Longitudinal Outcomes of Patients with Aortic Stenosis Stratified by Sex: An Asian Perspective
Abstract
1. Introduction
2. Methods
2.1. Study Design and Population
2.2. Study Endpoints and Statistical Analysis
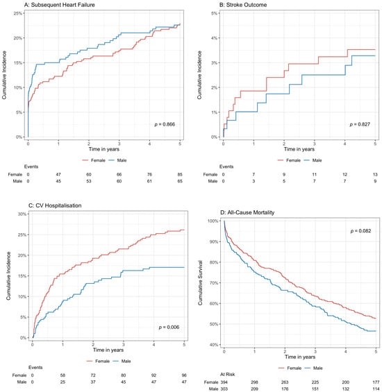
3. Results
4. Discussion
5. Conclusions
Supplementary Materials
Author Contributions
Funding
Institutional Review Board Statement
Informed Consent Statement
Data Availability Statement
Conflicts of Interest
References
- Masiero, G.; Paradies, V.; Franzone, A.; Bellini, B.; De Biase, C.; Karam, N.; Sanguineti, F.; Mamas, M.A.; Eltchaninoff, H.; Fraccaro, C.; et al. Sex-Specific Considerations in Degenerative Aortic Stenosis for Female-Tailored Transfemoral Aortic Valve Implantation Management. J. Am. Heart Assoc. 2022, 11, e025944. [Google Scholar] [CrossRef]
- Sevilla, T.; Ramos, N.; Carnero, M.; Amat-Santos, I.J.; Carrasco-Moraleja, M.; Revilla, A.; Vilacosta, I.; San Román, J.A. Sex Differences in Clinical Outcomes after Aortic Valve Intervention for Isolated Severe Aortic Stenosis. J. Clin. Med. 2023, 12, 7025. [Google Scholar] [CrossRef]
- Iribarren, A.C.; AlBadri, A.; Wei, J.; Nelson, M.D.; Li, D.; Makkar, R.; Merz, C.N.B. Sex differences in aortic stenosis: Identification of knowledge gaps for sex-specific personalized medicine. Am. Heart J. Plus. 2022, 21, 100197. [Google Scholar] [CrossRef]
- Ngiam, J.N.; Chew, N.; Tan, Y.B.; Sim, H.W.; Sia, C.H.; Low, T.T.; Kong, W.K.F.; Tay, E.L.; Kang, G.S.; Yeo, T.C.; et al. An Asian Perspective on Gender Differences in Clinical Outcomes and Echocardiographic Profiles of Patients With Medically Managed Severe Aortic Stenosis. Heart Lung Circ. 2021, 30, 115–120. [Google Scholar] [CrossRef] [PubMed]
- Baumgartner, H.; Hung, J.; Bermejo, J.; Chambers, J.B.; Edvardsen, T.; Goldstein, S.; Lancellotti, P.; LeFevre, M.; Miller, F., Jr.; Otto, C.M. Recommendations on the echocardiographic assessment of aortic valve stenosis: A focused update from the European Association of Cardiovascular Imaging and the American Society of Echocardiography. Eur. Heart J.-Cardiovasc. Imaging 2017, 18, 254–275. [Google Scholar] [CrossRef]
- Fine, J.P.; Gray, R.J. A proportional hazards model for the subdistribution of a competing risk. J. Am. Stat. Assoc. 1999, 94, 496–509. [Google Scholar] [CrossRef]
- Guzzetti, E.; Oh, J.K.; Shen, M.; Dweck, M.R.; Poh, K.K.; Abbas, A.E.; Mando, R.; Pressman, G.S.; Brito, D.; Tastet, L.; et al. Validation of aortic valve calcium quantification thresholds measured by computed tomography in Asian patients with calcific aortic stenosis. Eur. Heart J. Cardiovasc. Imaging 2022, 23, 717–726. [Google Scholar] [CrossRef] [PubMed]
- Shames, S.; Gillam, L.D. Sex differences in aortic valve calcification. Circ. Cardiovasc. Imaging 2013, 6, 8–10. [Google Scholar] [CrossRef] [PubMed]
- Steeds, R.P.; Messika-Zeitoun, D.; Thambyrajah, J.; Serra, A.; Schulz, E.; Maly, J.; Aiello, M.; Rudolph, T.K.; Lloyd, G.; Bortone, A.S.; et al. IMPULSE: The impact of gender on the presentation and management of aortic stenosis across Europe. Open Heart 2021, 8, e001443. [Google Scholar] [CrossRef]
- Chung, A.K.; Das, S.R.; Leonard, D.; Peshock, R.M.; Kazi, F.; Abdullah, S.M.; Canham, R.M.; Levine, B.D.; Drazner, M.H. Women have higher left ventricular ejection fractions than men independent of differences in left ventricular volume: The Dallas heart study. Circulation 2006, 113, 1597–1604. [Google Scholar] [CrossRef] [PubMed]
