Efficient and Economic Heparin Recovery from Porcine Intestinal Mucosa Using Quaternary Ammonium-Functionalized Silica Gel
Abstract
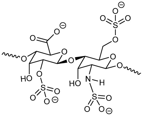
1. Introduction
2. Results and Discussion
2.1. Synthesis and Characterization of Quaternary Ammonium-Functionalized Silica Gel
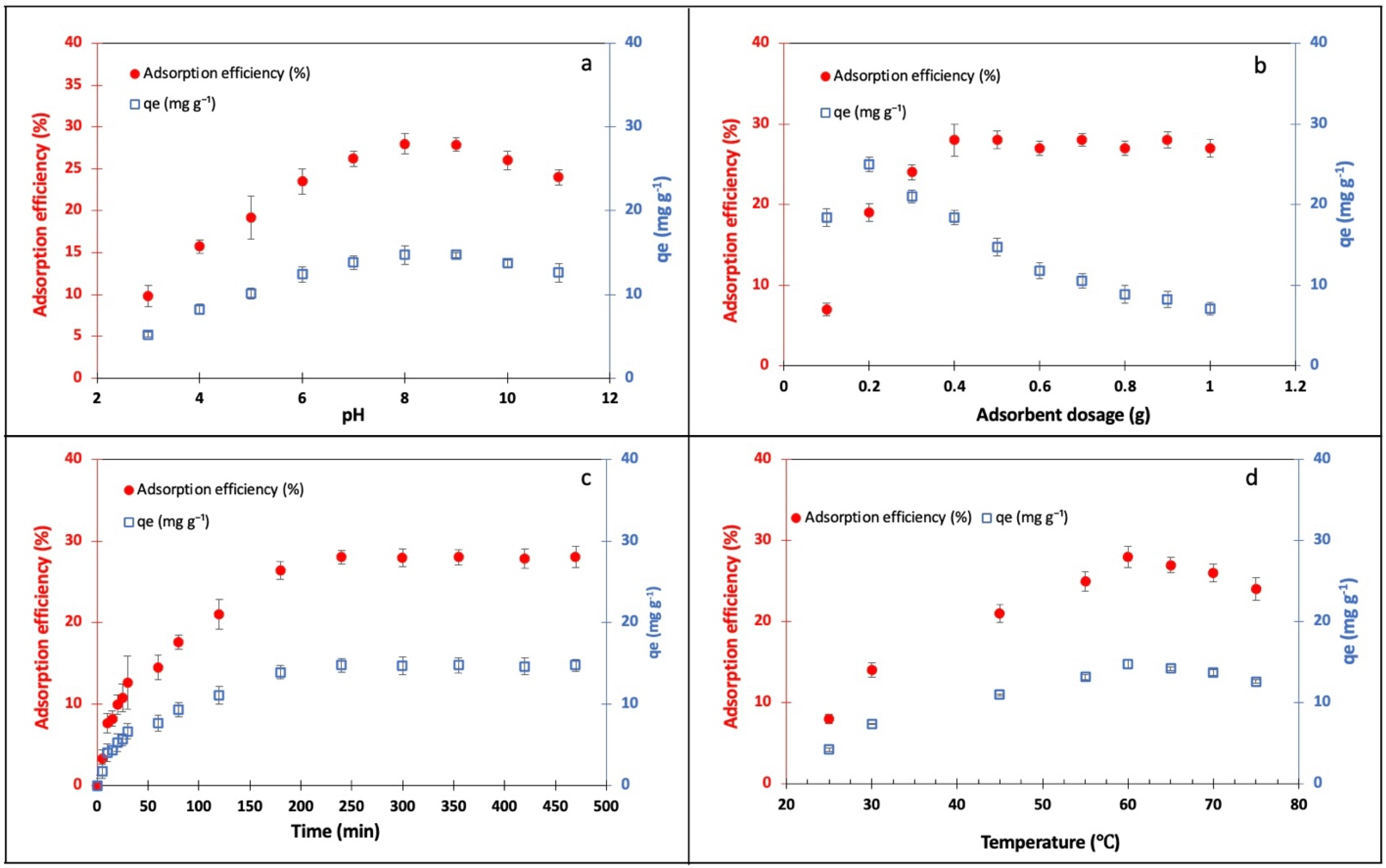
2.2. Heparin Adsorption Studies
2.2.1. Effect of pH
2.2.2. Effect of the Adsorption Dosage
2.2.3. Adsorption Time and Temperature Effects
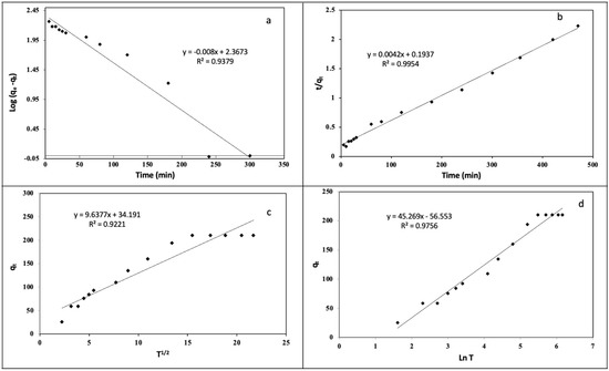
2.2.4. Kinetic and Thermodynamic Studies
2.2.5. Sorbet Reusability
2.2.6. Sheep Plasma Clotting Assay
2.2.7. Molecular Weight of the Extracted Heparin
3. Experimental
3.1. Synthesis (Methyl Iodide Treatment of Different Amine-Functionalized Silica)
3.2. Heparin Adsorption and Intrinsic Viscosity Experiments
4. Conclusions
Author Contributions
Funding
Institutional Review Board Statement
Informed Consent Statement
Data Availability Statement
Acknowledgments
Conflicts of Interest
Abbreviations
| HEP | Heparin |
| MASi | 3-Aminopropyl-functionalized silica gel |
| DASi | 3-(Ethylenediamino)propyl-functionalized silica gel |
| TASi | 3-(Diethylenetriamino)propyl-functionalized silica gel |
| QMASi | Quaternarized MASi |
| QDASi | Quaternarized DASi |
| QTASi | Quaternarized TASi |
References
- Lee, M.S.; Kong, J. Heparin: Physiology, pharmacology, and clinical application. Rev. Cardiovasc. Med. 2015, 16, 189–199. [Google Scholar] [CrossRef]
- Orihara, K.; Hikichi, A.; Arita, T.; Muguruma, H.; Yoshimi, Y. Heparin molecularly imprinted polymer thin film on gold electrode byplasma-induced graft polymerization for label-free biosensor. J. Pharm. Biomed. Anal. 2018, 151, 324–330. [Google Scholar] [CrossRef]
- Rodriguez-Torres, M.D.P.; Acosta-Torres, L.S.; Diaz-Torres, L.A. Heparin-Based Nanoparticles: An Overview of Their Applications. J. Nanomater. 2018, 2018, 9780489. [Google Scholar] [CrossRef]
- Scott, L.J.; Perry, C.M. Tramadol: A Review of Its Use in Perioperative Pain; Adis International Ltd.: Auckland, New Zealand, 2000; Volume 60. [Google Scholar]
- Turpie, A.G.G.; Hirsh, J. Heparin. Nova Scotia Med. Bull. 1979, 58, 25–29. [Google Scholar] [CrossRef]
- Dinda, A.K.; Tripathy, D.R.; Das, A.; Dasgupta, S. Comparison of the ribonucleolytic activity of the dityrosine cross-linked Ribonuclease A dimer with its monomer in the presence of inhibitors. Int. J. Biol. Macromol. 2014, 63, 107–113. [Google Scholar] [CrossRef] [PubMed]
