Understanding the Mellowing Effect of Bottle Aging on the Sensory Perceptions of Varietal Dry White Wines
Abstract
1. Introduction
2. Materials and Methods
2.1. Wine Samples
2.2. Tasting Panel
2.3. Wine Evaluation
2.4. Chemical Analysis
2.4.1. Standard Wine Analysis
2.4.2. Polyphenolic and Color Determinations
2.4.3. Elemental Analysis
2.4.4. Volatile Molecule Analysis
2.5. Statistical Analysis
3. Results
3.1. Quality Prediction as a Function of Sensory Attributes
3.2. The Effect of Age on the Sensory Attributes
3.3. Aroma Taste and Mouthfeel Perception
3.4. Age Prediction
3.5. Chemical Analysis
3.5.1. Standard Analysis
3.5.2. Polyphenolic and Color Analysis
3.5.3. Elemental Analysis by ICP-OES
3.5.4. Analysis of Volatile Molecules
3.6. Multifactorial Analysis (MFA)
4. Limitations and Future Prospects
5. Conclusions
Supplementary Materials
Author Contributions
Funding
Institutional Review Board Statement
Informed Consent Statement
Data Availability Statement
Acknowledgments
Conflicts of Interest
References
- Esteves, M.; Sequeira, M.; Malfeito-Ferreira, M. Definition of the Sensory and Aesthetic Spaces of Dry White Wines with Aging Ability by Experienced Tasters. Beverages 2024, 10, 44. [Google Scholar] [CrossRef]
- Echave, J.; Barral, M.; Fraga-Corral, M.; Prieto, M.A.; Simal-Gandara, J. Bottle aging and storage of wines: A review. Molecules 2021, 26, 713. [Google Scholar] [CrossRef]
- Linsenmeier, A.W.; Rauhut, D.; Sponholz, W.R. Aging and flavor deterioration in wine. In Managing Wine Quality, 2nd ed.; Reynolds, A.G., Ed.; Woodhead Publishing Series in Food Science, Technology and Nutrition; Woodhead Publishing: Duxford, UK, 2022; Volume 2, pp. 559–594. ISBN 9780081020654. [Google Scholar] [CrossRef]
- Simpson, R.F. Aroma composition of bottle aged white wine. Vitis 1979, 18, 148–154. [Google Scholar]
- Zhang, D.; Wei, Z.; Han, Y.; Duan, Y.; Shi, B.; Ma, W. A Review on Wine Flavour Profiles Altered by Bottle Aging. Molecules 2023, 28, 6522. [Google Scholar] [CrossRef] [PubMed]
- Franco-Luesma, E.; Honoré-Chedozeau, C.; Ballester, J.; Valentin, D. Oxidation in wine: Does expertise influence the perception? LWT 2019, 116, 108511. [Google Scholar] [CrossRef]
- Wang, G.; Kumar, Y. Mechanisms of the initial stage of non-enzymatic oxidation of wine: A mini review. J. Food Sci. 2024, 89, 2530–2545. [Google Scholar] [CrossRef]
- Ailer, Š.; Jakabová, S.; Benešová, L.; Ivanova-Petropulos, V. Wine Faults: State of Knowledge in Reductive Aromas, Oxidation and Atypical Aging, Prevention, and Correction Methods. Molecules 2022, 27, 3535. [Google Scholar] [CrossRef] [PubMed]
- Escudero, A.; Asensio, E.; Cacho, J.; Ferreira, V. Sensory and chemical changes of young white wines stored under oxygen. An assessment of the role played by aldehydes and some other important odorants. Food Chem. 2002, 77, 325–331. [Google Scholar] [CrossRef]
