Citric Acid by-Product Fermentation by Bacillus subtilis I9: A Promising Path to Sustainable Animal Feed
Abstract
Simple Summary
Abstract
1. Introduction
2. Materials and Methods
2.1. Sampling of Citric Acid By-Product
2.2. Microorganisms
2.2.1. Bacterial Strain
2.2.2. 16S rDNA Sequencing and Data Analysis
2.3. Preparation of Inoculated Mixed By-Product
2.4. Enzyme Assay
2.5. Chemical Compositions
2.6. Scanning Electron Microscopy (SEM)
2.7. Statistical Analysis
3. Results
3.1. 16S rDNA Sequencing
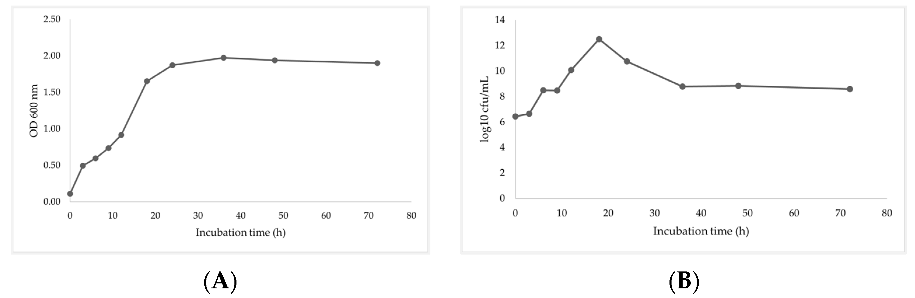
3.2. B. subtilis Density and Enzyme Assay during Fermentation
3.3. Chemical Compositions
3.4. Scanning Electron Microscopy
4. Discussion
5. Conclusions
Author Contributions
Funding
Institutional Review Board Statement
Informed Consent Statement
Data Availability Statement
Acknowledgments
Conflicts of Interest
References
- Prado, F.C.; Vandenberghe, L.P.S.; Woiciechowski, A.L.; Rodrígues-León, J.A.; Soccol, C.R. Citric acid production by solid-state fermentation on a semi-pilot scale using different percentages of treated cassava bagasse. Braz. J. Chem. Eng. 2005, 22, 547–555. [Google Scholar] [CrossRef]
- Suriyapha, C.; Suntara, C.; Wanapat, M.; Cherdthong, A. Effects of substituting agro-industrial by-products for soybean meal on beef cattle feed utilization and rumen fermentation. Sci. Rep. 2022, 12, 21630. [Google Scholar] [CrossRef]
- West, T.P. Citric acid production by Aspergillus niger using solid-state fermentation of agricultural processing coproducts. Appl. Biosci. 2023, 2, 1–13. [Google Scholar] [CrossRef]
- Chilakamarry, C.R.; Sakinah, A.M.M.; Zularisam, A.W.; Sirohi, R.; Khilji, I.A.; Ahmad, N.; Pandey, A. Advances in solid-state fermentation for bioconversion of agricultural wastes to value-added products: Opportunities and challenges. Bioresour. Technol. 2022, 343, 126065. [Google Scholar] [CrossRef]
- Tanpong, S.; Cherdthong, A.; Tengjaroenkul, B.; Tengjaroenkul, U.; Wongtangtintharn, S. Evaluation of physical and chemical properties of citric acid industrial waste. Trop. Anim. Health Prod. 2019, 105, 323–331. [Google Scholar] [CrossRef]
- Oryza, S.M.; Wongtangtintharn, S.; Tengjaroenkul, B.; Cherdthong, A.; Tanpong, S.; Bunchalee, P.; Pootthachaya, P.; Reungsang, A.; Polyorach, S. Physico-chemical characteristics and amino acid content evaluation of citric acid by-product produced by microbial fermentation as a potential use in animal feed. Fermentation 2021, 7, 149. [Google Scholar] [CrossRef]
- Tanpong, S.; Cherdthong, A.; Tengjaroenkul, B.; Reungsang, A.; Sutthibak, N.; Wongtangtintharn, S. A study on citric acid by-product as an energy source for Japanese quail. Trop. Anim. Health Prod. 2021, 53, 474. [Google Scholar] [CrossRef]
- Ferdeș, M.; Dinca, M.N.; Moiceanu, G.; Zabava, B.S.; Paraschiv, G. Microorganisms and enzymes used in the biological pretreatment of the substrate to enhance biogas production: A Review. Sustainability 2020, 12, 7205. [Google Scholar] [CrossRef]