- Gil Llopis, C.; Valls Serral, A.; Roldán Torres, I.; Contreras Tornero, M.B.; Cuevas Vilaplana, A.; Sorribes Alonso, A.; Escribano Escribano, P.; Gimeno Tio, P.; Galiana Talavera, E.; Geraldo Martínez, J.; et al. Does Gender Influence the Indication of Treatment and Long-Term Prognosis in Severe Aortic Stenosis? J. Cardiovasc. Dev. Dis. 2023, 10, 38. [Google Scholar] [CrossRef]
- Dworatzek, E.; Mahmoodzadeh, S.; Schriever, C.; Kusumoto, K.; Kramer, L.; Santos, G.; Fliegner, D.; Leung, Y.K.; Ho, S.M.; Zimmermann, W.H.; et al. Sex-specific regulation of collagen I and III expression by 17β-Estradiol in cardiac fibroblasts: Role of estrogen receptors. Cardiovasc. Res. 2019, 115, 315–327. [Google Scholar] [CrossRef]
- Villar, A.V.; Llano, M.; Cobo, M.; Expósito, V.; Merino, R.; Martín-Durán, R.; Hurlé, M.A.; Nistal, J.F. Gender differences of echocardiographic and gene expression patterns in human pressure overload left ventricular hypertrophy. J. Mol. Cell. Cardiol. 2009, 46, 526–535. [Google Scholar] [CrossRef] [PubMed]
- Nordström, P.; Glader, C.A.; Dahlén, G.; Birgander, L.S.; Lorentzon, R.; Waldenström, A.; Lorentzon, M. Oestrogen receptor alpha gene polymorphism is related to aortic valve sclerosis in postmenopausal women. J. Intern. Med. 2003, 254, 140–146. [Google Scholar] [CrossRef] [PubMed]
- Fliegner, D.; Schubert, C.; Penkalla, A.; Witt, H.; Kararigas, G.; Dworatzek, E.; Staub, E.; Martus, P.; Ruiz Noppinger, P.; Kintscher, U.; et al. Female sex and estrogen receptor-beta attenuate cardiac remodeling and apoptosis in pressure overload. Am. J. Physiol. Regul. Integr. Comp. Physiol. 2010, 298, R1597–R1606. [Google Scholar] [CrossRef]
- Orlowska-Baranowska, E.; Gadomska Vel Betka, L.; Gora, J.; Baranowski, R.; Pedzich-Placha, E.; Zakrzewski, D.; Dlugosz, A.; Kossowska, H.; Zebrowska, A.; Zakoscielna, E.; et al. Functional polymorphism of the renalase gene is associated with cardiac hypertrophy in female patients with aortic stenosis. PLoS ONE 2017, 12, e0186729. [Google Scholar] [CrossRef] [PubMed]
- Bienjonetti-Boudreau, D.; Fleury, M.A.; Voisine, M.; Paquin, A.; Chouinard, I.; Tailleur, M.; Duval, R.; Magnan, P.O.; Beaudoin, J.; Salaun, E.; et al. Impact of sex on the management and outcome of aortic stenosis patients. Eur. Heart J. 2021, 42, 2683–2691. [Google Scholar] [CrossRef]
- Ad, N.; Barnett, S.D.; Speir, A.M. The performance of the EuroSCORE and the Society of Thoracic Surgeons mortality risk score: The gender factor. Interact Cardiovasc. Thorac. Surg. 2007, 6, 192–195. [Google Scholar] [CrossRef]
- Vahanian, A.; Beyersdorf, F.; Praz, F.; Milojevic, M.; Baldus, S.; Bauersachs, J.; Capodanno, D.; Conradi, L.; De Bonis, M.; De Paulis, R.; et al. 2021 ESC/EACTS Guidelines for the management of valvular heart disease. Eur. Heart J. 2022, 43, 561–632. [Google Scholar] [CrossRef]
- Pighi, M.; Piazza, N.; Martucci, G.; Lachapelle, K.; Perrault, L.P.; Asgar, A.W.; Lauck, S.; Webb, J.G.; Popma, J.J.; Kim, D.H.; et al. Sex-specific determinants of outcomes after transcatheter aortic valve replacement. Circ. Cardiovasc. Qual. Outcomes 2019, 12, e005363. [Google Scholar] [CrossRef]
- Chieffo, A.; Petronio, A.S.; Mehilli, J.; Chandrasekhar, J.; Sartori, S.; Lefèvre, T.; Presbitero, P.; Capranzano, P.; Tchetche, D.; Iadanza, A.; et al. 1-Year Clinical Outcomes in Women After Transcatheter Aortic Valve Replacement: Results From the First WIN-TAVI Registry. JACC Cardiovasc. Interv. 2018, 11, 1–12. [Google Scholar] [CrossRef] [PubMed]
- Sotomi, Y.; Hikoso, S.; Nakatani, D.; Mizuno, H.; Okada, K.; Dohi, T.; Kitamura, T.; Sunaga, A.; Kida, H.; Oeun, B.; et al. Sex Differences in Heart Failure With Preserved Ejection Fraction. J. Am. Heart Assoc. 2021, 10, e018574. [Google Scholar] [CrossRef]
