Serum Catestatin Concentrations Are Increased in Patients with Atrial Fibrillation
(This article belongs to the Section Electrophysiology and Cardiovascular Physiology)
Abstract
1. Introduction
2. Materials and Methods
2.1. Study Design and Ethical Considerations
2.2. Clinical and Laboratory Evaluations
2.3. Statistical Analysis
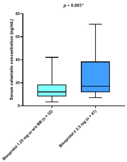
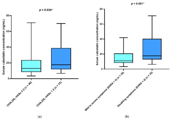
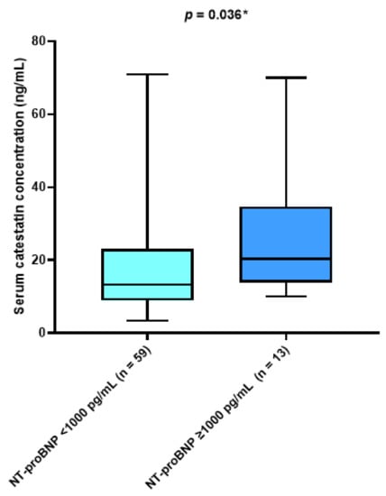
3. Results
4. Discussion
5. Conclusions
Author Contributions
Funding
Institutional Review Board Statement
Informed Consent Statement
Data Availability Statement
Conflicts of Interest
References
- Hindricks, G.; Potpara, T.; Dagres, N.; Arbelo, E.; Bax, J.J.; Blomström-Lundqvist, C.; Boriani, G.; Castella, M.; Dan, G.-A.; Dilaveris, P.E.; et al. 2020 ESC Guidelines for the diagnosis and management of atrial fibrillation developed in collaboration with the European Association for Cardio-Thoracic Surgery (EACTS). Eur. Heart J. 2021, 42, 373–498. [Google Scholar] [CrossRef] [PubMed]
- Allessie, M.A.; Boyden, P.A.; Camm, A.J.; Kléber, A.G.; Lab, M.J.; Legato, M.J.; Rosen, M.R.; Schwartz, P.J.; Spooner, P.M.; Van Wagoner, D.R.; et al. Pathophysiology and Prevention of Atrial Fibrillation. Circulation 2001, 103, 769–777. [Google Scholar] [CrossRef]
- Boerschel, C.; Ohlrogge, A.; Geelhoed, B.; Niiranen, T.; Havulinna, A.S.; Palosaari, T.; Blankenberg, S.; Zeller, T.; Salomaa, V.; Schnabel, R.B. Risk prediction of atrial fibrillation in the community combining biomarkers and genetics. Eur. Heart J. 2021, 23, 674–681. [Google Scholar] [CrossRef] [PubMed]
- Chen, P.-S.; Chen, L.S.; Fishbein, M.C.; Lin, S.-F.; Nattel, S. Role of the Autonomic Nervous System in Atrial Fibrillation: Pathophysiology and Therapy. Circ. Res. 2014, 114, 1500–1515. [Google Scholar] [CrossRef]
- Nguyen, B.L.; Fishbein, M.C.; Chen, L.S.; Chen, P.-S.; Masroor, S. Histopathological substrate for chronic atrial fibrillation in humans. Heart Rhythm. 2009, 6, 454–460. [Google Scholar] [CrossRef] [PubMed]
- Tan, A.Y.; Li, H.; Wachsmann-Hogiu, S.; Chen, L.S.; Chen, P.-S.; Fishbein, M.C. Autonomic Innervation and Segmental Muscular Disconnections at the Human Pulmonary Vein-Atrial Junction: Implications for Catheter Ablation of Atrial-Pulmonary Vein Junction. J. Am. Coll. Cardiol. 2006, 48, 132–143. [Google Scholar] [CrossRef] [PubMed]
- Arora, R. Recent Insights into the Role of the Autonomic Nervous System in the Creation of Substrate for Atrial Fibrillation. Circ. Arrhythm. Electrophysiol. 2012, 5, 850–859. [Google Scholar] [CrossRef]
- Miyauchi, Y.; Zhou, S.; Okuyama, Y.; Miyauchi, M.; Hayashi, H.; Hamabe, A.; Fishbein, M.C.; Mandel, W.J.; Chen, L.S.; Chen, P.-S.; et al. Altered Atrial Electrical Restitution and Heterogeneous Sympathetic Hyperinnervation in Hearts With Chronic Left Ventricular Myocardial Infarction. Circulation 2003, 108, 360–366. [Google Scholar] [CrossRef]
- Gould, P.A.; Yii, M.; McLean, C.; Finch, S.; Marshall, T.; Lambert, G.W.; Kaye, D.M. Evidence for increased atrial sympathetic innervation in persistent human atrial fibrillation. Pacing Clin. Electrophysiol. 2006, 29, 821–829. [Google Scholar] [CrossRef]
