Coffee: Lighting Its Complex Ground Truth and Percolating Its Molecular Brew
Abstract
1. Introduction
2. History and Origin
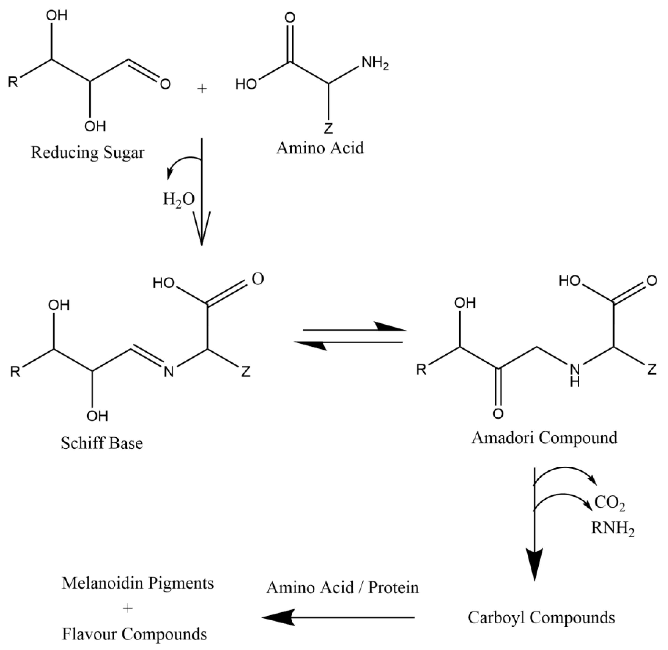
3. The Coffee Roasting Process
| Species | Variety | Origin | Characteristics | ||
|---|---|---|---|---|---|
| Growth Habit | Rust Resistance | Cup Quality | |||
| Coffea arabica | Typica | Yemen | Upright, vigorous | Very poor | Excellent |
| Coffea arabica | Java | Indonesia | Upright, vigorous | Very poor | Excellent |
| Coffea arabica | Bourbon | Brazil | Semi-dwarf, dense foliage | Very poor | Fair |
| Coffea canephora | Kouilouensis or conillon | Brazil | Tall | Resistant | Lower quality |
| Natural hybrid of Coffea arabica and Coffea liberica | S795 | India | Tall, upright, and open | Susceptible, more tolerant with careful selection | Excellent |
| Cross between caturra and mundo novo varieties | Catuai | Brazil | Semi-dwarf, dense foliage | Very poor | Good; good bean size |
| Cross between timor and caturra coffee | Catimor | Colombia | Semi-dwarf, compact | Resistant to all races once careful selection is maintained | Fair/poor |
| Cross between typica and bourbon coffee | Mundo novo | Brazil | Semi-dwarf | Very poor | Excellent |
- Coffee’s complex background matrix.
- The multiclass and isomeric nature of its volatile fraction, and
- Its wide compound dynamic range, which encompasses important trace aroma compounds.

4. Brewing Coffee
5. Economic Impact
6. Adulteration, Fraud, and Consumer Safety
7. Standard Methods of Analysis
7.1. Chromatography
7.2. Infrared Spectroscopy
7.3. Thermal Analysis
7.4. Gas Sensing (Electronic Nose)
8. Discussion and Conclusions
Author Contributions
Funding
Data Availability Statement
Conflicts of Interest
References
- CBI. Centre for the Promotion of Imports from Developing Countries. Available online: https://www.cbi.eu/market-information/coffee/what-requirements-should-your-product-comply (accessed on 30 August 2024).
