Novel Fast-Setting and Mechanically-Strong Calcium Phosphate Pulp-Capping Cement with Metformin Release to Enhance Dental Pulp Stem Cells
Abstract
1. Introduction
2. Materials and Methods
2.1. Preparation of CPCC Cement
2.2. Mechanical and Physical Properties Evaluation
- CPC 2:1 + 10% chitosan (CPCC-2);
- CPC 2.5:1 + 10% chitosan (CPCC-2.5);
- CPC 3:1 + 10% chitosan (CPCC-3);
- CPC 3.25:1 + 10% chitosan (CPCC-3.25);
- CPC 3.5:1 + 10% chitosan (CPCC-3.5);
- CPC 4:1 + 10% chitosan (CPCC-4);
- MTA (ProRoot MTA, Dentsply Sirona, Tulsa, OK, USA).
2.2.1. Flexural Strength, Elastic Modulus, and Work-of-Fracture
2.2.2. Flowability
2.2.3. Setting Time
2.3. Metformin Release
2.4. Cell Viability and Proliferation Assays
- Experimental control group: CPCC-3.25 + no metformin (CPCC-0);
- CPCC-3.25 + 50 µg metformin (CPCC-Met-50);
- CPCC-3.25 + 100 µg metformin (CPCC-Met-100);
- CPCC-3.25 + 150 µg metformin (CPCC-Met-150);
- Commercial control group: MTA (ProRoot MTA, Dentsply Sirona, Tulsa, OK, USA) (MTA).
2.5. Scanning Electron Microscopy (SEM)
2.6. Statistical Analysis
3. Results
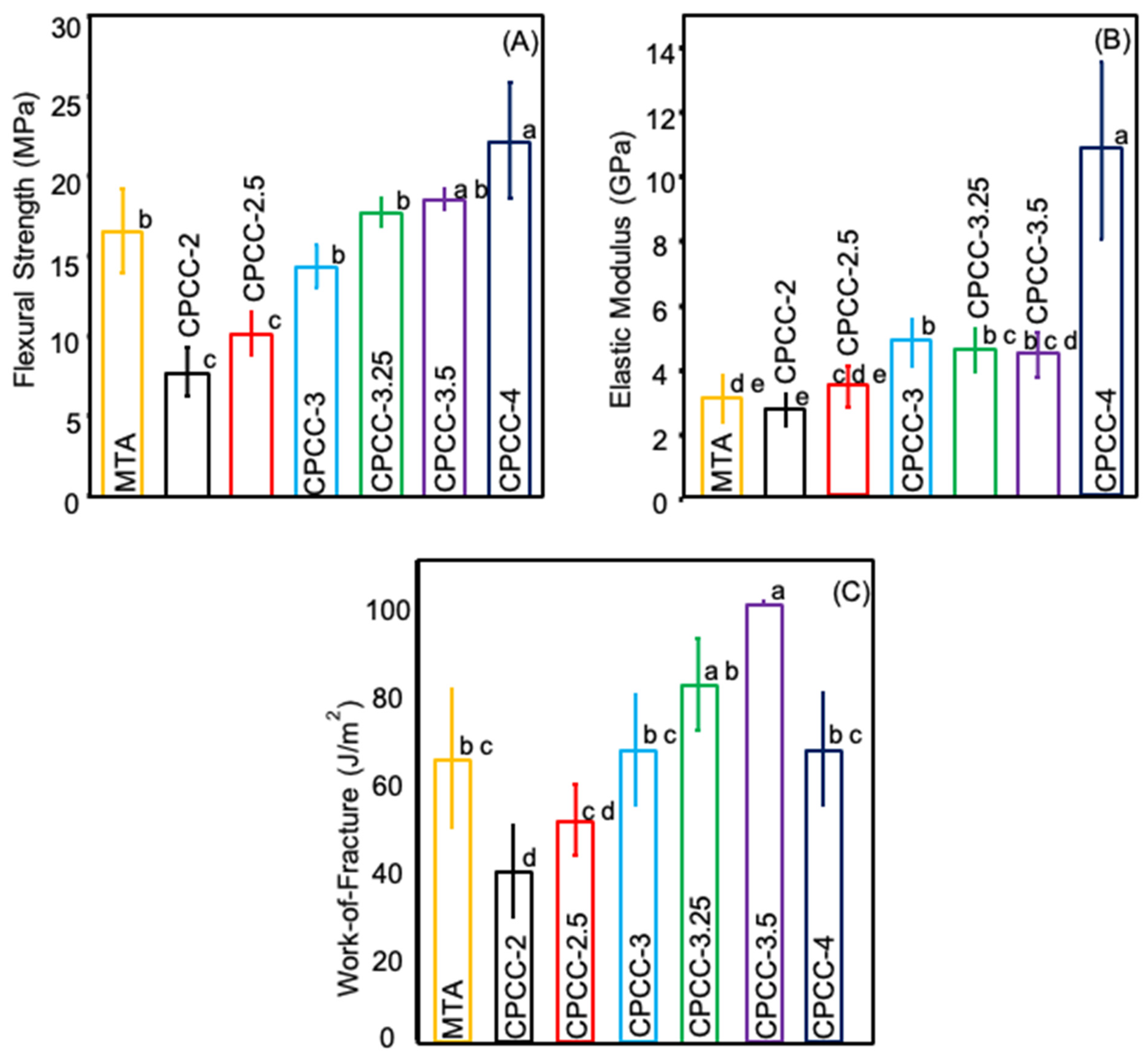
3.1. Flexural Strength, Elastic Modulus, and Work-of-Fracture
3.2. Flowability
3.3. Setting Time
3.4. Metformin Release
3.5. Cell Viability and Proliferation
3.6. SEM
4. Discussion
5. Conclusions
Author Contributions
Funding
Institutional Review Board Statement
Informed Consent Statement
Data Availability Statement
Acknowledgments
Conflicts of Interest
References
- Paula, A.B.; Laranjo, M.; Marto, C.-M.; Paulo, S.; Abrantes, A.M.; Casalta-Lopes, J.; Marques-Ferreira, M.; Botelho, M.F.; Carrilho, E. Direct Pulp Capping: What is the Most Effective Therapy?—Systematic Review and Meta-Analysis. J. Evid. Based Dent. Pract. 2018, 18, 298–314. [Google Scholar] [CrossRef] [PubMed]
- Zhu, C.; Ju, B.; Ni, R. Clinical outcome of direct pulp capping with MTA or calcium hydroxide: A systematic review and meta-analysis. Int. J. Clin. Exp. Med. 2015, 8, 17055–17060. [Google Scholar] [PubMed]
- Komabayashi, T.; Zhu, Q.; Eberhart, R.; Imai, Y. Current status of direct pulp-capping materials for permanent teeth. Dent. Mater. J. 2016, 35, 1–12. [Google Scholar] [CrossRef] [PubMed]