- Urbinati, C.; Milanesi, M.; Lauro, N.; Bertelli, C.; David, G.; D’Ursi, P.; Rusnati, M.; Chiodelli, P. HIV-1 tat and heparan sulfate proteoglycans orchestrate the setup of in cis and in trans cell-surface interactions functional to lymphocyte trans-endothelial migration. Molecules 2021, 26, 7488. [Google Scholar] [CrossRef] [PubMed]
- Boddohi, S.; Killingsworth, C.E.; Kipper, M.J. Polyelectrolyte multilayer assembly as a function of pH and ionic strength using the polysaccharides chitosan and heparin. Biomacromolecules 2008, 9, 2021–2028. [Google Scholar] [CrossRef] [PubMed]
- Barrowcliffe, T.W. History of heparin. In Heparin—A Century of Progress; Lever, R., Mulloy, B., Page, C.P., Eds.; Springer: Berlin/Heidelberg, Germany, 2012. [Google Scholar]
- Vreeburg, J.-W.; Baauw, A. Method for Preparation of Heparin from Mucosa. International Patent Application No. WO2010110654A12010, 30 September 2010. [Google Scholar]
- Anderson, J.A.M.; Saenko, E.L. Heparin Resistance. Br. J. Anaesth. 2002, 88, 467–469. [Google Scholar] [CrossRef]
- Flengsrud, R.; Larsen, M.L.; Odegaard, O.R. Purification, characterization and in vivo studies of salmon heparin. Thromb. Res. 2010, 126, e409–e417. [Google Scholar] [CrossRef]
- van der Meer, J.Y.; Kellenbach, E.; van den Bos, L.J. From farm to pharma: An overview of industrial heparin manufacturing methods. Molecules 2017, 22, 1025. [Google Scholar] [CrossRef]
- Haley, R.A.; Ringo, J.M.; Hopgood, H.; Denlinger, K.L.; Das, A.; Waddell, D.C. Graduate Student Designed and Delivered: An Upper-Level Online Course for Undergraduates in Green Chemistry and Sustainability. J. Chem. Educ. 2018, 95, 560–569. [Google Scholar] [CrossRef]
- Linhardt, R.J.; Ampofo, S.A.; Fareed, J.; Hoppensteadt, D.; Folkman, J.; Mulliken, J.B. Isolation and characterization of human heparin. Biochemistry 1992, 31, 12441–12445. [Google Scholar] [CrossRef] [PubMed]
- Hoke, D.E.; Carson, D.D.; Höök, M. A heparin binding synthetic peptide from human HIP / RPL29 fails to specifically differentiate between anticoagulantly active and inactive species of heparin. J. Negat. Results BioMedicine 2003, 2, 1. [Google Scholar] [CrossRef] [PubMed]
- Abdolmaleki, M.K.; Ganta, D.; Shafiee, A.; Velazquez, C.A.; Khambhati, D.P. Efficient heparin recovery from porcine intestinal mucosa using zeolite imidazolate framework-8. Molecules 2022, 27, 1670. [Google Scholar] [CrossRef] [PubMed]