- Reay, D. Climate-smart coffee. In Climate-Smart Food; Palgrave Pivot: Cham, Switzerland, 2019; pp. 93–104. [Google Scholar]
- Smith, R.F. A History of Coffee, Chapter 1. In Coffee: Botany, Biochemistry and Production of Beans and Beverage; Springer: Berlin/Heidelberg, Germany, 1985; pp. 1–12. [Google Scholar]
- Charrier, A.; Berthaud, J. Botanical Classification of Coffee, Chapter 2. In Coffee: Botany, Biochemistry and Production of Beans and Beverage; Springer: Berlin/Heidelberg, Germany, 1985; pp. 13–47. [Google Scholar]
- Davis, A.P.; Tosh, J.; Ruch, N.; Fay, M.F. Growing coffee: Psilanthus (Rubiaceae) subsumed on the basis of molecular and morphological data; implications for the size, morphology, distribution and evolutionary history of Coffea. Bot. J. Linn. Soc. 2011, 167, 357–377. [Google Scholar] [CrossRef]
- Davis, A.P. Six species of Psilanthus transferred to Coffea (Coffeeae, Rubiaceae). Phytotaxa 2010, 10, 41–45. [Google Scholar] [CrossRef]
- Davis, A.P.; Chester, M.; Maurin, O.; Fay, M.F. Searching for the relatives of Coffea (Rubiaceae, Ixoroideae): The circumscription and phylogeny of Coffeeae based on plastid sequence data and morphology. Am. J. Bot. 2007, 94, 313–329. [Google Scholar] [CrossRef] [PubMed]
- Ferreira, T.; Shuler, J.; Guimarães, R.; Farah, A. Introduction to Coffee Plant and Genetics; RSC: London, UK, 2019. [Google Scholar]
- Davis, A.P.; Govaerts, R.; Bridson, D.M.; Stoffelen, P. An annotated taxonomic conspectus of the genus Coffea (Rubiaceae). Bot. J. Linn. Soc. 2006, 152, 465–512. [Google Scholar] [CrossRef]
- Anthony, F.; Combes, M.; Astorga, C.; Bertrand, B.; Graziosi, G.; Lashermes, P. The origin of cultivated Coffea arabica L. varieties revealed by AFLP and SSR markers. Theor. Appl. Genet. 2002, 104, 894–900. [Google Scholar] [CrossRef]
- Lashermes, P.; Combes, M.-C.; Robert, J.; Trouslot, P.; D’Hont, A.; Anthony, F.; Charrier, A. Molecular characterisation and origin of the Coffea arabica L. genome. Mol. Gen. Genet. MGG 1999, 261, 259–266. [Google Scholar] [CrossRef]
- Farah, A.; Santos, T.F.D. Coffee in Health and Disease Prevention; Elsevier: Amsterdam, The Netherlands, 2015; pp. 5–10. [Google Scholar]
- Sreenath, H.; Shanta, H.; Babu, K.H.; Naidu, M. Somatic embryogenesis from integument (perisperm) cultures of coffee. Plant Cell Rep. 1995, 14, 670–673. [Google Scholar] [CrossRef]
- Wintgens, J.N. Coffee-Growing; Processing, Sustainable Production: A Guidebook for Growers, Processors, Traders and Researchers; John Wiley & Sons: Hoboken, NJ, USA, 2012. [Google Scholar]
- Belitz, H.-D.; Grosch, W.; Schieberle, P. Coffee, tea, cocoa. In Food Chemistry; Springer: Berlin/Heidelberg, Germany, 2009; pp. 938–970. [Google Scholar]
- Bunn, C.; Läderach, P.; Rivera, O.O.; Kirschke, D. A bitter cup: Climate change profile of global production of Arabica and Robusta coffee. Clim. Change 2015, 129, 89–101. [Google Scholar] [CrossRef]
- The Editors of Encyclopædia Britannica. Coffee Rust. 2024. Available online: https://www.britannica.com/science/coffee-rust (accessed on 5 November 2024).
- Hameed, A.; Hussain, S.A.; Ijaz, M.U.; Ullah, S.; Pasha, I.; Suleria, H.A.R. Farm to consumer: Factors affecting the organoleptic characteristics of coffee. II: Postharvest processing factors. Compr. Rev. Food Sci. Food Saf. 2018, 17, 1184–1237. [Google Scholar] [CrossRef]
- Cao, X.; Wu, H.; Viejo, C.G.; Dunshea, F.R.; Suleria, H.A. Effects of postharvest processing on aroma formation in roasted coffee—A review. Int. J. Food Sci. Technol. 2023, 58, 1007–1027. [Google Scholar] [CrossRef]
- Clarke, R.; Vitzthum, O. Coffee: Recent Developments; John Wiley & Sons: Hoboken, NJ, USA, 2008. [Google Scholar]
- Silva, A.C.R.; Garrett, R.; Rezende, C.M.; Meckelmann, S.W. Lipid characterization of arabica and robusta coffee beans by liquid chromatography-ion mobility-mass spectrometry. J. Food Compos. Anal. 2022, 111, 104587. [Google Scholar] [CrossRef]