- Feng, J.; Zhang, Y.; Zhang, J. Epidemiology and Burden of Heart Failure in Asia. JACC Asia 2024, 4, 249–264. [Google Scholar] [CrossRef] [PubMed]
- Petrov, G.; Dworatzek, E.; Schulze, T.M.; Dandel, M.; Kararigas, G.; Mahmoodzadeh, S.; Knosalla, C.; Hetzer, R.; Regitz-Zagrosek, V. Maladaptive remodeling is associated with impaired survival in women but not in men after aortic valve replacement. JACC Cardiovasc. Imaging 2014, 7, 1073–1080. [Google Scholar] [CrossRef] [PubMed]
- Stassen, J.; Pio, S.M.; Ewe, S.H.; Amanullah, M.R.; Hirasawa, K.; Butcher, S.C.; Singh, G.K.; Sin, K.Y.K.; Ding, Z.P.; Chew, N.W.S.; et al. Sex-Related Differences in Medically Treated Moderate Aortic Stenosis. Struct. Heart. 2022, 6, 100042. [Google Scholar] [CrossRef]
- Kong, W.K.; Regeer, M.V.; Ng, A.C.; McCormack, L.; Poh, K.K.; Yeo, T.C.; Shanks, M.; Parent, S.; Enache, R.; Popescu, B.A.; et al. Sex Differences in Phenotypes of Bicuspid Aortic Valve and Aortopathy: Insights From a Large Multicenter, International Registry. Circ. Cardiovasc. Imaging 2017, 10, e005155. [Google Scholar] [CrossRef] [PubMed]
- Eltchaninoff, H.; Bonaros, N.; Prendergast, B.; Nietlispach, F.; Vasa-Nicotera, M.; Chieffo, A.; Pibarot, P.; Bramlage, P.; Sykorova, L.; Kurucova, J.; et al. Rationale and design of a prospective, randomized, controlled, multicenter study to evaluate the safety and efficacy of transcatheter heart valve replacement in female patients with severe symptomatic aortic stenosis requiring aortic valve intervention (Randomized researcH in womEn all comers wIth Aortic stenosis [RHEIA] trial). Am. Heart J. 2020, 228, 27–35. [Google Scholar] [PubMed]
- Marquis-Gravel, G.; Redfors, B.; Leon, M.B.; Généreux, P. Medical Treatment of Aortic Stenosis. Circulation 2016, 134, 1766–1784. [Google Scholar] [CrossRef]
- Paolisso, P.; Belmonte, M.; Gallinoro, E.; Scarsini, R.; Bergamaschi, L.; Portolan, L.; Armillotta, M.; Esposito, G.; Moscarella, E.; Benfari, G.; et al. SGLT2-inhibitors in diabetic patients with severe aortic stenosis and cardiac damage undergoing transcatheter aortic valve implantation (TAVI). Cardiovasc. Diabetol. 2024, 23, 420. [Google Scholar] [CrossRef] [PubMed]
- Ong, J.; Leow, A.; Loh, P.H.; Sia, C.H.; Kong, W.K.; Yeo, T.C.; Poh, K.K. An Asian Perspective on Longitudinal Outcomes of Aortic Stenosis Stratified by Sex. J. Am. Coll. Cardiol. 2024, 83 (Suppl. S13), 2167. [Google Scholar] [CrossRef]

| Variables | n | Overall n = 703 | Male n = 306 | Female n = 397 | p-Value |
|---|---|---|---|---|---|
| Baseline Demographics | |||||
| Age, mean (SD) | 703 | 74.4 (12.3) | 73.5 (12.7) | 75.1 (12.0) | 0.084 |
| Ethnicity, n (%) | 0.451 | ||||
| Chinese | 437 (62.2) | 185 (60.5) | 252 (63.5) | ||
| Malay | 112 (15.9) | 54 (17.6) | 58 (14.6) | ||
| Indian | 61 (8.7) | 23 (7.5) | 38 (9.6) | ||
| Others | 93 (13.2) | 44 (14.4) | 49 (12.3) | ||
| BSA (m2), mean (SD) | 1.6 (0.2) | 1.7 (0.2) | 1.6 (0.2) | <0.001 | |
| BMI (kg/m2), mean (SD) | 24.8 (5.4) | 24.4 (5.1) | 25.2 (5.6) | 0.051 | |
| Clinical Findings | |||||
| SOB (NYHA Class), n (%) | 345 | 0.043 | |||
| Class 1 | 136 (39.5) | 65 (44.2) | 71 (35.9) | ||
| Class 2 | 96 (27.9) | 42 (28.6) | 54 (27.3) | ||
| Class 3 | 70 (20.3) | 30 (20.4) | 40 (20.2) | ||
| Class 4 | 43 (12.5) | 10 (6.8) | 33 (16.7) | ||
| Comorbidities, n (%) | 703 | ||||
| Current smoker | 86 (12.2) | 61 (19.9) | 25 (6.3) | <0.001 | |
| Previous smoker | 133 (18.9) | 98 (32.0) | 35 (8.8) | <0.001 | |
| Hypertension | 535 (76.1) | 224 (73.2) | 311 (78.3) | 0.113 | |
