean (Csa) | 2012 |
| 25 | Andalusia | Huétor-Tájar | Grande | Green asparagus | Hot-summer Mediterranean (Csa) | 2012 |
| 26 | Andalusia | Huétor-Tájar | Grande | Green asparagus | Hot-summer Mediterranean (Csa) | 1995 |
| 27 | Andalusia | Huétor-Tájar | Grande | Green asparagus | Hot-summer Mediterranean (Csa) | 2016 |
| 28 | Andalusia | Huétor-Tájar | Grande | Green asparagus | Hot-summer Mediterranean (Csa) | 2015 |
| 29 | Andalusia | Loja | Grande | Green asparagus | Hot-summer Mediterranean (Csa) | 2013 |
| 30 | Andalusia | Loja | Grande | Green asparagus | Hot-summer Mediterranean (Csa) | 2014 |
| 31 | Andalusia | Loja | Grande | Green asparagus | Hot-summer Mediterranean (Csa) | 2011 |
| 32 | Andalusia | Loja | Atlas | Green asparagus | Hot-summer Mediterranean (Csa) | 2016 |
| 33 | Andalusia | Loja | Grande | Green asparagus | Hot-summer Mediterranean (Csa) | 2012 |
| 34 | Andalusia | Loja | Grande | Green asparagus | Hot-summer Mediterranean (Csa) | 2005 |
| 35 | Andalusia | Loja | Grande | Green asparagus | Hot-summer Mediterranean (Csa) | 2010 |
| 36 | Andalusia | Loja | Grande | Green asparagus | Hot-summer Mediterranean (Csa) | 2013 |
| 37 | Andalusia | Loja | Placosesp | Green asparagus | Hot-summer Mediterranean (Csa) | 2012 |
| 38 | Andalusia | Loja | Placosesp | Green asparagus | Hot-summer Mediterranean (Csa) | 2008 |
| 39 | Andalusia | El Jau | Grande | Green asparagus | Hot-summer Mediterranean (Csa) | 2010 |
| 40 | Andalusia | El Jau | Grande | Green asparagus | Hot-summer Mediterranean (Csa) | 2010 |
| 41 | Andalusia | El Jau | Grande | Green asparagus | Hot-summer Mediterranean (Csa) | 2010 |
| Origin | Species | Code | Isolate Source | Location | Genbank Accession No. | ||
|---|---|---|---|---|---|---|---|
| EF-1α | RPB1 | RPB2 | |||||
| This Study | F. oxysporum | GR_FOAc | Asparagus Plant | Loja | MT305183 | MT305069 | MT305125 |
| This study | F. oxysporum | GR_FOA5 | Asparagus plant | Loja | MT305184 | MT305070 | MT305126 |
| This study | F. oxysporum | GR_FOA8 | Asparagus plant | Loja | MT305185 | MT305071 | MT305127 |
| This study | F. oxysporum | GR_FOA13 | Asparagus plant | Loja | MT305186 | MT305072 | MT305128 |
| This study | F. oxysporum | GR_FOA14 | Asparagus plant | Loja | MT305187 | MT305073 | MT305129 |
| This study | F. oxysporum | GR_FOA21 | Asparagus plant | Loja | MT305188 | MT305074 | MT305130 |
| This study | F. oxysporum | GR_FOA125 | Asparagus plant | Loja | MT305189 | MT305075 | MT305131 |
| This study | F. oxysporum | GR_FOA128 | Asparagus plant | Loja | MT305190 | MT305076 | MT305132 |
| This study | F. oxysporum | GR_FOA141 | Asparagus plant | Loja | MT305191 | MT305077 | MT305133 |
| This study | F. oxysporum | GR_FOA164 | Asparagus plant | Loja | MT305192 | MT305078 | MT305134 |
| This study | F. oxysporum | GR_FOA168 | Asparagus plant | Loja | MT305193 | MT305079 | MT305135 |
| This study | F. oxysporum | GR_FOA179 | Asparagus plant | Loja | MT305194 | MT305080 | MT305136 |
| This study | F. oxysporum | GR_FOA230 | Asparagus plant | El Jau | MT305195 | MT305081 | MT305137 |
| This study | F. oxysporum | GR_FOA247 | Asparagus plant | El Jau | MT305196 | MT305082 | MT305138 |