- Qin, M.; Zeng, C.; Liu, X. The cardiac autonomic nervous system: A target for modulation of atrial fibrillation. Clin. Cardiol. 2019, 42, 644–652. [Google Scholar] [CrossRef]
- Mahata, S.K.; O’Connor, D.T.; Mahata, M.; Yoo, S.H.; Taupenot, L.; Wu, H.; Gill, B.M.; Parmer, R.J. Novel autocrine feedback control of catecholamine release. A discrete chromogranin a fragment is a noncompetitive nicotinic cholinergic antagonist. J. Clin. Investig. 1997, 100, 1623–1633. [Google Scholar] [CrossRef] [PubMed]
- Mahata, S.K.; Kiranmayi, M.; Mahapatra, N.R. Catestatin: A Master Regulator of Cardiovascular Functions. Curr. Med. Chem. 2018, 25, 1352–1374. [Google Scholar] [CrossRef] [PubMed]
- Mahapatra, N.R.; Mahata, M.; Mahata, S.K.; O’Connor, D.T. The chromogranin A fragment catestatin: Specificity, potency and mechanism to inhibit exocytotic secretion of multiple catecholamine storage vesicle co-transmitters. J. Hypertens. 2006, 24, 895–904. [Google Scholar] [CrossRef] [PubMed]
- Bozic, J.; Kumric, M.; Kurir, T.T.; Urlic, H.; Martinovic, D.; Vilovic, M.; Mrcela, N.T.; Borovac, J.A. Catestatin as a Biomarker of Cardiovascular Diseases: A Clinical Perspective. Biomedicines 2021, 9, 1757. [Google Scholar] [CrossRef]
- Galderisi, M.; Cosyns, B.; Edvardsen, T.; Cardim, N.; Delgado, V.; Di Salvo, G.; Donal, E.; Sade, L.E.; Ernande, L.; Garbi, M.; et al. Standardization of adult transthoracic echocardiography reporting in agreement with recent chamber quantification, diastolic function, and heart valve disease recommendations: An expert consensus document of the European association of cardiovascular imaging. Eur. Heart J. Cardiovasc. Imaging 2017, 18, 1301–1310. [Google Scholar] [CrossRef]
- De With, R.R.; Arita, V.A.; Nguyen, B.-O.; Linz, D.; Cate, H.T.; Spronk, H.; Schotten, U.; van Zonneveld, A.J.; Erküner, Ö.; Bayón, M.A.; et al. Different circulating biomarkers in women and men with paroxysmal atrial fibrillation: Results from the AF-RISK and RACE V studies. EP Eur. 2022, 24, 193–201. [Google Scholar] [CrossRef]
- Nopp, S.; Königsbrügge, O.; Kraemmer, D.; Pabinger, I.; Ay, C. Growth differentiation factor-15 predicts major adverse cardiac events and all-cause mortality in patients with atrial fibrillation. Eur. J. Intern. Med. 2021, 88, 35–42. [Google Scholar] [CrossRef]
- Casabella-Ramón, S.; Jiménez-Sábado, V.; Tarifa, C.; Casellas, S.; Lu, T.T.; Izquierdo-Castro, P.; Gich, I.; Jiménez, M.; Ginel, A.; Guerra, J.M.; et al. Impact of R-Carvedilol on β2-Adrenergic Receptor-Mediated Spontaneous Calcium Release in Human Atrial Myocytes. Biomedicines 2022, 10, 1759. [Google Scholar] [CrossRef]
- Alam, M.d.J.; Gupta, R.; Mahapatra, N.R.; Goswami, S.K. Catestatin reverses the hypertrophic effects of norepinephrine in H9c2 cardiac myoblasts by modulating the adrenergic signaling. Mol. Cell. Biochem. 2020, 464, 205–219. [Google Scholar] [CrossRef]
- Angelone, T.; Quintieri, A.M.; Brar, B.K.; Limchaiyawat, P.T.; Tota, B.; Mahata, S.K.; Cerra, M.C. The Antihypertensive Chromogranin A Peptide Catestatin Acts as a Novel Endocrine/Paracrine Modulator of Cardiac Inotropism and Lusitropism. Endocrinology 2008, 149, 4780–4793. [Google Scholar] [CrossRef]
