β-Caryophyllene Ameliorates Cyclophosphamide Induced Cardiac Injury: The Association of TLR4/NFκB and Nrf2/HO1/NQO1 Pathways
Abstract
:1. Introduction
2. Materials and Methods
2.1. Ethical Approval Statement
2.2. Animals’ Experimental Protocol
2.3. Electrocardiogram (ECG) Recording and Measurement
2.4. Sample Collection
2.5. Histological Analysis
2.6. Cardiac Enzymes Measurement
2.7. Antioxidant Activities and Lipid Peroxidation Measurement
2.8. Inflammatory Mediators Measurement
2.9. Quantitative Real-Time Polymerase Chain Reaction (PCR) Technique
2.10. Evaluation of Nrf2/HO1/NQO1 Pathway Protein Expression
2.11. Immunohistochemical (IHC) Analysis
2.12. Statistical Analysis
3. Results
3.1. β-Caryophyllene Attenuated CYC Induced Fluctuations in Body Weight, Heart Weight and Heart to Body Ratio
3.2. β-Caryophyllene Attenuated CYC Induced Fluctuations in ECG and Heart Rate
3.3. β-Caryophyllene Attenuated CYC Induced Fluctuations in Histology of the Cardiac Section
3.4. β-Caryophyllene Attenuated CYC Induced Escalation in Cardiac Indices
3.5. β-Caryophyllene Attenuated CYC Induced Escalation in Lipid Peroxidation and Oxidative Stress
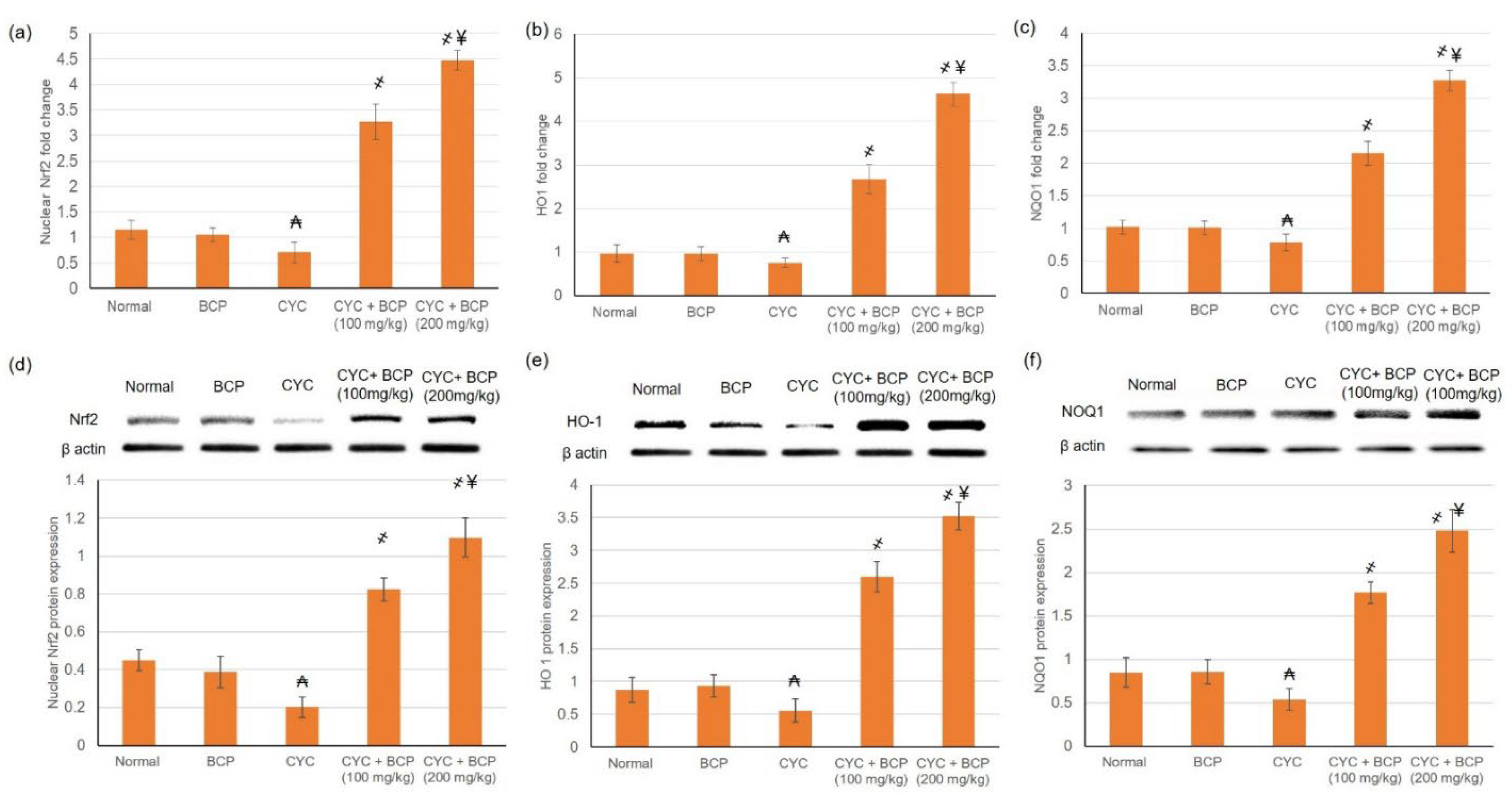
3.6. β-Caryophyllene Attenuated CYC Induced Reduction in Nrf2 Pathway
3.7. β-Caryophyllene Attenuated CYC Induced Escalation in the TLR4 and NFKB
3.8. β-Caryophyllene Attenuated CYC Induced Escalation in the Inflammatory Mediators
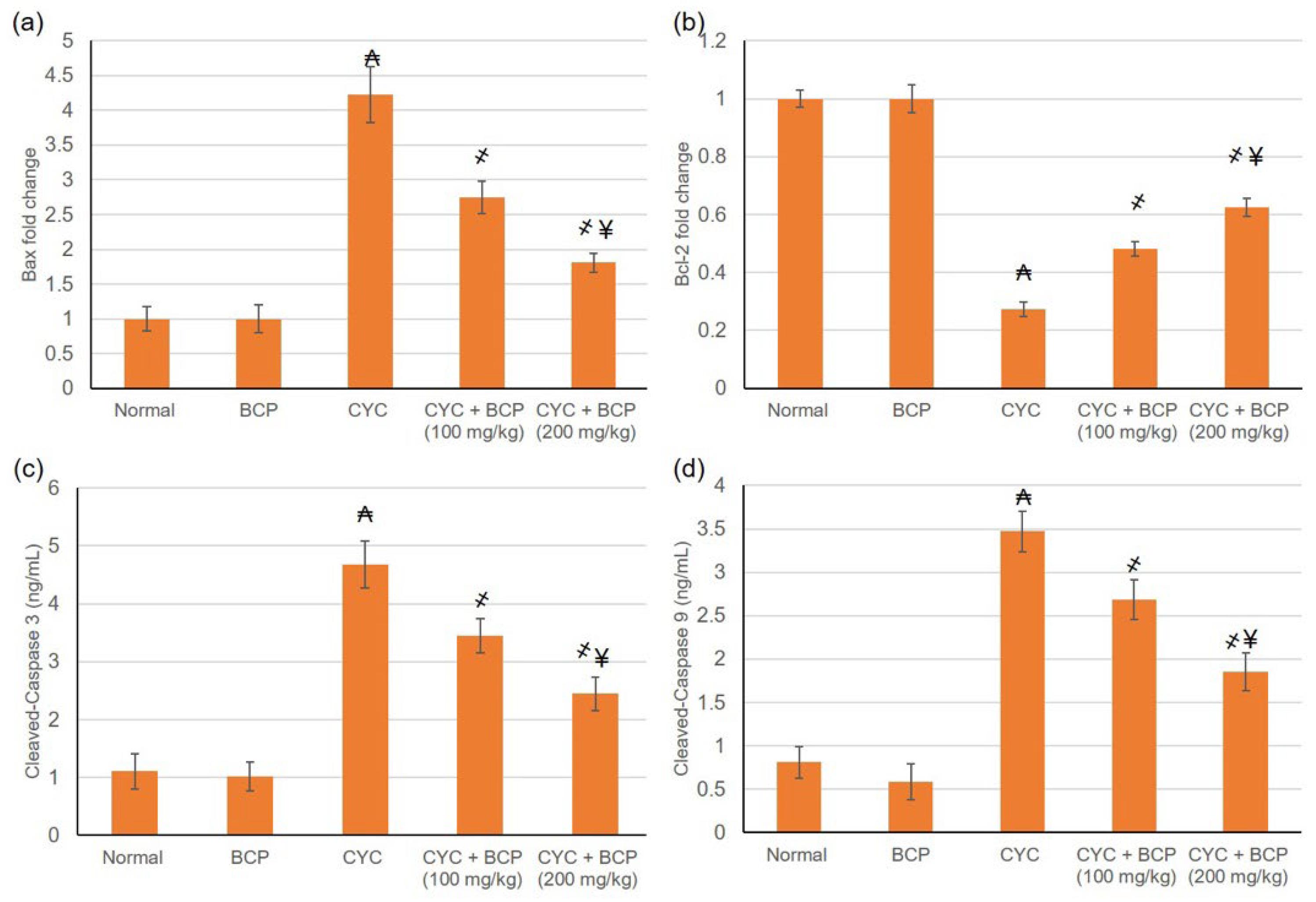
3.9. β-Caryophyllene Attenuated CYC Induced Escalation in Apoptotic Markers
4. Discussion
5. Conclusions
Funding
Institutional Review Board Statement
Informed Consent Statement
Data Availability Statement
Acknowledgments
Conflicts of Interest
References
- Scandiffio, R.; Geddo, F.; Cottone, E.; Querio, G.; Antoniotti, S.; Gallo, M.P.; Maffei, M.E.; Bovolin, P. Protective Effects of (E)-β-Caryophyllene (BCP) in Chronic Inflammation. Nutrients 2020, 12, 3273. [Google Scholar] [CrossRef] [PubMed]
- He, X.-H.; Galaj, E.; Bi, G.-H.; He, Y.; Hempel, B.; Wang, Y.-L.; Gardner, E.L.; Xi, Z.-X. β-caryophyllene, an FDA-Approved Food Additive, Inhibits Methamphetamine-Taking and Methamphetamine-Seeking Behaviors Possibly via CB2 and Non-CB2 Receptor Mechanisms. Front. Pharmacol. 2021, 12, 722476. [Google Scholar] [CrossRef] [PubMed]
