Association between the Changes in Trimethylamine N-Oxide-Related Metabolites and Prognosis of Patients with Acute Myocardial Infarction: A Prospective Study
Abstract
1. Introduction
2. Methods
2.1. Study Population
2.2. Outcomes and Follow-Up
2.3. Sample Collection and Tests
2.4. Statistical Analyses
3. Results
3.1. Characteristics of Included Patients
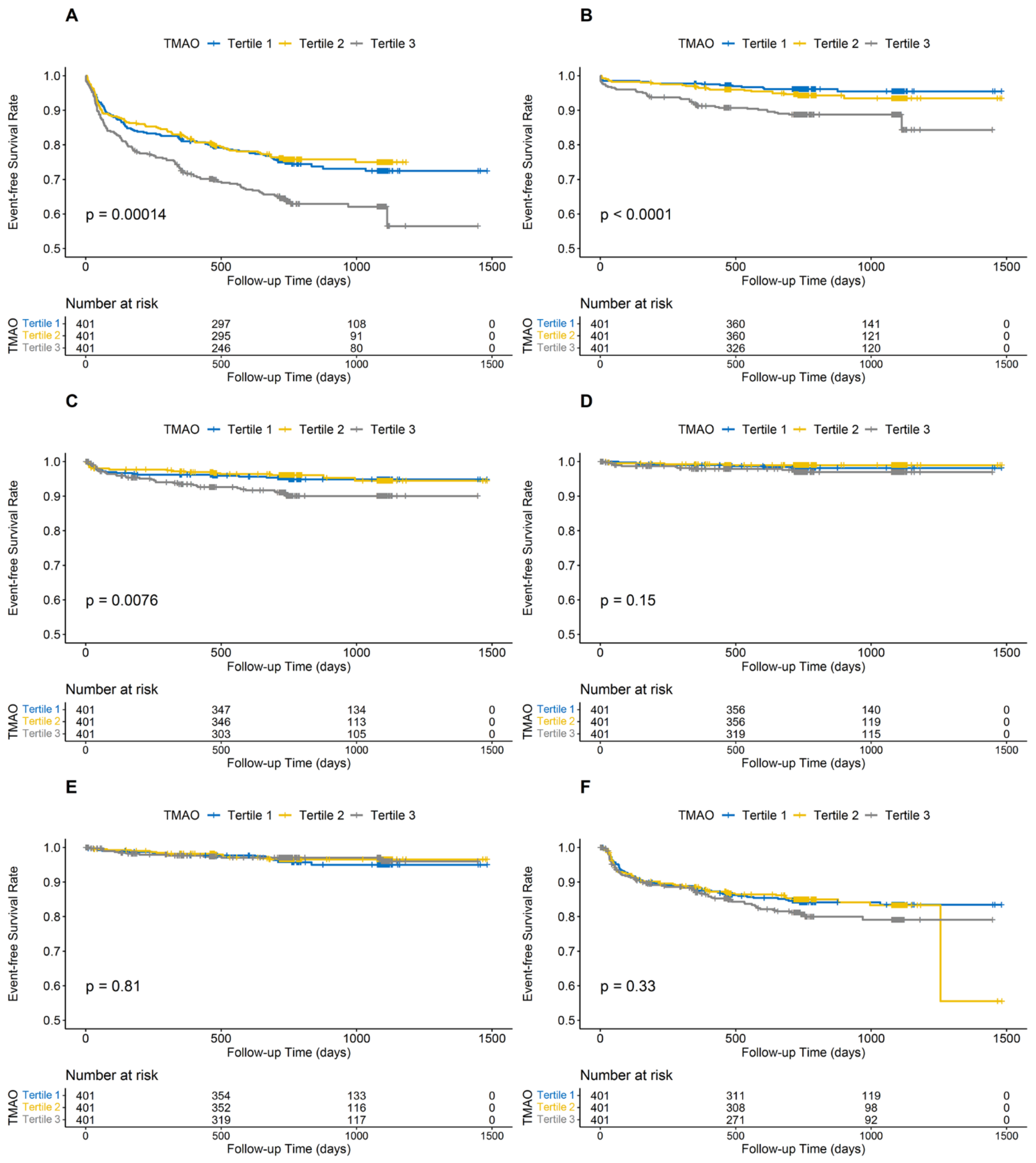
3.2. Association between Plasma Levels of TMAO, Betaine, Choline, and L-Carnitine at Baseline and Adverse Outcomes
3.3. Association between Changes in Levels of TMAO, Betaine, Choline, and L-Carnitine and Adverse Outcomes
3.4. Decision Tree Analysis
4. Discussion
4.1. Association between Levels of TMAO and Its Precursors and Prognosis
4.2. Association between Serial Levels of TMAO and Its Precursors and Prognosis
4.3. Metabolism and Function of TMAO and Its Precursors and Clinical Implications
5. Limitations
6. Conclusions
Supplementary Materials
Author Contributions
Funding
Institutional Review Board Statement
Informed Consent Statement
Conflicts of Interest
Abbreviations
| AMI | Acute Myocardial Infarction |
| CHD | Coronary Heart Disease |
| CIs | Confidence Intervals |
| CKD | Chronic Kidney Disease |
| HRs | Hazard Ratios |
| HF | Heart Failure |
| IQR | Interquartile Range |
| MACE | Major Adverse Cardiovascular Events |
| PCI | Percutaneous Coronary Intervention |
| RCS | Restricted Cubic Spline |
| TMAO | Trimethylamine N-oxide |
References
- Thomas, M.S.; Fernandez, M.L. Trimethylamine N-Oxide (TMAO), Diet and Cardiovascular Disease. Curr. Atheroscler. Rep. 2021, 23, 1–7. [Google Scholar] [CrossRef]
- Li, X.S.; Obeid, S.; Klingenberg, R.; Gencer, B.; Mach, F.; Räber, L.; Windecker, S.; Rodondi, N.; Nanchen, D.; Muller, O.; et al. Gut microbiota-dependent trimethylamine N-oxide in acute coronary syndromes: A prognostic marker for incident cardiovascular events beyond traditional risk factors. Eur. Heart J. 2017, 38, 814–824. [Google Scholar] [CrossRef] [PubMed]
- Guasti, L.; Galliazzo, S.; Molaro, M.; Visconti, E.; Pennella, B.; Gaudio, G.V.; Lupi, A.; Grandi, A.M.; Squizzato, A. TMAO as a biomarker of cardiovascular events: A systematic review and meta-analysis. Intern. Emerg. Med. 2021, 16, 201–207. [Google Scholar] [CrossRef] [PubMed]
- Schiattarella, G.G.; Sannino, A.; Toscano, E.; Giugliano, G.; Gargiulo, G.; Franzone, A.; Trimarco, B.; Esposito, G.; Perrino, C. Gut microbe-generated metabolite trimethylamine-N-oxide as cardiovascular risk biomarker: A systematic review and dose-response meta-analysis. Eur. Heart J. 2017, 38, 2948–2956. [Google Scholar] [CrossRef] [PubMed]
- Wei, H.; Zhao, M.; Huang, M.; Li, C.; Gao, J.; Yu, T.; Zhang, Q.; Shen, X.; Ji, L.; Ni, L.; et al. FMO3-TMAO axis modulates the clinical outcome in chronic heart-failure patients with reduced ejection fraction: Evidence from an Asian population. Front. Med. 2022, 2022 16, 295–305. [Google Scholar] [CrossRef]
- Zhu, W.; Gregory, J.C.; Org, E.; Buffa, J.A.; Gupta, N.; Wang, Z.; Li, L.; Fu, X.; Wu, Y.; Mehrabian, M.; et al. Gut Microbial Metabolite TMAO Enhances Platelet Hyperreactivity and Thrombosis Risk. Cell 2016, 165, 111–124. [Google Scholar] [CrossRef]
- Suzuki, T.; Heaney, L.M.; Jones, D.J.L.; Ng, L.L. Trimethylamine N-oxide and Risk Stratification after Acute Myocardial Infarction. Clin. Chem. 2017, 63, 420–428. [Google Scholar] [CrossRef]
