Non-Invasive EEG Recordings in Epileptic Dogs (Canis familiaris)
Simple Summary
Abstract
1. Introduction
2. Materials and Methods
2.1. Patients
2.2. EEG Measurement
2.3. Visual Inspection
2.4. Control Subjects
2.5. Sleep Macrostructure Scoring
2.6. Statistical Analysis
3. Results
3.1. Descriptive Results
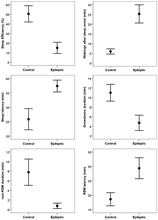
3.2. Sleep Macrostructure Differences
4. Discussion
Author Contributions
Funding
Institutional Review Board Statement
Informed Consent Statement
Data Availability Statement
Conflicts of Interest
References
- Engel, J.; Timothy, A.; Pedley, A.; Aicardi, J. Epilepsy: A Comprehensive Textbook; Lippincott Williams & Wilkins: Philadelphia, PA, USA, 2008; Volume 300. [Google Scholar]
- Podell, M.; Fenner, W.R.; Powers, J.D. Seizure classification in dogs from a nonreferral-based population. J. Am. Vet. Med. Assoc. 1995, 206, 1721–1728. [Google Scholar] [CrossRef]
- Heske, L.; Nødtvedt, A.; Jäderlund, K.H.; Berendt, M.; Egenvall, A. A cohort study of epilepsy among 665,000 insured dogs: Incidence, mortality and survival after diagnosis. Vet. J. 2014, 202, 471–476. [Google Scholar] [CrossRef] [PubMed]
- Lord, L.K.; Podell, M. Owner perception of the care of long-term phenobarbital-treated epileptic dogs. J. Small Anim. Pract. 1999, 40, 11–15. [Google Scholar] [CrossRef] [PubMed]
- Bhatti, S.F.; De Risio, L.; Muñana, K.; Penderis, J.; Stein, V.M.; Tipold, A.; Berendt, M.; Farquhar, R.G.; Fischer, A.; Long, S.; et al. International Veterinary Epilepsy Task Force consensus proposal: Medical treatment of canine epilepsy in Europe. BMC Vet. Res. 2015, 11, 176. [Google Scholar] [CrossRef]
- Wessmann, A.; Volk, H.A.; Packer, R.M.A.; Ortega, M.; Anderson, T.J. Quality-of-life aspects in idiopathic epilepsy in dogs. Vet. Rec. 2016, 179, 229. [Google Scholar] [CrossRef] [PubMed]
- Packer, R.M.A.; Volk, H.A. Epilepsy beyond seizures: A review of the impact of epilepsy and its comorbidities on health-related quality of life in dogs. Vet. Rec. 2015, 177, 306–315. [Google Scholar] [CrossRef]
- Nettifee, J.A.; Munana, K.R.; Griffith, E.H. Evaluation of the impacts of epilepsy in dogs on their caregivers. J. Am. Anim. Hosp. Assoc. 2017, 53, 143–149. [Google Scholar] [CrossRef]
- Masucci, M.; Di Stefano, V.; Donato, G.; Mangano, C.; De Majo, M. How owners of epileptic dogs living in italy evaluate their quality of life and that of their pet: A survey study. Vet. Sci. 2021, 8, 140. [Google Scholar] [CrossRef]
- Goldberg, E.M.; Coulter, D.A. Mechanisms of epileptogenesis: A convergence on neural circuit dysfunction. Nat. Rev. Neurosci. 2013, 14, 337–349. [Google Scholar] [CrossRef]
- Shorvon, S.D. The etiologic classification of epilepsy. Epilepsia 2011, 52, 1052–1057. [Google Scholar] [CrossRef]
- Potschka, H.; Fischer, A.; Von Rüden, E.L.; Hülsmeyer, V.; Baumgärtner, W. Canine epilepsy as a translational model? Epilepsia 2013, 54, 571–579. [Google Scholar] [CrossRef]
- Chandler, K. Canine epilepsy: What can we learn from human seizure disorders? Vet. J. 2006, 172, 207–217. [Google Scholar] [CrossRef]
- Löscher, W. Dogs as a Natural Animal Model of Epilepsy. Front. Vet. Sci. 2022, 9, 928009. [Google Scholar] [CrossRef]
- Jokinen, T.S.; Metsähonkala, L.; Bergamasco, L.; Viitmaa, R.; Syrjä, P.; Lohi, H.; Snellman, M.; Jeserevics, J.; Cizinauskas, S. Benign familial juvenile epilepsy in lagotto romagnolo dogs. J. Vet. Intern. Med. 2007, 21, 464–471. [Google Scholar] [CrossRef]