- Calleja, M.A.; Vieites, J.M.; Montero-Meléndez, T.; Torres, M.I.; Faus, M.J.; Gil, A.; Suárez, A. The antioxidant effect of β-caryophyllene protects rat liver from carbon tetrachloride-induced fibrosis by inhibiting hepatic stellate cell activation. Br. J. Nutr. 2013, 109, 394–401. [Google Scholar] [CrossRef] [PubMed]
- Gertsch, J.; Leonti, M.; Raduner, S.; Racz, I.; Chen, J.Z.; Xie, X.Q.; Altmann, K.H.; Karsak, M.; Zimmer, A. Beta-caryophyllene is a dietary cannabinoid. Proc. Natl. Acad. Sci. USA 2008, 105, 9099–9104. [Google Scholar] [CrossRef] [Green Version]
- Fidyt, K.; Fiedorowicz, A.; Strządała, L.; Szumny, A. β-caryophyllene and β-caryophyllene oxide-natural compounds of anticancer and analgesic properties. Cancer Med. 2016, 5, 3007–3017. [Google Scholar] [CrossRef]
- de Oliveira, C.C.; de Oliveira, C.V.; Grigoletto, J.; Ribeiro, L.R.; Funck, V.R.; Grauncke, A.C.; de Souza, T.L.; Souto, N.S.; Furian, A.F.; Menezes, I.R.; et al. Anticonvulsant activity of β-caryophyllene against pentylenetetrazol-induced seizures. Epilepsy Behav. 2016, 56, 26–31. [Google Scholar] [CrossRef] [Green Version]
- Baldissera, M.D.; Souza, C.F.; Grando, T.H.; Doleski, P.H.; Boligon, A.A.; Stefani, L.M.; Monteiro, S.G. Hypolipidemic effect of β-caryophyllene to treat hyperlipidemic rats. Naunyn-Schmiedeberg’s Arch. Pharmacol. 2017, 390, 215–223. [Google Scholar] [CrossRef]
- Leonhardt, V.; Leal-Cardoso, J.H.; Lahlou, S.; Albuquerque, A.A.; Porto, R.S.; Celedônio, N.R.; Oliveira, A.C.; Pereira, R.F.; Silva, L.P.; Garcia-Teófilo, T.M.; et al. Antispasmodic effects of essential oil of Pterodon polygalaeflorus and its main constituent β-caryophyllene on rat isolated ileum. Fundam. Clin. Pharmacol. 2010, 24, 749–758. [Google Scholar] [CrossRef]
- Gushiken, L.F.S.; Beserra, F.P.; Hussni, M.F.; Gonzaga, M.T.; Ribeiro, V.P.; de Souza, P.F.; Campos, J.C.L.; Massaro, T.N.C.; Hussni, C.A.; Takahira, R.K.; et al. Beta-caryophyllene as an antioxidant, anti-inflammatory and re-epithelialization activities in a rat skin wound excision model. Oxidative Med. Cell. Longev. 2022, 2022, 9004014. [Google Scholar] [CrossRef]
- Hwang, E.S.; Kim, H.B.; Lee, S.; Kim, M.J.; Kim, K.J.; Han, G.; Han, S.Y.; Lee, E.A.; Yoon, J.H.; Kim, D.O.; et al. Antidepressant-like effects of β-caryophyllene on restraint plus stress-induced depression. Behav. Brain Res. 2020, 380, 112439. [Google Scholar] [CrossRef]
