Effects of Trace Elements and Vitamins on the Synthesis of Steroid Hormones in Follicular Granulosa Cells of Yak
Simple Summary
Abstract
1. Introduction
2. Materials and Methods
2.1. Materials and Reagents
2.2. Cell Extraction and Characterization
2.3. Cell Culture and Treatments
2.4. Cell Activity Assay
2.5. ELISA
2.6. Quantitative Reverse Transcription PCR (RT q-PCR)
2.7. Statistical Analysis
3. Results
3.1. Identification of BGCs
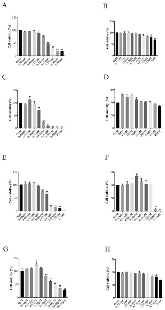
3.2. Effect of Vitamins on Cell Viability
3.3. Effect of Trace Elements on Cell Viability
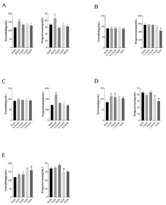
3.4. Effect of Vitamins on the Production of E2 and P4
3.5. Effect of Trace Elements on the Production of E2 and P4
3.6. Effect of Trace Elements on the Expression of Genes Related to Steroid Hormone Synthesis
3.7. Effect of Vitamins on the Expression of Genes Related to Steroid Hormone Synthesis
4. Discussion
5. Conclusions
Author Contributions
Funding
Institutional Review Board Statement
Informed Consent Statement
Data Availability Statement
Conflicts of Interest
References
- Mo, L.; Ma, J.; Xiong, Y.; Xiong, X.; Lan, D.; Li, J.; Yin, S. Factors Influencing the Maturation and Developmental Competence of Yak (Bos grunniens) Oocytes In Vitro. Genes 2023, 14, 1882. [Google Scholar] [CrossRef] [PubMed]
- Ma, J.; Zhu, Y.; Wang, Z.; Yu, X.; Hu, R.; Wang, X.; Cao, G.; Zou, H.; Shah, A.M.; Peng, Q.; et al. Comparing the Bacterial Community in the Gastrointestinal Tracts Between Growth-Retarded and Normal Yaks on the Qinghai-Tibetan Plateau. Front. Microbiol. 2020, 11, 600516. [Google Scholar] [CrossRef]
- Zi, X.D. Reproduction in female yaks (Bos grunniens) and opportunities for improvement. Theriogenology 2003, 59, 1303–1312. [Google Scholar] [CrossRef] [PubMed]
- Lonergan, P.; Fair, T. Maturation of Oocytes in Vitro. Annu. Rev. Anim. Biosci. 2016, 4, 255–268. [Google Scholar] [CrossRef] [PubMed]
- Aizawa, H.; Sekine, Y.; Takemura, R.; Zhang, Z.; Nangaku, M.; Hirokawa, N. Kinesin family in murine central nervous system. J. Cell Biol. 1992, 119, 1287–1296. [Google Scholar] [CrossRef]
- Roth, Z. Effect of Heat Stress on Reproduction in Dairy Cows: Insights into the Cellular and Molecular Responses of the Oocyte. Annu. Rev. Anim. Biosci. 2017, 5, 151–170. [Google Scholar] [CrossRef]
- Ribeiro, E.S. Symposium review: Lipids as regulators of conceptus development: Implications for metabolic regulation of reproduction in dairy cattle. J. Dairy Sci. 2018, 101, 3630–3641. [Google Scholar] [CrossRef] [PubMed]
- Yazlık, M.O.; Çolakoğlu, H.E.; Pekcan, M.; Kaya, U.; Küplülü, Ş.; Kaçar, C.; Polat, M.; Vural, M.R. Effects of injectable trace element and vitamin supplementation during the gestational, peri-parturient, or early lactational periods on neutrophil functions and pregnancy rate in dairy cows. Anim. Reprod. Sci. 2021, 225, 106686. [Google Scholar] [CrossRef]
- Allison, R.D.; Laven, R.A. Effect of vitamin E supplementation on the health and fertility of dairy cows: A review. Vet. Rec. 2000, 147, 703–708. [Google Scholar]
- Zhao, Z.W.; Ma, Z.Y.; Wang, H.C.; Zhang, C.F. Effects of trace minerals supply from rumen sustained release boluses on milk yields and components, rumen fermentation and the rumen bacteria in lactating yaks (Bos grunniens). Anim. Feed. Sci. Technol. 2022, 283, 115184. [Google Scholar] [CrossRef]
- Lee, W.L.; Yeh, C.C.; Wang, P.H. Risk to increase threatened abortion: Deficiency of some essential trace elements and exposure of toxic heavy metals. J. Chin. Med. Assoc. 2019, 82, 607–608. [Google Scholar] [CrossRef] [PubMed]