- do Prado, F.G.; Pagnoncelli, M.G.B.; de Melo Pereira, G.V.; Karp, S.G.; Soccol, C.R. Fermented soy products and their potential health benefits: A Review. Microorganisms 2022, 10, 1606. [Google Scholar] [CrossRef]
- Fang, J.; Du, Z.; Cai, Y. Fermentation regulation and ethanol production of total mixed ration containing apple pomace. Fermentation 2023, 9, 692. [Google Scholar] [CrossRef]
- Ogbuewu, I.P.; Mabelebele, M.; Sebola, N.A.; Mbajiorgu, C. Bacillus probiotics as alternatives to in-feed antibiotics and its influence on growth, serum chemistry, antioxidant status, intestinal histomorphology, and lesion scores in disease-challenged broiler chickens. Front. Vet. Sci. 2022, 9, 876725. [Google Scholar] [CrossRef] [PubMed]
- Rodrigues, R.A.; Silva, L.A.M.; Brugnera, H.C.; Pereira, N.; Casagrande, M.F.; Makino, L.C.; Bragança, C.R.S.; Schocken-Iturrino, R.P.; Cardozo, M.V. Association of Bacillus subtilis and Bacillus amyloliquefaciens: Minimizes the adverse effects of necrotic enteritis in the gastrointestinal tract and improves zootechnical performance in broiler chickens. Poult. Sci. 2024, 103, 103394. [Google Scholar] [CrossRef]
- Malik, M.S.; Rehman, A.; Khan, I.U.; Khan, T.A.; Jamil, M.; Rha, E.S.; Anees, M. Thermo-neutrophilic cellulases and chitinases characterized from a novel putative antifungal biocontrol agent: Bacillus subtilis TD11. PLoS ONE. 2023, 18, e0281102. [Google Scholar] [CrossRef]
- Chen, J.; Qin, H.; You, C.; Long, L. Improved secretory expression and characterization of thermostable xylanase and β-xylosidase from Pseudothermotoga thermarum and their application in synergistic degradation of lignocellulose. Front. Bioeng. Biotechnol. 2023, 11, 1270805. [Google Scholar] [CrossRef]
- Association of Official Analytical Chemists (AOAC). Official Methods of Analysis of AOAC International, 19th ed.; AOCP International Publisher: Washington, DC, USA, 2012. [Google Scholar]
- Van Soest, P.V.; Robertson, J.B.; Lewis, B.A. Methods for dietary fiber, neutral detergent fiber, and nonstarch polysaccharides in relation to animal nutrition. J. Dairy Sci. 1991, 74, 3583–3597. [Google Scholar] [CrossRef]
- Raffrenato, E.; Van Amburgh, M.E. Technical note: Improved methodology for analyses of acid detergent fiber and acid detergent lignin. J. Dairy Sci. 2011, 94, 3613–3617. [Google Scholar] [CrossRef]
- Toucheteau, C.; Deffains, V.; Gaignard, C.; Rihouey, C.; Laroche, C.; Pierre, G.; Lépine, O.; Probert, I.; Le Cerf, D.; Michaud, P.; et al. Role of some structural features in EPS from microalgae stimulating collagen production by human dermal fibroblasts. Bioengineered 2023, 14, 2254027. [Google Scholar] [CrossRef]
- Nimbalkar, M.S.; Pai, S.R.; Pawar, N.V.; Oulkar, D.; Dixit, G.B. Free amino acid profiling in grain Amaranth using LC–MS/MS. Food Chem. 2012, 134, 2565–2569. [Google Scholar] [CrossRef]