- Ames-Sibin, A.P.; Barizão, C.L.; Castro-Ghizoni, C.V.; Silva, F.M.S.; Sá-Nakanishi, A.B.; Bracht, L.; Bersani-Amado, C.A.; Marçal-Natali, M.R.; Bracht, A.; Comar, J.F. β-Caryophyllene, the major constituent of copaiba oil, reduces systemic inflammation and oxidative stress in arthritic rats. J. Cell. Biochem. 2018, 119, 10262–10277. [Google Scholar] [CrossRef] [PubMed]
- Xu, X.; Yan, J. β-Caryophyllene may attenuate hyperoxaluria-induced kidney dysfunction in rats by regulating stress marker KIM-1/MCP-1 and NF-κB signaling pathway. J. Biochem. Mol. Toxicol. 2021, 35, e22891. [Google Scholar] [CrossRef] [PubMed]
- Horváth, B.; Mukhopadhyay, P.; Kechrid, M.; Patel, V.; Tanchian, G.; Wink, D.A.; Gertsch, J.; Pacher, P. β-Caryophyllene ameliorates cisplatin-induced nephrotoxicity in a cannabinoid 2 receptor-dependent manner. Free Radic. Biol. Med. 2012, 52, 1325–1333. [Google Scholar] [CrossRef] [PubMed] [Green Version]
- Baldissera, M.D.; Souza, C.F.; Grando, T.H.; Stefani, L.M.; Monteiro, S.G. β-caryophyllene reduces atherogenic index and coronary risk index in hypercholesterolemic rats: The involvement of cardiac oxidative damage. Chem.-Biol. Interact. 2017, 270, 9–14. [Google Scholar] [CrossRef]
- Younis, N.S.; Mohamed, M.E. β-Caryophyllene as a Potential Protective Agent Against Myocardial Injury: The Role of Toll-Like Receptors. Molecules 2019, 24, 1929. [Google Scholar] [CrossRef] [Green Version]
- Yovas, A.; Ponnian, S.M.P. β-Caryophyllene inhibits Fas- receptor and caspase-mediated apoptosis signaling pathway and endothelial dysfunction in experimental myocardial infarction. J. Biochem. Mol. Toxicol. 2021, 35, e22907. [Google Scholar] [CrossRef]
- Meeran, M.F.N.; Al Taee, H.; Azimullah, S.; Tariq, S.; Adeghate, E.; Ojha, S. β-Caryophyllene, a natural bicyclic sesquiterpene attenuates doxorubicin-induced chronic cardiotoxicity via activation of myocardial cannabinoid type-2 (CB(2)) receptors in rats. Chem.-Biol. Interact. 2019, 304, 158–167. [Google Scholar] [CrossRef]
- Al-Taee, H.; Azimullah, S.; Meeran, M.F.N.; Alaraj Almheiri, M.K.; Al Jasmi, R.A.; Tariq, S.; Ab Khan, M.; Adeghate, E.; Ojha, S. β-caryophyllene, a dietary phytocannabinoid attenuates oxidative stress, inflammation, apoptosis and prevents structural alterations of the myocardium against doxorubicin-induced acute cardiotoxicity in rats: An in vitro and in vivo study. Eur. J. Pharmacol. 2019, 858, 172467. [Google Scholar] [CrossRef]
- El-Kholy, A.A.; Elkablawy, M.A.; El-Agamy, D.S. Lutein mitigates cyclophosphamide induced lung and liver injury via NF-κB/MAPK dependent mechanism. Biomed. Pharmacother. 2017, 92, 519–527. [Google Scholar] [CrossRef]