- Borrella, I.; Mataix, C.; Carrasco-Gallego, R. Smallholder farmers in the speciality coffee industry: Opportunities, constraints and the businesses that are making it possible. IDS Bull. 2015, 46, 29–44. [Google Scholar] [CrossRef]
- Giovannucci, D.; Koekoek, F.J. The State of Sustainable Coffee: A Study of Twelve Major Markets; International Coffee Organization: Cali, Colombia, 2003. [Google Scholar]
- Huang, H.-C. A study on coffee product categories sold in landscape coffee shops. Int. J. Comput. Sci. Inf. Technol. 2017, 9, 71–78. [Google Scholar] [CrossRef]
- Leme, P.H.M.; Machado, R.T. The quality pillars of a certification process: The coffee quality program (CQP) in Brazil. Agroalimentaria 2013, 19, 61–74. [Google Scholar]
- Siregar, E.; Nazir, N.; Asben, A. The Analysis of Strategic Partnership to Supply Mandailing Arabica Coffee for Export Quality Markets. IOP Conf. Ser. Earth Environ. Sci. 2019, 347, 012046. [Google Scholar] [CrossRef]
- Bhumiratana, N.; Adhikari, K.; Chambers, E., IV. Attributes of sensory aroma from coffee beans to brewed coffee. LWT Food Sci. Technol. 2011, 44, 2185–2192. [Google Scholar] [CrossRef]
- Getaneh, E.; Fanta, S.W.; Satheesh, N. Effect of broken coffee beans particle size, roasting temperature, and roasting time on quality of coffee beverage. J. Food Qual. 2020, 2020, 8871577. [Google Scholar] [CrossRef]
- Hoffmann, J. The World Atlas of Coffee: From Beans to Brewing-Coffees Explored, Explained and Enjoyed; Hachette: London, UK, 2018. [Google Scholar]
- Tadesse, F.; Jemal, Y.; Abebe, H. Effect of green coffee processing methods and roasting temperatures on physical and cup quality of Sidama coffee, Southern Ethiopia. J. Nutr. Ecol. Food Res. 2016, 3, 44–50. [Google Scholar] [CrossRef]
- Andueza, S.; Vila, M.A.; Paz de Peña, M.; Cid, C. Influence of coffee/water ratio on the final quality of espresso coffee. J. Sci. Food Agric. 2007, 87, 586–592. [Google Scholar] [CrossRef]
- Esteban-Díez, I.; González-Sáiz, J.; Pizarro, C. Prediction of roasting colour and other quality parameters of roasted coffee samples by near infrared spectroscopy. A feasibility study. J. Near Infrared Spectrosc. 2004, 12, 287–297. [Google Scholar] [CrossRef]
- Franca, A.S.; Mendonça, J.C.; Oliveira, S.D. Composition of green and roasted coffees of different cup qualities. LWT Food Sci. Technol. 2005, 38, 709–715. [Google Scholar] [CrossRef]
- Selmar, D.; Bytof, G.; Knopp, S.-E.; Breitenstein, B. Germination of coffee seeds and its significance for coffee quality. Plant Biol. 2006, 8, 260–264. [Google Scholar] [CrossRef] [PubMed]
- Chambers, E., IV; Sanchez, K.; Phan, U.X.; Miller, R.; Civille, G.V.; Di Donfrancesco, B. Development of a “living” lexicon for descriptive sensory analysis of brewed coffee. J. Sens. Stud. 2016, 31, 465–480. [Google Scholar] [CrossRef]
- DaMatta, F.M.; Ramalho, J.D.C. Impacts of drought and temperature stress on coffee physiology and production: A review. Braz. J. Plant Physiol. 2006, 18, 55–81. [Google Scholar] [CrossRef]
- Córdoba, N.; Moreno, F.L.; Osorio, C.; Velásquez, S.; Ruiz, Y. Chemical and sensory evaluation of cold brew coffees using different roasting profiles and brewing methods. Food Res. Int. 2021, 141, 110141. [Google Scholar] [CrossRef]
- Angeloni, S.; Mustafa, A.M.; Abouelenein, D.; Alessandroni, L.; Acquaticci, L.; Nzekoue, F.K.; Petrelli, R.; Sagratini, G.; Vittori, S.; Torregiani, E. Characterization of the aroma profile and main key odorants of espresso coffee. Molecules 2021, 26, 3856. [Google Scholar] [CrossRef]
- Mahmud, M.C.; Shellie, R.A.; Keast, R. Unravelling the relationship between aroma compounds and consumer acceptance: Coffee as an example. Compr. Rev. Food Sci. Food Saf. 2020, 19, 2380–2420. [Google Scholar] [CrossRef]
- Sunarharum, W.B.; Williams, D.J.; Smyth, H.E. Complexity of coffee flavor: A compositional and sensory perspective. Food Res. Int. 2014, 62, 315–325. [Google Scholar] [CrossRef]
- Yeretzian, C.; Opitz, S.; Smrke, S.; Wellinger, M. Coffee Volatile and Aroma Compounds—From the Green Bean to the Cup; RSC: London, UK, 2019; pp. 726–770. [Google Scholar]