- Pieroni, M.; Corti, A.; Tota, B.; Curnis, F.; Angelone, T.; Colombo, B.; Cerra, M.C.; Bellocci, F.; Crea, F.; Maseri, A. Myocardial production of chromogranin A in human heart: A new regulatory peptide of cardiac function. Eur. Heart J. 2007, 28, 1117–1127. [Google Scholar] [CrossRef] [PubMed]
- Cai, H.; Li, Z.; Goette, A.; Mera, F.; Honeycutt, C.; Feterik, K.; Wilcox, J.N.; DudleyJr, S.C.; Harrison, D.G.; Langberg, J.J. Downregulation of Endocardial Nitric Oxide Synthase Expression and Nitric Oxide Production in Atrial Fibrillation. Circulation 2002, 106, 2854–2858. [Google Scholar] [CrossRef]
- Mahapatra, N.R. Catestatin is a novel endogenous peptide that regulates cardiac function and blood pressure. Cardiovasc Res. 2008, 80, 330–338. [Google Scholar] [CrossRef] [PubMed]
- Mazza, R.; Gattuso, A.; Mannarino, C.; Brar, B.K.; Barbieri, S.F.; Tota, B.; Mahata, S.K. Catestatin (chromogranin A344-364) is a novel cardiosuppressive agent: Inhibition of isoproterenol and endothelin signaling in the frog heart. Am. J. Physiol. Circ. Physiol. 2008, 295, H113–H122. [Google Scholar] [CrossRef] [PubMed]
- Molina, C.E.; Leroy, J.; Richter, W.; Xie, M.; Scheitrum, C.; Lee, I.-O.; Maack, C.; Rucker-Martin, C.; Donzeau-Gouge, P.; Verde, I.; et al. Cyclic Adenosine Monophosphate Phosphodiesterase Type 4 Protects Against Atrial Arrhythmias. J. Am. Coll. Cardiol. 2012, 59, 2182–2190. [Google Scholar] [CrossRef]
- Froehlich, J.P.; Mahaney, J.E.; Keceli, G.; Pavlos, C.M.; Goldstein, R.; Redwood, A.J.; Sumbilla, C.; Lee, D.I.; Tocchetti, C.G.; Kass, D.A.; et al. Phospholamban Thiols Play a Central Role in Activation of the Cardiac Muscle Sarcoplasmic Reticulum Calcium Pump by Nitroxyl. Biochemistry 2008, 47, 13150–13152. [Google Scholar] [CrossRef]
- Angelone, T.; Mazza, R.; Cerra, M.C. Chromogranin-A: A Multifaceted Cardiovascular Role in Health and Disease. Curr. Med. Chem. 2012, 19, 4042–4050. [Google Scholar] [CrossRef]
- Vest, J.A.; Wehrens, X.H.; Reiken, S.R.; Lehnart, S.E.; Dobrev, D.; Chandra, P.; Danilo, P.; Ravens, U.; Rosen, M.R.; Marks, A.R. Defective Cardiac Ryanodine Receptor Regulation During Atrial Fibrillation. Circulation 2005, 111, 2025–2032. [Google Scholar] [CrossRef]
- Jiménez-Sábado, V.; Casabella-Ramón, S.; Llach, A.; Gich, I.; Casellas, S.; Ciruela, F.; Chen, S.R.W.; Guerra, J.M.; Ginel, A.; Benítez, R.; et al. Beta-blocker treatment of patients with atrial fibrillation attenuates spontaneous calcium release-induced electrical activity. Biomed Pharmacother. 2023, 158, 114169. [Google Scholar] [CrossRef]
- Wang, Y.; Shi, Q.; Li, M.; Zhao, M.; Gopireddy, R.R.; Teoh, J.-P.; Xu, B.; Zhu, C.; Ireton, K.E.; Srinivasan, S.; et al. Intracellular β 1 -Adrenergic Receptors and Organic Cation Transporter 3 Mediate Phospholamban Phosphorylation to Enhance Cardiac Contractility. Circ. Res. 2021, 128, 246–261. [Google Scholar] [CrossRef]