- Loscher, W.; Schwartz-Porsche, D.; Frey, H.H.; Schmidt, D. Evaluation of epileptic dogs as an animal model of human epilepsy. Arzneim.-Forsch./Drug Res. 1985, 35, 82–87. [Google Scholar]
- Steinmetz, S.; Tipold, A.; Löscher, W. Epilepsy after head injury in dogs: A natural model of posttraumatic epilepsy. Epilepsia 2013, 54, 580–588. [Google Scholar] [CrossRef] [PubMed]
- Pitkänen, A.; Immonen, R.J.; Gröhn, O.H.J.; Kharatishvili, I. From traumatic brain injury to posttraumatic epilepsy: What animal models tell us about the process and treatment options. Epilepsia 2009, 50, 21–29. [Google Scholar] [CrossRef] [PubMed]
- Luca, J.; McCarthy, S.; Parmentier, T.; Hazenfratz, M.; Zur Linden, A.; Gaitero, L.; James, F.M.K. Survey of electroencephalography usage and techniques for dogs. Front. Vet. Sci. 2023, 10, 1198134. [Google Scholar] [CrossRef] [PubMed]
- Yuan, Q.; Li, F.; Zhong, H. Early diagnosis, treatment and prognosis of epilepsy with continuous spikes and waves during slow sleep. Int. J. Clin. Exp. Med. 2015, 8, 4052–4058. [Google Scholar]
- Berendt, M.; Høgenhaven, H.; Flagstad, A.; Dam, M. Electroencephalography in dogs with epilepsy: Similarities between human and canine findings. Acta Neurol. Scand. 1999, 99, 276–283. [Google Scholar] [CrossRef]
- Folkard, E.; Niel, L.; Gaitero, L.; James, F.M.K. Tools and techniques for classifying behaviours in canine epilepsy. Front. Vet. Sci. 2023, 10, 1211515. [Google Scholar] [CrossRef]
- Yeh, W.C.; Lin, H.J.; Li, Y.S.; Chien, C.F.; Wu, M.N.; Liou, L.M.; Hsieh, C.F.; Hsu, C.Y. Rapid eye movement sleep reduction in patients with epilepsy: A systematic review and meta-analysis. Seizure 2022, 96, 46–58. [Google Scholar] [CrossRef]
- Choi, S.J.; Joo, E.Y.; Hong, S.B. Sleep-wake pattern, chronotype and seizures in patients with epilepsy. Epilepsy Res. 2016, 120, 19–24. [Google Scholar] [CrossRef]
- Sudbrack-Oliveira, P.; Lima Najar, L.; Foldvary-Schaefer, N.; da Mota Gomes, M. Sleep architecture in adults with epilepsy: A systematic review. Sleep Med. 2019, 53, 22–27. [Google Scholar] [CrossRef] [PubMed]
- Bunford, N.; Andics, A.; Kis, A.; Miklósi, Á.; Gácsi, M. Canis familiaris as a Model for Non-Invasive Comparative Neuroscience. Trends Neurosci. 2017, 40, 438–452. [Google Scholar] [CrossRef] [PubMed]
- Kis, A.; Szakadát, S.; Kovács, E.; Gácsi, M.; Simor, P.; Gombos, F.; Topál, J.; Miklósi, Á.; Bódizs, R. Development of a non-invasive polysomnography technique for dogs (Canis familiaris). Physiol. Behav. 2014, 130, 149–156. [Google Scholar] [CrossRef]
- Bódizs, R.; Kis, A.; Gácsi, M.; Topál, J. Sleep in the dog: Comparative, behavioral and translational relevance. Curr. Opin. Behav. Sci. 2020, 33, 25–33. [Google Scholar] [CrossRef]
- Kis, A.; Szakadát, S.; Gácsi, M.; Kovács, E.; Simor, P.; Török, C.; Gombos, F.; Bódizs, R.; Topál, J. The interrelated effect of sleep and learning in dogs (Canis familiaris); an EEG and behavioural study. Sci. Rep. 2017, 7, 41873. [Google Scholar] [CrossRef] [PubMed]
- Reicher, V.; Kis, A.; Simor, P.; Bódizs, R.; Gombos, F.; Gácsi, M. Repeated afternoon sleep recordings indicate first-night-effect-like adaptation process in family dogs. J. Sleep Res. 2020, 29, e12998. [Google Scholar] [CrossRef]