- Ibrahim, S. Vital Pulp Therapy An insight over the available literature and future expectations. Eur. Endod. J. 2019, 5, 46–53. [Google Scholar] [CrossRef] [PubMed]
- Brizuela, C.; Ormeño, A.; Cabrera, C.; Cabezas, R.; Silva, C.I.; Ramírez, V.; Mercade, M. Direct Pulp Capping with Calcium Hydroxide, Mineral Trioxide Aggregate, and Biodentine in Permanent Young Teeth with Caries: A Randomized Clinical Trial. J. Endod. 2017, 43, 1776–1780. [Google Scholar] [CrossRef]
- Parirokh, M.; Torabinejad, M.; Dummer, P.M.H. Mineral trioxide aggregate and other bioactive endodontic cements: An updated overview—Part I: Vital pulp therapy. Int. Endod. J. 2018, 51, 177–205. [Google Scholar] [CrossRef] [PubMed]
- Chin, J.S.; Thomas, M.B.; Locke, M.; Dummer, P.M.H. A survey of dental practitioners in Wales to evaluate the management of deep carious lesions with vital pulp therapy in permanent teeth. Br. Dent. J. 2016, 221, 331–338. [Google Scholar] [CrossRef] [PubMed]
- Kaur, M. MTA versus Biodentine: Review of Literature with a Comparative Analysis. J. Clin. Diagn. Res. 2017, 11, ZG01–ZG05. [Google Scholar] [CrossRef] [PubMed]
- Parhizkar, A.; Asgary, S. Local Drug Delivery Systems for Vital Pulp Therapy: A New Hope. Int. J. Biomater. 2021, 2021, 5584268. [Google Scholar] [CrossRef]
- Parirokh, M.; Torabinejad, M. Mineral Trioxide Aggregate: A Comprehensive Literature Review—Part I: Chemical, Physical, and Antibacterial Properties. J. Endod. 2010, 36, 16–27. [Google Scholar] [CrossRef] [PubMed]
- Pelepenko, L.E.; Marciano, M.A.; Shelton, R.M.; Camilleri, J. Leaching and cytotoxicity of bismuth oxide in ProRoot MTA—A laboratory investigation. Int. Endod. J. 2024, 57, 1293–1314. [Google Scholar] [CrossRef]
- O’Neill, R.; McCarthy, H.O.; Montufar, E.B.; Ginebra, M.-P.; Wilson, D.I.; Lennon, A.; Dunne, N. Critical review: Injectability of calcium phosphate pastes and cements. Acta Biomater. 2017, 50, 1–19. [Google Scholar] [CrossRef] [PubMed]
- Ginebra, M.-P.; Canal, C.; Espanol, M.; Pastorino, D.; Montufar, E.B. Calcium phosphate cements as drug delivery materials. Adv. Drug Deliv. Rev. 2012, 64, 1090–1110. [Google Scholar] [CrossRef]