- Lou, J.; Cao, G.; Li, R.; Liu, J.; Dong, Z.; Xu, L. β-Caryophyllene Attenuates Focal Cerebral Ischemia-Reperfusion Injury by Nrf2/HO-1 Pathway in Rats. Neurochem. Res. 2016, 41, 1291–1304. [Google Scholar] [CrossRef]
- Zhang, Q.; An, R.; Tian, X.; Yang, M.; Li, M.; Lou, J.; Xu, L.; Dong, Z. β-Caryophyllene Pretreatment Alleviates Focal Cerebral Ischemia-Reperfusion Injury by Activating PI3K/Akt Signaling Pathway. Neurochem. Res. 2017, 42, 1459–1469. [Google Scholar] [CrossRef] [PubMed]
- Iqubal, A.; Iqubal, M.K.; Sharma, S.; Ansari, M.A.; Najmi, A.K.; Ali, S.M.; Ali, J.; Haque, S.E. Molecular mechanism involved in cyclophosphamide-induced cardiotoxicity: Old drug with a new vision. Life Sci. 2019, 218, 112–131. [Google Scholar] [CrossRef]
- Lee, C.K.; Harman, G.S.; Hohl, R.J.; Gingrich, R.D. Fatal cyclophosphamide cardiomyopathy: Its clinical course and treatment. Bone Marrow Transplant. 1996, 18, 573–577. [Google Scholar] [PubMed]
- Ismahil, M.A.; Hamid, T.; Haberzettl, P.; Gu, Y.; Chandrasekar, B.; Srivastava, S.; Bhatnagar, A.; Prabhu, S.D. Chronic oral exposure to the aldehyde pollutant acrolein induces dilated cardiomyopathy. Am. J. Physiol. Heart Circ. Physiol. 2011, 301, H2050–H2060. [Google Scholar] [CrossRef]
- Hassanein, E.H.M.; Abd El-Ghafar, O.A.M.; Ahmed, M.A.; Sayed, A.M.; Gad-Elrab, W.M.; Ajarem, J.S.; Allam, A.A.; Mahmoud, A.M. Edaravone and Acetovanillone Upregulate Nrf2 and PI3K/Akt/mTOR Signaling and Prevent Cyclophosphamide Cardiotoxicity in Rats. Drug Des. Dev. Ther. 2020, 14, 5275–5288. [Google Scholar] [CrossRef] [PubMed]
- Wan, Y.; Wang, J.; Xu, J.F.; Tang, F.; Chen, L.; Tan, Y.Z.; Rao, C.L.; Ao, H.; Peng, C. Panax ginseng and its ginsenosides: Potential candidates for the prevention and treatment of chemotherapy-induced side effects. J. Ginseng Res. 2021, 45, 617–630. [Google Scholar] [CrossRef] [PubMed]
- Elrashidy, R.A.; Hasan, R.A. Cilostazol preconditioning alleviates cyclophosphamide-induced cardiotoxicity in male rats: Mechanistic insights into SIRT1 signaling pathway. Life Sci. 2021, 266, 118822. [Google Scholar] [CrossRef]
- El-Agamy, D.S.; Elkablawy, M.A.; Abo-Haded, H.M. Modulation of cyclophosphamide-induced cardiotoxicity by methyl palmitate. Cancer Chemother. Pharmacol. 2017, 79, 399–409. [Google Scholar] [CrossRef]