- Li, N.; Zhou, J.; Wang, Y.; Chen, R.; Li, J.; Zhao, X.; Zhou, P.; Liu, C.; Song, L.; Liao, Z.; et al. Association between trimethylamine N-oxide and prognosis of patients with acute myocardial infarction and heart failure. ESC Heart Fail. 2022. [Google Scholar] [CrossRef]
- Tan, Y.; Sheng, Z.; Zhou, P.; Liu, C.; Zhao, H.; Song, L.; Li, J.; Zhou, J.; Chen, Y.; Wang, L.; et al. Plasma Trimethylamine N-Oxide as a Novel Biomarker for Plaque Rupture in Patients With ST-Segment-Elevation Myocardial Infarction. Circ. Cardiovasc. Interv. 2019, 12, e007281. [Google Scholar] [CrossRef]
- Heianza, Y.; Ma, W.; DiDonato, J.A.; Sun, Q.; Rimm, E.B.; Hu, F.B.; Rexrode, K.M.; Manson, J.E.; Qi, L. Long-Term Changes in Gut Microbial Metabolite Trimethylamine N-Oxide and Coronary Heart Disease Risk. J. Am. Coll. Cardiol. 2020, 75, 763–772. [Google Scholar] [CrossRef]
- Suzuki, T.; Yazaki, Y.; Voors, A.A.; Jones, D.J.L.; Chan, D.C.S.; Anker, S.D.; Cleland, J.G.; Dickstein, K.; Filippatos, G.; Hillege, H.L.; et al. Association with outcomes and response to treatment of trimethylamine N-oxide in heart failure: Results from BIOSTAT-CHF. Eur. J. Heart Fail. 2019, 21, 877–886. [Google Scholar] [CrossRef] [PubMed]
- Janeiro, M.H.; Ramírez, M.J.; Milagro, F.I.; Martínez, J.A.; Solas, M. Implication of Trimethylamine N-Oxide (TMAO) in Disease: Potential Biomarker or New Therapeutic Target. Nutrients 2018, 10, E1398. [Google Scholar] [CrossRef] [PubMed]
- Wang, Z.; Tang, W.H.W.; Buffa, J.A.; Fu, X.; Britt, E.B.; Koeth, R.A.; Levison, B.S.; Fan, Y.; Wu, Y.; Hazen, S.L. Prognostic value of choline and betaine depends on intestinal microbiota-generated metabolite trimethylamine-N-oxide. Eur. Heart J. 2014, 35, 904–910. [Google Scholar] [CrossRef] [PubMed]
- Millard, H.R.; Musani, S.K.; Dibaba, D.T.; Talegawkar, S.A.; Taylor, H.A.; Tucker, K.L.; Bidulescu, A. Dietary choline and betaine; associations with subclinical markers of cardiovascular disease risk and incidence of CVD, coronary heart disease and stroke: The Jackson Heart Study. Eur. J. Nutr. 2018, 57, 51–60. [Google Scholar] [CrossRef]
- Koeth, R.A.; Wang, Z.; Levison, B.S.; Buffa, J.A.; Org, E.; Sheehy, B.T.; Britt, E.B.; Fu, X.; Wu, Y.; Li, L.; et al. Intestinal microbiota metabolism of L-carnitine, a nutrient in red meat, promotes atherosclerosis. Nat. Med. 2013, 19, 576–585. [Google Scholar] [CrossRef]
- Meyer, K.A.; Shea, J.W. Dietary Choline and Betaine and Risk of CVD: A Systematic Review and Meta-Analysis of Prospective Studies. Nutrients 2017, 9, 711. [Google Scholar] [CrossRef]
- Thygesen, K.; Alpert, J.S.; Jaffe, A.S.; Chaitman, B.R.; Bax, J.J.; Morrow, D.A.; White, H.D. Executive Group on behalf of the Joint European Society of Cardiology (ESC)/American College of Cardiology (ACC)/American Heart Association (AHA)/World Heart Federation (WHF) Task Force for the Universal Definition of Myocardial Infarction. Fourth Universal Definition of Myocardial Infarction. J. Am. Coll Cardiol 2018, 72, 2231–2264. [Google Scholar]
- Collet, J.P.; Thiele, H.; Barbato, E.; Barthelemy, O.; Bauersachs, J.; Bhatt, D.L.; Dendale, P.; Dorobantu, M.; Edvardsen, T.; Folliguet, T.; et al. 2020 ESC Guidelines for the management of acute coronary syndromes in patients presenting without persistent ST-segment elevation. Eur. Heart J. 2021, 42, 1289–1367. [Google Scholar] [CrossRef]