- Onozato, M.; Nakanoue, H.; Sakamoto, T.; Umino, M.; Fukushima, T. Determination of D- and L-amino acids in garlic foodstuffs by liquid chromatography–tandem mass spectrometry. Molecules 2023, 28, 1773. [Google Scholar] [CrossRef]
- SAS. SAS/STAT Guide for Personal Computers, Version 9.4.; SAS Institute: Cary, NC, USA, 2015. [Google Scholar]
- Chen, F.; Stappenbeck, T.S. Microbiome control of innate reactivity. Curr. Opin. Immunol. 2019, 56, 107–113. [Google Scholar] [CrossRef]
- Wang, Y.; Yu, Y.; Duan, Y.; Wang, Q.; Cong, X.; He, Y.; Gao, C.; Hafeez, M.; Jan, S.; Rasheed, S.M.; et al. Enhancing the activity of carboxymethyl cellulase enzyme using highly stable selenium nanoparticles biosynthesized by Bacillus paralicheniformis Y4. Molecules 2022, 27, 4585. [Google Scholar] [CrossRef] [PubMed]
- Jiménez-Leyva, M.; Beltrán-Arredondo, L.I.; Cervantes-Gámez, R.; Cervantes-Chávez, J.; López-Meyer, M.; Castro-Ochoa, D.; Calderón-Vázquez, C.L.; Castro-Martínez, C. Effect of CMC and MCC as sole carbon sources on cellulase activity and egls gene expression in three Bacillus subtilis strains isolated from corn stover. BioResources 2017, 12, 1179–1189. [Google Scholar] [CrossRef][Green Version]
- Sun, Y.; Kokko, M.; Vassilev, I. Anode-assisted electro-fermentation with Bacillus subtilis under oxygen-limited conditions. Biotechnol. Biofuels Bioprod. 2023, 16, 6. [Google Scholar] [CrossRef] [PubMed]
- Shi, C.; Zhang, Y.; Lu, Z.; Wang, Y. Solid-state fermentation of corn-soybean meal mixed feed with Bacillus subtilis and Enterococcus faecium for degrading antinutritional factors and enhancing nutritional value. J. Anim. Sci. Biotechnol. 2017, 8, 50. [Google Scholar] [CrossRef]
- Chen, L.; Zhao, Z.; Yu, W.; Zheng, L.; Li, L.; Gu, W.; Xu, H.; Wei, B.; Yan, X. Nutritional quality improvement of soybean meal by Bacillus velezensis and Lactobacillus plantarum during two-stage solid- state fermentation. AMB Expr. 2021, 11, 23. [Google Scholar] [CrossRef] [PubMed]
- Sarabandi, K.; Mohammadi, M.; Akbarbaglu, Z.; Ghorbani, M.; Najafi, S.; Safaeian Laein, S.; Jafari, S.M. Technological, nutritional, and biological properties of apricot kernel protein hydrolyzates affected by various commercial proteases. Food Sci. Nutr. 2023, 11, 5078–5090. [Google Scholar] [CrossRef]
- Munoz, L.; Sadaie, Y.; Doi, R.H. Spore coat protein of Bacillus subtilis. Structure and precursor synthesis. J. Biol. Chem. 1978, 253, 6694–6701. [Google Scholar] [CrossRef]
- Watzlawick, H.; Altenbuchner, J. Multiple integration of the gene ganA into the Bacillus subtilis chromosome for enhanced beta-galactosidase production using the CRISPR/Cas9 system. AMB Express. 2019, 9, 158. [Google Scholar] [CrossRef]
- Bien, T.L.T.; Tsuji, S.; Tanaka, K.; Takenaka, S.; Yoshida, K. Secretion of heterologous thermostable cellulases in Bacillus subtilis. J. Gen. Appl. Microbiol. 2014, 60, 175–182. [Google Scholar] [CrossRef]