- Lin, Y.; Huang, S.; Zou, R.; Gao, X.; Ruan, J.; Weir, M.D.; Reynolds, M.A.; Qin, W.; Chang, X.; Fu, H.; et al. Calcium phosphate cement scaffold with stem cell co-culture and prevascularization for dental and craniofacial bone tissue engineering. Dent. Mater. 2019, 35, 1031–1041. [Google Scholar] [CrossRef] [PubMed]
- Lee, K.; Weir, M.D.; Lippens, E.; Mehta, M.; Wang, P.; Duda, G.N.; Kim, W.S.; Mooney, D.J.; Xu, H.H. Bone regeneration via novel macroporous CPC scaffolds in critical-sized cranial defects in rats. Dent. Mater. 2014, 30, e199–e207. [Google Scholar] [CrossRef] [PubMed]
- Alsahafi, R.A.; Mitwalli, H.A.; Balhaddad, A.A.; Weir, M.D.; Xu, H.H.K.; Melo, M.A.S. Regenerating Craniofacial Dental Defects With Calcium Phosphate Cement Scaffolds: Current Status and Innovative Scope Review. Front. Dent. Med. 2021, 2, 743065. [Google Scholar] [CrossRef]
- Zhang, J.; Liu, W.; Schnitzler, V.; Tancret, F.; Bouler, J.-M. Calcium phosphate cements for bone substitution: Chemistry, handling and mechanical properties. Acta Biomater. 2014, 10, 1035–1049. [Google Scholar] [CrossRef] [PubMed]
- Li, F.; Wang, P.; Weir, M.D.; Fouad, A.F.; Xu, H.H.K. Evaluation of antibacterial and remineralizing nanocomposite and adhesive in rat tooth cavity model. Acta Biomater. 2014, 10, 2804–2813. [Google Scholar] [CrossRef]
- Xu, H.H.K.; Takagi, S.; Quinn, J.B.; Chow, L.C. Fast-setting calcium phosphate scaffolds with tailored macropore formation rates for bone regeneration. J. Biomed. Mater. Res. A 2004, 68A, 725–734. [Google Scholar] [CrossRef] [PubMed]
- Bailey, C.J. Metformin: Historical overview. Diabetologia 2017, 60, 1566–1576. [Google Scholar] [CrossRef] [PubMed]
- Viollet, B.; Guigas, B.; Garcia, N.S.; Leclerc, J.; Foretz, M.; Andreelli, F. Cellular and molecular mechanisms of metformin: An overview. Clin. Sci. 2012, 122, 253–270. [Google Scholar] [CrossRef]
- Gong, L.; Goswami, S.; Giacomini, K.M.; Altman, R.B.; Klein, T.E. Metformin pathways: Pharmacokinetics and pharmacodynamics. Pharmacogenetics Genom. 2012, 22, 820–827. [Google Scholar] [CrossRef]
- Xu, W.; Tan, W.; Li, C.; Wu, K.; Zeng, X.; Xiao, L. Metformin-loaded β-TCP/CTS/SBA-15 composite scaffolds promote alveolar bone regeneration in a rat model of periodontitis. J. Mater. Sci. Mater. Med. 2021, 32, 145. [Google Scholar] [CrossRef] [PubMed]