| Hyperlipidemia | 439 (62.4) | 182 (59.5) | 257 (64.7) | 0.153 | |
| Diabetes mellitus | 280 (39.8) | 119 (38.9) | 161 (40.6) | 0.655 | |
| Coronary artery disease | 306 (43.5) | 153 (50.0) | 153 (38.5) | 0.002 | |
| Previous AMI | 160 (22.8) | 83 (27.1) | 77 (19.4) | 0.015 | |
| Heart failure | 87 (12.4) | 37 (12.1) | 50 (12.6) | 0.841 | |
| Atrial fibrillation | 132 (18.8) | 50 (16.3) | 82 (20.7) | 0.146 | |
| Previous stroke/TIA | 120 (17.1) | 55 (18.0) | 65 (16.4) | 0.576 | |
| COPD | 29 (4.1) | 19 (6.2) | 10 (2.5) | 0.015 | |
| Malignancy | 78 (11.1) | 27 (8.8) | 51 (12.8) | 0.092 | |
| Anemia | 387 (55.0) | 163 (53.3) | 224 (56.4) | 0.404 | |
| CKD | 670 | 264 (39.4) | 103 (34.7) | 161 (43.2) | 0.026 |
| ESKD | 61 (9.1) | 22 (7.4) | 39 (10.5) | 0.173 | |
| Hemoglobin (g/dL), mean (SD) | 660 | 11.8 (2.2) | 12.4 (2.3) | 11.4 (2.0) | <0.001 |
| Platelet (×109/L), mean (SD) | 659 | 239 (90) | 222 (83) | 252 (94) | <0.001 |
| Creatinine (μmol/L), mean (SD) | 669 | 131 (150) | 139 (155) | 123 (145) | 0.222 |
| GDMT, n (%) | 703 | ||||
| Aspirin | 313 (44.5) | 151 (49.3) | 162 (40.8) | 0.024 | |
| OAC | 83 (11.8) | 32 (10.5) | 51 (12.8) | 0.330 | |
| Statins | 413 (58.7) | 178 (58.2) | 235 (59.2) | 0.785 | |
| ACEi or ARB | 163 (23.2) | 66 (21.6) | 97 (24.4) | 0.372 | |
| BB | 272 (38.7) | 129 (42.2) | 143 (36.0) | 0.098 | |
| Echocardiogram Findings | |||||
| AS severity, n (%) | 703 | 0.126 | |||
| Mild | 388 (55.2) | 156 (51.0) | 232 (58.4) | ||
| Moderate | 206 (65.4) | 96 (64.0) | 110 (66.7) | ||
| Severe | 109 (34.6) | 54 (36.0) | 55 (33.3) | ||
| AS etiology, n (%) | 613 | ||||
| Calcific/degenerative | 555 (90.5) | 249 (90.9) | 306 (90.3) | 0.797 | |
| Bicuspid | 58 (9.5) | 21 (7.7) | 37 (10.9) | 0.172 | |
| Rheumatic | 24 (3.9) | 13 (4.7) | 11 (3.2) | 0.341 | |
| Others | 4 (0.7) | 0 (0.0) | 4 (1.2) | 0.132 | |
| AS flow state, n (%) | 206 | 0.229 | |||
| Paradoxical LFLG | 24 (11.7) | 10 (11.6) | 14 (11.7) | ||
| Classical LFLG | 30 (14.6) | 14 (16.3) | 16 (13.3) | ||
| NFLG | 56 (27.2) | 17 (19.8) | 39 (32.5) | ||
| HFHG | 96 (46.6) | 45 (52.3) | 51 (42.5) | ||
| AVA (cm2), mean (SD) AVA index (cm2/m2), mean (SD) | 693 | 1.14 (0.41) 0.71 (0.27) | 1.14 (0.38) 0.68 (0.24) | 1.14 (0.43) 0.74 (0.28) | 0.849 0.009 |
| MPG (mmHg), mean (SD) | 24.0 (17.1) | 25.2 (17.8) | 23.1 (16.5) | 0.106 | |
| PPG (mmHg), mean (SD) | 40.6 (25.8) | 41.6 (25.7) | 39.8 (26.0) | 0.364 | |
| Vmax (m/sec), mean (SD) | 2.9 (0.9) | 3.0 (0.9) | 3.0 (0.9) | 0.481 | |
| Stroke volume (mL), mean (SD) Stroke volume index (mL/m2), mean (SD) | 65.0 (20.9) 40.3 (12.5) | 68.2 (22.6) 40.5 (13.1) | 62.5 (19.1) 40.2 (12.0) | <0.001 0.780 | |
| DI, mean (SD) | 0.3 (0.1) | 0.3 (0.1) | 0.4 (0.2) | <0.001 | |
| LVOT diameter (mm), mean (SD) | 20.4 (1.9) | 21.1 (2.0) | 19.8 (1.7) | <0.001 | |
| LVOT VTI (mm), mean (SD) | 21.3 (7.0) | 20.1 (5.5) | 22.3 (7.8) | <0.001 | |
| LVOT Vmax (cm/sec), mean (SD) | 96.5 (22.5) | 91.6 (21.0) | 100.3 (22.9) | <0.001 | |
| LVEF (%), mean (SD) | 556 | 57.8 (12.9) | 55.2 (14.3) | 59.6 (11.5) | <0.001 |
| RWMA, n (%) | 433 | 126 (29.1) | 78 (40.2) | 48 (20.1) | <0.001 |
| LV mass (g), mean (SD) LV mass index (g/m2), mean (SD) | 693 | 189.9 (66.6) 117.4 (39.5) | 204.3 (72.0) 120.6 (40.2) | 178.5 (59.7) 114.8 (38.8) | <0.001 0.057 |
| LVIDd (mm), mean (SD) LVIDs (mm), mean (SD) | 47.7 (7.2) 31.7 (8.3) | 49.5 (7.7) 33.5 (9.1) | 46.3 (6.5) 30.3 (7.3) | <0.001 <0.001 | |
| IVSs (mm), mean (SD) IVSd (mm), mean (SD) | 10.8 (2.7) 14.7 (3.2) | 10.9 (2.8) 15.0 (3.2) | 10.7 (2.7) 14.5 (3.1) | 0.537 0.054 | |