- Abbaspourrad, A.; Enayatinook, M.; Abdolmaleki, M.K. Synthesis of Cross-Linked Spherical Polycationic Bead Adsorbents for Heparin Recovery. International Patent Application No. WO2021146301A1, 22 July 2021. [Google Scholar]
- Eskandarloo, H.; Enayati, M.; Abdolmaleki, M.K.; Arshadi, M.; Abbaspourrad, A. Selective Electrochemical Capture and Release of Heparin Based on Amine-Functionalized Carbon/Titanium Dioxide Nanotube Arrays. ACS Appl. Bio Mater. 2019, 2, 2685–2697. [Google Scholar] [CrossRef]
- Men, J.Y.; Guo, J.F.; Zhou, W.H.; Dong, N.Y.; Pang, X.L.; Gao, B.J. Preparation of cationic functional polymer poly-(Acryloxyethyltrimethyl ammonium chloride)/SiO2 and its adsorption characteristics for heparin. Korean J. Chem. Eng. 2017, 34, 1889–1895. [Google Scholar] [CrossRef]
- Eskandarloo, H.; Godec, M.; Arshadi, M.; Padilla-Zakour, O.I.; Abbaspourrad, A. Multi-porous quaternized chitosan/polystyrene microbeads for scalable, efficient heparin recovery. Chem. Eng. J. 2018, 348, 399–408. [Google Scholar] [CrossRef]
- Valimaki, S.; Khakalo, A.; Ora, A.; Johansson, L.S.; Rojas, O.J.; Kostiainen, M.A. Effect of PEG-PDMAEMA block copolymer architecture on polyelectrolyte complex formation with heparin. Biomacromolecules 2016, 17, 2891–2900. [Google Scholar] [CrossRef] [PubMed]
- Choi, S.; Clements, D.J.; Pophristic, V.; Ivanov, I.; Vemparala, S.; Bennett, J.S.; Klein, M.L.; Winkler, J.D.; DeGrado, W.E. The design and evaluation of heparin-binding foldamers. Angew. Chem. Int. Ed. 2005, 44, 6685–6689. [Google Scholar] [CrossRef]
- Eskandarloo, H.; Arshadi, M.; Enayati, M.; Abbaspourrad, A. Highly efficient recovery of heparin using a green and low-cost quaternary ammonium functionalized halloysite nanotube. ACS Sustain. Chem. Eng. 2018, 6, 15349–15360. [Google Scholar] [CrossRef]
- Das, A.; Lao, E.A.; Gudmundsdottir, A.D. Photoenolization of O-Methylvalerophenone Ester Derivative. Photochem. Photobiol. 2016, 92, 388–398. [Google Scholar] [CrossRef] [PubMed]
- Akl, M.A.A.; Kenawy, I.M.M.; Lasheen, R.R. Organically modified silica gel and flame atomic absorption spectrometry: Employment for separation and preconcentration of nine trace heavy metals for their determination in natural aqueous systems. Microchemical 2004, 78, 143–156. [Google Scholar] [CrossRef]