- Ludeman, S.M. The chemistry of the metabolites of cyclophosphamide. Curr. Pharm. Des. 1999, 5, 627–643. [Google Scholar]
- Yousefipour, Z.; Ranganna, K.; Newaz, M.A.; Milton, S.G. Mechanism of acrolein-induced vascular toxicity. J. Physiol. Pharmacol. 2005, 56, 337–353. [Google Scholar]
- Souid, A.-K.; Tacka, K.A.; Galvan, K.A.; Penefsky, H.S. Immediate effects of anticancer drugs on mitochondrial oxygen consumption. Biochem. Pharmacol. 2003, 66, 977–987. [Google Scholar] [CrossRef]
- Liu, Y.; Tan, D.; Shi, L.; Liu, X.; Zhang, Y.; Tong, C.; Song, D.; Hou, M. Blueberry Anthocyanins-Enriched Extracts Attenuate Cyclophosphamide-Induced Cardiac Injury. PLoS ONE 2015, 10, e0127813. [Google Scholar] [CrossRef] [Green Version]
- Younis, N.S.; Abduldaium, M.S.; Mohamed, M.E. Protective Effect of Geraniol on Oxidative, Inflammatory and Apoptotic Alterations in Isoproterenol-Induced Cardiotoxicity: Role of the Keap1/Nrf2/HO-1 and PI3K/Akt/mTOR Pathways. Antioxidants 2020, 9, 977. [Google Scholar] [CrossRef] [PubMed]
- Iqubal, A.; Wasim, M.; Ashraf, M.; Najmi, A.K.; Syed, M.A.; Ali, J.; Haque, S.E. Natural Bioactive as a Potential Therapeutic Approach for the Management of Cyclophosphamide-induced Cardiotoxicity. Curr. Top. Med. Chem. 2021, 21, 2647–2670. [Google Scholar] [CrossRef]
- Viswanatha Swamy, A.H.M.; Patel, U.M.; Koti, B.C.; Gadad, P.C.; Patel, N.L.; Thippeswamy, A.H.M. Cardioprotective effect of Saraca indica against cyclophosphamide induced cardiotoxicity in rats: A biochemical, electrocardiographic and histopathological study. Indian J. Pharmacol. 2013, 45, 44–48. [Google Scholar] [CrossRef]
- Bhatt, L.; Sebastian, B.; Joshi, V. Mangiferin protects rat myocardial tissue against cyclophosphamide induced cardiotoxicity. J. Ayurveda Integr. Med. 2017, 8, 62–67. [Google Scholar] [CrossRef]
- Omole, J.G.; Ayoka, O.A.; Alabi, Q.K.; Adefisayo, M.A.; Asafa, M.A.; Olubunmi, B.O.; Fadeyi, B.A. Protective Effect of Kolaviron on Cyclophosphamide-Induced Cardiac Toxicity in Rats. J. Evid.-Based Integr. Med. 2018, 23, 2156587218757649. [Google Scholar] [CrossRef] [Green Version]
- Levine, E.S.; Friedman, H.S.; Griffith, O.W.; Colvin, O.M.; Raynor, J.H.; Lieberman, M. Cardiac cell toxicity induced by 4-hydroperoxycyclophosphamide is modulated by glutathione. Cardiovasc. Res. 1993, 27, 1248–1253. [Google Scholar] [CrossRef]
- Nakamae, H.; Tsumura, K.; Hino, M.; Hayashi, T.; Tatsumi, N. QT dispersion as a predictor of acute heart failure after high-dose cyclophosphamide. Lancet 2000, 355, 805–806. [Google Scholar] [CrossRef]