| This study | F. oxysporum | GR_FOA249 | Asparagus plant | El Jau | MT305197 | MT305083 | MT305139 |
| This study | F. oxysporum | NA_FOA01 | Asparagus plant | Ancín | MT568933 | MT568949 | MT568965 |
| This study | F. oxysporum | NA_FOA04 | Asparagus plant | Ancín | MT568934 | MT568950 | MT568966 |
| This study | F. oxysporum | NA_FOA08 | Asparagus plant | Ancín | MT568935 | MT568951 | MT568967 |
| This study | F. oxysporum | NA_FOA10 | Asparagus plant | Ancín | MT568936 | MT568952 | MT568968 |
| This study | F. oxysporum | NA_FOA12 | Asparagus plant | Berbinzana | MT568937 | MT568953 | MT568969 |
| This study | F. oxysporum | NA_FOA13 | Asparagus plant | Berbinzana | MT568938 | MT568954 | MT568970 |
| This study | F. oxysporum | NA_FOA14 | Asparagus plant | Berbinzana | MT568939 | MT568955 | MT568971 |
| This study | F. oxysporum | NA_FOA15 | Asparagus plant | Tudela | MT568940 | MT568956 | MT568972 |
| This study | F. oxysporum | MA_FOA16 | Asparagus plant | Aranjuez | MT568941 | MT568957 | MT568973 |
| This study | F. oxysporum | MA_FOA17 | Asparagus plant | Aranjuez | MT568942 | MT568958 | MT568974 |
| This study | F. oxysporum | MA_FOA19 | Asparagus plant | Aranjuez | MT568943 | MT568959 | MT568975 |
| This study | F. oxysporum | MA_FOA20 | Asparagus plant | Aranjuez | MT568944 | MT568960 | MT568976 |
| This study | F. oxysporum | MA_FOA23 | Asparagus plant | Aranjuez | MT568945 | MT568961 | MT568977 |
| This study | F. oxysporum | MA_FOA24 | Asparagus plant | Aranjuez | MT568946 | MT568962 | MT568978 |
| This study | F. oxysporum | MA_FOA25 | Asparagus plant | Aranjuez | MT568947 | MT568963 | MT568979 |
| This study | F. oxysporum | MA_FOA27 | Asparagus plant | Aranjuez | MT568948 | MT568964 | MT568980 |
| This study | F. proliferatum | GR_FPb | Asparagus plant | Loja | MT305198 | MT305084 | MT305140 |
| This study | F. proliferatum | GR_FP3 | Asparagus plant | Loja | MT305199 | MT305085 | MT305141 |
| This study | F. proliferatum | GR_FP17 | Asparagus plant | Loja | MT305201 | MT305086 | MT305143 |
| This study | F. proliferatum | GR_FP24 | Asparagus plant | Loja | MT305202 | MT305087 | MT305144 |
| This study | F. proliferatum | GR_FP86 | Asparagus plant | Loja | MT305203 | MT305088 | MT305145 |
| This study | F. proliferatum | GR_FP87 | Asparagus plant | Loja | MT305204 | MT305089 | MT305146 |
| This study | F. proliferatum | GR_FP100 | Asparagus plant | Loja | MT305205 | MT305090 | MT305147 |
| This study | F. proliferatum | GR_FP120 | Asparagus plant | Loja | MT305206 | MT305091 | MT305148 |
| This study | F. proliferatum | GR_FP130 | Asparagus plant | Loja | MT305207 | MT305092 | MT305149 |
| This study | F. proliferatum | GR_FP172 | Asparagus plant | Loja | MT305208 | MT305093 | MT305150 |
| This study | F. proliferatum | GR_FP182 | Asparagus plant | Loja | MT305210 | MT305094 | MT305152 |
| This study | F. proliferatum | GR_FP234 | Asparagus plant | El Jau | MT305211 | MT305095 | MT305153 |
| This study | F. proliferatum | GR_FP248 | Asparagus plant | El Jau | MT305212 | MT305096 | MT305154 |
| This study | F. proliferatum | NA_FPA01 | Asparagus plant | Larraga | MW091265 | MW091281 | MW091299 |