| LVPWd (mm), mean (SD) LVPWs (mm), mean (SD) | 10.5 (2.0) 14.8 (2.7) | 10.6 (2.1) 15.0 (2.8) | 10.4 (1.9) 14.6 (2.6) | 0.387 0.091 | |
| LVEDV (mL), mean (SD) LVEDV index (mL/m2), mean (SD) | 109.6 (39.9) 68.0 (24.4) | 119.4 (44.8) 69.9 (26.1) | 101.9 (33.7) 66.5 (22.8) | <0.001 0.070 | |
| LVESV (mL), mean (SD) LVESV index (mL/m2), mean (SD) | 44.6 (31.4) 27.7 (19.1) | 51.1 (36.6) 30.4 (21.7) | 39.5 (25.5) 25.6 (16.5) | <0.001 <0.001 | |
| LA volume (mL), mean (SD) LA volume index (mL/m2), mean (SD) | 418 | 59.4 (24.5) 36.8 (16.0) | 56.2 (23.2) 32.9 (13.6) | 61.9 (25.2) 40.0 (17.0) | 0.019 <0.001 |
| LA area (cm2), mean (SD) LA area index (cm2/m2), mean (SD) | 19.9 (5.5) 12.3 (3.7) | 19.2 (5.5) 11.2 (3.2) | 20.4 (5.5) 13.2 (3.8) | 0.026 <0.001 | |
| EA, mean (SD) | 584 | 1.1 (1.8) | 1.0 (0.7) | 1.1 (2.4) | 0.630 |
| Septal E/e’, mean (SD) | 629 | 20.4 (12.5) | 18.8 (11.1) | 21.7 (13.3) | 0.003 |
| Lateral E/e’, mean (SD) | 390 | 14.8 (7.8) | 13.7 (8.4) | 15.6 (7.2) | 0.016 |
| Average E/e’, mean (SD) | 387 | 16.9 (8.4) | 15.6 (9.1) | 17.8 (7.7) | 0.012 |
| PASP (mmHg), mean (SD) | 617 | 38.9 (15.0) | 37.8 (14.9) | 39.8 (15.0) | 0.101 |
| Outcomes | |||||
| Follow-up duration (years), mean (SD) | 697 | 4.1 (3.3) | 3.9 (3.4) | 4.3 (3.2) | 0.117 |
| AV intervention, n (%) | 703 | 169 (24.0) | 85 (27.8) | 84 (21.2) | 0.042 |
| SAVR | 102 (14.5) | 57 (18.6) | 45 (11.3) | 0.006 | |
| TAVR | 75 (10.7) | 34 (11.1) | 41 (10.3) | 0.739 | |
| Duration to AV intervention (years), mean (SD) | 129 | 3.0 (2.3) | 2.4 (2.2) | 3.6 (2.4) | 0.004 |
| Subsequent HF, n (%) | 703 | 172 (24.5) | 72 (23.5) | 100 (25.2) | 0.612 |
| Stroke outcome, n (%) | 28 (4.0) | 11 (3.6) | 17 (4.3) | 0.644 | |
| CV hospitalization, n (%) | 165 (23.5) | 56 (18.3) | 109 (27.5) | 0.005 | |
| All-cause mortality, n (%) | 431 (61.3) | 189 (61.8) | 242 (61.0) | 0.827 | |
| Variables | Moderate AS | Severe AS | ||||||
|---|---|---|---|---|---|---|---|---|
| n | Male n = 96 | Female n = 110 | p-Value | n | Male n = 54 | Female n = 55 | p-Value | |
| Baseline Demographics | ||||||||
| Age, mean (SD) | 206 | 71.4 (12.9) | 74.5 (13.3) | 0.092 | 109 | 68.9 (12.8) | 72.3 (12.8) | 0.173 |
| Chinese | 60 (62.5) | 66 (60.0) | 29 (53.7) | 42 (76.4) | ||||
| Malay | 15 (15.6) | 16 (14.5) | 10 (18.5) | 4 (7.3) | ||||
| Indian | 4 (4.2) | 8 (7.3) | 5 (9.3) | 5 (9.1) | ||||
| Others | 17 (17.7) | 20 (18.2) | 10 (18.5) | 4 (7.3) | ||||
| BSA (m2), mean (SD) | 1.7 (0.2) | 1.6 (0.2) | <0.001 | 1.7 (0.2) | 1.5 (0.2) | <0.001 | ||
| BMI (kg/m2), mean (SD) | 25.3 (6.4) | 26.9 (6.4) | 0.072 | 24.0 (3.9) | 23.9 (5.0) | 0.928 | ||
| Clinical Findings | ||||||||
| Comorbidities, n (%) | 206 | 109 | ||||||
| Current smoker | 17 (17.7) | 6 (5.5) | 0.005 | 11 (20.4) | 4 (7.3) | 0.047 | ||
| Previous smoker | 25 (26.0) | 8 (7.3) | <0.001 | 13 (24.1) | 4 (7.3) | 0.016 | ||
| Hypertension | 68 (70.8) | 88 (80.0) | 0.126 | 36 (66.7) | 32 (58.2) | 0.361 | ||
| Hyperlipidemia | 55 (57.3) | 66 (60.0) | 0.694 | 28 (51.9) | 38 (69.1) | 0.066 | ||
| Diabetes mellitus | 39 (40.6) | 41 (37.3) | 0.622 | 15 (27.8) | 18 (32.7) | 0.574 | ||
| Coronary artery disease | 46 (47.9) | 32 (29.1) | 0.005 | 21 (38.9) | 22 (40.0) | 0.906 | ||
| Previous AMI | 24 (25.0) | 11 (10.0) | 0.004 | 10 (18.5) | 8 (14.5) | 0.576 | ||
| Heart failure | 19 (19.8) | 13 (11.8) | 0.115 | 7 (13.0) | 10 (18.2) | 0.453 | ||
| Atrial fibrillation | 19 (19.8) | 12 (10.9) | 0.075 | 6 (11.1) | 15 (27.3) | 0.032 | ||
| Previous stroke/TIA | 14 (14.6) | 13 (11.8) | 0.557 | 3 (5.6) | 6 (10.9) | 0.489 | ||
| COPD | 7 (7.3) | 4 (3.6) | 0.244 | 3 (5.6) | 1 (1.8) | 0.363 | ||