- Reiken, S.; Gaburjakova, M.; Gaburjakova, J.; He, K.; Prieto, A.; Becker, E.; Yi, G.-H.; Wang, J.; Burkhoff, D.; Marks, A.R. β-Adrenergic Receptor Blockers Restore Cardiac Calcium Release Channel (Ryanodine Receptor) Structure and Function in Heart Failure. Circulation 2001, 104, 2843–2848. [Google Scholar] [CrossRef] [PubMed]
- Reiken, S.; Wehrens, X.H.T.; Vest, J.A.; Barbone, A.; Klotz, S.; Mancini, D.; Burkhoff, D.; Marks, A.R. β-Blockers Restore Calcium Release Channel Function and Improve Cardiac Muscle Performance in Human Heart Failure. Circulation 2003, 107, 2459–2466. [Google Scholar] [CrossRef] [PubMed]
- Christ, T.; Rozmaritsa, N.; Engel, A.; Berk, E.; Knaut, M.; Metzner, K.; Canteras, M.; Ravens, U.; Kaumann, A. Arrhythmias, elicited by catecholamines and serotonin, vanish in human chronic atrial fibrillation. Proc. Natl. Acad. Sci. USA 2014, 111, 11193–11198. [Google Scholar] [CrossRef] [PubMed]
- Greiser, M.; Kerfant, B.-G.; Williams, G.S.; Voigt, N.; Harks, E.; Dibb, K.M.; Giese, A.; Meszaros, J.; Verheule, S.; Ravens, U.; et al. Tachycardia-induced silencing of subcellular Ca2+ signaling in atrial myocytes. J. Clin. Investig. 2014, 124, 4759–4772. [Google Scholar] [CrossRef]
- Gong, Y.T.; Li, W.M.; Li, Y.; Yang, S.S.; Sheng, L.; Yang, N.; Shan, H.B.; Xue, H.J.; Liu, W.; Yang, B.F.; et al. Probucol attenuates atrial autonomic remodeling in a canine model of atrial fibrillation produced by prolonged atrial pacing. Chin. Med. J. (Engl.) 2009, 122, 74–82. [Google Scholar]
- Patterson, E.; Po, S.S.; Scherlag, B.J.; Lazzara, R. Triggered firing in pulmonary veins initiated by in vitro autonomic nerve stimulation. Heart Rhythm. 2005, 2, 624–631. [Google Scholar] [CrossRef]
- Yan, M.; Liu, T.; Zhong, P.; Xiong, F.; Cui, B.; Wu, J.; Wu, G. Chronic catestatin treatment reduces atrial fibrillation susceptibility via improving calcium handling in post-infarction heart failure rats. Peptides 2023, 159, 170904. [Google Scholar] [CrossRef]
- Wang, D.; Liu, T.; Shi, S.; Li, R.; Shan, Y.; Huang, Y.; Hu, D.; Huang, C. Chronic Administration of Catestatin Improves Autonomic Function and Exerts Cardioprotective Effects in Myocardial Infarction Rats. J. Cardiovasc. Pharmacol. Ther. 2016, 21, 526–535. [Google Scholar] [CrossRef]
- Helle, K.B. The granin family of uniquely acidic proteins of the diffuse neuroendocrine system: Comparative and functional aspects. Biol. Rev. 1999, 79, 769–794. [Google Scholar] [CrossRef]
- Taupenot, L.; Harper, K.L.; O’Connor, D.T. The Chromogranin–Secretogranin Family. N. Engl. J. Med. 2003, 348, 1134–1149. [Google Scholar] [CrossRef]
- Bakhai, A.; Darius, H.; De Caterina, R.; Smart, A.; Le Heuzey, J.-Y.; Schilling, R.J.; Zamorano, J.L.; Shah, M.; Bramlage, P.; Kirchhof, P. Characteristics and outcomes of atrial fibrillation patients with or without specific symptoms: Results from the PREFER in AF registry. Eur. Heart J. Qual. Care Clin. Outcomes 2016, 2, 299–305. [Google Scholar] [CrossRef] [PubMed]
- Boriani, G.; Laroche, C.; Diemberger, I.; Fantecchi, E.; Popescu, M.I.; Rasmussen, L.H.; Sinagra, G.; Petrescu, L.; Tavazzi, L.; Maggioni, A.P.; et al. Asymptomatic Atrial Fibrillation: Clinical Correlates, Management, and Outcomes in the EORP-AF Pilot General Registry. Am. J. Med. 2014, 128, 509–518.e2. [Google Scholar] [CrossRef] [PubMed]