- Paravisini, L.; Soldavini, A.; Peterson, J.; Simons, C.T.; Peterson, D.G. Impact of bitter tastant sub-qualities on retronasal coffee aroma perception. PLoS ONE 2019, 14, e0223280. [Google Scholar] [CrossRef]
- Zanin, R.C.; Smrke, S.; Kurozawa, L.E.; Yamashita, F.; Yeretzian, C. Novel experimental approach to study aroma release upon reconstitution of instant coffee products. Food Chem. 2020, 317, 126455. [Google Scholar] [CrossRef]
- Pua, A.; Goh, R.M.V.; Huang, Y.; Tang, V.C.Y.; Ee, K.-H.; Cornuz, M.; Liu, S.Q.; Lassabliere, B.; Yu, B. Recent advances in analytical strategies for coffee volatile studies: Opportunities and challenges. Food Chem. 2022, 388, 132971. [Google Scholar] [CrossRef] [PubMed]
- Rusinek, R.; Dobrzański, B., Jr.; Oniszczuk, A.; Gawrysiak-Witulska, M.; Siger, A.; Karami, H.; Ptaszyńska, A.A.; Żytek, A.; Kapela, K.; Gancarz, M. How to identify roast defects in coffee beans based on the volatile compound profile. Molecules 2022, 27, 8530. [Google Scholar] [CrossRef] [PubMed]
- Baggenstoss, J.; Poisson, L.; Kaegi, R.; Perren, R.; Escher, F. Coffee roasting and aroma formation: Application of different time—Temperature conditions. J. Agric. Food Chem. 2008, 56, 5836–5846. [Google Scholar] [CrossRef] [PubMed]
- Diviš, P.; Pořízka, J.; Kříkala, J. The effect of coffee beans roasting on its chemical composition. Potravinarstvo 2019, 13, 344–350. [Google Scholar] [CrossRef]
- Münchow, M.; Alstrup, J.; Steen, I.; Giacalone, D. Roasting conditions and coffee flavor: A multi-study empirical investigation. Beverages 2020, 6, 29. [Google Scholar] [CrossRef]
- Pramudita, D.; Araki, T.; Sagara, Y.; Tambunan, A. Roasting and colouring curves for coffee beans with broad time-temperature variations. Food Bioprocess Technol. 2017, 10, 1509–1520. [Google Scholar] [CrossRef]
- Wang, N. Physicochemical Changes of Coffee Beans During Roasting. Ph.D. Thesis, University of Guelph, Guelph, ON, Canada, 2012. [Google Scholar]
- Winjaya, F.; Rivai, M.; Purwanto, D. Identification of cracking sound during coffee roasting using neural network. In Proceedings of the 2017 International Seminar on Intelligent Technology and Its Applications (ISITIA), Surabaya, Indonesia, 28–29 August 2017. [Google Scholar]
- Yergenson, N.; Aston, D.E. Monitoring coffee roasting cracks and predicting with in situ near-infrared spectroscopy. J. Food Process Eng. 2020, 43, e13305. [Google Scholar] [CrossRef]
- Santoso, I.; Mustaniroh, S.; Choirun, A. Methods for quality coffee roasting degree evaluation: A literature review on risk perspective. IOP Conf. Ser. Earth Environ. Sci. 2021, 924, 012058. [Google Scholar] [CrossRef]
- Schenker, S.; Handschin, S.; Frey, B.; Perren, R.; Escher, F. Pore structure of coffee beans affected by roasting conditions. J. Food Sci. 2000, 65, 452–457. [Google Scholar] [CrossRef]
- Torga, G.; Spers, E. Perspectives of global coffee demand. In Coffee Consumption and Industry Strategies in Brazil: A Volume in the Consumer Science and Strategic Marketing Series; Woodhead Publishing: Sawston, UK, 2020. [Google Scholar]
- Budryn, G.; Nebesny, E.; Podsędek, A.; Żyżelewicz, D.; Materska, M.; Jankowski, S.; Janda, B. Effect of different extraction methods on the recovery of chlorogenic acids, caffeine and Maillard reaction products in coffee beans. Eur. Food Res. Technol. 2009, 228, 913–922. [Google Scholar] [CrossRef]
- Liu, Y.; Kitts, D.D. Confirmation that the Maillard reaction is the principle contributor to the antioxidant capacity of coffee brews. Food Res. Int. 2011, 44, 2418–2424. [Google Scholar] [CrossRef]
- Starowicz, M.; Zieliński, H. How Maillard reaction influences sensorial properties (color, flavor and texture) of food products? Food Rev. Int. 2019, 35, 707–725. [Google Scholar] [CrossRef]
- Tarigan, E.; Wardiana, E.; Hilmi, Y.; Komarudin, N. The changes in chemical properties of coffee during roasting: A review. IOP Conf. Ser. Earth Environ. Sci. 2022, 974, 012115. [Google Scholar] [CrossRef]