- Marrufo-Curtido, A.; de-la-Fuente-Blanco, A.; Sáenz-Navajas, M.-P.; Ferreira, V.; Bueno, M.; Escudero, A. Sensory Relevance of Strecker Aldehydes in Wines. Preliminary Studies of Its Removal with Different Type of Resins. Foods 2021, 10, 1711. [Google Scholar] [CrossRef]
- Ferreira, A.C.S.; Hogg, T.; Guedes de Pinho, P. Identification of key odorants related to the typical aroma of oxidation-spoiled white wines. J. Agric. Food Chem. 2003, 51, 1377–1381. [Google Scholar] [CrossRef]
- Mafata, M.; Brand, J.; Panzeri, V.; Kidd, M.; Buica, A. A multivariate approach to evaluating the chemical and sensorial evolution of South African Sauvignon Blanc and Chenin Blanc wines under different bottle storage conditions. Food Res. Int. 2019, 125, 108515. [Google Scholar] [CrossRef] [PubMed]
- Ugliano, M. Oxygen contribution to wine aroma evolution during bottle aging. J. Agric. Food Chem. 2013, 61, 6125–6136. [Google Scholar] [CrossRef]
- Ugliano, M.; Kwiatkowski, M.J.; Travis, B.; Francis, I.L.; Waters, E.J.; Herderich, M.J.; Pretorius, I.S. Post-bottling management of oxygen to reduce off-flavour formation and optimise wine style. Aust. N. Z. Wine Ind. J. 2009, 24, 24–28. [Google Scholar]
- Vázquez-Pateiro, I.; Arias-González, U.; Mirás-Avalos, J.M.; Falqué, E. Evolution of the Aroma of Treixadura Wines during Bottle Aging. Foods 2020, 9, 1419. [Google Scholar] [CrossRef] [PubMed]
- Dein, M.; Kerley, T.; Munafo, J.P., Jr. Characterization of odorants in a 10-Year-Old Riesling wine. J. Agric. Food Chem. 2021, 69, 11372–11381. [Google Scholar] [CrossRef]
- Haeger, J.W. Riesling Rediscovered: Bold, Bright, and Dry, 1st ed.; University of California Press: Oakland, CA, USA, 2016; pp. 7–67. [Google Scholar]
- Wilson, C. What Is a Vertical Tasting? Decanter, 28 September 2020. Available online: https://www.decanter.com/learn/advice/what-is-a-vertical-tasting-51353/ (accessed on 18 July 2024).
- ISO 3591:1977; Sensory Analysis. Apparatus Wine Tasting Glass. International Organization for Standardization: Geneva, Switzerland, 1977.
- Resolution OIV/OENO 390/2010; Guidelines on Infrared Analysers in Oenology. OIV: Dijon, France, 2010.
- Resolution OIV/OENO 377/2009; Sulfur Dioxide. Method OIV-MA-AS323-04B. OIV: Dijon, France, 2009.
- Ribéreau-Gayon, P.; Glories, Y.; Maujean, A.; Dubourdieu, D. Handbook of Enology: The Chemistry of Wine Stabilization and Treatments, 3rd ed.; John Wiley & Sons, Ltd.: Chichester, UK, 2006; Volume 2, pp. 141–203. [Google Scholar] [CrossRef]
- Somers, T.C.; Ziemelis, G. Spectral evaluation of total phenolic components in Vitis vinifera: Grapes and wines. J. Sci. Food Agric. 1985, 36, 1275–1284. [Google Scholar] [CrossRef]
- Resolution OIV/OENO 1/2006; Determination of Chromatic Characteristics according to CIELab. Method OIV-MA-AS2-11. OIV: Dijon, France, 2006.
- Harutyunyan, M.; Viana, R.; Granja-Soares, J.; Martins, M.; Ribeiro, H.; Malfeito-Ferreira, M. Adaptation of Ancient Techniques to Recreate ‘Wines’ and ‘Beverages’ Using Withered Grapes of Muscat of Alexandria. Fermentation 2022, 8, 85. [Google Scholar] [CrossRef]