- Witassek, F.; Springer, A.; Adam, L.; Aeschbacher, S.; Beer, J.H.; Blum, S.; Bonati, L.; Conen, D.; Kobza, R.; Kühne, M.; et al. Health-related quality of life in patients with atrial fibrillation: The role of symptoms, comorbidities, and the type of atrial fibrillation. PLoS ONE 2019, 14, e0226730. [Google Scholar] [CrossRef] [PubMed]
- Walfridsson, H.; Walfridsson, U.; Nielsen, J.C.; Johannessen, A.; Raatikainen, P.; Janzon, M.; Levin, L.A.; Aronsson, M.; Hindricks, G.; Kongstad, O.; et al. Radiofrequency ablation as initial therapy in paroxysmal atrial fibrillation: Results on health-related quality of life and symptom burden. EP Eur. 2015, 17, 215–221. [Google Scholar] [CrossRef]
- Thompson, T.S.; Barksdale, D.J.; Sears, S.F.; Mounsey, J.P.; Pursell, I.; Gehi, A.K. The Effect of Anxiety and Depression on Symptoms Attributed to Atrial Fibrillation. Pacing Clin. Electrophysiol. 2013, 37, 439–446. [Google Scholar] [CrossRef]
- Li, Y.; Song, Y.; Dang, W.; Guo, L.; Xu, W. The associations between anxiety/depression and plasma chromogranin A among healthy workers: Results from EHOP study. J. Occup. Health 2020, 62, e12113. [Google Scholar] [CrossRef]
- Smit, M.D.; van Gelder, I.C. Is inflammation a risk factor for recurrent atrial fibrillation? Europace 2008, 11, 138–139. [Google Scholar] [CrossRef]
- Möllmann, H.; Weber, M.; Elsässer, A.; Nef, H.; Dill, T.; Rixe, J.; Schmitt, J.; Sperzel, J.; Hamm, C.W. NT-ProBNP Predicts Rhythm Stability After Cardioversion of Lone Atrial Fibrillation. Circ. J. 2008, 72, 921–925. [Google Scholar] [CrossRef]
- Chen, Y.; Wang, X.; Yang, C.; Su, X.; Yang, W.; Dai, Y.; Han, H.; Jiang, J.; Lu, L.; Wang, H.; et al. Decreased circulating catestatin levels are associated with coronary artery disease: The emerging anti-inflammatory role. Atherosclerosis 2019, 281, 78–88. [Google Scholar] [CrossRef]
- Chen, H.; Liu, D.; Ge, L.; Wang, T.; Ma, Z.; Han, Y.; Duan, Y.; Xu, X.; Liu, W.; Yuan, J.; et al. Catestatin prevents endothelial inflammation and promotes thrombus resolution in acute pulmonary embolism in mice. Biosci. Rep. 2019, 39, BSR20192236. [Google Scholar] [CrossRef]
- Muntjewerff, E.M.; Dunkel, G.; Nicolasen, M.J.T.; Mahata, S.K.; van den Bogaart, G. Catestatin as a Target for Treatment of Inflammatory Diseases. Front. Immunol. 2018, 9, 2199. [Google Scholar] [CrossRef] [PubMed]
- Borovac, J.A.; Glavas, D.; Susilovic Grabovac, Z.; Supe Domic, D.; D’Amario, D.; Bozic, J. Catestatin in Acutely Decompensated Heart Failure Patients: Insights from the CATSTAT-HF Study. J. Clin. Med. 2019, 8, 1132. [Google Scholar] [CrossRef] [PubMed]
- Kumric, M.; Dujic, G.; Vrdoljak, J.; Svagusa, K.; Kurir, T.T.; Supe-Domic, D.; Dujic, Z.; Bozic, J. CBD supplementation reduces arterial blood pressure via modulation of the sympatho-chromaffin system: A substudy from the HYPER-H21-4 trial. Biomed Pharmacother. 2023, 160, 114387. [Google Scholar] [CrossRef] [PubMed]