- Rusinek, R.; Dobrzański, B., Jr.; Gawrysiak-Witulska, M.; Siger, A.; Żytek, A.; Karami, H.; Umar, A.; Lipa, T.; Gancarz, M. Effect of the roasting level on the content of bioactive and aromatic compounds in Arabica coffee beans. Int. Agrophys. 2024, 38, 31–42. [Google Scholar] [CrossRef]
- Hertz-Schünemann, R.; Dorfner, R.; Yeretzian, C.; Streibel, T.; Zimmermann, R. On-line process monitoring of coffee roasting by resonant laser ionisation time-of-flight mass spectrometry: Bridging the gap from industrial batch roasting to flavour formation inside an individual coffee bean. J. Mass Spectrom. 2013, 48, 1253–1265. [Google Scholar] [CrossRef]
- Augustine, D.A.; Bent, G.-A. Reducing acrylamide exposure: A review of the application of sulfur-containing compounds—A Caribbean outlook. Eur. J. Nutr. Food Saf. 2019, 9, 192–209. [Google Scholar] [CrossRef]
- Brown, R. Coffee Nerd: How to Have Your Coffee and Drink It Too; Simon and Schuster: New York, NY, USA, 2014. [Google Scholar]
- Janda, K.; Jakubczyk, K.; Baranowska-Bosiacka, I.; Kapczuk, P.; Kochman, J.; Rębacz-Maron, E.; Gutowska, I. Mineral composition and antioxidant potential of coffee beverages depending on the brewing method. Foods 2020, 9, 121. [Google Scholar] [CrossRef]
- Morris, J. Making Italian espresso, making espresso Italian. Food Hist. 2010, 8, 155–183. [Google Scholar] [CrossRef]
- Morris, J. The Craft and Science of Coffee; Elsevier: Amsterdam, The Netherlands, 2017; pp. 457–491. [Google Scholar]
- Fraňková, A.; Drábek, O.; Havlík, J.; Száková, J.; Vaněk, A. The effect of beverage preparation method on aluminium content in coffee infusions. J. Inorg. Biochem. 2009, 103, 1480–1485. [Google Scholar] [CrossRef]
- Stanek, N.; Zarębska, M.; Biłos, Ł.; Barabosz, K.; Nowakowska-Bogdan, E.; Semeniuk, I.; Błaszkiewicz, J.; Kulesza, R.; Matejuk, R.; Szkutnik, K. Influence of coffee brewing methods on the chromatographic and spectroscopic profiles, antioxidant and sensory properties. Sci. Rep. 2021, 11, 21377. [Google Scholar] [CrossRef]
- Bozzola, M.; Charles, S.; Ferretti, T.; Gerakari, E.; Manson, H.; Rosser, N.; von der Goltz, P. The Coffee Guide; International Trade Centre: Geneva, Switzerland, 2021. [Google Scholar]
- Grieco, F. The European Coffee Market: Differentiated Demand and Producers’ Strategies. Ph.D. Thesis, Politecnico di Torino, Torino, Italy, 2022. [Google Scholar]
- Simmons, R.D.; Culkin, N. Covid, Brexit and The Anglosphere: Frameworks for Future Trade and Economic Growth; Emerald Publishing Limited: Bingley, UK, 2022; pp. 147–155. [Google Scholar]
- Triolo, F.A.; Figueiredo, B.; Martin, D.M.; Farrelly, F. Coffee: A global marketplace icon. Consum. Mark. Cult. 2023, 26, 311–320. [Google Scholar] [CrossRef]
- Zehr, H.H. Caught in the Crossfire: The Effects of the Russo-Ukrainian War on Trademarks of Multinational Corporations Analyzed through the Starbucks and Stars Coffee Conflict. J. Corp. Law 2023, 49, 209. [Google Scholar]
- Lanfranchi, M.; Giannetto, C.; Dimitrova, V. Evolutionary Aspects of Coffee Consumers’ buying Habits: Results of a Sample Survey. Bulg. J. Agric. Sci. 2016, 22, 705–712. [Google Scholar]
- Constanza, F.C.; Pereira, L.P.; Silva, E.V. Analysis of the Impact of Agriculture on Economic Growth in Brazil. Afr. J. Emerg. Issues 2022, 4, 1–13. [Google Scholar]
- Gois, T.C.; Thomé, K.M.; Balogh, J.M. Behind a cup of coffee: International market structure and competitiveness. Compet. Rev. Int. Bus. J. 2023, 33, 993–1009. [Google Scholar] [CrossRef]
- Guimarães, Y.M.; Eustachio, J.H.P.P.; Filho, W.L.; Martinez, L.F.; do Valle, M.R.; Caldana, A.C.F. Drivers and barriers in sustainable supply chains: The case of the Brazilian coffee industry. Sustain. Prod. Consum. 2022, 34, 42–54. [Google Scholar] [CrossRef]
- Klein, H.S.; Luna, F.V. Brazilian Crops in the Global Market: The Emergence of Brazil as a World Agribusiness Exporter Since 1950; Springer: Berlin/Heidelberg, Germany, 2023; pp. 239–267. [Google Scholar]