| This study | F. proliferatum | NA_FPA02 | Asparagus plant | Ancín | MW091266 | MW091282 | MW091300 |
| This study | F. proliferatum | MA_FPA04 | Asparagus plant | Aranjuez | MW091267 | MW091284 | MW091302 |
| This study | F. proliferatum | MA_FPA06 | Asparagus plant | Aranjuez | MW091268 | MW091286 | MW091304 |
| This study | F. proliferatum | MA_FPA08 | Asparagus plant | Aranjuez | MW091269 | MW091288 | MW091306 |
| This study | F. proliferatum | MA_FPA10 | Asparagus plant | Aranjuez | MW091270 | MW091290 | MW091308 |
| This study | F. proliferatum | MA_FPA11 | Asparagus plant | Aranjuez | MW091271 | MW091291 | MW091309 |
| This study | F. proliferatum | MA_FPA12 | Asparagus plant | Aranjuez | MW091272 | MW091292 | MW091310 |
| This study | F. proliferatum | MA_FPA15 | Asparagus plant | Aranjuez | MW091275 | MW091293 | MW091313 |
| This study | F. proliferatum | MA_FPA16 | Asparagus plant | Aranjuez | MW091276 | MW091294 | MW091314 |
| This study | F. redolens | GR_FRa | Asparagus plant | Loja | MT305213 | MT305097 | MT305155 |
| This study | F. redolens | GR_FR4 | Asparagus plant | Loja | MT305214 | MT305098 | MT305156 |
| This study | F. redolens | GR_FR7 | Asparagus plant | Loja | MT305215 | MT305099 | MT305157 |
| This study | F. redolens | GR_FR18 | Asparagus plant | Loja | MT305216 | MT305100 | MT305158 |
| This study | F. redolens | GR_FR20 | Asparagus plant | Loja | MT305217 | MT305101 | MT305159 |
| This study | F. redolens | GR_FR23 | Asparagus plant | Loja | MT305218 | MT305102 | MT305160 |
| This study | F. redolens | GR_FR29 | Asparagus plant | Loja | MT305219 | MT305103 | MT305161 |
| This study | F. redolens | GR_FR58 | Asparagus plant | Loja | MT305220 | MT305104 | MT305162 |
| This study | F. redolens | GR_FR104 | Asparagus plant | Loja | MT305221 | MT305105 | MT305163 |
| This study | F. redolens | GR_FR157 | Asparagus plant | Loja | MT305224 | MT305107 | MT305165 |
| This study | F. redolens | GR_FR186 | Asparagus plant | Loja | MT305225 | MT305108 | MT305166 |
| This study | F. redolens | GR_FR215 | Asparagus plant | El Jau | MT305226 | MT305109 | MT305167 |
| This study | F. redolens | NA_FRA01 | Asparagus plant | Ancín | MW091277 | MW091295 | MW091315 |
| This study | F. redolens | NA_FRA02 | Asparagus plant | Ancín | MW091278 | MW091296 | MW091316 |
| This study | F. redolens | NA_FRA03 | Asparagus plant | Ancín | MW091279 | MW091297 | MW091317 |
| This study | F. redolens | NA_FRA04 | Asparagus plant | Berbinzana | MW091280 | MW091298 | MW091318 |
| GenBank | F. oxysporum | RBG5769 | Soil | Australia | KJ397041 | KJ397185 | KJ397221 |
| GenBank | F. oxysporum | RBG5796 | Soil | Australia | KJ397061 | KJ397205 | KJ397241 |
| GenBank | F. oxysporum | RBG5801 | Soil | Australia | KJ397062 | KJ397206 | KJ397242 |
| GenBank | F. oxysporum | RBG5807 | Soil | Australia | KJ397066 | KJ397210 | KJ397246 |
| GenBank | F. oxysporum | RBG5765 | Soil | Australia | KJ397075 | KJ397219 | KJ397255 |
| GenBank | F. oxysporum | RBG5771 | Soil | Australia | KJ397042 | KJ397186 | KJ397222 |
| GenBank | F. oxysporum | RBG5782 | Soil | Australia | KJ397051 | KJ397195 | KJ397231 |
| GenBank | F. oxysporum | RBG5818 | Soil | Australia | KJ397072 | KJ397216 | KJ397252 |