| Malignancy | 9 (9.4) | 11 (10.0) | 0.880 | 4 (7.4) | 5 (9.1) | >0.999 | ||
| Anemia | 56 (58.3) | 54 (49.1) | 0.185 | 27 (50.0) | 25 (45.5) | 0.635 | ||
| CKD | 35 (38.0) | 39 (39.0) | 0.892 | 15 (28.8) | 21 (40.4) | 0.216 | ||
| ESKD | 192 | 8 (8.7) | 11 (11.0) | 0.593 | 104 | 1 (1.9) | 4 (7.7) | 0.363 |
| Hemoglobin (g/dL), mean (SD) | 191 | 12.4 (2.1) | 11.4 (2.1) | 0.002 | 105 | 12.8 (2.3) | 11.7 (1.4) | 0.004 |
| Platelet (×109/L), mean (SD) | 219.1 (68.5) | 257.3 (99.0) | 0.002 | 212.3 (85.5) | 241.6 (84.0) | 0.089 | ||
| Creatinine (μmol/L), mean (SD) | 157.7 (169.7) | 114.3 (131.1) | 0.047 | 106.2 (128.3) | 109.5 (99.2) | 0.883 | ||
| GDMT, n (%) | 206 | 109 | ||||||
| Aspirin | 43 (44.8) | 47 (42.7) | 0.766 | 22 (40.7) | 23 (41.8) | 0.909 | ||
| OAC | 17 (17.7) | 9 (8.2) | 0.040 | 5 (9.3) | 10 (18.2) | 0.176 | ||
| Statins | 58 (60.4) | 70 (63.6) | 0.635 | 27 (50.0) | 30 (54.5) | 0.635 | ||
| ACEi or ARB | 20 (20.8) | 23 (20.9) | 0.989 | 12 (22.2) | 10 (18.2) | 0.599 | ||
| BB | 39 (40.6) | 40 (36.4) | 0.530 | 24 (44.4) | 18 (32.7) | 0.209 | ||
| Echocardiogram Findings | ||||||||
| AS etiology, n (%) | 177 | 91 | ||||||
| Calcific/degenerative | 70 (86.4) | 89 (92.7) | 0.168 | 44 (93.6) | 38 (86.4) | 0.306 | ||
| Bicuspid | 9 (11.1) | 8 (8.3) | 0.532 | 2 (4.3) | 7 (15.9) | 0.084 | ||
| Rheumatic | 4 (4.9) | 2 (2.1) | 0.414 | 1 (2.1) | 2 (4.5) | 0.608 | ||
| AVA (cm2), mean (SD) AVA index (cm2/m2), mean (SD) | 206 | 1.1 (0.3) 0.6 (0.2) | 1.0 (0.3) 0.6 (0.2) | 0.378 0.476 | 109 | 0.7 (0.2) 0.4 (0.1) | 0.7 (0.2) 0.4 (0.1) | 0.097 0.811 |
| MPG (mmHg), mean (SD) | 28.4 (7.9) | 26.9 (5.6) | 0.107 | 55.6 (14.7) | 56.2 (14.5) | 0.831 | ||
| PPG (mmHg), mean (SD) | 47.9 (16.3) | 46.7 (16.8) | 0.612 | 80.9 (22.3) | 83.8 (26.8) | 0.533 | ||
| Vmax (m/sec), mean (SD) | 337.1 (53.1) | 327.9 (62.8) | 0.279 | 439.7 (69.5) | 449.4 (80.3) | 0.515 | ||
| Stroke volume (mL), mean (SD) Stroke volume index (mL/m2), mean (SD) | 69.7 (22.5) 41.0 (13.1) | 65.8 (20.4) 41.1 (12.1) | 0.195 0.986 | 68.6 (26.3) 40.2 (14.4) | 63.7 (19.9) 41.6 (12.1) | 0.281 0.586 | ||
| DI, mean (SD) | 0.3 (0.1) | 0.3 (0.1) | 0.015 | 0.2 (0.1) | 0.2 (0.1) | 0.179 | ||
| LVOT diameter (mm), mean (SD) | 21.7 (2.1) | 20.0 (1.6) | <0.001 | 21.4 (2.2) | 20.3 (1.9) | 0.008 | ||
| LVOT VTI (mm), mean (SD) | 20.9 (5.7) | 23.2 (6.7) | 0.009 | 20.7 (5.9) | 23.3 (6.5) | 0.032 | ||
| LVOT Vmax (m/sec), mean (SD) | 94.5 (20.6) | 103.4 (26.2) | 0.008 | 88.2 (21.0) | 97.6 (25.0) | 0.036 | ||
| LVEF (%), mean (SD) | 54.9 (15.4) | 60.6 (12.3) | 0.004 | 52.1 (14.4) | 56.1 (12.9) | 0.137 | ||
| RWMA, n (%) | 114 | 20 (33.9) | 4 (7.3) | <0.001 | 20 | 4 (36.4) | 3 (33.3) | >0.999 |
| LV mass (g), mean (SD) LV mass index (g/m2), mean (SD) | 206 | 216.4 (68.5) 127.0 (37.4) | 190.1 (66.0) 118.8 (40.8) | 0.006 0.141 | 109 | 244.1 (80.4) 143.7 (47.3) | 214.8 (60.3) 140.4 (39.0) | 0.035 0.697 |
| LVIDd (mm), mean (SD) LVIDs (mm), mean (SD) | 50.4 (8.2) 34.4 (10.0) | 46.9 (7.0) 30.2 (7.9) | 0.001 <0.001 | 49.9 (7.9) 34.2 (8.8) | 47.5 (6.3) 31.9 (7.3) | 0.093 0.143 | ||
| IVSs (mm), mean (SD) IVSd (mm), mean (SD) | 10.9 (3.1) 15.1 (3.1) | 10.4 (2.9) 15.0 (3.1) | 0.297 0.817 | 10.8 (3.3) 16.4 (3.1) | 10.4 (1.8) 15.7 (2.9) | 0.375 0.227 | ||
| LVPWd (mm), mean (SD) LVPWs (mm), mean (SD) | 10.8 (1.7) 15.1 (2.6) | 10.8 (1.6) 14.8 (2.4) | 0.910 0.454 | 12.0 (2.5) 16.4 (3.0) | 11.7 (2.3) 16.1 (2.9) | 0.527 0.604 | ||
| LVEDV (mL), mean (SD) LVEDV index (mL/m2), mean (SD) | 125.6 (47.9) 72.1 (27.3) | 105.2 (37.5) 66.8 (24.5) | <0.001 0.143 | 121.6 (44.9) 69.8 (24.0) | 107.6 (35.0) 71.6 (25.0) | 0.075 0.708 | ||