- Shah, F.; Mishra, S. In vitro optimization for enhanced cellulose degrading enzyme from Bacillus licheniformis KY962963 associated with a microalgae Chlorococcum sp. using OVAT and statistical modeling. SN Appl. Sci. 2020, 2, 1923. [Google Scholar] [CrossRef]
- Wang, J.P.; Yeh, C.M.; Tsai, Y.C. Improved subtilisin YaB production in Bacillus subtilis using engineered synthetic expression control sequences. J. Agric. Food Chem. 2006, 54, 9405–9410. [Google Scholar] [CrossRef] [PubMed]
- Diorio, L.A.; Forchiassin, F.; Papinutti, V.L.; Sueldo, D.V. Actividad enzimatica y degradacion de diferentes tipos de residuos organicos por Saccobolus saccoboloides (Fungi, Ascomycotina). Rev. Iberoam. Micol. 2003, 20, 11–15. [Google Scholar] [PubMed]
- Olukunle, O.F.; Ayodeji, A.O.; Akinloye, P.O. Carboxymethyl cellulase (CMCase) from UV-irradiation mutated Bacillus cereus FOA-2 cultivated on plantain (Musa parasidiaca) stalk-based medium: Production, purification and characterization. Sci. Afr. 2021, 11, e00691. [Google Scholar] [CrossRef]





| Chemical Compositions (%DM) | Uninoculated | Inoculated | SEM | p-Value |
|---|---|---|---|---|
| Dry matter | 93.28 | 93.15 | 0.26 | 0.73 |
| Ash | 13.70 | 13.88 | 0.36 | 0.73 |
| Crude protein | 7.39 b | 9.01 a | 0.26 | <0.01 |
| Ether extract | 2.97 | 3.06 | 0.13 | 0.63 |
| Crude fiber | 18.26 a | 16.28 b | 0.09 | <0.01 |
| Nitrogen free extract | 50.96 | 50.92 | 0.49 | 0.95 |
| Calcium | 1.03 | 1.08 | 0.09 | 0.69 |
| Phosphorus | 0.10 | 0.12 | 0.01 | 0.21 |
| Gross energy (kcal/kg) | 3819.00 a | 3666.00 b | 17.60 | <0.01 |
| Neutral detergent fiber | 59.75 a | 54.60 b | 0.93 | 0.02 |
| Acid detergent fiber | 44.05 a | 42.08 b | 0.42 | 0.03 |
| Acid detergent lignin | 14.92 | 14.69 | 0.19 | 0.45 |
| Hemicellulose | 15.71 a | 12.53 b | 0.59 | 0.02 |
| Cellulose | 29.13 a | 27.39 b | 0.38 | 0.03 |
| Parameters | Uninoculated | Inoculated | Degradation (%) | SEM | p-Value |
|---|---|---|---|---|---|
| NSP | 25.83 a | 19.54 b | 24.37 | 0.08 | <0.01 |
| Arabinose | 1.08 | 0.92 | 15.32 | 0.05 | 0.09 |
| Xylose | 2.13 | 1.93 | 9.70 | 0.07 | 0.09 |
| Mannose | 0.49 | 0.43 | 11.60 | 0.02 | 0.07 |
| Galactose | 2.32 a | 1.79 b | 22.53 | 0.09 | 0.02 |
| Glucose | 12.44 a | 8.43 b | 32.21 | 0.13 | <0.01 |
| Uronic acid | 1.65 a | 1.38 b | 18.11 | 0.15 | <0.01 |
| AA Compositions (%) | B. Subtilis I9 | Uninoculated | Inoculated | SEM | p-Value |
|---|---|---|---|---|---|
| Indispensable amino acid | |||||
| Arginine (Arg) | 0.290 | 0.213 | 0.194 | 0.012 | 0.305 |
| Histidine (His) | 1.260 | 0.060 b | 0.067 a | 0.058 | <0.001 |
| Isoleucine (Ile) | 4.220 | 0.065 b | 0.348 a | 0.025 | 0.001 |
| Leucine (Leu) | 5.090 | 0.198 b | 0.326 a | 0.030 | 0.042 |
| Lysine (Lys) | 2.640 | 0.028 b | 0.190 a | 0.005 | <0.001 |
| Methionine (Met) | 1.680 | 0.008 b | 0.034 a | 0.002 | 0.002 |