- Ibanez, B.; James, S.; Agewall, S.; Antunes, M.J.; Bucciarelli-Ducci, C.; Bueno, H.; Caforio, A.L.P.; Crea, F.; Goudevenos, J.A.; Halvorsen, S.; et al. 2017 ESC Guidelines for the management of acute myocardial infarction in patients presenting with ST-segment elevation: The Task Force for the management of acute myocardial infarction in patients presenting with ST-segment elevation of the European Society of Cardiology (ESC). Eur. Heart J. 2018, 39, 119–177. [Google Scholar]
- Bozkurt, B.; Coats, A.; Tsutsui, H.; Abdelhamid, M.; Adamopoulos, S.; Albert, N.; Anker, S.D.; Atherton, J.; Butler, J.; Drazenr, M.H.; et al. Universal Definition and Classification of Heart Failure: A Report of the Heart Failure Society of America, Heart Failure Association of the European Society of Cardiology, Japanese Heart Failure Society and Writing Committee of the Universal Definition of Heart Failure. J. Card. Fail. 2021, 27, 387–413. [Google Scholar]
- Ponikowski, P.; Voors, A.A.; Anker, S.D.; Bueno, H.; Cleland, J.G.; Coats, A.J.; Falk, V.; Gonzalez-Juanatey, J.R.; Harjola, V.P.; Jankowska, E.A.; et al. 2016 ESC Guidelines for the diagnosis and treatment of acute and chronic heart failure: The Task Force for the diagnosis and treatment of acute and chronic heart failure of the European Society of Cardiology (ESC). Developed with the special contribution of the Heart Failure Association (HFA) of the ESC. Eur. J. Heart Fail. 2016, 18, 891–975. [Google Scholar] [PubMed]
- Yu, W.; Xu, C.; Li, G.; Hong, W.; Zhou, Z.; Xiao, C.; Zhao, Y.; Cai, Y.; Huang, M.; Jin, J. Simultaneous determination of trimethylamine N-oxide, choline, betaine by UPLC-MS/MS in human plasma: An application in acute stroke patients. J. Pharm. Biomed. Anal. 2018, 152, 179–187. [Google Scholar] [CrossRef] [PubMed]
- Wang, G.; Zhao, D.; Chen, H.; Ding, D.; Kou, L.; Sun, L.; Hao, C.; Li, X.; Jia, K.; Kan, Q.; et al. Development and validation of a UPLC-MS/MS assay for the determination of gemcitabine and its L-carnitine ester derivative in rat plasma and its application in oral pharmacokinetics. Asian J. Pharm. Sci. 2017, 12, 478–485. [Google Scholar] [CrossRef] [PubMed]
- Farhangi, M.A.; Vajdi, M. Novel findings of the association between gut microbiota-derived metabolite trimethylamine N-oxide and inflammation: Results from a systematic review and dose-response meta-analysis. Crit. Rev. Food Sci. Nutr. 2020, 60, 2801–2823. [Google Scholar] [CrossRef]
- Gregory, J.C.; Buffa, J.A.; Org, E.; Wang, Z.; Levison, B.S.; Zhu, W.; Wagner, M.A.; Bennett, B.J.; Li, L.; DiDonato, J.A.; et al. Transmission of atherosclerosis susceptibility with gut microbial transplantation. J. Biol. Chem. 2015, 290, 5647–5660. [Google Scholar] [CrossRef]
- Witkowski, M.; Weeks, T.L.; Hazen, S.L. Gut Microbiota and Cardiovascular Disease. Circ. Res. 2020, 127, 553–570. [Google Scholar] [CrossRef]
- Lever, M.; George, P.M.; Slow, S.; Bellamy, D.; Young, J.M.; Ho, M.; McEntyre, C.J.; Elmslie, J.L.; Atkinson, W.; Molyneux, S.L.; et al. Betaine and Trimethylamine-N-Oxide as Predictors of Cardiovascular Outcomes Show Different Patterns in Diabetes Mellitus: An Observational Study. PLoS ONE 2014, 9, e114969. [Google Scholar] [CrossRef]