- Preiser, J.C. Oxidative stress. JPEN J. Parenter. Enter. Nutr. 2012, 36, 147–154. [Google Scholar] [CrossRef]
- Aladaileh, S.H.; Abukhalil, M.H.; Saghir, S.A.M.; Hanieh, H.; Alfwuaires, M.A.; Almaiman, A.A.; Bin-Jumah, M.; Mahmoud, A.M. Galangin Activates Nrf2 Signaling and Attenuates Oxidative Damage, Inflammation, and Apoptosis in a Rat Model of Cyclophosphamide-Induced Hepatotoxicity. Biomolecules 2019, 9, 346. [Google Scholar] [CrossRef] [PubMed] [Green Version]
- HAS, A.L.; Alotaibi, M.F.; Bin-Jumah, M.; Elgebaly, H.; Mahmoud, A.M. Olea europaea leaf extract up-regulates Nrf2/ARE/HO-1 signaling and attenuates cyclophosphamide-induced oxidative stress, inflammation and apoptosis in rat kidney. Biomed. Pharmacother. 2019, 111, 676–685. [Google Scholar] [CrossRef]
- Ni, B.; Chen, Z.; Shu, L.; Shao, Y.; Huang, Y.; Tamrat, N.E.; Wei, Z.; Shen, B. Nrf2 Pathway Ameliorates Bladder Dysfunction in Cyclophosphamide-Induced Cystitis via Suppression of Oxidative Stress. Oxidative Med. Cell. Longev. 2021, 2021, 4009308. [Google Scholar] [CrossRef]
- Chen, S.E.; Gerken, E.; Zhang, Y.; Zhan, M.; Mohan, R.K.; Li, A.S.; Reid, M.B.; Li, Y.P. Role of TNF-{alpha} signaling in regeneration of cardiotoxin-injured muscle. Am. J. Physiol. Cell Physiol. 2005, 289, C1179–C1187. [Google Scholar] [CrossRef] [PubMed]
- Lim, S.; Roche, N.; Oliver, B.G.; Mattos, W.; Barnes, P.J.; Chung, K.F. Balance of matrix metalloprotease-9 and tissue inhibitor of metalloprotease-1 from alveolar macrophages in cigarette smokers. Regulation by interleukin-10. Am. J. Respir. Crit. Care Med. 2000, 162, 1355–1360. [Google Scholar] [CrossRef] [Green Version]
- Opdyke, D.L. Monographs on fragrance raw materials. Food Cosmet. Toxicol. 1973, 11, 1011–1081. [Google Scholar] [CrossRef]
- Kumawat, V.S.; Kaur, G. Cannabinoid 2 receptor agonist and L-arginine combination attenuates diabetic cardiomyopathy in rats via NF-ĸβ inhibition. Can. J. Physiol. Pharmacol. 2022, 100, 259–271. [Google Scholar] [CrossRef]
- Da Silveira, A.R.; Rosa, É.V.F.; Sari, M.H.M.; Sampaio, T.B.; Dos Santos, J.T.; Jardim, N.S.; Müller, S.G.; Oliveira, M.S.; Nogueira, C.W.; Furian, A.F. Therapeutic potential of beta-caryophyllene against aflatoxin B1-Induced liver toxicity: Biochemical and molecular insights in rats. Chem.-Biol. Interact. 2021, 348, 109635. [Google Scholar] [CrossRef]