- Barata, A.; Pagliara, D.; Piccininno, T.; Tarantino, F.; Ciardulli, W.; Malfeito-Ferreira, M.; Loureiro, V. The effect of sugar concentration and temperature on growth and volatile phenol production by Dekkera bruxellensis in wine. FEMS Yeast Res. 2008, 8, 1097–1102. [Google Scholar] [CrossRef]
- Eglinton, G.; Hunneman, D.H.; McCormick, A. Gas chromatographic—Mass spectrometric studies of long chain hydroxy acids—III. The mass spectra of the methyl esters trimethylsilyl ethers of aliphatic hydroxy acids. A facile method of double bond location. Org. Mass Spectrom. 1968, 1, 593–611. [Google Scholar]
- Kolattukudy, P.E.; Agrawal, V.P. Structure and composition of aliphatic constituents of potato tuber skin (suberin). Lipids 1974, 9, 682–691. [Google Scholar] [CrossRef]
- Malfeito-Ferreira, M. Fine wine flavour perception and appreciation: Blending neuronal processes, tasting methods and expertise. Trends Food Sci. Technol. 2021, 115, 332–346. [Google Scholar] [CrossRef]
- Basalekou, M.; Tataridis, P.; Georgakis, K.; Tsintonis, C. Measuring Wine Quality and Typicity. Beverages 2023, 9, 41. [Google Scholar] [CrossRef]
- Malfeito-Ferreira, M. Fine wine recognition and appreciation: It is time to change the paradigm of wine tasting. Food Res. Int. 2023, 174, 113668. [Google Scholar] [CrossRef] [PubMed]
- Tsai, P.-C.; Araujo, L.D.; Tian, B. Varietal Aromas of Sauvignon Blanc: Impact of Oxidation and Antioxidants Used in Winemaking. Fermentation 2022, 8, 686. [Google Scholar] [CrossRef]
- Coetzee, C.; Brand, J.; Jacobson, D.; Du Toit, W.J. Sensory effect of acetaldehyde on the perception of 3-mercaptohexan-1-ol and 3-isobutyl-2-methoxypyrazine. Aust. J. Grape Wine Res. 2016, 22, 197–204. [Google Scholar] [CrossRef]
- Iobbi, A.; Di, Y.; Tomasino, E. Revealing the sensory impact of different levels and combinations of esters and volatile thiols in Chardonnay wines. Heliyon 2023, 9, e12862. [Google Scholar] [CrossRef]
- Batali, M.; Cotter, A.; Frost, S.; Ristenpart, W.; Guinard, J.-X. Titratable Acidity, Perceived Sourness, and Liking of Acidity in Drip Brewed Coffee. ACS Food Sci. Technol. 2021, 1, 559–569. [Google Scholar] [CrossRef]
- Monforte, A.R.; Martins, S.; Ferreira, A.C.S. Discrimination of white wine ageing based on untarget peak picking approach with multi-class target coupled with machine learning algorithms. Food Chem. 2021, 352, 129288. [Google Scholar] [CrossRef]
- OIV International Standard for the Labelling of Wines. Available online: https://www.oiv.int/standards/international-standard-for-the-labelling-of-wines/part-iii-optional-information/optional-information/type-of-wine (accessed on 17 July 2024).
- Vitorino, G.; Mota, M.; Malfeito-Ferreira, M. Characterization of sensory perceptions elicited by white wine spiked with different aroma, taste and mouth-feel active molecules. Ciênc. Téc. Vitiviníc. 2021, 36, 139–150. [Google Scholar] [CrossRef]