- Iotchev, I.B.; Kis, A.; Turcsán, B.; Tejeda Fernández de Lara, D.R.; Reicher, V.; Kubinyi, E. Age-related differences and sexual dimorphism in canine sleep spindles. Sci. Rep. 2019, 9, 10092. [Google Scholar] [CrossRef]
- De Risio, L.; Platt, S. Canine and Feline Epilepsy: Diagnosis and Management; CABI: Wallingford, UK, 2014; ISBN 9781780641096. [Google Scholar]
- Mondino, A.A.; Gutiérrez, M.A.; González, C.A.; Mateos, D.C.; Torterolo, P.E.; Delucchi, L.A.; Fe, S. Electroencephalographic Signatures of Canine Cognitive Dysfunction. bioRxiv 2022. [Google Scholar] [CrossRef]
- Ákos, P.; Thalhammer, J.; Leschnik, M.; Halász, P. Electroencephalographic examination of epileptic dogs under propofol restraint. Acta Vet. Hung. 2012, 60, 309–324. [Google Scholar] [CrossRef]
- Jeserevics, J.; Viitmaa, R.; Cizinauskas, S.; Sainio, K.; Jokinen, T.S.; Snellman, M.; Bellino, C.; Bergamasco, L. Electroencephalography Findings in Healthy and Finnish Spitz Dogs with Epilepsy: Visual and Background Quantitative Analysis. J. Vet. Intern. Med. 2007, 21, 1299–1306. [Google Scholar] [CrossRef]
- Folkard, E.; McKenna, C.; Monteith, G.; Niel, L.; Gaitero, L.; James, F.M.K. Feasibility of in-home electroencephalographic and actigraphy recordings in dogs. Front. Vet. Sci. 2023, 10, 1240880. [Google Scholar] [CrossRef]
- Kulgod, A.; van der Linden, D.; França, L.G.S.; Jackson, M.; Zamansky, A. Non-invasive canine electroencephalography (EEG): A systematic review. BMC Vet Res. 2025, 21, 73. [Google Scholar] [CrossRef] [PubMed]
- Barry, M.; Cameron, S.; Kent, S.; Barnes-Heller, H.; Grady, K. Daytime and nocturnal activity in treated dogs with idiopathic epilepsy compared to matched unaffected controls. J. Vet. Intern. Med. 2021, 35, 1826–1833. [Google Scholar] [CrossRef] [PubMed]
- Wauquier, A.; Van Den Broeck, W.A.E.; Edmonds, H.L. Sleep in epileptic beagles and antiepileptics. Funct. Neurol. 1986, 1, 53–61. [Google Scholar]
- Bolló, H.; Kovács, K.; Lefter, R.; Gombos, F.; Kubinyi, E.; Topál, J.; Kis, A. REM versus Non-REM sleep disturbance specifically affects inter-specific emotion processing in family dogs (Canis familiaris). Sci. Rep. 2020, 10, 10492. [Google Scholar] [CrossRef] [PubMed]
- Packer, R.M.A.; McGreevy, P.D.; Salvin, H.E.; Valenzuela, M.J.; Chaplin, C.M.; Volk, H.A. Cognitive dysfunction in naturally occurring canine idiopathic epilepsy. PLoS ONE 2018, 13, e0192182. [Google Scholar] [CrossRef]
- Winter, J.; Packer, R.M.A.; Volk, H.A. Preliminary assessment of cognitive impairments in canine idiopathic epilepsy. Vet. Rec. 2018, 182, 633. [Google Scholar] [CrossRef]
- Grady, K.; Cameron, S.; Kent, S.P.; Barnes Heller, H.; Barry, M.M. Effect of an intervention of exercise on sleep and seizure frequency in idiopathic epileptic dogs. J. Small Anim. Pract. 2023, 64, 59–68. [Google Scholar] [CrossRef] [PubMed]
- Bunford, N.; Reicher, V.; Kis, A.; Ákos, P.; Ferenc, G.; Bódizs, R.; Gácsi, M.; Pogány, Á.; Gombos, F.; Bódizs, R.; et al. Differences in pre-sleep activity and sleep location are associated with variability in daytime/nighttime sleep electrophysiology in the domestic dog. Sci. Rep. 2018, 8, 7109. [Google Scholar] [CrossRef] [PubMed]


| ID | Breed | Age | Gender | Seizure Type | Last Seizure Within | MRI Scan |
|---|---|---|---|---|---|---|
| 1 | Golden Retriever | 2 y | female (n) | focal–frontal lobe | 4 months | negative |
| 2 | mix | 11 y | male (n) | generalised clonic | 2 weeks | severe left hemisphere lateral ventriculomegaly |