- Ringel, C.; Dittrich, J.; Gaudl, A.; Schellong, P.; Beuchel, C.F.; Baber, R.; Beutner, F.; Teren, A.; Engel, C.; Wirkner, K.; et al. Association of plasma trimethylamine N-oxide levels with atherosclerotic cardiovascular disease and factors of the metabolic syndrome. Atherosclerosis 2021, 335, 62–67. [Google Scholar] [CrossRef]
- Zeisel, S.H. Choline: Critical role during fetal development and dietary requirements in adults. Annu. Rev. Nutr. 2006, 26, 229–250. [Google Scholar] [CrossRef]
- Yang, Y.; Xu, J.; Zhou, J.; Xue, J.; Gao, J.; Li, X.; Sun, B.; Yang, B.; Liu, Z.; Zhao, Z.; et al. High Betaine and Dynamic Increase of Betaine Levels Are Both Associated With Poor Prognosis of Patients With Pulmonary Hypertension. Front. Cardiovasc. Med. 2022, 9, 852009. [Google Scholar] [CrossRef]
- Troseid, M.; Ueland, T.; Hov, J.R.; Svardal, A.; Gregersen, I.; Dahl, C.P.; Aakhus, S.; Gude, E.; Bjorndal, B.; Halvorsen, B.; et al. Microbiota-dependent metabolite trimethylamine-N-oxide is associated with disease severity and survival of patients with chronic heart failure. J. Intern. Med. 2015, 277, 717–726. [Google Scholar] [CrossRef] [PubMed]
- Flanagan, J.L.; Simmons, P.A.; Vehige, J.; Willcox, M.D.; Garrett, Q. Role of carnitine in disease. Nutr. Metab. 2010, 7, 30. [Google Scholar] [CrossRef]
- Zeisel, S.H.; Warrier, M. Trimethylamine N-Oxide, the Microbiome, and Heart and Kidney Disease. Annu. Rev. Nutr. 2017, 37, 157–181. [Google Scholar] [CrossRef] [PubMed]
- Canyelles, M.; Tondo, M.; Cedo, L.; Farras, M.; Escola-Gil, J.C.; Blanco-Vaca, F. Trimethylamine N-Oxide: A Link among Diet, Gut Microbiota, Gene Regulation of Liver and Intestine Cholesterol Homeostasis and HDL Function. Int. J. Mol. Sci 2018, 19, 3228. [Google Scholar] [CrossRef]
- Vourakis, M.; Mayer, G.; Rousseau, G. The Role of Gut Microbiota on Cholesterol Metabolism in Atherosclerosis. Int. J. Mol. Sci. 2021, 22, 8074. [Google Scholar] [CrossRef]
- Seldin, M.M.; Meng, Y.; Qi, H.; Zhu, W.; Wang, Z.; Hazen, S.L.; Lusis, A.J.; Shih, D.M. Trimethylamine N-Oxide Promotes Vascular Inflammation Through Signaling of Mitogen-Activated Protein Kinase and Nuclear Factor-kappaB. J. Am. Heart Assoc. 2016, 5, e002767. [Google Scholar] [CrossRef]
- Chen, S.; Henderson, A.; Petriello, M.C.; Romano, K.A.; Gearing, M.; Miao, J.; Schell, M.; Sandoval-Espinola, W.J.; Tao, J.; Sha, B.; et al. Trimethylamine N-Oxide Binds and Activates PERK to Promote Metabolic Dysfunction. Cell. Metab. 2019, 30, 1141–1151.e5. [Google Scholar] [CrossRef]
- Chen, M.L.; Zhu, X.H.; Ran, L.; Lang, H.D.; Yi, L.; Mi, M.T. Trimethylamine-N-Oxide Induces Vascular Inflammation by Activating the NLRP3 Inflammasome Through the SIRT3-SOD2-mtROS Signaling Pathway. J. Am. Heart Assoc. 2017, 6, e006347. [Google Scholar] [CrossRef]
- Zhu, W.; Wang, Z.; Tang, W.H.W.; Hazen, S.L. Gut Microbe-Generated Trimethylamine N-Oxide From Dietary Choline Is Prothrombotic in Subjects. Circulation 2017, 135, 1671–1673. [Google Scholar] [CrossRef]
- Lv, Z.; Shan, X.; Tu, Q.; Wang, J.; Chen, J.; Yang, Y. Ginkgolide B treatment regulated intestinal flora to improve high-fat diet induced atherosclerosis in ApoE(-/-) mice. Biomed. Pharm. 2021, 134, 111100. [Google Scholar] [CrossRef]