| GenBank | F. oxysporum | RBG5768 | Soil | Australia | KJ397040 | KJ397184 | KJ397220 |
| GenBank | F. oxysporum | RBG5779 | Soil | Australia | KJ397048 | KJ397192 | KJ397228 |
| GenBank | F. oxysporum | RBG5781 | Soil | Australia | KJ397050 | KJ397194 | KJ397230 |
| GenBank | F. oxysporum | RBG5784 | Soil | Australia | KJ397053 | KJ397197 | KJ397233 |
| GenBank | F. oxysporum | RBG5697 | Soil | Australia | KJ397064 | KJ397208 | KJ397244 |
| GenBank | F. oxysporum | RBG5783 | Soil | Australia | KJ397052 | KJ397196 | KJ397232 |
| GenBank | F. oxysporum | RBG5794 | Soil | Australia | KJ397060 | KJ397204 | KJ397240 |
| GenBank | F. oxysporum | RBG5817 | Soil | Australia | KJ397071 | KJ397215 | KJ397251 |
| GenBank | F. commune | NRRL 28387 | Dianthus caryophyllus | Netherlands | HM057338 | JX171525 | JX171638 |
| GenBank | F. proliferatum | NRRL 62905 | Zea mays | USA | MN193865 | MN193921 | MN193893 |
| GenBank | F. proliferatum | NRRL 43617 | Human | USA | HM347124 | HM347185 | EF470206 |
| GenBank | F. fujikuroi | NRRL 5538 | Saccharum officinarum | Taiwan | MN193860 | MN193916 | MN193888 |
| GenBank | F. concentricum | NRRL 25181 | Musa sapientum | Costa Rica | MT010992 | MT010942 | MT010981 |
| GenBank | F. sacchari | NRRL 66326 | Lab cross | USA | MN193868 | MN193924 | MN193896 |
| GenBank | F. bulbicola | NRRL 13618 | Nerine bowdenii | Germany | KF466415 | KF466394 | KF466404 |
| GenBank | F. subglutinans | NRRL 22016 | Zea mays | USA | HM057336 | JX171486 | JX171599 |
| GenBank | F. begoniae | NRRL 25300 | Begonia elatior | Germany | MN193858 | MN193914 | MN193886 |
| GenBank | F. verticillioides | NRRL 20956 | Zea mays | USA | MN193873 | MN193929 | MN193901 |
| GenBank | F. nygamai | NRRL 26421 | Human | Egypt | HM347121 | HM347147 | EF470127 |
| GenBank | F, napiforme | NRRL 25196 | Pennisetum typhoides | South Africa | MN193863 | MN193919 | MN193891 |
| GenBank | F. oxysporum | NRRL 26360 | Human | USA | HM347120 | HM347146 | EF470126 |
| GenBank | F. redolens | NRRL 54967 | Feline | USA | KC808221 | KC808300 | KC808363 |
| GenBank | F. redolens | NRRL 22901 | Pseudotsuga menziesii | Canada | MT409452 | MT409432 | JX171616 |
| GenBank | F. spartum | NRRL 66894 | Macrochloa tenacissima | Tunisia | MT409457 | MT409437 | MT409447 |
| GenBank | F. hostae | NRRL 29888 | Hosta sp. | USA | MT409455 | MT409435 | MT409445 |
| Adjustment | n | Adjusted Equation | Correlation Coefficient | p-Value | R2 |
|---|---|---|---|---|---|
| Y2 equation | 44 | FDI = sqrt (256.328 − 0.184087·CFU F. oxysporum/g soil) | 0.320118 | 0.0341 | 10.25% |
| Y2 equation | 44 | FDI = sqrt (858.517 − 0.211922·CFU F. solani/g soil) | −0.131103 | 0.3963 | 1.72% |
| Y2 equation | 44 | FDI = sqrt(639.741 + 0.0475964·CFU F. proliferatum/g soil) | 0.0334676 | 0.8292 | 0.11% |
| Y2 equation | 44 | FDI = sqrt (709.614 − 0.29721·CFU F. redolens/g soil) | −0.0913385 | 0.5554 | 0.83% |
| Y2 equation | 44 | FDI = sqrt (411.435 + 0.121763·CFU F. incarnatum/g soil) | 0.170733 | 0.2678 | 2.91% |
| Y2 equation | 44 | FDI = sqrt (571.778 + 0.19812·CFU F. culmorum/g soil | 0.192981 | 0.2094 | 3.72% |
| Fusarium Species | ||||||
|---|---|---|---|---|---|---|
