A High-Frequency Temporal-Interference Alternative Current Stimulation Device Using Pulse Amplitude Modulation with Push–Pull Current Sources
Abstract
1. Introduction
2. Materials and Methods
2.1. Electrode-Integrated PAM Circuit and Complementary PWM Control Board
2.2. Pulse-Amplitude Modulation Temporal Interference (PAM-TI)
2.3. Circuit Design and Simulation
2.3.1. Improved Howland Current Pump with Buffer Circuit
2.3.2. Current Source Circuit OPA Dissipation
2.3.3. Push–Pull Current Source Design
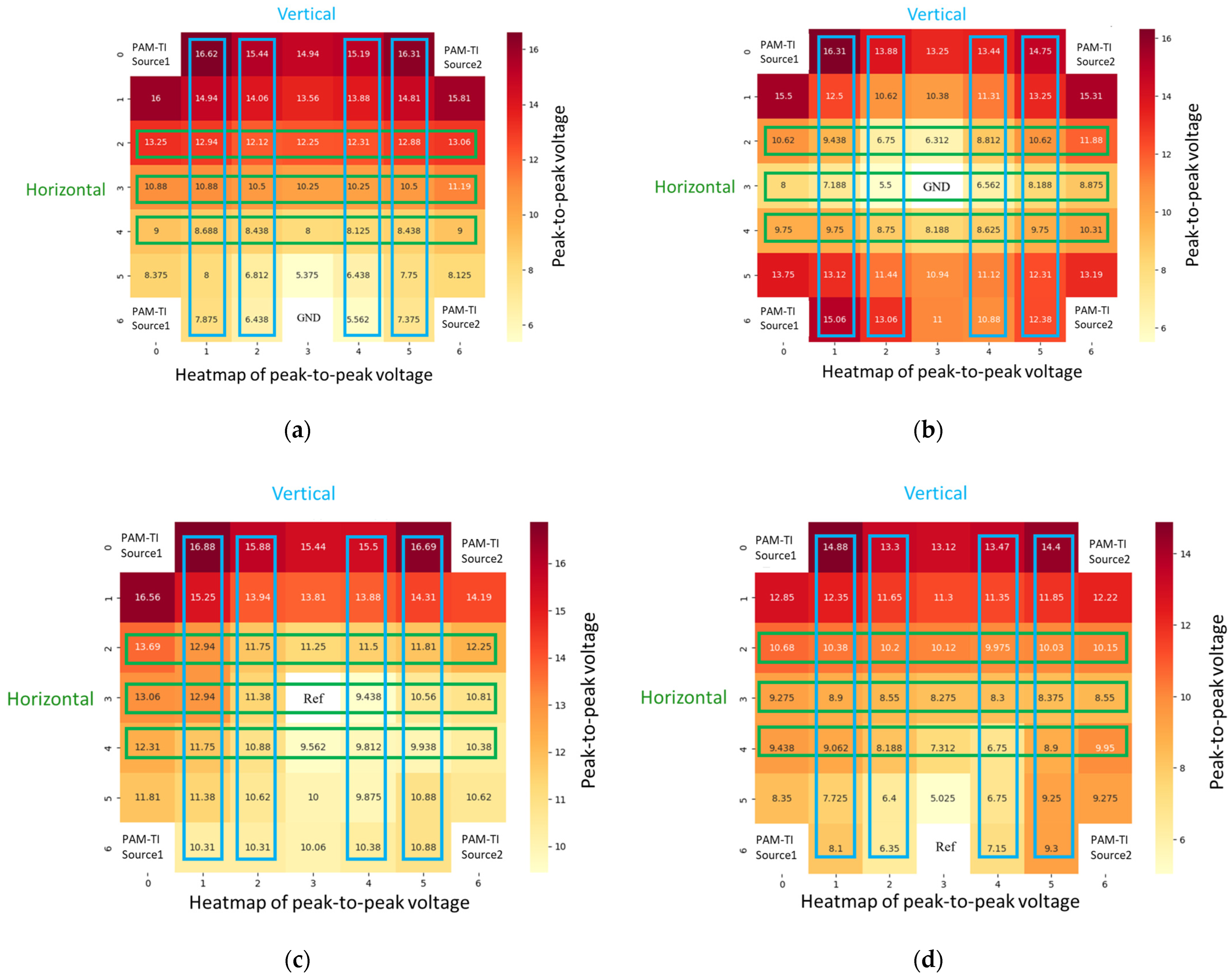
3. Results
4. Discussion
- Through the PAM architecture, we can modulate low-frequency waveforms (e.g., 2 kHz and 2.01 kHz in this study) to high frequencies (e.g., 100 kHz). This method avoids the use of expensive high-end high-frequency DACs while precisely maintaining the slight frequency difference between the two waveforms (e.g., 10 Hz). This technique utilizes high-frequency modulation to reduce the impedance of skin tissue, thereby conserving more energy for tissue stimulation.