| LVESV (mL), mean (SD) LVESV index (mL/m2), mean (SD) | 55.2 (42.1) 32.5 (24.2) | 39.5 (29.7) 24.8 (18.6) | 0.002 0.012 | 52.9 (34.5) 31.1 (20.2) | 43.9 (26.7) 28.6 (16.8) | 0.130 0.492 | ||
| LA volume (mL), mean (SD) LA volume index (mL/m2), mean (SD) | 112 | 61.8 (27.5) 35.2 (15.6) | 63.0 (20.4) 39.4 (12.9) | 0.789 0.125 | 19 | 56.3 (24.6) 31.1 (12.6) | 52.2 (20.2) 31.3 (11.2) | 0.702 0.973 |
| LA area (cm2), mean (SD) LA area index (cm2/m2), mean (SD) | 20.4 (6.3) 11.7 (3.5) | 20.7 (4.4) 13.0 (2.9) | 0.785 0.034 | 19.4 (5.4) 10.7 (2.9) | 18.4 (4.8) 11.1 (2.6) | 0.686 0.790 | ||
| EA, mean (SD) | 177 | 1.0 (0.6) | 0.9 (0.5) | 0.209 | 93 | 0.9 (0.4) | 1.1 (0.5) | 0.044 |
| Septal E/e’, mean (SD) | 187 | 20.0 (12.2) | 21.2 (12.5) | 0.512 | 100 | 22.1 (15.0) | 24.5 (16.4) | 0.461 |
| Lateral E/e’, mean (SD) | 106 | 15.8 (10.3) | 14.8 (6.8) | 0.578 | 17 | 10.9 (3.0) | 20.0 (7.1) | 0.002 |
| Average E/e’, mean (SD) | 106 | 18.2 (11.8) | 17.2 (7.3) | 0.595 | 17 | 13.8 (6.0) | 19.4 (6.3) | 0.084 |
| PASP (mmHg), mean (SD) | 188 | 38.4 (16.2) | 36.7 (13.9) | 0.449 | 99 | 38.0 (16.4) | 42.4 (16.6) | 0.183 |
| Outcomes | ||||||||
| Follow-up duration (years), mean (SD) | 206 | 4.0 (3.3) | 4.5 (3.4) | 0.233 | 109 | 4.4 (3.7) | 4.1 (3.6) | 0.687 |
| AV intervention, n (%) | 25 (26.0) | 27 (24.5) | 0.805 | 25 (46.3) | 17 (30.9) | 0.099 | ||
| SAVR | 15 (15.6) | 17 (15.5) | 0.973 | 23 (42.6) | 12 (21.8) | 0.020 | ||
| TAVR | 10 (10.4) | 10 (9.1) | 0.749 | 6 (11.1) | 6 (10.9) | 0.973 | ||
| Duration to AV intervention (years), mean (SD) | 43 | 2.1 (1.9) | 3.2 (2.3) | 0.108 | 19 | 1.9 (2.3) | 3.0 (2.2) | 0.297 |
| Subsequent HF, n (%) | 206 | 24 (25.0) | 37 (33.6) | 0.176 | 109 | 19 (35.2) | 16 (29.1) | 0.496 |
| Stroke outcome, n (%) | 3 (3.1) | 3 (2.7) | >0.999 | 3 (5.6) | 4 (7.3) | >0.999 | ||
| CV hospitalization, n (%) | 17 (17.7) | 21 (19.1) | 0.799 | 5 (9.3) | 17 (30.9) | 0.005 | ||
| All-cause mortality, n (%) | 57 (59.4) | 63 (57.3) | 0.760 | 24 (44.4) | 32 (58.2) | 0.151 | ||
| Variables | Subsequent Heart Failure 1 | CV Hospitalisation 1 | All-Cause Mortality 2 | |||
|---|---|---|---|---|---|---|
| aHR (95% CI) 3 | p-Value | aHR (95% CI) 3 | p-Value | aHR (95% CI) 3 | p-Value | |
| Age (per year) | 0.98 (0.96 to 1.00) | 0.065 | 1.02 (0.98 to 1.06) | 0.278 | 1.02 (0.99 to 1.04) | 0.134 |
| Female sex | 2.01 (1.06 to 3.83) | 0.033 | 1.69 (0.74 to 3.87) | 0.216 | 0.94 (0.58 to 1.51) | 0.795 |
| Ethnicity | 1.000 | 1.000 | 0.843 | |||
| Chinese | Reference | Reference | Reference | |||
| Malay | 1.21 (0.59 to 2.49) | 1.40 (0.57 to 3.40) | 0.86 (0.47 to 1.57) | |||
| Indian | N/A | N/A | 0.75 (0.23 to 2.47) | |||
| Others | 0.60 (0.22 to 1.64) | 2.17 (0.75 to 6.28) | 1.21 (0.57 to 2.58) | |||
| BMI (per kg/m2) | 1.01 (0.97 to 1.05) | 0.569 | 0.99 (0.93 to 1.05) | 0.772 | 0.98 (0.94 to 1.03) | 0.436 |
| CAD | 2.39 (1.25 to 4.58) | 0.009 | 1.22 (0.56 to 2.66) | 0.612 | 1.14 (0.71 to 1.83) | 0.578 |
| Previous stroke or TIA | 0.87 (0.40 to 1.88) | 0.720 | 2.78 (1.12 to 6.88) | 0.027 | 1.54 (0.87 to 2.75) | 0.154 |
| CKD | 0.76 (0.38 to 1.54) | 0.451 | 2.16 (1.04 to 4.48) | 0.038 | 2.76 (1.72 to 4.44) | <0.001 |
| Anemia | 0.82 (0.43 to 1.58) | 0.555 | 0.94 (0.43 to 2.03) | 0.871 | 2.91 (1.71 to 4.96) | <0.001 |
| LVEF (per 5%) | 0.87 (0.78 to 0.96) | 0.006 | 0.94 (0.82 to 1.07) | 0.334 | 0.94 (0.87 to 1.01) | 0.115 |
| Variables | AV Intervention 1 | Subsequent Heart Failure 1 | CV Hospitalisation 1 | All-Cause Mortality 2 | ||||
|---|---|---|---|---|---|---|---|---|