- Tang, W.H.; Wang, Z.; Levison, B.S.; Koeth, R.A.; Britt, E.B.; Fu, X.; Wu, Y.; Hazen, S.L. Intestinal microbial metabolism of phosphatidylcholine and cardiovascular risk. N. Engl. J. Med. 2013, 368, 1575–1584. [Google Scholar] [CrossRef] [PubMed]
- Xourgia, E.; Papazafiropoulou, A.; Papanas, N.; Melidonis, A. Anti-diabetic treatment leads to changes in gut microbiome. Front. Biosci. Landmark Ed. 2019, 24, 688–699. [Google Scholar]
- Wang, Z.; Roberts, A.B.; Buffa, J.A.; Levison, B.S.; Zhu, W.; Org, E.; Gu, X.; Huang, Y.; Zamanian-Daryoush, M.; Culley, M.K.; et al. Non-lethal Inhibition of Gut Microbial Trimethylamine Production for the Treatment of Atherosclerosis. Cell 2015, 163, 1585–1595. [Google Scholar] [CrossRef] [PubMed]
- Wiedeman, A.M.; Barr, S.I.; Green, T.J.; Xu, Z.; Innis, S.M.; Kitts, D.D. Dietary Choline Intake: Current State of Knowledge Across the Life Cycle. Nutrients 2018, 10, 1513. [Google Scholar] [CrossRef]
- Ueland, P.M. Choline and betaine in health and disease. J. Inherit. Metab. Dis 2011, 34, 3–15. [Google Scholar] [CrossRef] [PubMed]
- Rajaie, S.; Esmaillzadeh, A. Dietary choline and betaine intakes and risk of cardiovascular diseases: Review of epidemiological evidence. ARYA Atheroscler. 2011, 7, 78–86. [Google Scholar] [PubMed]
- DiMarco, D.M.; Missimer, A.; Murillo, A.G.; Lemos, B.S.; Malysheva, O.V.; Caudill, M.A.; Blesso, C.N.; Fernandez, M.L. Intake of up to 3 Eggs/Day Increases HDL Cholesterol and Plasma Choline While Plasma Trimethylamine-N-oxide is Unchanged in a Healthy Population. Lipids 2017, 52, 255–263. [Google Scholar] [CrossRef] [PubMed]
- Pekala, J.; Patkowska-Sokola, B.; Bodkowski, R.; Amroz, D.; Nowakowski, P.; Lochynski, S.; Librowski, T. L-carnitine--metabolic functions and meaning in humans life. Curr. Drug. Metab. 2011, 12, 667–678. [Google Scholar] [CrossRef] [PubMed]
- Hooshmand, S.; Balakrishnan, A.; Clark, R.M.; Owen, K.Q.; Koo, S.I.; Arjmandi, B.H. Dietary l-carnitine supplementation improves bone mineral density by suppressing bone turnover in aged ovariectomized rats. Phytomedicine 2008, 15, 595–601. [Google Scholar] [CrossRef]



| Variables | Total Cohort (n = 1203) | Patients with Follow-Up Visit (n = 509) | ||
|---|---|---|---|---|
| V1 | V2 | p-Value | ||
| Male | 963 (80.0) | 423 (83.1) | ||
| Age (years) | 61.1 (53.0, 69.0) | 61.0 (53.4, 60.6) | ||
| BMI (kg/m2) | 25.8 (23.4, 27.8) | 25.7 (22.8, 27.8) | ||
| Killip (II- IV) | 153 (12.7) | 41 (8.1) | ||
| LVEF (%) | 55.0 (50.0, 60.0) | 56.0 (50.0, 60.0) | 60.0 (55.0, 63.0) | <0.001 |
| LVEF < 40% | 68 (5.7) | 24 (4.7) | 12 (2.4) | |
| MVD | 883 (73.4) | 365 (71.7) | ||
| PCI | 833 (69.2) | 359 (70.5) | ||
| Medical history | ||||
| Current Smoker | 875 (72.7) | 371 (72.9) | ||
| Hypertension | 786 (65.3) | 324 (63.7) | ||
| Hyperlipemia | 1117 (92.9) | 468 (91.9) | ||
| Diabetes Mellitus | 416 (34.6) | 177 (34.8) | ||
| Previous Stroke | 184 (15.3) | 79 (15.5) | ||
| CKD | 95 (7.9) | 25 (4.9) | ||
| PAD | 73 (6.1) | 35 (6.9) | ||
| Previous MI | 220 (18.3) | 98 (19.3) | ||
| Laboratory indexes | ||||
| TMAO (µmol/L) | 6.6 (4.0, 11.6) | 6.7 (4.0, 11.5) | 12.7 (8.1, 20.4) | <0.001 |
| Choline (µmol/L) | 1.2 (1.0, 1.5) | 1.2 (1.0, 1.5) | 1.7 (1.4, 2.1) | <0.001 |
| Betaine (µmol/L) | 1.9 (1.5, 2.4) | 1.9 (1.5, 2.4) | 3.1 (2.4, 3.9) | <0.001 |