- Raimondo, E. Coffee Industry Market Strategies in Developing Countries. Ph.D. Thesis, Politecnico di Torino, Torino, Italy, 2022. [Google Scholar]
- Siles, P.; Cerdán, C.R.; Staver, C. Smallholder coffee in the global economy—A framework to explore transformation alternatives of traditional agroforestry for greater economic, ecological, and livelihood viability. Front. Sustain. Food Syst. 2022, 6, 808207. [Google Scholar] [CrossRef]
- Török, Á.; Jámbor, A.; Mizik, T. Comparative advantages in the global coffee trade. In Proceedings of the IFAMA World Conference, Miami, FL, USA, 18–21 June 2017. [Google Scholar]
- Severini, C.; Derossi, A.; Ricci, I.; Fiore, A.G.; Caporizzi, R. How much caffeine in coffee cup? Effects of processing operations, extraction methods and variables. In The Question of Caffeine; IntechOpen: London, UK, 2017; pp. 45–85. [Google Scholar]
- Curlej, J.; Bobková, A.; Zajac, P.; Capla, J.; Hleba, L. Sights to Authentication and Adulteration of the Coffee in Global Aspect. J. Microbiol. Biotechnol. Food Sci. 2021, 10, e4793. [Google Scholar] [CrossRef]
- Ferreira, T.; Galluzzi, L.; de Paulis, T.; Farah, A. Three centuries on the science of coffee authenticity control. Food Res. Int. 2021, 149, 110690. [Google Scholar] [CrossRef]
- Perez, M.; Domínguez-López, I.; López-Yerena, A.; Queralt, A.V. Current strategies to guarantee the authenticity of coffee. Crit. Rev. Food Sci. Nutr. 2023, 63, 539–554. [Google Scholar] [CrossRef]
- Sezer, B.; Apaydin, H.; Bilge, G.; Boyaci, I.H. Coffee arabica adulteration: Detection of wheat, corn and chickpea. Food Chem. 2018, 264, 142–148. [Google Scholar] [CrossRef] [PubMed]
- Toci, A.T.; Farah, A.; Pezza, H.R.; Pezza, L. Coffee adulteration: More than two decades of research. Crit. Rev. Anal. Chem. 2016, 46, 83–92. [Google Scholar] [CrossRef] [PubMed]
- De Carvalho Couto, C.; Freitas-Silva, O.; Oliveira, E.M.M.; Sousa, C.; Casal, S. Near-infrared spectroscopy applied to the detection of multiple adulterants in roasted and ground arabica coffee. Foods 2021, 11, 61. [Google Scholar] [CrossRef] [PubMed]
- Núñez, N.; Saurina, J.; Núñez, O. Non-targeted HPLC-FLD fingerprinting for the detection and quantitation of adulterated coffee samples by chemometrics. Food Control 2021, 124, 107912. [Google Scholar] [CrossRef]
- Wang, X.; Lim, L.-T.; Fu, Y. Review of analytical methods to detect adulteration in coffee. J. AOAC Int. 2020, 103, 295–305. [Google Scholar] [CrossRef] [PubMed]
- Ayza, A.; Belete, E. Food adulteration: Its challenges and impacts. Food Sci. Qual. Manag. 2015, 41, 50–56. [Google Scholar]
- Gallagher, M.; Thomas, I. Food fraud: The deliberate adulteration and misdescription of foodstuffs. Eur. Food Feed. Law Rev. 2010, 5, 347–353. [Google Scholar]
- Tibola, C.S.; da Silva, S.A.; Dossa, A.A.; Patrício, D.I. Economically motivated food fraud and adulteration in Brazil: Incidents and alternatives to minimize occurrence. J. Food Sci. 2018, 83, 2028–2038. [Google Scholar] [CrossRef]
- Barra, G.M.J. Coffee Consumption and Industry Strategies in Brazil; Elsevier: Amsterdam, The Netherlands, 2020; pp. 65–90. [Google Scholar]
- Aquino, F.J.; Augusti, R.; Alves, J.D.O.; Diniz, M.E.; Morais, S.A.; Alves, B.H.; Nascimento, E.A.; Sabino, A.A. Direct infusion electrospray ionization mass spectrometry applied to the detection of forgeries: Roasted coffees adulterated with their husks. Microchem. J. 2014, 117, 127–132. [Google Scholar] [CrossRef]
- Daniel, D.; Lopes, F.S.; Dos Santos, V.B.; do Lago, C.L. Detection of coffee adulteration with soybean and corn by capillary electrophoresis-tandem mass spectrometry. Food Chem. 2018, 243, 305–310. [Google Scholar] [CrossRef]
- Martins, V.D.C.; Godoy, R.L.D.O.; Gouvêa, A.C.M.S.; Santiago, M.C.P.D.A.; Borguini, R.G.; Braga, E.C.D.O.; Pacheco, S.; Nascimento, L.D.S.D.M.D. Fraud investigation in commercial coffee by chromatography. Food Qual. Saf. 2018, 2, 121–133. [Google Scholar] [CrossRef]