- Refaat, B.; El-Boshy, M. Protective antioxidative and anti-inflammatory actions of β-caryophyllene against sulfasalazine-induced nephrotoxicity in rat. Exp. Biol. Med. 2022, 247, 691–699. [Google Scholar] [CrossRef]
- Li, H.; Wang, D.; Chen, Y.; Yang, M. β-Caryophyllene inhibits high glucose-induced oxidative stress, inflammation and extracellular matrix accumulation in mesangial cells. Int. Immunopharmacol. 2020, 84, 106556. [Google Scholar] [CrossRef]
- Flores-Soto, M.E.; Corona-Angeles, J.A.; Tejeda-Martinez, A.R.; Flores-Guzman, P.A.; Luna-Mujica, I.; Chaparro-Huerta, V.; Viveros-Paredes, J.M. β-Caryophyllene exerts protective antioxidant effects through the activation of NQO1 in the MPTP model of Parkinson’s disease. Neurosci. Lett. 2021, 742, 135534. [Google Scholar] [CrossRef] [PubMed]
- Liu, M.; Niu, W.; Ou, L. β-Caryophyllene ameliorates the Mycoplasmal pneumonia through the inhibition of NF-κB signal transduction in mice. Saudi J. Biol. Sci. 2021, 28, 4240–4246. [Google Scholar] [CrossRef] [PubMed]






| Treatment | Initial Body Weight (gm) | Final Body Weight (gm) | Body Weight Gain (gm) | Heart Weight (gm) | Heart Weight/Final Body Weight (103) |
|---|---|---|---|---|---|
| Normal | 200.95 ± 15.46 | 230.43 ± 19.54 | 29.48 ± 7.16 | 0.74 ± 0.04 | 3.21 ± 0.45 |
| BCP | 190.63 ± 13.86 | 225.76 ± 20.45 | 35.13 ± 6.34 | 0.73 ± 0.021 | 3.23 ± 0.35 |
| CYC | 212.56 ± 17.67 | 145.34 ± 10.33 ₳ | −67.22 ± 15.85 ₳ | 0.85 ± 0.06 ₳ | 5.84 ± 0.95 ₳ |
| CYC + BCP (100 mg/kg) | 205.57 ± 16.43 | 168.23 ± 4.63 ҂ | −37.34 ± 8.65 ҂ | 0.8 ± 0.086 ҂ | 4.75 ± 0.54 ҂ |
| CYC + BCP (200 mg/kg) | 198.34 ± 13.48 | 174.96 ± 7.23 ҂ | −23.38 ± 7.53 ҂¥ | 0.78 ± 0.067 ҂¥ | 4.45 ± 0.18 ҂¥ |
| Treatment | P-R Interval (ms.) | R-R Interval (ms.) | Q-T Interval (ms.) | R Wave Amplitude (mV) | Heart Rate (HR) (Beat/min) |
|---|---|---|---|---|---|
| Normal | 34.53 ± 1.48 | 148.83 ± 1.36 | 73.83 ± 1.58 | 0.27 ± 0.01 | 435 ± 15.23 |
| BCP | 36.76 ± 2.02 | 146.94 ± 2.02 | 71.56 ± 2.06 | 0.25 ± 0.01 | 421 ± 13.86 |
| CYC | 57.98 ± 4.3 ₳ | 231.76 ± 6.43 ₳ | 95.21 ± 6.34 ₳ | 0.15 ± 0.02 ₳ | 314 ± 27.45 ₳ |
| CYC + BCP (100 mg/kg) | 48.16 ± 1.82 ҂ | 210.16 ± 5.79 ҂ | 86.29 ± 2.21 ҂ | 0.21 ± 0.01 ҂ | 353 ± 12.36 ҂ |
| CYC + BCP (200 mg/kg) | 42.11 ± 2.14 ҂¥ | 184.41 ± 3.43 ҂¥ | 80.01 ± 2.94 ҂¥ | 0.23 ± 0.01 ҂¥ | 374 ± 16.94 ҂¥ |
| Treatment | Degenerative Changes | Intercellular Spaces | Blood Vessels Congestion |