- Xiong, X.; Lan, D.; Li, J.; Lin, Y.; Zi, X. Effects of Zinc Supplementation During in Vitro Maturation on Meiotic Maturation of Oocytes and Developmental Capacity in Yak. Biol. Trace Elem. Res. 2018, 185, 89–97. [Google Scholar] [CrossRef]
- Xiong, X.; Lan, D.; Li, J.; Lin, Y.; Li, M. Selenium supplementation during in vitro maturation enhances meiosis and developmental capacity of yak oocytes. Anim. Sci. J. 2018, 89, 298–306. [Google Scholar] [CrossRef] [PubMed]
- Terenina, E.; Fabre, S.; Bonnet, A.; Monniaux, D.; Robert-Granié, C.; SanCristobal, M.; Sarry, J.; Vignoles, F.; Gondret, F.; Monget, P.; et al. Differentially expressed genes and gene networks involved in pig ovarian follicular atresia. Physiol. Genom. 2017, 49, 67–80. [Google Scholar] [CrossRef]
- Matsuda, F.; Inoue, N.; Manabe, N.; Ohkura, S. Follicular growth and atresia in mammalian ovaries: Regulation by survival and death of granulosa cells. J. Reprod. Dev. 2012, 58, 44–50. [Google Scholar] [CrossRef]
- Dong, J.; Albertini, D.F.; Nishimori, K.; Kumar, T.R.; Lu, N.; Matzuk, M.M. Growth differentiation factor-9 is required during early ovarian folliculogenesis. Nature 1996, 383, 531–535. [Google Scholar] [CrossRef] [PubMed]
- Xu, D.; He, H.; Jiang, X.; Hua, R.; Chen, H.; Yang, L.; Cheng, J.; Duan, J.; Li, Q. SIRT2 plays a novel role on progesterone, estradiol and testosterone synthesis via PPARs/LXRalpha pathways in bovine ovarian granular cells. J. Steroid Biochem. Mol. Biol. 2019, 185, 27–38. [Google Scholar] [CrossRef] [PubMed]
- Manabe, N.; Goto, Y.; Matsuda-Minehata, F.; Inoue, N.; Maeda, A.; Sakamaki, K.; Miyano, T. Regulation mechanism of selective atresia in porcine follicles: Regulation of granulosa cell apoptosis during atresia. J. Reprod. Dev. 2004, 50, 493–514. [Google Scholar] [CrossRef] [PubMed]
- Zhang, D.; Yi, S.; Cai, B.; Wang, Z.; Chen, M.; Zheng, Z.; Zhou, C. Involvement of ferroptosis in the granulosa cells proliferation of PCOS through the circRHBG/miR-515/SLC7a11 axis. Ann. Transl. Med. 2021, 9, 1348. [Google Scholar] [CrossRef]
- Cheng, B.; Shi, Y.; Wu, Q.; Wang, Y.; Ma, Y. Selenium Protects Follicular Granulosa Cells from Apoptosis Induced by Mercury through Inhibition of ATF6/CHOP Pathway in Laying Hens. Biol. Trace Elem. Res. 2023, 201, 5368–5378. [Google Scholar] [CrossRef]
- Dong, Z.; Zhang, L.; Wang, W.; Jiang, F.; Ai, H. ZnSO4 Protects against premature ovarian failure through PI3K/AKT/GSK3beta signaling pathway. Theriogenology 2023, 207, 61–71. [Google Scholar] [CrossRef] [PubMed]
- Wang, M.; Li, Y.; Molenaar, A.; Li, Q.; Cao, Y.; Shen, Y.; Chen, P.; Yan, J.; Gao, Y.; Li, J. Vitamin E and selenium supplementation synergistically alleviate the injury induced by hydrogen peroxide in bovine granulosa cells. Theriogenology 2021, 170, 91–106. [Google Scholar] [CrossRef] [PubMed]
- Chen, Y.; Sun, Y.; Wu, P.; Guo, Y.; Wang, Q.; Xu, Q.; Wang, P.; Yan, S.; Wang, W. Copper exposure disrupts ovarian steroidogenesis in human ovarian granulosa cells via the FSHR/CYP19a1 pathway and alters methylation patterns on the SF-1 gene promoter. Toxicol. Lett. 2022, 356, 11–20. [Google Scholar]
- Chen, M.J.; Chou, C.H.; Shun, C.T.; Mao, T.L.; Wen, W.F.; Chen, C.D.; Chen, S.-U.; Yang, Y.-S.; Ho, H.-N. Iron suppresses ovarian granulosa cell proliferation and arrests cell cycle through regulating p38 mitogen-activated protein kinase/p53/p21 pathway. Biol. Reprod. 2017, 97, 438–448. [Google Scholar] [CrossRef]