- Zhang, Y.; Xia, K.; Liu, X.; Chen, Z.; Du, H.; Zhang, X. Synthesis of cationic-modified silica gel and its adsorption properties for anionic dyes. J. Taiwan Inst. Chem. Eng. 2019, 102, 1–8. [Google Scholar] [CrossRef]
- Weragoda, G.K.; Das, A.; Sarkar, S.K.; Sriyarathne, H.D.M.; Zhang, X.; Ault, B.S.; Gudmundsdottir, A.D. Singlet Photoreactivity of 3-Methyl-2-phenyl-2H-azirine. Aust. J. Chem. 2017, 70, 413. [Google Scholar]
- Launer, P.; Arkles, B. Infrared Analysis of Organosilicon Compounds. In Silicon Compounds: Silanes & Silicones, 3rd ed.; Gelest Inc.: Morrisville, PA, USA, 2013; pp. 175–178. [Google Scholar]
- Ullah, H.; Azizli, K.; Man, Z.B.; Ismail, M.B.C. Synthesis and characterization of urea-formaldehyde microcapsules containing functionalized polydimethylsiloxanes. Procedia Eng. 2016, 148, 168–175. [Google Scholar] [CrossRef]
- Sarkar, S.K.; Gatlin, D.M.; Das, A.; Loftin, B.; Krause, J.A.; Abe, M.; Gudmundsdottir, A.D. Laser flash photolysis of nanocrystalline α-azido-p-methoxy-acetophenone. Org. Biomol. Chem. 2017, 15, 7380–7386. [Google Scholar] [CrossRef]
- Capeletti, L.B.; Zimnoch, J.H. Fourier transform infrared and raman characterization of silica-based materials. In Applications of Molecular Spectroscopy to Current Research in the Chemical and Biological Sciences; InTech: Rijeka, Croatia, 2016; Ch. 1. [Google Scholar]
- Enayati, M.; Karimi Abdolmaleki, M.; Abbaspourrad, A. Synthesis of cross-linked spherical polycationic adsorbents for enhanced heparin recovery. ACS Biomater. Sci. Eng. 2020, 6, 2822–2831. [Google Scholar] [CrossRef]
- Pandian, V.; Thangavel, B.; Thirugnanasambandan, S. Low-Molecular weight molluscan glycosaminoglycan from bivalve katelysia opima (gmelin). Methods Find. Exp. Clin. Pharmacol. 2008, 30, 175–180. [Google Scholar]
- Ho, Y.S.; McKay, G. Pseudo-second order model for sorption processes. Process Biochem. 1999, 34, 451–465. [Google Scholar] [CrossRef]
- Simonin, J.P. On the comparison of pseudo-first order and pseudo-second order rate laws in the modeling of adsorption kinetics. Chem. Eng. J. 2016, 300, 254–263. [Google Scholar] [CrossRef]
- Robati, D. Pseudo-second-order kinetic equations for modeling adsorption systems for removal of lead ions using multi-walled carbon nanotube. J. Nanostruct. Chem. 2013, 3, 55. [Google Scholar] [CrossRef]
- Azizi, S.; Shahri, M.M.; Mohamad, R. Green synthesis of Zinc oxide nanoparticles for enhanced adsorption of lead ions from aqueous solutions: Equilibrium, kinetic and thermodynamic studies. Molecules 2017, 22, 831. [Google Scholar] [CrossRef] [PubMed]