| 3 | Dalmatian | 9 y | male (n) | focal–frontal lobe + generalised clonic | 1 day | negative |
| 4 | Hungarian Vizsla | 6 y | male (n) | generalised clonic, with focal–frontal lobe origin | 5 months | indication of post-ictal edema or cortical dysplasia |
| 5 | Husky | 6 y | female (n) | generalised tonic–clonic | 2 months | negative |
| 6 | mix | 6 y | male (n) | focal–frontal lobe + generalised tonic–clonic | 3 weeks | negative |
| 7 | mix | 4 y | female (n) | generalised clonic | 3 months | NA |
| 8 | French bulldog | 10 y | male (n) | generalised tonic–clonic | 5 days | NA |
| 9 | Pug | 6 y | male (n) | generalised tonic–clonic (not verified) | NA | NA |
| 10 | Poodle | 5 y | female (n) | generalised clonic + focal–frontal lobe | 6 weeks | NA |
| 11 | Boston Terrier | 4 y | male (n) | generalised tonic, with focal–frontal lobe origin | 1 week | severe fourth ventricle ventriculomegaly and mild bilateral lateral third ventricle ventriculomegaly |
| ID | Patient Dogs (Epileptic) | Control Dogs (Healthy) | ||||
|---|---|---|---|---|---|---|
| Breed | Age | Gender | Breed | Age | Gender | |
| 1 | Golden Retriever | 2 y | female (n) | Golden Retriever | 2 y | female (n) |
| 2 | mix | 11 y | male (n) | mix | 11 y | male (n) |
| 3 | Dalmatian | 9 y | male (n) | Dalmatian | 13 y | male (n) |
| 4 | Hungarian Vizsla | 6 y | male (n) | Hungarian Vizsla | 9 y | male (n) |
| 5 | Siberian Husky | 6 y | female (n) | Siberian Husky | 8 y | male (n) |
| 6 | mix | 6 y | male (n) | mix | 5 y | male (n) |
| 7 | mix | 4 y | female (n) | mix | 3 y | female (n) |
| 8 | French Bulldog | 10 y | male (n) | French Bulldog | 10 y | male (n) |
| 9 | Pug | 6 y | male (n) | Boxer | 7 y | male (n) |
| 10 | Poodle | 5 y | female (n) | Poodle | 4 y | female (n) |
| 11 | Boston Terrier | 4 y | male (n) | Boxer | 6 y | male (n) |
Disclaimer/Publisher’s Note: The statements, opinions and data contained in all publications are solely those of the individual author(s) and contributor(s) and not of MDPI and/or the editor(s). MDPI and/or the editor(s) disclaim responsibility for any injury to people or property resulting from any ideas, methods, instructions or products referred to in the content. |
© 2025 by the authors. Licensee MDPI, Basel, Switzerland. This article is an open access article distributed under the terms and conditions of the Creative Commons Attribution (CC BY) license (https://creativecommons.org/licenses/by/4.0/).
Share and Cite
Hermándy-Berencz, K.; Kis, L.; Gombos, F.; Paulina, A.; Kis, A. Non-Invasive EEG Recordings in Epileptic Dogs (Canis familiaris). Vet. Sci. 2025, 12, 758. https://doi.org/10.3390/vetsci12080758
Hermándy-Berencz K, Kis L, Gombos F, Paulina A, Kis A. Non-Invasive EEG Recordings in Epileptic Dogs (Canis familiaris). Veterinary Sciences. 2025; 12(8):758. https://doi.org/10.3390/vetsci12080758
Chicago/Turabian StyleHermándy-Berencz, Katalin, Luca Kis, Ferenc Gombos, Anna Paulina, and Anna Kis. 2025. "Non-Invasive EEG Recordings in Epileptic Dogs (Canis familiaris)" Veterinary Sciences 12, no. 8: 758. https://doi.org/10.3390/vetsci12080758
APA StyleHermándy-Berencz, K., Kis, L., Gombos, F., Paulina, A., & Kis, A. (2025). Non-Invasive EEG Recordings in Epileptic Dogs (Canis familiaris). Veterinary Sciences, 12(8), 758. https://doi.org/10.3390/vetsci12080758