- Sun, C.-K.; Weng, P.-W.; Chang, J.Z.-C.; Lin, Y.-W.; Tsuang, F.-Y.; Lin, F.-H.; Tsai, T.-H.; Sun, J.-S. Metformin-Incorporated Gelatin/Hydroxyapatite Nanofiber Scaffold for Bone Regeneration. Tissue Eng. Part A 2022, 28, 1–12. [Google Scholar] [CrossRef] [PubMed]
- Wang, P.; Ma, T.; Guo, D.; Hu, K.; Shu, Y.; Xu, H.H.K.; Schneider, A. Metformin induces osteoblastic differentiation of human induced pluripotent stem cell-derived mesenchymal stem cells. J. Tissue Eng. Regen. Med. 2018, 12, 437–446. [Google Scholar] [CrossRef] [PubMed]
- Zhao, X.; Pathak, J.L.; Huang, W.; Zhu, C.; Li, Y.; Guan, H.; Zeng, S.; Ge, L.; Shu, Y. Metformin enhances osteogenic differentiation of stem cells from human exfoliated deciduous teeth through AMPK pathway. J. Tissue Eng. Regen. Med. 2020, 14, 1869–1879. [Google Scholar] [CrossRef] [PubMed]
- Qin, W.; Gao, X.; Ma, T.; Weir, M.D.; Zou, J.; Song, B.; Lin, Z.; Schneider, A.; Xu, H.H. Metformin Enhances the Differentiation of Dental Pulp Cells into Odontoblasts by Activating AMPK Signaling. J. Endod. 2018, 44, 576–584. [Google Scholar] [CrossRef]
- Zhao, Z.; Liu, J.; Schneider, A.; Gao, X.; Ren, K.; Weir, M.D.; Zhang, N.; Zhang, K.; Zhang, L.; Bai, Y.; et al. Human periodontal ligament stem cell seeding on calcium phosphate cement scaffold delivering metformin for bone tissue engineering. J. Dent. 2019, 91, 103220. [Google Scholar] [CrossRef]
- Friedman, C.D.; Costantino, P.D.; Takagi, S.; Chow, L.C. BoneSource? hydroxyapatite cement: A novel biomaterial for craniofacial skeletal tissue engineering and reconstruction. J. Biomed. Mater. Res. 1998, 43, 428–432. [Google Scholar] [CrossRef]
- Moreau, J.L.; Weir, M.D.; Xu, H.H.K. Self-setting collagen-calcium phosphate bone cement: Mechanical and cellular properties. J. Biomed. Mater. Res. A 2009, 91A, 605–613. [Google Scholar] [CrossRef] [PubMed]
- ISO 6876:2012; Dentistry—Root Canal Sealing Materials. Technical Committee: ISO/TC 106/SC 1 Filling and Restorative Materials. ISO: Geneva, Switzerland, 2012.
- ASTM C266-21; Test Method for Time of Setting of Hydraulic-Cement Paste by Gillmore Needles. ASTM International: West Conshohocken, PA, USA, 2021.