- Sivakumar, K.K.; Stanley, J.A.; Behlen, J.C.; Wuri, L.; Dutta, S.; Wu, J.; Arosh, J.A.; Banu, S.K. Inhibition of Sirtuin-1 hyperacetylates p53 and abrogates Sirtuin-1-p53 interaction in Cr(VI)-induced apoptosis in the ovary. Reprod. Toxicol. 2022, 109, 121–134. [Google Scholar] [CrossRef]
- Lu, W.; Chen, Y.; Ramirez, M.; Liu, Y.; Zhang, H.; Yuan, Z.; Han, Y.; Weng, Q. Vitamin D status alters genes involved in ovarian steroidogenesis in muskrat granulosa cells. Biochim. Biophys. Acta Mol. Cell Biol. Lipids 2024, 1869, 159469. [Google Scholar] [CrossRef]
- Sammad, A.; Ahmed, T.; Ullah, K.; Hu, L.; Luo, H.; Alphayo Kambey, P.; Faisal, S.; Zhu, H.; Li, Y.; Wang, Y. Vitamin C Alleviates the Negative Effects of Heat Stress on Reproductive Processes by Regulating Amino Acid Metabolism in Granulosa Cells. Antioxidants 2024, 13, 653. [Google Scholar] [CrossRef]
- Hostetler, C.E.; Kincaid, R.L.; Mirando, M.A. The role of essential trace elements in embryonic and fetal development in livestock. Vet. J. 2003, 166, 125–139. [Google Scholar] [CrossRef] [PubMed]
- Li, M.; Hu, S.; Sun, J.; Zhang, Y. The role of vitamin D3 in follicle development. J. Ovarian Res. 2024, 17, 148. [Google Scholar] [CrossRef]
- Lumme, J.; Morin-Papunen, L.; Pesonen, P.; Sebert, S.; Hyppönen, E.; Järvelin, M.-R.; Herzig, K.-H.; Ojaniemi, M.; Niinimäki, M. Vitamin D Status in Women with a History of Infertility and Decreased Fecundability: A Population-Based Study. Nutrients 2023, 15, 2522. [Google Scholar] [CrossRef]
- Piao, C.; Li, J.; Liang, C.; Zhang, J.; Li, X.; Zhao, Z.; Wang, K. Effect of vitamin D on pregnancy in women with polycystic ovary syndrome: Retrospective and prospective studies. Reprod. Biomed. Online 2024, 49, 103909. [Google Scholar] [CrossRef] [PubMed]
- Yao, X.; Zhang, G.; Guo, Y.; Ei-Samahy, M.; Wang, S.; Wan, Y.; Han, L.; Liu, Z.; Wang, F.; Zhang, Y. Vitamin D receptor expression and potential role of vitamin D on cell proliferation and steroidogenesis in goat ovarian granulosa cells. Theriogenology 2017, 102, 162–173. [Google Scholar] [CrossRef]
- Cai, S.; Chen, M.; Xue, B.; Zhu, Z.; Wang, X.; Li, J.; Wang, H.; Zeng, X.; Qiao, S.; Zeng, X. Retinoic acid enhances ovarian steroidogenesis by regulating granulosa cell proliferation and MESP2/STAR/CYP11a1 pathway. J. Adv. Res. 2024, 58, 163–173. [Google Scholar] [CrossRef]
- Hurley, W.L.; Doane, R.M. Recent developments in the roles of vitamins and minerals in reproduction. J. Dairy Sci. 1989, 72, 784–804. [Google Scholar] [CrossRef] [PubMed]
- Garner, T.B.; Hester, J.M.; Carothers, A.; Diaz, F.J. Role of zinc in female reproduction. Biol. Reprod. 2021, 104, 976–994. [Google Scholar] [CrossRef] [PubMed]
- Studer, J.M.; Schweer, W.P.; Gabler, N.K.; Ross, J.W. Functions of manganese in reproduction. Anim. Reprod. Sci. 2022, 238, 106924. [Google Scholar] [CrossRef]
- Anchordoquy, J.P.; Anchordoquy, J.M.; Picco, S.J.; Sirini, M.A.; Errecalde, A.L.; Furnus, C.C. Influence of manganese on apoptosis and glutathione content of cumulus cells during in vitro maturation in bovine oocytes. Cell Biol. Int. 2014, 38, 246–253. [Google Scholar] [CrossRef]
- Zeng, Y.; Yang, Q.; Ouyang, Y.; Lou, Y.; Cui, H.; Deng, H.; Zhu, Y.; Geng, Y.; Ouyang, P.; Chen, L. Nickel induces blood-testis barrier damage through ROS-mediated p38 MAPK pathways in mice. Redox Biol. 2023, 67, 102886. [Google Scholar] [CrossRef]