- This study adopts complementary PWM signals and a push–pull circuit design in the PAM-TI technique to maximize the phase difference between the two current sources in the TI system, ensuring charge balance and minimizing tissue damage during stimulation, thus addressing safety concerns related to unbalanced charge injection at the tissue-electrode interface.
- To minimize attenuation, the study integrates the PAM circuit directly into the electrode, ensuring that the high-frequency signal is generated close to the body. This approach prevents the degradation of the signal in long wires. Additionally, a dry pin-type spring-loaded electrode is used to overcome the interference caused by hair when placed on the head.
Author Contributions
Funding
Institutional Review Board Statement
Informed Consent Statement
Data Availability Statement
Conflicts of Interest
References
- Khabarova, E.A.; Denisova, N.P.; Dmitriev, A.B.; Slavin, K.V.; Verhagen Metman, L. Deep Brain Stimulation of the Subthalamic Nucleus in Patients with Parkinson Disease with Prior Pallidotomy or Thalamotomy. Brain Sci. 2018, 8, 66. [Google Scholar] [CrossRef] [PubMed]
- Lozano, A.M.; Fosdick, L.; Chakravarty, M.M.; Leoutsakos, J.-M.; Munro, C.; Oh, E.; Drake, K.E.; Lyman, C.H.; Rosenberg, P.B.; Anderson, W.S.; et al. A Phase II Study of Fornix Deep Brain Stimulation in Mild Alzheimer’s Disease. J. Alzheimer’s Dis. 2016, 54, 777–787. [Google Scholar] [CrossRef] [PubMed]
- Laxpati, N.G.; Kasoff, W.S.; Gross, R.E. Deep brain stimulation for the treatment of epilepsy: Circuits, targets, and trials. Neurotherapeutics 2014, 11, 508–526. [Google Scholar] [CrossRef]
- Olson, M.C.; Shill, H.; Ponce, F.; Aslam, S. Deep brain stimulation in PD: Risk of complications, morbidity, and hospitalizations: A systematic review. Front. Aging Neurosci. 2023, 15, 1258190. [Google Scholar] [CrossRef]
- Grossman, N.; Bono, D.; Dedic, N.; Kodandaramaiah, S.B.; Rudenko, A.; Suk, H.J.; Cassara, A.M.; Neufeld, E.; Kuster, N.; Tsai, L.H.; et al. Noninvasive Deep Brain Stimulation via Temporally Interfering Electric Fields. Cell 2017, 169, 1029–1041.e16. [Google Scholar] [CrossRef] [PubMed]
- Alvarez, D.M.; Serrano-Munoz, D.; Fernandez-Perez, J.J.; Gomez-Soriano, J.; Avendano-Coy, J. Effect of percutaneous electrical stimulation with high-frequency alternating currents at 30 kHz on the sensory-motor system. Front. Neurosci. 2023, 17, 1048986. [Google Scholar] [CrossRef] [PubMed]
- Kilgore, K.L.; Bhadra, N. Nerve conduction block utilising high-frequency alternating current. Med. Biol. Eng. Comput. 2004, 42, 394–406. [Google Scholar] [CrossRef] [PubMed]
- Yang, L.; Dai, M.; Xu, C.; Zhang, G.; Li, W.; Fu, F.; Shi, X.; Dong, X. The Frequency Spectral Properties of Electrode-Skin Contact Impedance on Human Head and Its Frequency-Dependent Effects on Frequency-Difference EIT in Stroke Detection from 10Hz to 1MHz. PLoS ONE 2017, 12, e0170563. [Google Scholar] [CrossRef]
- Rosell, J.; Colominas, J.; Riu, P.; Pallas-Areny, R.; Webster, J.G. Skin impedance from 1 Hz to 1 MHz. IEEE Trans. Biomed. Eng. 1988, 35, 8. [Google Scholar] [CrossRef]
- Wang, Y.-C.; Wang, P.-F.; Pan, H.-C.; Lin, C.-Y.; Hsu, H.-T.; Liu, Z.-H.; Lee, P.-L. Intracranial Monitoring to Verify Novel Transcranial Electric Stimulation in an Epileptic Swine Model. Electronics 2022, 11, 2195. [Google Scholar] [CrossRef]