- Kojima, M.; Ozawa, N.; Mori, Y.; Takahashi, Y.; Watanabe-Kominato, K.; Shirai, R.; Watanabe, R.; Sato, K.; Matsuyama, T.-A.; Ishibashi-Ueda, H.; et al. Catestatin Prevents Macrophage-Driven Atherosclerosis but Not Arterial Injury–Induced Neointimal Hyperplasia. Thromb. Haemost. 2018, 118, 182–194. [Google Scholar] [CrossRef] [PubMed]
- Martins, R.P.; Kaur, K.; Hwang, E.; Ramirez, R.J.; Willis, C.; Filgueiras-Rama, D.; Ennis, S.R.; Takemoto, Y.; Ponce-Balbuena, D.; Zarzoso, M.; et al. Dominant Frequency Increase Rate Predicts Transition from Paroxysmal to Long-Term Persistent Atrial Fibrillation. Circulation 2014, 129, 1472–1482. [Google Scholar] [CrossRef] [PubMed]
- Lip, G.Y.; Nieuwlaat, R.; Pisters, R.; Lane, D.A.; Crijns, H.J. Refining Clinical Risk Stratification for Predicting Stroke and Thromboembolism in Atrial Fibrillation Using a Novel Risk Factor-Based Approach. Chest 2010, 137, 263–272. [Google Scholar] [CrossRef]
- Gage, B.F.; Waterman, A.D.; Shannon, W.; Boechler, M.; Rich, M.W.; Radford, M.J. Validation of Clinical Classification Schemes for Predicting Stroke. JAMA 2001, 285, 2864. [Google Scholar] [CrossRef]
- Wan, D.; Andrade, J.; Laksman, Z. Thromboembolic risk stratification in atrial fibrillation—Beyond clinical risk scores. Rev. Cardiovasc. Med. 2021, 22, 353–363. [Google Scholar] [CrossRef]
- Kumric, M.; Vrdoljak, J.; Dujic, G.; Supe-Domic, D.; Kurir, T.T.; Dujic, Z.; Bozic, J. Serum Catestatin Levels Correlate with Ambulatory Blood Pressure and Indices of Arterial Stiffness in Patients with Primary Hypertension. Biomolecules 2022, 12, 1204. [Google Scholar] [CrossRef]
- Liu, L.; Ding, W.; Li, R.; Ye, X.; Zhao, J.; Jiang, J.; Meng, L.; Wang, J.; Chu, S.; Han, X.; et al. Plasma levels and diagnostic value of catestatin in patients with heart failure. Peptides 2013, 46, 20–25. [Google Scholar] [CrossRef]
- Bonnefont-Rousselot, D.; Mahmoudi, A.; Mougenot, N.; Varoquaux, O.; Le Nahour, G.; Fouret, P.; Lechat, P. Catecholamine effects on cardiac remodelling, oxidative stress and fibrosis in experimental heart failure. Redox Rep. 2002, 7, 145–151. [Google Scholar] [CrossRef] [PubMed]
- Zhu, D.; Wang, F.; Yu, H.; Mi, L.; Gao, W. Catestatin is useful in detecting patients with stage B heart failure. Biomarkers 2011, 16, 691–697. [Google Scholar] [CrossRef] [PubMed]
- Ottesen, A.H.; Carlson, C.R.; Louch, W.E.; Dahl, M.B.; Sandbu, R.A.; Johansen, R.F.; Jarstadmarken, H.; Bjørås, M.; Høiseth, A.D.; Brynildsen, J.; et al. Glycosylated Chromogranin A in Heart Failure. Circ. Heart Fail. 2017, 10, 2. [Google Scholar] [CrossRef] [PubMed]
- Simac, P.; Perkovic, D.; Bozic, I.; Matijas, M.; Gugo, K.; Martinovic, D.; Bozic, J. Serum catestatin levels in patients with rheumatoid arthritis. Sci. Rep. 2022, 12, 3812. [Google Scholar] [CrossRef] [PubMed]
- Iwanaga, Y.; Nishi, I.; Furuichi, S.; Noguchi, T.; Sase, K.; Kihara, Y.; Goto, Y.; Nonogi, H. B-Type Natriuretic Peptide Strongly Reflects Diastolic Wall Stress in Patients With Chronic Heart Failure: Comparison Between Systolic and Diastolic Heart Failure. J. Am. Coll. Cardiol. 2006, 47, 742–748. [Google Scholar] [CrossRef]