- Cordoba, N.; Fernandez-Alduenda, M.; Moreno, F.L.; Ruiz, Y. Coffee extraction: A review of parameters and their influence on the physicochemical characteristics and flavour of coffee brews. Trends Food Sci. Technol. 2020, 96, 45–60. [Google Scholar] [CrossRef]
- Rubio-Jovel, K. Coffee production networks in Costa Rica and Colombia: A systems analysis on voluntary sustainability standards and impacts at the local level. J. Clean. Prod. 2024, 445, 141196. [Google Scholar] [CrossRef]
- Czerny, M.; Grosch, W. Potent odorants of raw Arabica coffee. Their changes during roasting. J. Agric. Food Chem. 2000, 48, 868–872. [Google Scholar] [CrossRef]
- De Vivo, A.; Genovese, A.; Tricarico, M.C.; Aprea, A.; Sacchi, R.; Sarghini, F. Volatile compounds in espresso resulting from a refined selection of particle size of coffee powder. J. Food Compos. Anal. 2022, 114, 104779. [Google Scholar] [CrossRef]
- Czerny, M.; Mayer, F.; Grosch, W. Sensory study on the character impact odorants of roasted Arabica coffee. J. Agric. Food Chem. 1999, 47, 695–699. [Google Scholar] [CrossRef]
- Gloess, A.N.; Schönbächler, B.; Klopprogge, B.; D’Ambrosio, L.; Chatelain, K.; Bongartz, A.; Strittmatter, A.; Rast, M.; Yeretzian, C. Comparison of nine common coffee extraction methods: Instrumental and sensory analysis. Eur. Food Res. Technol. 2013, 236, 607–627. [Google Scholar] [CrossRef]
- Yashin, A.; Yashin, X.X.Y.; Xia, X.; Nemzer, B. Chromatographic methods for coffee analysis: A review. J. Food Res. 2017, 6, 60. [Google Scholar] [CrossRef]
- Bicchi, C.P.; Panero, O.M.; Pellegrino, G.M.; Vanni, A.C. Characterization of roasted coffee and coffee beverages by solid phase microextraction−gas chromatography and principal component analysis. J. Agric. Food Chem. 1997, 45, 4680–4686. [Google Scholar] [CrossRef]
- Mussatto, S.I.; Machado, E.M.; Martins, S.; Teixeira, J.A. Production, composition, and application of coffee and its industrial residues. Food Bioprocess Technol. 2011, 4, 661–672. [Google Scholar] [CrossRef]
- Seninde, D.R.; Chambers, E., IV. Coffee flavor: A review. Beverages 2020, 6, 44. [Google Scholar] [CrossRef]
- Buffo, R.A.; Cardelli-Freire, C. Coffee flavour: An overview. Flavour Fragr. J. 2004, 19, 99–104. [Google Scholar] [CrossRef]
- Pohl, P.; Stelmach, E.; Welna, M.; Szymczycha-Madeja, A. Determination of the elemental composition of coffee using instrumental methods. Food Anal. Methods 2013, 6, 598–613. [Google Scholar] [CrossRef]
- Andueza, S.; De Peña, M.P.; Cid, C. Chemical and sensorial characteristics of espresso coffee as affected by grinding and torrefacto roast. J. Agric. Food Chem. 2003, 51, 7034–7039. [Google Scholar] [CrossRef]
- Anderson, K.A.; Smith, B.W. Chemical profiling to differentiate geographic growing origins of coffee. J. Agric. Food Chem. 2002, 50, 2068–2075. [Google Scholar] [CrossRef]
- Abdelwareth, A.; Zayed, A.; Farag, M.A. Chemometrics-based aroma profiling for revealing origin, roasting indices, and brewing method in coffee seeds and its commercial blends in the Middle East. Food Chem. 2021, 349, 129162. [Google Scholar] [CrossRef]
- Barrios-Rodríguez, Y.F.; Rojas Reyes, C.A.; Triana Campos, J.S.; Girón-Hernández, J.; Rodríguez-Gamir, J. Infrared spectroscopy coupled with chemometrics in coffee post-harvest processes as complement to the sensory analysis. LWT 2021, 145, 111304. [Google Scholar] [CrossRef]
- Frost, T. Encyclopedia of Spectroscopy and Spectrometry, 3rd ed.; Frost, Prentice Hall: Harlow, UK, 2017; Chapter 6; pp. 811–815. [Google Scholar]
- Esteban-Díez, I.; González-Sáiz, J.; Sáenz-González, C.; Pizarro, C. Coffee varietal differentiation based on near infrared spectroscopy. Talanta 2007, 71, 221–229. [Google Scholar] [CrossRef]
- Müller, C.; Hofmann, T. Screening of raw coffee for thiol binding site precursors using “in bean” model roasting experiments. J. Agric. Food Chem. 2005, 53, 2623–2629. [Google Scholar] [CrossRef]