|---|---|---|---|
| Normal | - | - | - |
| BCP | - | - | - |
| CYC | +++ | +++ | +++ |
| CYC + BCP (100 mg/kg) | ++ | + | ++ |
| CYC + BCP (200 mg/kg) | + | + | + |
| Treatment | MDA (nmole/g Protein) | Glutathione Peroxidase (GPx) (U/g Protein) | Superoxide Dismutase (SOD) (U/g Protein) | Catalase (CAT) (U/g Protein) | Glutathione Reductase (GRx) (nmole/mg Protein) | H2O2 (nM/g Protein) |
|---|---|---|---|---|---|---|
| Normal | 70.66 ± 5.07 | 300.45 ± 11.51 | 620.70 ± 32.61 | 927.33 ± 26.65 | 89.82 ± 7.81 | 17.91 ± 1.28 |
| BCP | 67.98 ± 8.1 | 292.05 ± 15.44 | 601.43 ± 30.24 | 957.43 ± 25.55 | 89.98 ± 6.91 | 18.12 ± 1.51 |
| CYC | 172.31 ± 11.45 ₳ | 68.71 ± 10.45 ₳ | 174.48 ± 24.75 ₳ | 250.95 ± 30.24 ₳ | 24.98 ± 3.65 ₳ | 38.52 ± 2.13 ₳ |
| CYC + BCP (100 mg/kg) | 126.88 ± 12.01 ҂ | 132.72 ± 14.60 ҂ | 373.54 ± 20.99 ҂ | 473.04 ± 34.21 ҂ | 34.71 ± 4.03 ҂ | 29.18 ± 1.53 ҂ |
| CYC + BCP (200 mg/kg) | 109.52 ± 8.39 ҂ | 216.14 ± 13.82 ҂ ¥ | 495.85 ± 33.09 ҂ ¥ | 590.68 ± 39.84 ҂ ¥ | 48.87 ± 3.40 ҂ ¥ | 22.68 ± 1.85 ҂ ¥ |
Publisher’s Note: MDPI stays neutral with regard to jurisdictional claims in published maps and institutional affiliations. |
© 2022 by the author. Licensee MDPI, Basel, Switzerland. This article is an open access article distributed under the terms and conditions of the Creative Commons Attribution (CC BY) license (https://creativecommons.org/licenses/by/4.0/).
Share and Cite
Younis, N.S. β-Caryophyllene Ameliorates Cyclophosphamide Induced Cardiac Injury: The Association of TLR4/NFκB and Nrf2/HO1/NQO1 Pathways. J. Cardiovasc. Dev. Dis. 2022, 9, 133. https://doi.org/10.3390/jcdd9050133
Younis NS. β-Caryophyllene Ameliorates Cyclophosphamide Induced Cardiac Injury: The Association of TLR4/NFκB and Nrf2/HO1/NQO1 Pathways. Journal of Cardiovascular Development and Disease. 2022; 9(5):133. https://doi.org/10.3390/jcdd9050133
Chicago/Turabian StyleYounis, Nancy S. 2022. "β-Caryophyllene Ameliorates Cyclophosphamide Induced Cardiac Injury: The Association of TLR4/NFκB and Nrf2/HO1/NQO1 Pathways" Journal of Cardiovascular Development and Disease 9, no. 5: 133. https://doi.org/10.3390/jcdd9050133
APA StyleYounis, N. S. (2022). β-Caryophyllene Ameliorates Cyclophosphamide Induced Cardiac Injury: The Association of TLR4/NFκB and Nrf2/HO1/NQO1 Pathways. Journal of Cardiovascular Development and Disease, 9(5), 133. https://doi.org/10.3390/jcdd9050133