- Zhang, Z.; Lin, B.S.; Wu, C.G.; Hsieh, T.H.; Liou, J.C.; Li, Y.T.; Peng, C.W. Designing and Pilot Testing a Novel Transcranial Temporal Interference Stimulation Device for Neuromodulation. IEEE Trans. Neural Syst. Rehabil. Eng. 2022, 30, 1483–1493. [Google Scholar] [CrossRef]
- Eickhoff, S.; Jarvis, J.C. Pulse Shaping Strategies for Electroceuticals: A Comprehensive Survey of the Use of Interphase Gaps in Miniature Stimulation Systems. IEEE Trans. Biomed. Eng. 2021, 68, 1658–1667. [Google Scholar] [CrossRef] [PubMed]
- Merrill, D.R.; Bikson, M.; Jefferys, J.G. Electrical stimulation of excitable tissue: Design of efficacious and safe protocols. J. Neurosci. Methods 2005, 141, 171–198. [Google Scholar] [CrossRef]
- Tarulli, M.; Huerta, S.C.; Prodic, A.; Popovic, M.R.; Lehn, P.W. Merged Flyback–SC-Based Output Stage for Versatile Portable Transcutaneous Electrical Stimulators. IEEE J. Emerg. Sel. Top. Power Electron. 2016, 4, 318–331. [Google Scholar] [CrossRef]
- Lam, I.V. Analysis of Improved Howland Current Pump Configurations; Texas Instruments: Dallas, TX, USA, 2023. [Google Scholar]
- Nahman, N. A discussion on the transient analysis of coaxial cables considering high-frequency losses. IRE Trans. Circuit Theory 1962, 9, 144–152. [Google Scholar] [CrossRef]
- True, K.M. Long transmission lines and data signal quality. Natl. Semicond. Appl. Note 1992, 808, 1–23. [Google Scholar]
- Hinrichs, H.; Scholz, M.; Baum, A.K.; Kam, J.W.Y.; Knight, R.T.; Heinze, H.J. Comparison between a wireless dry electrode EEG system with a conventional wired wet electrode EEG system for clinical applications. Sci. Rep. 2020, 10, 5218. [Google Scholar] [CrossRef] [PubMed]
- Hsu, H.T.; Shyu, K.K.; Hsu, C.C.; Lee, L.H.; Lee, P.L. Phase-Approaching Stimulation Sequence for SSVEP-Based BCI: A Practical Use in VR/AR HMD. IEEE Trans. Neural Syst. Rehabil. Eng. 2021, 29, 2754–2764. [Google Scholar] [CrossRef] [PubMed]
- Esmaeilpour, Z.; Kronberg, G.; Reato, D.; Parra, L.C.; Bikson, M. Temporal interference stimulation targets deep brain regions by modulating neural oscillations. Brain Stimul. 2021, 14, 55–65. [Google Scholar] [CrossRef]
- De Lima, J.A.; Cordeiro, A.S. A low-cost neurostimulator with accurate pulsed-current control. IEEE Trans. Biomed. Eng. 2002, 49, 497–500. [Google Scholar] [CrossRef] [PubMed]
- Valente, V.; Demosthenous, A.; Bayford, R. A tripolar current-steering stimulator ASIC for field shaping in deep brain stimulation. IEEE Trans. Biomed. Circuits Syst. 2012, 6, 197–207. [Google Scholar] [CrossRef]
- Lin, C.Y.; Chen, W.L.; Ker, M.D. Implantable stimulator for epileptic seizure suppression with loading impedance adaptability. IEEE Trans. Biomed. Circuits Syst. 2013, 7, 196–203. [Google Scholar] [CrossRef] [PubMed]
- Kouzani, A.Z.; Kale, R.P.; Zarate-Garza, P.P.; Berk, M.; Walder, K.; Tye, S.J. Validation of a Portable Low-Power Deep Brain Stimulation Device Through Anxiolytic Effects in a Laboratory Rat Model. IEEE Trans. Neural Syst. Rehabil. Eng. 2017, 25, 1365–1374. [Google Scholar] [CrossRef]
- Corva, D.M.; Parke, B.; West, A.; Doeven, E.H.; Adams, S.D.; Tye, S.J.; Hashemi, P.; Berk, M.; Kouzani, A.Z. SmartStim: An Artificial Intelligence Enabled Deep Brain Stimulation Device. IEEE Trans. Med. Robot. Bionics 2024, 6, 674–684. [Google Scholar] [CrossRef]
- McNeal, D.R. Analysis of a model for excitation of myelinated nerve. IEEE Trans. Biomed. Eng. 1976, 4, 329–337. [Google Scholar] [CrossRef] [PubMed]