| L-carnitine1 (µmol/L) | 50.6 (42.5, 59.6) | 51.2 (43.5, 60.7) | 67.0 (51.5, 83.0) | <0.001 |
| eGFR (mL/min/1.732 m2 *) | 76.1 (64.1, 89.4) | 75.9 (65.8, 90.4) | 78.2 (65.3, 88.4) | 0.219 |
| ALT (IU/L) | 32.0 (21.0, 52.0) | 32.0 (20.0, 52.0) | ||
| AST (IU/L) | 90.0 (44.0, 191.0) | 87.0 (44.0, 187.0) | ||
| Baseline cTnI (ng/mL) | 1.0 (0.1, 5.5) | 1.1 (0.1, 6.2) | ||
| Peak cTnI (ng/mL) | 9.6 (2.1, 27.2) | 9.3 (2.0, 24.6) | ||
| Baseline NT-proBNP (ng/mL) | 301.8 (83.1, 1007.0) | 252.5 (70.4, 749.2) | ||
| Peak NT-proBNP (ng/mL) | 1186.0 (469.6, 2776.0) | 1056.0 (429.4, 2186.0) | ||
| hsCRP (mg/L) | 5.5 (1.8, 11.0) | 5.4 (1.8, 10.8) | 1.2 (0.5, 2.8) | <0.001 |
| LDL-C (mmol/L) | 2.6 (2.0, 3.2) | 2.6 (2.0, 3.2) | 1.8 (1.5, 2.3) | <0.001 |
| GRACE score | 108.0 (89.0, 127.0) | 107.0 (90.0, 125.0) | ||
| Medication at discharge | ||||
| Aspirin | 1142 (94.9) | 484 (95.1) | ||
| Ticagrelor | 565 (47.0) | 251 (49.3) | ||
| Clopidogrel | 607 (50.5) | 255 (50.1) | ||
| ACEI/ARB | 830 (69.0) | 356 (69.9) | ||
| Βeta Blocker | 1008 (83.8) | 443 (87.0) | ||
| Statins | 1139 (94.7) | 497 (97.6) | ||
| Adverse outcomes | ||||
| Death | 84 (7.0) | 24 (4.7) | ||
| reMI | 71 (5.9) | 27 (5.3) | ||
| reHF | 22 (1.8) | 12 (2.4) | ||
| Revascularization | 195 (16.2) | 71 (13.9) | ||
| Stroke | 41(3.4) | 18 (3.5) | ||
| MACE | 343 (28.5) | 125 (24.6) | ||
| Endpoint | Group | Event (n.%) | Crude HR (95%CI) | p-Value | Adjusted HR (95%CI) * | p-Value |
|---|---|---|---|---|---|---|
| MACE | ||||||
| ≤median | 149 (24.8) | [1] | [1] | |||
| >median | 194 (32.2) | 1.39 (1.12–1.72) | 0.003 | 1.27 (1.01–1.60) | 0.040 | |
| Tertile 1 | 102 (25.4) | [1] | [1] | |||
| Tertile 2 | 97 (24.2) | 0.95 (0.72–1.26) | 0.743 | 0.89 (0.67–1.19) | 0.429 | |
| Tertile 3 | 144 (35.9) | 1.54 (1.20–1.99) | 0.001 | 1.35 (1.02–1.78) | 0.033 | |
| Trend. test | 343 (28.5) | 1.26 (1.10–1.44) | 0.001 | 1.18 (1.02–1.36) | 0.025 | |
| All-cause death | ||||||
| ≤median | 31 (5.2) | [1] | [1] | |||
| >median | 53 (8.8) | 1.76 (1.13–2.74) | 0.013 | 1.22 (0.73–2.04) | 0.441 | |
| Tertile 1 | 16 (4.0) | [1] | [1] | |||
| Tertile 2 | 23 (5.7) | 1.45 (0.77–2.74) | 0.255 | 1.44 (0.68–3.02) | 0.341 | |
| Tertile 3 | 45 (11.2) | 2.97 (1.68–5.26) | < 0.001 | 2.06 (1.01–4.19) | 0.047 | |
| Trend. test | 84 (7.0) | 1.78 (1.34–2.36) | < 0.001 | 1.43 (1.02–2.01) | 0.036 | |
| reMI | ||||||
| ≤median | 24 (4.0) | [1] | [1] | |||
| >median | 47 (7.8) | 2.04 (1.25–3.33) | 0.005 | 2.01 (1.20–3.37) | 0.008 | |
| Tertile 1 | 19 (4.7) | [1] | [1] | |||
| Tertile 2 | 17 (4.2) | 0.90 (0.47–1.73) | 0.756 | 0.93 (0.48–1.81) | 0.836 | |
| Tertile 3 | 35 (8.7) | 1.96 (1.12–3.43) | 0.018 | 1.95 (1.08–3.53) | 0.027 | |
| Trend. test | 71 (5.9) | 1.46 (1.09–1.96) | 0.012 | 1.44 (1.06–1.97) | 0.021 | |
| reHF | ||||||
| ≤median | 8 (1.3) | [1] | [1] | |||
| >median | 14 (2.3) | 1.81 (0.76–4.31) | 0.182 | 1.02 (0.39–2.64) | 0.968 | |
| Tertile 1 | 7 (1.7) | [1] | [1] | |||
| Tertile 2 | 4 (1.0) | 0.57 (0.17–1.96) | 0.375 | 0.37 (0.09–1.45) | 0.152 | |
| Tertile 3 | 11 (2.7) | 1.67 (0.65–4.31) | 0.288 | 0.97 (0.34–2.80) | 0.961 | |
| Trend. test | 22 (1.8) | 1.36 (0.81–2.30) | 0.247 | 1.02 (0.57–1.82) | 0.940 | |
| Stroke | ||||||
| ≤median | 20 (3.3) | [1] | [1] | |||
| >median | 21 (3.5) | 1.09 (0.59–2.01) | 0.782 | 0.85 (0.44–1.66) | 0.638 | |