- Malfeito-Ferreira, M.; Diako, C.; Ross, C.F. Sensory and chemical characteristics of ‘dry’ wines awarded gold medals in an international wine competition. J. Wine Res. 2019, 30, 204–219. [Google Scholar] [CrossRef]
- Del Rey, R.; Loose, S. State of the International Wine Market in 2022: New market trends for wines require new strategies. Wine Econ. Policy 2023, 12, 3–18. [Google Scholar] [CrossRef]
- Filipe-Ribeiro, L.; Rodrigues, S.; Nunes, F.M.; Cosme, F. Reducing the Negative Effect on White Wine Chromatic Characteristics Due to the Oxygen Exposure during Transportation by the Deoxygenation Process. Foods 2021, 10, 2023. [Google Scholar] [CrossRef] [PubMed]
- Ricci, A.; Parpinello, G.P.; Versari, A. Modelling the evolution of oxidative browning during storage of white wines: Effects of packaging and closures. Int. J. Food Sci. Technol. 2017, 52, 472–479. [Google Scholar] [CrossRef]
- Ferreira, A.C.S.; Oliveira, C.; Hogg, T.; de Pinho, P.G. Relationship between potentiometric measurements, sensorial analysis, and some substances responsible for aroma degradation of white wines. J. Agric. Food Chem. 2003, 51, 4668–4672. [Google Scholar] [CrossRef]
- Ballester, J.; Abdi, H.; Langlois, J.; Peyron, D.; Valentin, D. The Odor of Colors: Can Wine Experts and Novices Distinguish the Odors of White, Red and Rosé Wines? Chemosens. Percept. 2009, 2, 203–213. [Google Scholar] [CrossRef]
- Coulon-Leroy, C.; Pouzalgues, N.; Cayla, L.; Symoneaux, R.; Masson, G. Is the typicality of “Provence Rosé wines” only a matter of color? Flavor and color typicality combining professional and trained sensorial panels. OENO One 2018, 52, 317–331. [Google Scholar] [CrossRef]
- Agazzi, F.; Nelson, J.; Tanabe, C.; Doyle, C.; Boulton, R.; Buscema, F. Aging of Malbec wines from Mendoza and California: Evolution of phenolic and elemental composition. Food Chem. 2018, 269, 103–110. [Google Scholar] [CrossRef]
- Gambetta, J.M.; Cozzolino, D.; Bastian, S.; Jeffery, D. Towards the Creation of a Wine Quality Prediction Index: Correlation of Chardonnay Juice and Wine Compositions from Different Regions and Quality Levels. Food Anal. Methods 2016, 9, 2842–2855. [Google Scholar] [CrossRef]
- Ferreira, V.; Bueno, M.; Franco-Luesma, E. New Insights into the Chemistry Involved in Aroma Development during Wine Bottle Aging: Slow Redox Processes and Chemical Equilibrium Shifts. Adv. Wine Res. 2015, 1, 275–289. [Google Scholar] [CrossRef]
- Zhou-Tsang, A.; Wu, Y.; Henderson, S.W.; Walker, A.R.; Borneman, A.R.; Walker, R.R.; Gilliham, M. Grapevine salt tolerance. Aust. J. Grape Wine Res. 2021, 27, 149–168. [Google Scholar] [CrossRef]
- Duley, G.; Dujourdy, L.; Klein, S.; Werwein, A.; Spartz, C.; Gougeon, R.; Taylor, D. Regionality in Australian Pinot noir wines: A study on the use of NMR and ICP-MS on commercial wines. Food Chem. 2021, 340, 127906. [Google Scholar] [CrossRef] [PubMed]