- Morales-Quezada, L.; El-Hagrassy, M.M.; Costa, B.; McKinley, R.A.; Lv, P.; Fregni, F. Transcranial Direct Current Stimulation Optimization—From Physics-Based Computer Simulations to High-Fidelity Head Phantom Fabrication and Measurements. Front. Hum. Neurosci. 2019, 13, 388. [Google Scholar] [CrossRef]












| MCU | Settings | PMW Frequency | Resolution |
|---|---|---|---|
| STM32L4 | HCLK (System clock) 80 MHz 80 MHz/(PSC+1)(ARR+1), PSC = 0 | 80M/796 = 100.502 kHz | 126 Hz 125 Hz |
| 80M/797 = 100.376 kHz | |||
| 80M/798 = 100.25 kHz | |||
| 80M/799 = 100.125 kHz | |||
| 80M/800 = 100 kHz | |||
| STM32F4 | HCLK (System clock) 180 MHz 180 MHz/(PSC+1)(ARR+1), PSC = 0 | 180M/1796 = 100.222 kHz | 56 Hz 55 Hz |
| 180M/1797 = 100.166 kHz | |||
| 180M/1798 = 100.111 kHz | |||
| 180M/1799 = 100.055 kHz | |||
| 180M/1800 = 100 kHz | |||
| STM32F7 | HCLK (System clock)216 MHz 216 MHz/(PSC+1)(ARR+1), PSC = 0 | 216M/2156 = 100.185 kHz | 47 Hz 46 Hz |
| 216M/2157 = 100.139 kHz | |||
| 216M/2158 = 100.092 kHz | |||
| 216M/2159 = 100.046 kHz | |||
| 216M/2160 = 100 kHz |
| Related Works | Charging Current Balance | No Transformer | Stimulation Frequency |
|---|---|---|---|
| De Lima et al. (2002) [21] | No | No | 10 Hz |
| Valente et al. (2012) [22] | Yes | Yes | 1 kHz |
| Lin et al. (2013) [23] | Yes | Yes | 400 Hz (2.5-ms period) |
| Kouzani et al. (2016) [24] | No | Yes | 150 Hz |
| Zhao Zhang et al. (2022) [11] | No | No | 2 kHz |
| Corva et al. (2024) [25] | No | Yes | 185 Hz |
| Proposed stimulator | Yes | Yes | 100 kHz |
| Tissue | Target Conductivity (S/m) | Agar Concentration (g/L) | NaCl Concentration (g/L) |
|---|---|---|---|
| Scalp | 0.465 | 30 | 2 |
Disclaimer/Publisher’s Note: The statements, opinions and data contained in all publications are solely those of the individual author(s) and contributor(s) and not of MDPI and/or the editor(s). MDPI and/or the editor(s) disclaim responsibility for any injury to people or property resulting from any ideas, methods, instructions or products referred to in the content. |
© 2025 by the authors. Licensee MDPI, Basel, Switzerland. This article is an open access article distributed under the terms and conditions of the Creative Commons Attribution (CC BY) license (https://creativecommons.org/licenses/by/4.0/).
Share and Cite
Bai, J.-H.; Huang, S.-C.; Lee, P.-L.; Shyu, K.-K.; Huang, C.-J.; Chen, T.-C.; Lai, S.-J. A High-Frequency Temporal-Interference Alternative Current Stimulation Device Using Pulse Amplitude Modulation with Push–Pull Current Sources. Bioengineering 2025, 12, 164. https://doi.org/10.3390/bioengineering12020164
Bai J-H, Huang S-C, Lee P-L, Shyu K-K, Huang C-J, Chen T-C, Lai S-J. A High-Frequency Temporal-Interference Alternative Current Stimulation Device Using Pulse Amplitude Modulation with Push–Pull Current Sources. Bioengineering. 2025; 12(2):164. https://doi.org/10.3390/bioengineering12020164
Chicago/Turabian StyleBai, Jia-Hao, Szu-Chi Huang, Po-Lei Lee, Kuo-Kai Shyu, Chao-Jen Huang, Tsung-Chih Chen, and Sheng-Ji Lai. 2025. "A High-Frequency Temporal-Interference Alternative Current Stimulation Device Using Pulse Amplitude Modulation with Push–Pull Current Sources" Bioengineering 12, no. 2: 164. https://doi.org/10.3390/bioengineering12020164
APA StyleBai, J.-H., Huang, S.-C., Lee, P.-L., Shyu, K.-K., Huang, C.-J., Chen, T.-C., & Lai, S.-J. (2025). A High-Frequency Temporal-Interference Alternative Current Stimulation Device Using Pulse Amplitude Modulation with Push–Pull Current Sources. Bioengineering, 12(2), 164. https://doi.org/10.3390/bioengineering12020164