| Tertile 1 | 16 (4.0) | [1] | [1] | |||
| Tertile 2 | 13 (3.2) | 0.83 (0.40–1.72) | 0.607 | 0.77 (0.36–1.64) | 0.500 | |
| Tertile 3 | 12 (3.0) | 0.80 (0.38–1.70) | 0.566 | 0.52 (0.23–1.19) | 0.121 | |
| Trend. test | 41 (3.4) | 0.89 (0.61–1.30) | 0.556 | 0.72 (0.48–1.09) | 0.120 | |
| Revascularization | ||||||
| ≤median | 89 (14.8) | [1] | [1] | |||
| >median | 106 (17.6) | 1.25 (0.94–1.65) | 0.125 | 1.3 (0.97–1.75) | 0.083 | |
| Tertile 1 | 62 (15.5) | [1] | [1] | |||
| Tertile 2 | 61 (15.2) | 1.00 (0.70–1.42) | 0.978 | 0.96 (0.67–1.38) | 0.822 | |
| Tertile 3 | 72 (18.0) | 1.24 (0.89–1.75) | 0.209 | 1.25 (0.88–1.79) | 0.210 | |
| Trend. test | 195 (16.2) | 1.12 (0.94–1.33) | 0.205 | 1.12 (0.94–1.35) | 0.212 |
| Endpoint | Group | Event (n.%) | Crude HR (95%CI) | p-Value | Adjusted HR (95%CI) * | p-Value |
|---|---|---|---|---|---|---|
| MACE | ||||||
| L/L | 33 (21.3) | [1] | [1] | |||
| L/H | 17 (17.2) | 0.79 (0.44–1.42) | 0.433 | 1.01 (0.55–1.86) | 0.980 | |
| H/L | 22 (22.2) | 1.04 (0.61–1.79) | 0.875 | 1.20 (0.67–2.16) | 0.547 | |
| H/H | 47 (30.1) | 1.51 (0.97–2.36) | 0.069 | 1.60 (0.98–2.61) | 0.061 | |
| Trend. test | 119 (23.4) | 1.17 (1.01–1.36) | 0.041 | 1.18 (1.00–1.38) | 0.047 | |
| Group 1 | 50 (19.7) | [1] | [1] | |||
| Group 2 | 22 (22.2) | 1.14 (0.69–1.88) | 0.614 | 1.20 (0.69–2.06) | 0.520 | |
| Group 3 | 47 (30.1) | 1.65 (1.11–2.45) | 0.014 | 1.59 (1.03–2.46) | 0.034 | |
| Trend. test | 119 (23.4) | 1.28 (1.05–1.57) | 0.015 | 1.26 (1.02–1.57) | 0.036 | |
| All-cause death | ||||||
| L/L | 5 (3.2) | [1] | [1] | |||
| L/H | 4 (4.0) | 1.26 (0.34–4.68) | 0.734 | 1.95 (0.40–9.56) | 0.410 | |
| H/L | 4 (4.0) | 1.28 (0.34–4.78) | 0.709 | 3.14 (0.62–15.94) | 0.168 | |
| H/H | 11 (7.1) | 2.28 (0.79–6.57) | 0.126 | 2.55 (0.62–10.49) | 0.196 | |
| Trend. test | 24 (4.7) | 1.32 (0.93–1.85) | 0.117 | 1.30 (0.87–1.94) | 0.196 | |
| Group 1 | 9 (3.5) | [1] | [1] | |||
| Group 2 | 4 (4.0) | 1.17 (0.36–3.79) | 0.797 | 1.19 (0.34–4.15) | 0.786 | |
| Group 3 | 11 (7.1) | 2.07 (0.86–5.01) | 0.104 | 1.66 (0.60–4.59) | 0.330 | |
| Trend. test | 24 (4.7) | 1.45 (0.92–2.26) | 0.107 | 1.29 (0.77–2.15) | 0.327 | |
| reMI | ||||||
| L/L | 5 (3.2) | [1] | [1] | |||
| L/H | 2 (2.0) | 0.63 (0.12–3.25) | 0.582 | 0.78 (0.15–4.20) | 0.774 | |
| H/L | 8 (8.1) | 2.62 (0.86–8.01) | 0.091 | 3.30 (1.00–10.84) | 0.050 | |
| H/H | 8 (5.1) | 1.65 (0.54–5.06) | 0.377 | 1.89 (0.58–6.16) | 0.290 | |
| Trend. test | 23 (4.5) | 1.27 (0.90–1.79) | 0.178 | 1.33 (0.93–1.91) | 0.116 | |
| Group 1 | 7 (2.8) | [1] | [1] | |||
| Group 2 | 8 (8.1) | 3.06 (1.11–8.43) | 0.031 | 3.33 (1.18–9.42) | 0.023 | |
| Group 3 | 8 (5.1) | 1.93 (0.70–5.33) | 0.204 | 2.55 (0.90–7.22) | 0.078 | |
| Trend. test | 23 (4.5) | 1.37 (0.87–2.17) | 0.174 | 1.59 (0.99–2.55) | 0.057 | |
| reHF | ||||||
| L/L | 3 (1.9) | [1] | [1] | |||
| L/H | 2 (2.0) | 1.05 (0.18–6.29) | 0.957 | 3.39 (0.19–59.02) | 0.403 | |
| H/L | 2 (2.0) | 1.06 (0.18–6.34) | 0.950 | 0.23 (0.01–6.30) | 0.384 | |
| H/H | 4 (2.6) | 1.36 (0.30–6.07) | 0.689 | 0.19 (0.02–1.94) | 0.160 | |
| Trend. test | 11 (2.2) | 1.10 (0.68–1.80) | 0.692 | 0.54 (0.26–1.09) | 0.087 | |
| Group 1 | 5 (2.0) | [1] | [1] | |||
| Group 2 | 2 (2.0) | 1.04 (0.20–5.35) | 0.964 | 0.52 (0.06–4.44) | 0.551 | |