- Wu, F.-C.; Tseng, R.-L.; Juang, R.-S. Initial behavior of intraparticle diffusion model used in the description of adsorption kinetics. Chem. Eng. J. 2009, 153, 1–8. [Google Scholar] [CrossRef]
- Chien, S.H.; Clayton, W.R. Application of Elovich equation to the kinetics of phosphate release and sorption in soils. Soil Sci. Soc. Am. J. 1980, 44, 265–268. [Google Scholar] [CrossRef]
- Ghaedi, M.; Shokrollahi, A.; Hossainian, H.; Kokhdan, S.N. Comparison of activated carbon and multiwalled carbon nanotubes for efficient removal of eriochrome cyanine R (ECR): Kinetic, isotherm, and thermodynamic study of the removal process. J. Chem. Eng. Data 2011, 56, 3227–3235. [Google Scholar] [CrossRef]
- Shokrollahi, A.; Alizadeh, A.; Malekhosseini, Z.; Ranjbar, M. Removal of bromocresol green from aqueous solution via adsorption on Ziziphus nummularia as a new, natural, and low-cost adsorbent: Kinetic and thermodynamic study of removal process. J. Chem. Eng. Data 2011, 56, 3738–3746. [Google Scholar] [CrossRef]
- Ghadim, E.E.; Manouchehri, F.; Soleimani, G.; Hosseini, H.; Kimiagar, S.; Nafisi, S. Adsorption properties of tetracycline onto graphene oxide: Equilibrium, kinetic and thermodynamic studies. PLoS ONE 2013, 8, e79254. [Google Scholar] [CrossRef] [PubMed]
- Arshadi, M.; Eskandarloo, H.; Enayati, M.; Godec, M.; Abbaspourrad, A. Highly water-dispersible and antibacterial magnetic clay nanotubes functionalized with polyelectrolyte brushes: High adsorption capacity and selectivity toward heparin in batch and continuous system. Green Chem. 2018, 20, 5491–5508. [Google Scholar] [CrossRef]
- Bertini, S.; Bisio, A.; Torri, G.; Bensi, D.; Terbojevich, M. Molecular weight determination of heparin and dermatan sulfate by size exclusion chromatography with a triple detector array. Biomacromolecules 2005, 6, 168–173. [Google Scholar] [CrossRef]
- Davachi, S.M.; Kaffashi, B.; Zamanian, A.; Torabinejad, B.; Ziaeirad, Z. Investigating composite systems based on poly l-lactide and poly l-lactide/triclosan nanoparticles for tissue engineering and medical applications. Mater. Sci. Eng. C 2016, 58, 294–309. [Google Scholar] [CrossRef]









| Material | Adsorption Efficiency (%) | Adsorption Capacity (mg g−1) |
|---|---|---|
| Silica-gel | <5 | <3 |
| MASi | <5 | <3 |
| DASi | <5 | <3 |
| TASi | <5 | <3 |