- Nicolli, K.P.; Biasoto, A.C.; Souza-Silva, É.A.; Guerra, C.C.; Dos Santos, H.P.; Welke, J.E.; Zini, C.A. Sensory, olfactometry and comprehensive two-dimensional gas chromatography analyses as appropriate tools to characterize the effects of vine management on wine aroma. Food Chem. 2018, 243, 103–117. [Google Scholar] [CrossRef] [PubMed]
- Makhotkina, O.; Pineau, B.; Kilmartin, P.A. Effect of storage temperature on the chemical composition and sensory profile of Sauvignon Blanc wines. Aust. J. Grape Wine Res. 2012, 18, 91–99. [Google Scholar] [CrossRef]
- Steel, C.C.; Schwarz, L.J.; Qiu, Y.; Schueuermann, C.; Blackman, J.W.; Clark, A.C.; Schmidtke, L.M. Thresholds for Botrytis bunch rot contamination of Chardonnay grapes based on the measurement of the fungal sterol, ergosterol. Aust. J. Grape Wine Res. 2020, 26, 79–89. [Google Scholar] [CrossRef]
- Tumanov, S.; Zubenko, Y.; Greven, M.; Greenwood, D.; Shmanai, V.; Villas-Boas, S. Comprehensive lipidome profiling of Sauvignon blanc grape juice. Food Chem. 2015, 180, 249–256. [Google Scholar] [CrossRef]
- Culleré, L.; Cacho, J.; Ferreira, V. An Assessment of the Role Played by Some Oxidation-Related Aldehydes in Wine Aroma. J. Agric. Food Chem. 2007, 55, 876–881. [Google Scholar] [CrossRef] [PubMed]
- Oliveira, C.; Santos, S.; Silvestre, A.; Barros, A.; Ferreira, A.C.S.; Silva, A. Quantification of 3-deoxyglucosone (3DG) as an aging marker in natural and forced aged wines. J. Food Compos. Anal. 2016, 50, 70–76. [Google Scholar] [CrossRef]
- Díaz-Maroto, M.C.; López Viñas, M.; Marchante, L.; Alañón, M.E.; Díaz-Maroto, I.J.; Pérez-Coello, M.S. Evaluation of the Storage Conditions and Type of Cork Stopper on the Quality of Bottled White Wines. Molecules 2021, 26, 232. [Google Scholar] [CrossRef]
- Husson, F.; Lê, S.; Pagès, J. Exploratory Multivariate Analysis by Example Using R, 2nd ed.; Chapman and Hall/CRC: Boca Raton, FL, USA, 2017; pp. 131–172. [Google Scholar]
- Caissie, A.; Riquier, L.; De Revel, G.; Tempere, S. Representational and sensory cues as drivers of individual differences in expert quality assessment of red wines. Food Qual. Prefer. 2021, 87, 104032. [Google Scholar] [CrossRef]
- Mafata, M.; Brand, J.; Panzeri, V.; Buica, A. Investigating the Concept of South African Old Vine Chenin Blanc. S. Afr. J. Enol. Vitic. 2020, 41, 168–182. [Google Scholar] [CrossRef]












| Origin a | Brand | Grape Variety | Vintages | Sample Codes |
|---|---|---|---|---|
| Vinhos Verdes DOC b, Sub-region Monção and Melgaço, Portugal | Soalheiro | Alvarinho | 2014, 2017, 2019, 2022 | AL14, AL17, AL19, AL22 |
| Lisboa DOC, Portugal | Quinta do Rol | Arinto | 2006, 2010, 2011, 2015, 2017 | AR06, AR10, AR11, AR15, AR17 |
| Alto Adige DOC, Italy | Kellerei Terlan | Pinot Blanc | 2006, 2010, 2012, 2015, 2020 | PB06, PB10, PB12, PB15, PB20 |
| Lisboa DOC, Portugal | Adega Mãe | Sauvignon Blanc | 2013, 2016, 2019, 2021 | SB13, SB16, SB19, SB21 |