- Munyendo, L.; Njoroge, D.; Hitzmann, B. The potential of spectroscopic techniques in coffee analysis—A review. Processes 2021, 10, 71. [Google Scholar] [CrossRef]
- Farah, A. Coffee constituents. Coffee Emerg. Health Eff. Dis. Prev. 2012, 1, 22–58. [Google Scholar]
- Wójcicki, K. Near-infrared spectroscopy as a green technology to monitor coffee roasting. Foods Raw Mater. 2022, 10, 295–303. [Google Scholar] [CrossRef]
- Barbin, D.F.; Felicio, A.L.D.S.M.; Sun, D.-W.; Nixdorf, S.L.; Hirooka, E.Y. Application of infrared spectral techniques on quality and compositional attributes of coffee: An overview. Food Res. Int. 2014, 61, 23–32. [Google Scholar] [CrossRef]
- Sott, M.K.; Furstenau, L.B.; Kipper, L.M.; Giraldo, F.D.; Lopez-Robles, J.R.; Cobo, M.J.; Zahid, A.; Abbasi, Q.H.; Imran, M.A. Precision techniques and agriculture 4.0 technologies to promote sustainability in the coffee sector: State of the art, challenges and future trends. IEEE Access 2020, 8, 149854–149867. [Google Scholar] [CrossRef]
- Kobelnilk, M.; Fontanari, G.G.; Cassimiro, D.L.; Ribeiro, C.A.; Crespi, M.S. Thermal behavior of coffee oil (Robusta and Arabica species). J. Therm. Anal. Calorim. 2014, 115, 2045–2052. [Google Scholar] [CrossRef]
- Tsai, S.Y.; Hwang, B.F.; Wang, S.P.; Lin, C.P. A kinetics study of coffee bean of roasting and storage conditions. J. Food Process. Preserv. 2017, 41, e13040. [Google Scholar] [CrossRef]
- Pereira, L.H.; Catelani, T.A.; Costa, É.D.M.; Garcia, J.S.; Trevisan, M.G. Coffee adulterant quantification by derivative thermogravimetry and chemometrics analysis. J. Therm. Anal. Calorim. 2022, 147, 7353–7362. [Google Scholar] [CrossRef]
- Rodríguez, J.; Durán, C.; Reyes, A. Electronic nose for quality control of Colombian coffee through the detection of defects in “Cup Tests”. Sensors 2009, 10, 36–46. [Google Scholar] [CrossRef]
- Barea-Ramos, J.D.; Cascos, G.; Mesías, M.; Lozano, J.; Martín-Vertedor, D. Evaluation of the olfactory quality of roasted coffee beans using a digital nose. Sensors 2022, 22, 8654. [Google Scholar] [CrossRef]
- Marek, G.; Dobrzański, B., Jr.; Oniszczuk, T.; Combrzyński, M.; Ćwikła, D.; Rusinek, R. Detection and differentiation of volatile compound profiles in roasted coffee arabica beans from different countries using an electronic nose and GC-MS. Sensors 2020, 20, 2124. [Google Scholar] [CrossRef]
- Anwar, H.; Anwar, T.; Murtaza, S. Review on food quality assessment using machine learning and electronic nose system. Biosens. Bioelectron. X 2023, 14, 100365. [Google Scholar] [CrossRef]

Disclaimer/Publisher’s Note: The statements, opinions and data contained in all publications are solely those of the individual author(s) and contributor(s) and not of MDPI and/or the editor(s). MDPI and/or the editor(s) disclaim responsibility for any injury to people or property resulting from any ideas, methods, instructions or products referred to in the content. |
© 2024 by the authors. Licensee MDPI, Basel, Switzerland. This article is an open access article distributed under the terms and conditions of the Creative Commons Attribution (CC BY) license (https://creativecommons.org/licenses/by/4.0/).
Share and Cite
Paterek, R.; Geoghegan, S.; Creaven, B.S.; Power, A. Coffee: Lighting Its Complex Ground Truth and Percolating Its Molecular Brew. Beverages 2024, 10, 119. https://doi.org/10.3390/beverages10040119
Paterek R, Geoghegan S, Creaven BS, Power A. Coffee: Lighting Its Complex Ground Truth and Percolating Its Molecular Brew. Beverages. 2024; 10(4):119. https://doi.org/10.3390/beverages10040119
Chicago/Turabian StylePaterek, Róża, Sive Geoghegan, Bernadette S. Creaven, and Aoife Power. 2024. "Coffee: Lighting Its Complex Ground Truth and Percolating Its Molecular Brew" Beverages 10, no. 4: 119. https://doi.org/10.3390/beverages10040119
APA StylePaterek, R., Geoghegan, S., Creaven, B. S., & Power, A. (2024). Coffee: Lighting Its Complex Ground Truth and Percolating Its Molecular Brew. Beverages, 10(4), 119. https://doi.org/10.3390/beverages10040119