- Burjonroppa, S.C.; Tong, A.T.; Xiao, L.-C.; Johnson, M.M.; Yusuf, S.W.; Lenihan, D.J. Cancer Patients With Markedly Elevated B-Type Natriuretic Peptide May Not Have Volume Overload. Am. J. Clin. Oncol. 2007, 30, 287–293. [Google Scholar] [CrossRef]
- Eagleton, M.J.; Ballard, N.; Lynch, E.; Srivastava, S.D.; Upchurch, G.R.; Stanley, J.C. Early Increased MT1-MMP Expression and Late MMP-2 and MMP-9 Activity during Angiotensin II Induced Aneurysm Formation. J. Surg. Res. 2006, 135, 345–351. [Google Scholar] [CrossRef]
- Nishida, H.; Sato, T.; Ogura, T.; Nakaya, H. New Aspects for the Treatment of Cardiac Diseases Based on the Diversity of Functional Controls on Cardiac Muscles: Mitochondrial Ion Channels and Cardioprotection. J. Pharmacol. Sci. 2009, 109, 341–347. [Google Scholar] [CrossRef]
- Wu, Z.; Zhu, D. The important role of catestatin in cardiac remodeling. Biomarkers 2014, 19, 625–630. [Google Scholar] [CrossRef]
- Januzzi, J.L., Jr.; Camargo, C.A.; Anwaruddin, S.; Baggish, A.L.; Chen, A.A.; Krauser, D.G.; Tung, R.; Cameron, R.; Nagurney, J.T.; Chae, C.U.; et al. The N-terminal Pro-BNP Investigation of Dyspnea in the Emergency department (PRIDE) study. Am. J. Cardiol. 2005, 95, 948–954. [Google Scholar] [CrossRef]
- Peng, F.; Chu, S.; Ding, W.; Liu, L.; Zhao, J.; Cui, X.; Li, R.; Wang, J. The predictive value of plasma catestatin for all-cause and cardiac deaths in chronic heart failure patients. Peptides 2016, 86, 112–117. [Google Scholar] [CrossRef] [PubMed]
- Hijazi, Z.; Oldgren, J.; Andersson, U.; Connolly, S.J.; Ezekowitz, M.D.; Hohnloser, S.H.; Reilly, P.A.; Vinereanu, D.; Siegbahn, A.; Yusuf, S.; et al. Cardiac Biomarkers Are Associated With an Increased Risk of Stroke and Death in Patients With Atrial Fibrillation. Circulation 2012, 125, 1605–1616. [Google Scholar] [CrossRef] [PubMed]
- Transesophageal Echocardiographic Correlates of Thromboembolism in High-Risk Patients with Nonvalvular Atrial Fibrillation. Ann. Intern. Med. 1998, 128, 639. [CrossRef] [PubMed]
- Tuinenburg, A.E.; Van Veldhuisen, D.J.; Boomsma, F.; Berg, M.P.V.D.; De Kam, P.J.; Crijns, H.J. Comparison of Plasma Neurohormones in Congestive Heart Failure Patients With Atrial Fibrillation Versus Patients With Sinus Rhythm. Am. J. Cardiol. 1998, 81, 1207–1210. [Google Scholar] [CrossRef]
- Burstein, B.; Libby, E.; Calderone, A.; Nattel, S. Differential Behaviors of Atrial Versus Ventricular Fibroblasts. Circulation 2008, 117, 1630–1641. [Google Scholar] [CrossRef]
- Borovac, J.A.; Glavas, D.; Susilovic Grabovac, Z.; Supe Domic, D.; Stanisic, L.; D’Amario, D.; Kwok, C.S.; Bozic, J. Circulating sST2 and catestatin levels in patients with acute worsening of heart failure: A report from the CATSTAT-HF study. ESC Heart Fail. 2020, 7, 2818–2828. [Google Scholar] [CrossRef]





| Parameter | Total (n = 145) | AF (n = 73) | Controls (n = 72) | p |
|---|---|---|---|---|
| Age, years | 63 (57–70) | 64 (59–72) | 63 (55–69) | 0.060 * |
| Male sex, n (%) | 86 (59.3%) | 47 (64.4%) | 39 (54.2%) | 0.212 † |
| BMI, kg/m2 | 28.1 (25.9–31.0) | 28.5 (26.0–31.2) | 27.6 (25.7–30.4) | 0.206 * |
| Hypertension, n (%) | 82 (56.6%) | 44 (60.3%) | 38 (52.8%) | 0.075 † |
| Hemoglobin, g/L | 149.1 ± 15.1 | 150.3 ± 14.9 | 146.7 ± 15.4 | 0.253 ‡ |