| aHR (95% CI) 3 | p-Value | aHR (95% CI) 3 | p-Value | aHR (95% CI) 3 | p-Value | aHR (95% CI) 3 | p-Value | |
| Age (per year) | 1.00 (0.96 to 1.04) | 0.842 | 1.00 (0.95 to 1.04) | 0.892 | 1.03 (0.98 to 1.08) | 0.232 | 1.04 (1.00 to 1.09) | 0.041 |
| Female sex | 0.29 (0.08 to 1.14) | 0.077 | 2.89 (1.01 to 8.29) | 0.048 | 20.0 (1.19 to 335) | 0.037 | 1.18 (0.59 to 2.37) | 0.644 |
| Ethnicity | 0.926 | <0.001 | 0.008 | 0.527 | ||||
| Chinese | Reference | Reference | Reference | Reference | ||||
| Malay | 0.68 (0.14 to 3.24) | 3.63 (1.02 to 12.9) | 21.3 (3.71 to 122) | 0.53 (0.18 to 1.55) | ||||
| Indian | 0.85 (0.10 to 7.02) | 1.16 (0.25 to 5.48) | 0.71 (0.01 to 40.9) | 1.62 (0.41 to 6.50) | ||||
| Others | 1.43 (0.21 to 9.77) | 14.6 (3.95 to 53.9) | 1.40 (0.18 to 10.7) | 0.90 (0.29 to 2.83) | ||||
| BMI (per kg/m2) | 1.01 (0.91 to 1.13) | 0.828 | 1.05 (0.95 to 1.15) | 0.339 | 0.97 (0.84 to 1.11) | 0.638 | 0.93 (0.85 to 1.01) | 0.060 |
| CAD | 1.85 (0.55 to 6.16) | 0.318 | 0.79 (0.34 to 1.83) | 0.581 | 1.52 (0.31 to 7.43) | 0.608 | 0.74 (0.38 to 1.47) | 0.392 |
| Previous stroke or TIA | 1.27 (0.10 to 15.8) | 0.852 | 0.46 (0.12 to 1.82) | 0.269 | 12.3 (1.86 to 81.4) | 0.009 | 2.03 (0.63 to 6.53) | 0.257 |
| CKD | 1.14 (0.30 to 4.34) | 0.845 | 1.27 (0.49 to 3.30) | 0.623 | 5.72 (0.91 to 35.9) | 0.063 | 2.49 (1.17 to 5.31) | 0.017 |
| Anemia | 0.70 (0.26 to 1.90) | 0.484 | 2.72 (1.11 to 6.66) | 0.028 | 0.97 (0.17 to 5.43) | 0.975 | 0.72 (0.35 to 1.50) | 0.383 |
| LVEF (per 5%) | 1.07 (0.85 to 1.35) | 0.556 | 1.02 (0.86 to 1.20) | 0.837 | 0.89 (0.71 to 1.13) | 0.348 | 0.87 (0.76 to 1.00) | 0.045 |
| AV intervention | N/A | N/A | 0.28 (0.05 to 1.71) | 0.168 | 2.41 (0.27 to 21.5) | 0.432 | 0.18 (0.07 to 0.48) | <0.001 |
Disclaimer/Publisher’s Note: The statements, opinions and data contained in all publications are solely those of the individual author(s) and contributor(s) and not of MDPI and/or the editor(s). MDPI and/or the editor(s) disclaim responsibility for any injury to people or property resulting from any ideas, methods, instructions or products referred to in the content. |
© 2025 by the authors. Licensee MDPI, Basel, Switzerland. This article is an open access article distributed under the terms and conditions of the Creative Commons Attribution (CC BY) license (https://creativecommons.org/licenses/by/4.0/).
Share and Cite
Ong, J.Y.S.; Leow, A.S.T.; Ng, C.Y.; Loh, P.H.; Quek, S.C.; Kong, W.K.F.; Yeo, T.C.; Sia, C.H.; Poh, K.K. Longitudinal Outcomes of Patients with Aortic Stenosis Stratified by Sex: An Asian Perspective. J. Cardiovasc. Dev. Dis. 2025, 12, 32. https://doi.org/10.3390/jcdd12010032
Ong JYS, Leow AST, Ng CY, Loh PH, Quek SC, Kong WKF, Yeo TC, Sia CH, Poh KK. Longitudinal Outcomes of Patients with Aortic Stenosis Stratified by Sex: An Asian Perspective. Journal of Cardiovascular Development and Disease. 2025; 12(1):32. https://doi.org/10.3390/jcdd12010032
Chicago/Turabian StyleOng, Joy Y. S., Aloysius S. T. Leow, Chun Yi Ng, Poay Huan Loh, Swee Chye Quek, William K. F. Kong, Tiong Cheng Yeo, Ching Hui Sia, and Kian Keong Poh. 2025. "Longitudinal Outcomes of Patients with Aortic Stenosis Stratified by Sex: An Asian Perspective" Journal of Cardiovascular Development and Disease 12, no. 1: 32. https://doi.org/10.3390/jcdd12010032
APA StyleOng, J. Y. S., Leow, A. S. T., Ng, C. Y., Loh, P. H., Quek, S. C., Kong, W. K. F., Yeo, T. C., Sia, C. H., & Poh, K. K. (2025). Longitudinal Outcomes of Patients with Aortic Stenosis Stratified by Sex: An Asian Perspective. Journal of Cardiovascular Development and Disease, 12(1), 32. https://doi.org/10.3390/jcdd12010032