| Attribute | Definition | Range |
|---|---|---|
| Evolutionary state | Perception of the age character evolution | Too young–Too old |
| Quality | Overall perception of the level of quality | Very low–Very high |
| Complexity | Perception of the diversity of aromas and flavors | Low–High |
| Body | Perception of volume or weight in the palate | Light–Full |
| Linger | Persistence of aromas and flavors after tasting | Short–Long |
| Faulty | Detection of any sort of off-flavors | None–A lot |
| Balance | Perception of harmony between aromas and flavors | Unbalanced–Balanced |
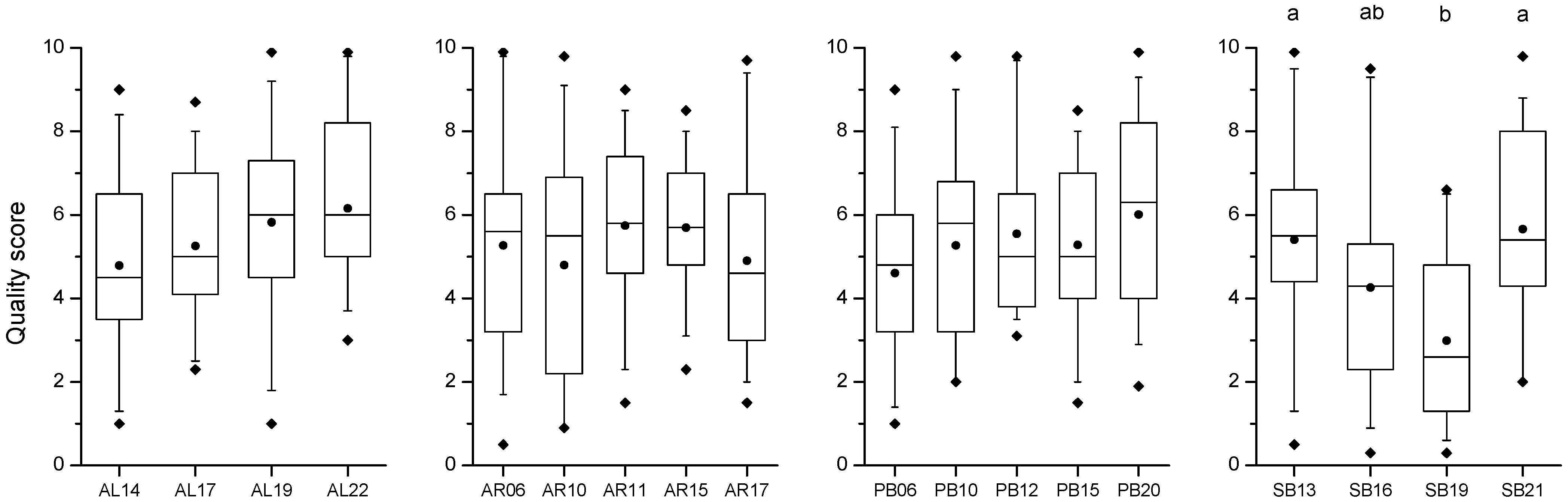
| Sample | Quality | Balance | Evolution | Faulty | Body | Complexity | Linger |
|---|---|---|---|---|---|---|---|
| AL14 | 4.79 ab | 5.30 ab | 5.92 abcd | 3.73 abc | 4.63 | 4.94 | 5.71 |
| AL17 | 5.26 ab | 5.87 a | 5.34 bcd | 2.41 bc | 4.44 | 5.09 | 5.09 |
| AL19 | 5.82 a | 6.12 a | 5.34 bcd | 2.73 abc | 5.10 | 5.33 | 5.33 |
| AL22 | 6.16 a | 5.80 a | 4.85 cd | 1.50 c | 5.32 | 5.46 | 5.86 |
| AR06 | 5.27 ab | 4.06 ab | 6.93 ab | 3.87 abc | 4.83 | 6.12 | 5.57 |
| AR10 | 4.80 ab | 4.50 ab | 7.08 ab | 4.76 ab | 4.97 | 5.45 | 5.31 |
| AR11 | 5.74 a | 5.61 a | 5.76 abcd | 2.47 bc | 5.69 | 5.87 | 5.70 |
| AR15 | 5.70 a | 5.43 a | 5.26 bcd | 2.74 abc | 4.96 | 5.53 | 5.55 |
| AR17 | 4.90 ab | 4.73 ab | 6.44 abcd | 3.99 abc | 4.63 | 5.30 | 6.03 |
| PB06 | 4.61 ab | 4.17 ab | 7.43 a | 3.82 abc | 5.32 | 4.81 | 5.55 |
| PB10 | 5.27 ab | 5.67 a | 5.43 bcd | 2.13 bc | 4.72 | 4.38 | 4.20 |
| PB12 | 5.55 a | 5.53 a | 4.88 cd | 2.13 bc | 5.47 | 5.20 | 5.81 |
| PB15 | 5.28 ab | 5.02 ab | 5.19 bcd | 2.18 bc | 5.18 | 4.99 | 5.30 |
| PB20 | 6.01 a | 5.26 ab | 4.63 d | 1.92 bc | 5.67 | 5.64 | 6.42 |
| SB13 | 5.40 a | 5.72 a | 5.50 bcd | 3.55 abc | 5.63 | 5.50 | 6.17 |
| SB16 | 4.26 ab | 4.32 ab | 6.34 abcd | 3.53 abc | 4.03 | 4.47 | 3.85 |
| SB19 | 2.99 b | 2.82 b | 6.54 abc | 6.03 a | 4.00 | 4.63 | 5.14 |
| SB21 | 5.66 a | 5.56 a | 5.33 bcd | 2.91 abc | 4.55 | 5.24 | 5.54 |
| p-value Kruskal–Wallis | 0.002 | 0.001 | 3.56 × 10−9 | 0.001 | 0.2425 | 0.213 | 0.100 |
| p-value Tukey–Kramer | 0.00065 *** | 0.00066 *** | 3.3 × 10−9 *** | 2.8 × 10−9 *** | − | − | − |
| Age | Quality | Balance | Evolution | Faulty | Body | Complexity | Linger | |
|---|---|---|---|---|---|---|---|---|
| Age | − | |||||||
| Quality | −0.100 | − | ||||||
| Balance | −0.367 | 0.522 * | − | |||||
| Evolution | 0.418 | −0.410 | −0.490 * | − | ||||
| Faulty | 0.179 | −0.614 ** | −0.498 * | 0.666 ** | − | |||
| Body | 0.490 * | 0.316 | 0.084 | 0.171 | 0.123 | − | ||
| Complexity | −0.137 | 0.623 ** | 0.188 | 0.049 | −0.175 | 0.236 | − | |
| Linger | −0.070 | 0.199 | 0.269 | 0.145 | 0.233 | 0.575 * | 0.223 | − |
| Sample | Real Age | Predicted Age (Dark Glass) | Predicted Age (Transparent Glass) | Color Score (cm) |
|---|---|---|---|---|
| AL14 | 9 | 5.6 ± 4.6 | 5.4 ± 3.8 | 5.2 ± 1.9 |
| AL17 | 6 | 4.3 ± 3.2 | − | − |
| AL19 | 4 | 4.7 ± 3.8 | − | − |