- Zhao, S.C.; Xu, Z.R.; Xu, C.L.; He, Q.K.; Yang, G.M.; Li, Y.P.; Luo, Y.-S.; Wang, H.-L.; Qi, Z.-Q.; Liu, Y. Nickel sulfate exposure induces ovarian inflammation and fibrosis and decreases oocyte quality in mice. Ecotoxicol. Environ. Saf. 2021, 224, 112634. [Google Scholar] [CrossRef]
- Krockova, J.; Massanyi, P.; Sirotkin, A.V.; Lukac, N.; Kovacik, A. Nickel-induced structural and functional alterations in porcine granulosa cells in vitro. Biol. Trace Elem. Res. 2013, 154, 190–195. [Google Scholar] [CrossRef]
- Nikhil Kumar Tej, J.; Johnson, P.; Krishna, K.; Kaushik, K.; Gupta PS, P.; Nandi, S.; Mondal, S. Copper and Selenium stimulates CYP19a1 expression in caprine ovarian granulosa cells: Possible involvement of AKT and WNT signalling pathways. Mol. Biol. Rep. 2021, 48, 3515–3527. [Google Scholar] [CrossRef] [PubMed]
- Steinbrenner, H. Interference of selenium and selenoproteins with the insulin-regulated carbohydrate and lipid metabolism. Free Radic. Biol. Med. 2013, 65, 1538–1547. [Google Scholar] [CrossRef] [PubMed]







| Gene | Accession No. | Primer Sequences (5′-3′) | Product Size | Tm (°C) |
|---|---|---|---|---|
| StAR | NM_174189 | F: GACACGGTCATCACTCACGA | 170 bp | 65 |
| R: ACAAGGTTTCCTGCCACCTC | ||||
| CYP11A1 | NM_176644 | F: TTCAACCTCATCCTGACGCC | 149 bp | 61 |
| R: GTGCAAGAGGTGTGGACTGA | ||||
| CYP19A1 | NM_174305 | F: GGTGTCCGAAGTTGTGCCTA | 148 bp | 65 |
| R: ACCTGCAGTGGGAAATGAGG | ||||
| CYP17A1 | NM_174304 | F:CCATCAGAGAAGTGCTCCGAAT | 80 bp | 61 |
| R: GCCAATGCTGGAGTCAATGA | ||||
| 3β-HSD | NM_174343 | F:AAGACGCAACACCTCAGCAACG | 197 bp | 60 |
| R: TGGATCTGCAACACGGGCCAA | ||||
| 17β-HSD | NM_001102365 | F: AAGACGCAACACCTCAGCAACG | 100 bp | 59 |
| R: TGGATCTGCAACACGGGCCAA | ||||
| β-actin | NM_007393 | F: GCTGTGCTATGTTGCTCTAG | 117 bp | 60 |
| R: CGCTCGTTGCCAATAGTG |
Disclaimer/Publisher’s Note: The statements, opinions and data contained in all publications are solely those of the individual author(s) and contributor(s) and not of MDPI and/or the editor(s). MDPI and/or the editor(s) disclaim responsibility for any injury to people or property resulting from any ideas, methods, instructions or products referred to in the content. |
© 2024 by the authors. Licensee MDPI, Basel, Switzerland. This article is an open access article distributed under the terms and conditions of the Creative Commons Attribution (CC BY) license (https://creativecommons.org/licenses/by/4.0/).
Share and Cite
Lou, Y.; Yang, T.; Zhu, Y.; Xia, C.; Cui, H.; Deng, H.; Huang, Y.; Fang, J.; Zuo, Z.; Guo, H. Effects of Trace Elements and Vitamins on the Synthesis of Steroid Hormones in Follicular Granulosa Cells of Yak. Vet. Sci. 2024, 11, 619. https://doi.org/10.3390/vetsci11120619
Lou Y, Yang T, Zhu Y, Xia C, Cui H, Deng H, Huang Y, Fang J, Zuo Z, Guo H. Effects of Trace Elements and Vitamins on the Synthesis of Steroid Hormones in Follicular Granulosa Cells of Yak. Veterinary Sciences. 2024; 11(12):619. https://doi.org/10.3390/vetsci11120619
Chicago/Turabian StyleLou, Yanbing, Tingting Yang, Yanqiu Zhu, Chenglong Xia, Hengmin Cui, Huidan Deng, Yixin Huang, Jing Fang, Zhicai Zuo, and Hongrui Guo. 2024. "Effects of Trace Elements and Vitamins on the Synthesis of Steroid Hormones in Follicular Granulosa Cells of Yak" Veterinary Sciences 11, no. 12: 619. https://doi.org/10.3390/vetsci11120619
APA StyleLou, Y., Yang, T., Zhu, Y., Xia, C., Cui, H., Deng, H., Huang, Y., Fang, J., Zuo, Z., & Guo, H. (2024). Effects of Trace Elements and Vitamins on the Synthesis of Steroid Hormones in Follicular Granulosa Cells of Yak. Veterinary Sciences, 11(12), 619. https://doi.org/10.3390/vetsci11120619