| Fusarium sp. Plant Isolates | F. oxysporum | F. proliferatum | F. redolens | FSSC | ||
| Number of isolates | 10 | 11 | 8 | 8 | ||
| Number of pathogenic | 9 | 10 | 7 | 0 | ||
| Percent pathogenic | 90 | 90.9 | 87.5 | 0 | ||
| Fusarium sp. soil isolates | F. oxysporum | F. proliferatum | F. equiseti | FSSC | F. compactum | F. acuminatum |
| Number of isolates | 87 | 14 | 41 | 68 | 16 | 32 |
| Number of pathogenic | 56 | 13 | 0 | 0 | 0 | 0 |
| Percent pathogenic | 64.4 | 92.9 | 0 | 0 | 0 | 0 |
| Fusarium sp. Plant Isolates | Severity on Roots | Frond Weight Loss (%) | Root Weight Loss (%) |
| F. proliferatum (n = 11) | 3.0 ± 0.2 A | 59.0 ± 3.9 A | 82.7 ± 1.7 A |
| F. oxysporum (n = 10) | 2.2 ± 0.2 B | 57.6 ± 4.0 A | 70.1 ± 3.5 B |
| F. redolens (n = 8) | 2.4 ± 0.2 B | 47.7 ± 4.1 B | 65.8 ± 4.3 B |
| FSSC (n = 8) | 0.0 ± 0.0 C | 10.1 ± 4.9 C | 0.0 ± 0.0 x C |
| Control (n = 5) | 0.0 ± 0.0 C | 0.0 ± 0.0 C | 0.0 ± 0.0 C |
| p-value | *** | *** | *** |
| Fusarium sp. Soil Isolates | Severity on Roots | Frond Weight Loss (%) | Root Weight Loss (%) |
| F. proliferatum (n = 12) | 3.5 ± 0.8 A | 49.3 ± 14.0 A | 71.0 ± 13.0 A |
| F. oxysporum (n = 49) | 2.3 ± 1.1 B | 20.9 ± 14.9 B | 47.9 ± 20.3 B |
| Control (n = 4) | 0.0 ± 0.0 C | 0.0 ± 0.0 C | 0.0 ± 0.0 C |
| p-value | *** | *** | *** |
| Fusarium spp. | No. of Isolates | No. of Haplotypes | Haplotype (gene) Diversity (H) | Nucleotide Diversity (π) |
|---|---|---|---|---|
| F. oxysporum | 31 | 14 | 0.888 ± 0.043 | 0.0044 ± 0.0004 |
| F. proliferatum | 23 | 9 | 0.779 ± 0.074 | 0.0017 ± 0.0004 |
| F. redolens | 16 | 8 | 0.875 ± 0.059 | 0.0015 ± 0.0003 |
Publisher’s Note: MDPI stays neutral with regard to jurisdictional claims in published maps and institutional affiliations. |
© 2020 by the authors. Licensee MDPI, Basel, Switzerland. This article is an open access article distributed under the terms and conditions of the Creative Commons Attribution (CC BY) license (http://creativecommons.org/licenses/by/4.0/).
Share and Cite
Brizuela, A.M.; De la Lastra, E.; Marín-Guirao, J.I.; Gálvez, L.; de Cara-García, M.; Capote, N.; Palmero, D. Fusarium Consortium Populations Associated with Asparagus Crop in Spain and Their Role on Field Decline Syndrome. J. Fungi 2020, 6, 336. https://doi.org/10.3390/jof6040336
Brizuela AM, De la Lastra E, Marín-Guirao JI, Gálvez L, de Cara-García M, Capote N, Palmero D. Fusarium Consortium Populations Associated with Asparagus Crop in Spain and Their Role on Field Decline Syndrome. Journal of Fungi. 2020; 6(4):336. https://doi.org/10.3390/jof6040336
Chicago/Turabian StyleBrizuela, Alexandri María, Eduardo De la Lastra, José Ignacio Marín-Guirao, Laura Gálvez, Miguel de Cara-García, Nieves Capote, and Daniel Palmero. 2020. "Fusarium Consortium Populations Associated with Asparagus Crop in Spain and Their Role on Field Decline Syndrome" Journal of Fungi 6, no. 4: 336. https://doi.org/10.3390/jof6040336
APA StyleBrizuela, A. M., De la Lastra, E., Marín-Guirao, J. I., Gálvez, L., de Cara-García, M., Capote, N., & Palmero, D. (2020). Fusarium Consortium Populations Associated with Asparagus Crop in Spain and Their Role on Field Decline Syndrome. Journal of Fungi, 6(4), 336. https://doi.org/10.3390/jof6040336