- De Toledo Leonardo, R.; Chávez-Andrade, G.M.; Kuga, M.C.; Duarte, M.A.H.; Keine, K.C.; Anna-Junior, A.S.; Só, M.V.R. Evaluation of the Physicochemical Properties and Push- Out Bond Strength of Mta-based Root Canal Cement. J. Contemp. Dent. Pract. 2013, 14, 1094–1099. [Google Scholar] [CrossRef] [PubMed]
- Zhang, X.; Wang, X.; Vernikovskaya, D.I.; Fokina, V.M.; Nanovskaya, T.N.; Hankins, G.D.; Ahmed, M.S. Quantitative determination of metformin, glyburide and its metabolites in plasma and urine of pregnant patients by LC-MS/MS. Biomed. Chromatogr. 2015, 29, 560–569. [Google Scholar] [CrossRef] [PubMed]
- Nabeel, M.; Abu-Seida, A.M.; Elgendy, A.A.; Tawfik, H.M. Biocompatibility of mineral trioxide aggregate and biodentine as root-end filling materials: An in vivo study. Sci. Rep. 2024, 14, 3568. [Google Scholar] [CrossRef] [PubMed]
- Priyadharshini, S.S.; Ragavendran, C.; Unnikrishnan, M.; Sherwood, I.A.; Amaechi, B.T. Physicochemical and Biological Properties of Pulp Capping Agents: A Systematic Review of In Vitro Studies. J. Int. Oral Health 2024, 16, 274–282. [Google Scholar] [CrossRef]
- Cushley, S.; Duncan, H.F.; Lappin, M.J.; Chua, P.; Elamin, A.D.; Clarke, M.; El-Karim, I.A. Efficacy of direct pulp capping for management of cariously exposed pulps in permanent teeth: A systematic review and meta-analysis. Int. Endod. J. 2021, 54, 556–571. [Google Scholar] [CrossRef]
- Rajasekharan, S.; Martens, L.C.; Cauwels, R.G.E.C.; Verbeeck, R.M.H. BiodentineTM material characteristics and clinical applications: A review of the literature. Eur. Arch. Paediatr. Dent. 2014, 15, 147–158. [Google Scholar] [CrossRef]
- Matsuya, S.; Takagi, S.; Chow, L.C. Effect of mixing ratio and pH on the reaction between Ca4(PO4)2O and CaHPO4. J. Mater. Sci. Mater. Med. 2000, 11, 305–311. [Google Scholar] [CrossRef]
- Sun, L.; Xu, H.H.K.; Takagi, S.; Chow, L.C. Fast Setting Calcium Phosphate Cement-Chitosan Composite: Mechanical Properties and Dissolution Rates. J. Biomater. Appl. 2007, 21, 299–315. [Google Scholar] [CrossRef]
- Darvell, B.W.; Wu, R.C.T. “MTA”—An Hydraulic Silicate Cement: Review update and setting reaction. Dent. Mater. 2011, 27, 407–422. [Google Scholar] [CrossRef] [PubMed]
- Cheng, H.; Chu, K.; Teng, N.; Tsai, H.; Ou, K.; Ou, S. The Effect of pH Value on Phase Transformation of Calcium Phosphate Cement. Int. J. Appl. Ceram. Technol. 2014, 11, 364–370. [Google Scholar] [CrossRef]
- Ginebra, M.P.; Fernández, E.; Driessens, F.C.M.; Boltong, M.G.; Muntasell, J.; Font, J.; Planell, J.A. The effects of temperature on the behaviour of an apatitic calcium phosphate cement. J. Mater. Sci. Mater. Med. 1995, 6, 857–860. [Google Scholar] [CrossRef]
- Rani, P.; Pal, D.; Hoda, M.N.; Ara, T.J.; Beg, S.; Saquib Hasnain, M.; Nayak, A.K. Dental pulp capping nanocomposites. In Applications of Nanocomposite Materials in Dentistry; Elsevier: Amsterdam, The Netherlands, 2019; pp. 65–91. [Google Scholar]
- Xu, H.H.; Wang, P.; Wang, L.; Bao, C.; Chen, Q.; Weir, M.D.; Chow, L.C.; Zhao, L.; Zhou, X.; Reynolds, M.A. Calcium phosphate cements for bone engineering and their biological properties. Bone Res. 2017, 5, 17056. [Google Scholar] [CrossRef]
- Wang, J.; Chin, D.; Poon, C.; Mancino, V.; Pham, J.; Li, H.; Ho, P.-Y.; Hallows, K.R.; Chung, E.J. Oral delivery of metformin by chitosan nanoparticles for polycystic kidney disease. J. Control. Release 2021, 329, 1198–1209. [Google Scholar] [CrossRef]
- Gumieniczek, A.; Berecka-Rycerz, A.; Mroczek, T.; Wojtanowski, K. Determination of Chemical Stability of Two Oral Antidiabetics, Metformin and Repaglinide in the Solid State and Solutions Using LC-UV, LC-MS, and FT-IR Methods. Molecules 2019, 24, 4430. [Google Scholar] [CrossRef] [PubMed]