| Total cholesterol, mmol/L | 5.4 (4.4–6.3) | 5.0 (4.1–6.1) | 5.6 (4.6–6.3) | 0.027 * |
| LDL, mmol/L | 3.2 (2.3–4.0) | 2.8 (2.1–4.0) | 3.5 (2.7–4.1) | 0.014 * |
| HDL, mmol/L | 1.4 (1.2–1.7) | 1.3 (1.1–1.7) | 1.5 (1.3–1.6) | 0.086 * |
| Triglycerides, mmol/L | 1.3 (0.9–1.9) | 1.4 (1.1–1.9) | 1.1 (0.7–1.9) | 0.026 * |
| CRP, mmol/L | 1.7 (0.8–3.4) | 2.0 (1.3–3.9) | 1.3 (0.5–2.7) | 0.005 * |
| NT-proBNP, ng/L | - | 543 (208–894) | - | - |
| AF type | ||||
| Paroxysmal, n (%) | - | 26 (35.6%) | - | - |
| Persistent, n (%) | - | 34 (46.6%) | - | - |
| Long-persistent, n (%) | - | 13 (17.8%) | - | - |
| AF duration, months | - | 60 (24-120) | - | - |
| EHRA score | ||||
| 1 | - | 2 (2.7%) | - | <0.001 † |
| 2 | - | 8 (11.0%) | - | |
| 3 | - | 28 (38.4%) | - | |
| 4 | - | 35 (47.9%) | - | |
| CHA2DS2-VASc score | ||||
| ≤2 | - | 40 (54.8%) | 40 (55.6%) | 0.040 † |
| >2 | - | 33 (45.2%) | 32 (44.4%) | |
| HAS-BLED score | ||||
| 0 | - | 37 (50.7%) | - | <0.001 † |
| 1 | - | 33 (45.2%) | - | |
| 2 | - | 2 (2.7%) | - | |
| 3 | - | 1 (1.4%) | - | |
| LA diameter, mm | - | 45.1 ± 6.1 | - | - |
| LVEF, % | - | 60.5 (55.5-65.0) | - | - |
| Current antiarrhythmic therapy, n (%) | - | 45 (61.6%) | - | - |
| Beta blockers, n (%) | - | 44 (60.3%) | - | - |
| Statins, n (%) | - | 25 (34.2%) | - | - |
Disclaimer/Publisher’s Note: The statements, opinions and data contained in all publications are solely those of the individual author(s) and contributor(s) and not of MDPI and/or the editor(s). MDPI and/or the editor(s) disclaim responsibility for any injury to people or property resulting from any ideas, methods, instructions or products referred to in the content. |
© 2023 by the authors. Licensee MDPI, Basel, Switzerland. This article is an open access article distributed under the terms and conditions of the Creative Commons Attribution (CC BY) license (https://creativecommons.org/licenses/by/4.0/).
Share and Cite
Katic, J.; Jurisic, Z.; Kumric, M.; Borovac, J.A.; Anic, A.; Breskovic, T.; Supe-Domic, D.; Bozic, J. Serum Catestatin Concentrations Are Increased in Patients with Atrial Fibrillation. J. Cardiovasc. Dev. Dis. 2023, 10, 85. https://doi.org/10.3390/jcdd10020085
Katic J, Jurisic Z, Kumric M, Borovac JA, Anic A, Breskovic T, Supe-Domic D, Bozic J. Serum Catestatin Concentrations Are Increased in Patients with Atrial Fibrillation. Journal of Cardiovascular Development and Disease. 2023; 10(2):85. https://doi.org/10.3390/jcdd10020085
Chicago/Turabian StyleKatic, Josip, Zrinka Jurisic, Marko Kumric, Josip A. Borovac, Ante Anic, Toni Breskovic, Daniela Supe-Domic, and Josko Bozic. 2023. "Serum Catestatin Concentrations Are Increased in Patients with Atrial Fibrillation" Journal of Cardiovascular Development and Disease 10, no. 2: 85. https://doi.org/10.3390/jcdd10020085
APA StyleKatic, J., Jurisic, Z., Kumric, M., Borovac, J. A., Anic, A., Breskovic, T., Supe-Domic, D., & Bozic, J. (2023). Serum Catestatin Concentrations Are Increased in Patients with Atrial Fibrillation. Journal of Cardiovascular Development and Disease, 10(2), 85. https://doi.org/10.3390/jcdd10020085