| Group 3 | 4 (2.6) | 1.33 (0.36–4.96) | 0.670 | 0.94 (0.16–5.49) | 0.943 | |
| Trend. test | 11 (2.2) | 1.15 (0.59–2.23) | 0.677 | 0.93 (0.38–2.31) | 0.883 | |
| Stroke | ||||||
| L/L | 5 (3.2) | [1] | [1] | |||
| L/H | 2 (2.0) | 0.62 (0.12–3.20) | 0.570 | 0.54 (0.1–3.00) | 0.484 | |
| H/L | 4 (4.0) | 1.28 (0.34–4.77) | 0.713 | 1.12 (0.26–4.75) | 0.880 | |
| H/H | 7 (4.5) | 1.45 (0.46–4.56) | 0.528 | 0.93 (0.23–3.74) | 0.914 | |
| Trend. test | 18 (3.5) | 1.18 (0.80–1.74) | 0.402 | 1.02 (0.64–1.62) | 0.946 | |
| Group 1 | 7 (2.8) | [1] | [1] | |||
| Group 2 | 4 (4.0) | 1.5 (0.44–5.13) | 0.516 | 1.34 (0.38–4.75) | 0.649 | |
| Group 3 | 7 (4.5) | 1.7 (0.60–4.85) | 0.321 | 1.13 (0.35–3.71) | 0.836 | |
| Trend. test | 18 (3.5) | 1.3 (0.78–2.18) | 0.314 | 1.07 (0.60–1.91) | 0.818 | |
| Revascularization | ||||||
| L/L | 21 (13.5) | [1] | [1] | |||
| L/H | 8 (8.1) | 0.58 (0.26–1.31) | 0.190 | 0.71 (0.31–1.64) | 0.429 | |
| H/L | 11 (11.1) | 0.80 (0.39–1.66) | 0.551 | 0.91 (0.41–2.01) | 0.823 | |
| H/H | 29 (18.6) | 1.42 (0.81–2.49) | 0.221 | 1.90 (1.05–3.45) | 0.035 | |
| Trend. test | 69 (13.6) | 1.16 (0.95–1.41) | 0.152 | 1.26 (1.03–1.55) | 0.026 | |
| Group 1 | 29 (11.4) | [1] | [1] | |||
| Group 2 | 11 (11.1) | 0.96 (0.48–1.92) | 0.911 | 1.12 (0.55–2.28) | 0.764 | |
| Group 3 | 29 (18.6) | 1.70 (1.02–2.85) | 0.042 | 2.21 (1.28–3.79) | 0.004 | |
| Trend. test | 69 (13.6) | 1.31 (1.00–1.70) | 0.048 | 1.48 (1.12–1.96) | 0.005 |
Publisher’s Note: MDPI stays neutral with regard to jurisdictional claims in published maps and institutional affiliations. |
© 2022 by the authors. Licensee MDPI, Basel, Switzerland. This article is an open access article distributed under the terms and conditions of the Creative Commons Attribution (CC BY) license (https://creativecommons.org/licenses/by/4.0/).
Share and Cite
Li, N.; Wang, Y.; Zhou, J.; Chen, R.; Li, J.; Zhao, X.; Zhou, P.; Liu, C.; Chen, Y.; Song, L.; et al. Association between the Changes in Trimethylamine N-Oxide-Related Metabolites and Prognosis of Patients with Acute Myocardial Infarction: A Prospective Study. J. Cardiovasc. Dev. Dis. 2022, 9, 380. https://doi.org/10.3390/jcdd9110380
Li N, Wang Y, Zhou J, Chen R, Li J, Zhao X, Zhou P, Liu C, Chen Y, Song L, et al. Association between the Changes in Trimethylamine N-Oxide-Related Metabolites and Prognosis of Patients with Acute Myocardial Infarction: A Prospective Study. Journal of Cardiovascular Development and Disease. 2022; 9(11):380. https://doi.org/10.3390/jcdd9110380
Chicago/Turabian StyleLi, Nan, Ying Wang, Jinying Zhou, Runzhen Chen, Jiannan Li, Xiaoxiao Zhao, Peng Zhou, Chen Liu, Yi Chen, Li Song, and et al. 2022. "Association between the Changes in Trimethylamine N-Oxide-Related Metabolites and Prognosis of Patients with Acute Myocardial Infarction: A Prospective Study" Journal of Cardiovascular Development and Disease 9, no. 11: 380. https://doi.org/10.3390/jcdd9110380
APA StyleLi, N., Wang, Y., Zhou, J., Chen, R., Li, J., Zhao, X., Zhou, P., Liu, C., Chen, Y., Song, L., Zhao, H., Yan, H., & Yan, S. (2022). Association between the Changes in Trimethylamine N-Oxide-Related Metabolites and Prognosis of Patients with Acute Myocardial Infarction: A Prospective Study. Journal of Cardiovascular Development and Disease, 9(11), 380. https://doi.org/10.3390/jcdd9110380