| QMASi | 18 | 9.5 |
| QDASi | 59 | 31 |
| QTASi | 38 | 20 |
| Model | Parameter | Value |
|---|---|---|
| Pseudo-first-order | 0.0186 | |
| 236.065 | ||
| 0.9379 | ||
| Pseudo-second-order | E−5 | |
| 235.312 | ||
| 0.9954 | ||
| Intraparticle Diffusion | 9.637 | |
| 34.190 | ||
| 0.9221 | ||
| Elovich | 0.0220 | |
| 1.333 | ||
| 0.9756 | ||
| 210.526 |
| ΔH° (J/mol K) | ΔS° (KJ/mol) | Ea (KJ/mol) | Temperature (K) | |||||||
| 298.15 | 303.15 | 318.15 | 328.15 | 333.15 | 338.15 | 343.15 | 348.15 | |||
| 3.59 | 31.41 | 3.29 | ΔG° (KJ/mol) | |||||||
| −9.362 | −9.519 | −9.990 | −10.305 | −10.462 | −10.619 | −10.776 | −10.933 | |||
Publisher’s Note: MDPI stays neutral with regard to jurisdictional claims in published maps and institutional affiliations. |
© 2022 by the authors. Licensee MDPI, Basel, Switzerland. This article is an open access article distributed under the terms and conditions of the Creative Commons Attribution (CC BY) license (https://creativecommons.org/licenses/by/4.0/).
Share and Cite
Karimi Abdolmaleki, M.; Das, A.; Khambhati, D.P.; Shafiee, A.; Dimas, K.; Velazquez, C.A.; Davachi, S.M.; Choubtarash Abardeh, S. Efficient and Economic Heparin Recovery from Porcine Intestinal Mucosa Using Quaternary Ammonium-Functionalized Silica Gel. Bioengineering 2022, 9, 606. https://doi.org/10.3390/bioengineering9110606
Karimi Abdolmaleki M, Das A, Khambhati DP, Shafiee A, Dimas K, Velazquez CA, Davachi SM, Choubtarash Abardeh S. Efficient and Economic Heparin Recovery from Porcine Intestinal Mucosa Using Quaternary Ammonium-Functionalized Silica Gel. Bioengineering. 2022; 9(11):606. https://doi.org/10.3390/bioengineering9110606
Chicago/Turabian StyleKarimi Abdolmaleki, Mahmood, Anushree Das, Devang P. Khambhati, Ali Shafiee, Kayli Dimas, Carlo Alberto Velazquez, Seyed Mohammad Davachi, and Sima Choubtarash Abardeh. 2022. "Efficient and Economic Heparin Recovery from Porcine Intestinal Mucosa Using Quaternary Ammonium-Functionalized Silica Gel" Bioengineering 9, no. 11: 606. https://doi.org/10.3390/bioengineering9110606
APA StyleKarimi Abdolmaleki, M., Das, A., Khambhati, D. P., Shafiee, A., Dimas, K., Velazquez, C. A., Davachi, S. M., & Choubtarash Abardeh, S. (2022). Efficient and Economic Heparin Recovery from Porcine Intestinal Mucosa Using Quaternary Ammonium-Functionalized Silica Gel. Bioengineering, 9(11), 606. https://doi.org/10.3390/bioengineering9110606