| Phenylalanine (Phe) | 3.900 | 0.054 b | 0.235 a | 0.011 | <0.001 |
| Threonine (Thr) | 0.530 | 0.094 | 0.069 | 0.012 | 0.192 |
| Tryptophan (Trp) | 0.600 | 0.012 b | 0.086 a | 0.003 | <0.001 |
| Valine (Val) | 2.950 | 0.062 b | 0.159 a | 0.007 | 0.001 |
| Dispensable amino acid | |||||
| Alanine (Ala) | 5.530 | 0.167 b | 0.683 a | 0.017 | <0.001 |
| Aspartic acid (Asp) | 0.190 | 0.037 b | 0.074 a | 0.003 | 0.002 |
| Asparagine (Asn) | 0.170 | 0.021 | 0.016 | 0.006 | 0.886 |
| Cystein (Cys) | 0.130 | 0.006 | 0.006 | 0.000 | 0.195 |
| Glutamic acid (Glu) | 7.330 | 0.146 b | 0.235 a | 0.015 | 0.017 |
| Glutamine (Gln) | 2.640 | 0.057 b | 0.118 a | 0.006 | 0.003 |
| Glycine (Gly) | 0.640 | 0.043 b | 0.059 a | 0.002 | 0.008 |
| Proline (Pro) | 2.860 | 0.245 b | 0.608 a | 0.021 | <0.001 |
| Serine (Ser) | 3.560 | 0.001 | 0.001 | 0.001 | 0.218 |
| Tyrosine (Tyr) | 0.290 | 0.470 b | 0.710 a | 0.045 | 0.018 |
| Total AA | 46.500 | 1.990 b | 4.140 a | 0.032 | <0.001 |
Disclaimer/Publisher’s Note: The statements, opinions and data contained in all publications are solely those of the individual author(s) and contributor(s) and not of MDPI and/or the editor(s). MDPI and/or the editor(s) disclaim responsibility for any injury to people or property resulting from any ideas, methods, instructions or products referred to in the content. |
© 2024 by the authors. Licensee MDPI, Basel, Switzerland. This article is an open access article distributed under the terms and conditions of the Creative Commons Attribution (CC BY) license (https://creativecommons.org/licenses/by/4.0/).
Share and Cite
Tanpong, S.; Khochamit, N.; Pootthachaya, P.; Siripornadulsil, W.; Unnawong, N.; Cherdthong, A.; Tengjaroenkul, B.; Wongtangtintharn, S. Citric Acid by-Product Fermentation by Bacillus subtilis I9: A Promising Path to Sustainable Animal Feed. Vet. Sci. 2024, 11, 484. https://doi.org/10.3390/vetsci11100484
Tanpong S, Khochamit N, Pootthachaya P, Siripornadulsil W, Unnawong N, Cherdthong A, Tengjaroenkul B, Wongtangtintharn S. Citric Acid by-Product Fermentation by Bacillus subtilis I9: A Promising Path to Sustainable Animal Feed. Veterinary Sciences. 2024; 11(10):484. https://doi.org/10.3390/vetsci11100484
Chicago/Turabian StyleTanpong, Sirisak, Nalisa Khochamit, Padsakorn Pootthachaya, Wilailak Siripornadulsil, Narirat Unnawong, Anusorn Cherdthong, Bundit Tengjaroenkul, and Sawitree Wongtangtintharn. 2024. "Citric Acid by-Product Fermentation by Bacillus subtilis I9: A Promising Path to Sustainable Animal Feed" Veterinary Sciences 11, no. 10: 484. https://doi.org/10.3390/vetsci11100484
APA StyleTanpong, S., Khochamit, N., Pootthachaya, P., Siripornadulsil, W., Unnawong, N., Cherdthong, A., Tengjaroenkul, B., & Wongtangtintharn, S. (2024). Citric Acid by-Product Fermentation by Bacillus subtilis I9: A Promising Path to Sustainable Animal Feed. Veterinary Sciences, 11(10), 484. https://doi.org/10.3390/vetsci11100484