| AL22 | 1 | 3.5 ± 2.9 | 1.8 ± 1.1 | 1.3 ± 1.5 |
| AR06 | 17 | 10.1 ± 7.3 | 10.0 ± 4.5 | 7.6 ± 1.5 |
| AR10 | 13 | 9.8 ± 6.2 | − | − |
| AR11 | 12 | 5.4 ± 2.5 | − | − |
| AR15 | 8 | 5.8 ± 4.8 | − | − |
| AR17 | 6 | 7.2 ± 3.0 | 4.7 ± 2.5 | 4.3 ± 1.4 |
| PB06 | 17 | 9.0 ± 4.9 | 6.4 ± 4.9 | 5.7 ± 1.8 |
| PB10 | 13 | 5.0 ± 3.8 | − | − |
| PB12 | 11 | 3.7 ± 2.1 | − | − |
| PB15 | 8 | 4.1 ± 2.9 | − | − |
| PB20 | 3 | 4.1 ± 2.6 | 3.2 ± 3.2 | 1.8 ± 0.9 |
| SB13 | 10 | 5.7 ± 4.4 | 3.4 ± 1.6 | 3.3 ± 1.0 |
| SB16 | 7 | 6.0 ± 3.4 | − | − |
| SB19 | 4 | 7.8 ± 7.2 | − | − |
| SB21 | 2 | 4.2 ± 3.7 | 2.1 ± 1.3 | 1.8 ± 0.8 |
| Element | Alvarinho | Arinto | Pinot Bianco | Sauvignon Blanc |
|---|---|---|---|---|
| Na | 0.810 | 0.828 | 0.874 | −0.139 |
| K | 0.978 * | 0.498 | 0.573 | 0.193 |
| Ca | 0.988 * | 0.388 | −0.665 | 0.182 |
| Mg | 0.914 | 0.552 | −0.508 | −0.883 |
| P | 0.941 | −0.185 | −0.275 | 0.245 |
| S | 0.759 | 0.482 | −0.348 | −0.089 |
| Fe | 0.966 * | 0.440 | −0.196 | −0.219 |
| Cu | −0.255 | −0.380 | −0.073 | −0.403 |
| Zn | 0.960 * | 0.721 | 0.400 | 0.712 |
| Mn | 0.230 | 0.369 | 0.311 | 0.161 |
| B | 0.901 | 0.808 | 0.961 ** | −0.666 |
| Pb | 0.253 | 0.032 | −0.145 | 0.098 |
| Cr | 0.928 | −0.393 | 0.214 | −0.753 |
| Ni | −0.466 | 0.754 | 0.800 | 0.686 |
| Cd | −0.601 | −0.324 | 0.092 | −0.740 |
Disclaimer/Publisher’s Note: The statements, opinions and data contained in all publications are solely those of the individual author(s) and contributor(s) and not of MDPI and/or the editor(s). MDPI and/or the editor(s) disclaim responsibility for any injury to people or property resulting from any ideas, methods, instructions or products referred to in the content. |
© 2024 by the authors. Licensee MDPI, Basel, Switzerland. This article is an open access article distributed under the terms and conditions of the Creative Commons Attribution (CC BY) license (https://creativecommons.org/licenses/by/4.0/).
Share and Cite
Marasà, G.; Ferreira, J.; Mota, M.; Malfeito-Ferreira, M. Understanding the Mellowing Effect of Bottle Aging on the Sensory Perceptions of Varietal Dry White Wines. Beverages 2024, 10, 78. https://doi.org/10.3390/beverages10030078
Marasà G, Ferreira J, Mota M, Malfeito-Ferreira M. Understanding the Mellowing Effect of Bottle Aging on the Sensory Perceptions of Varietal Dry White Wines. Beverages. 2024; 10(3):78. https://doi.org/10.3390/beverages10030078
Chicago/Turabian StyleMarasà, Giovanni, Joana Ferreira, Mariana Mota, and Manuel Malfeito-Ferreira. 2024. "Understanding the Mellowing Effect of Bottle Aging on the Sensory Perceptions of Varietal Dry White Wines" Beverages 10, no. 3: 78. https://doi.org/10.3390/beverages10030078
APA StyleMarasà, G., Ferreira, J., Mota, M., & Malfeito-Ferreira, M. (2024). Understanding the Mellowing Effect of Bottle Aging on the Sensory Perceptions of Varietal Dry White Wines. Beverages, 10(3), 78. https://doi.org/10.3390/beverages10030078