- Qin, W.; Chen, J.-Y.; Guo, J.; Ma, T.; Weir, M.D.; Guo, D.; Shu, Y.; Lin, Z.-M.; Schneider, A.; Xu, H.H.K. Novel Calcium Phosphate Cement with Metformin-Loaded Chitosan for Odontogenic Differentiation of Human Dental Pulp Cells. Stem Cells Int. 2018, 2018, 7173481. [Google Scholar] [CrossRef] [PubMed]
- Kanto, K.; Ito, H.; Noso, S.; Babaya, N.; Hiromine, Y.; Taketomo, Y.; Toma, J.; Niwano, F.; Yasutake, S.; Kawabata, Y.; et al. Effects of dosage and dosing frequency on the efficacy and safety of high-dose metformin in japanese patients with type 2 diabetes mellitus. J. Diabetes Investig. 2018, 9, 587–593. [Google Scholar] [CrossRef] [PubMed]
- Ishikawa, K. Calcium Phosphate Cement. In Advances in Calcium Phosphate Biomaterials; Ben-Nissan, B., Ed.; Springer: Berlin/Heidelberg, Germany, 2014; pp. 199–227. [Google Scholar]
- Sharma, V.; Rastogi, S.; Bhati, K.K.; Srinivasan, A.; Roychoudhury, A.; Nikolajeff, F.; Kumar, S. Mapping the Inorganic and Proteomic Differences among Different Types of Human Teeth: A Preliminary Compositional Insight. Biomolecules 2020, 10, 1540. [Google Scholar] [CrossRef] [PubMed]
- Chan, O.; Coathup, M.J.; Nesbitt, A.; Ho, C.-Y.; Hing, K.; Buckland, T.; Campion, C.; Blunn, G. The effects of microporosity on osteoinduction of calcium phosphate bone graft substitute biomaterials. Acta Biomater. 2012, 8, 2788–2794. [Google Scholar] [CrossRef] [PubMed]








Disclaimer/Publisher’s Note: The statements, opinions and data contained in all publications are solely those of the individual author(s) and contributor(s) and not of MDPI and/or the editor(s). MDPI and/or the editor(s) disclaim responsibility for any injury to people or property resulting from any ideas, methods, instructions or products referred to in the content. |
© 2024 by the authors. Licensee MDPI, Basel, Switzerland. This article is an open access article distributed under the terms and conditions of the Creative Commons Attribution (CC BY) license (https://creativecommons.org/licenses/by/4.0/).
Share and Cite
Alenizy, M.; Alhussein, A.; Almutairi, N.; Ba-Armah, I.; Ma, T.; Wang, S.; Pilli, N.R.; Kane, M.A.; Weir, M.D.; Schneider, A.; et al. Novel Fast-Setting and Mechanically-Strong Calcium Phosphate Pulp-Capping Cement with Metformin Release to Enhance Dental Pulp Stem Cells. Bioengineering 2025, 12, 13. https://doi.org/10.3390/bioengineering12010013
Alenizy M, Alhussein A, Almutairi N, Ba-Armah I, Ma T, Wang S, Pilli NR, Kane MA, Weir MD, Schneider A, et al. Novel Fast-Setting and Mechanically-Strong Calcium Phosphate Pulp-Capping Cement with Metformin Release to Enhance Dental Pulp Stem Cells. Bioengineering. 2025; 12(1):13. https://doi.org/10.3390/bioengineering12010013
Chicago/Turabian StyleAlenizy, Mohammad, Abdullah Alhussein, Nader Almutairi, Ibrahim Ba-Armah, Tao Ma, Suping Wang, Nageswara R. Pilli, Maureen A. Kane, Michael D. Weir, Abraham Schneider, and et al. 2025. "Novel Fast-Setting and Mechanically-Strong Calcium Phosphate Pulp-Capping Cement with Metformin Release to Enhance Dental Pulp Stem Cells" Bioengineering 12, no. 1: 13. https://doi.org/10.3390/bioengineering12010013
APA StyleAlenizy, M., Alhussein, A., Almutairi, N., Ba-Armah, I., Ma, T., Wang, S., Pilli, N. R., Kane, M. A., Weir, M. D., Schneider, A., & Xu, H. H. K. (2025). Novel Fast-Setting and Mechanically-Strong Calcium Phosphate Pulp-Capping Cement with Metformin Release to Enhance Dental Pulp Stem Cells. Bioengineering, 12(1), 13. https://doi.org/10.3390/bioengineering12010013

