Intratumoral Chemotherapy: The Effects of Drug Concentration and Dose Apportioning on Tumor Cell Injury
Abstract
1. Introduction
2. Methods
2.1. Model Development
2.2. Model Parameterization
2.3. Model Implementation
2.4. Statistical Tests
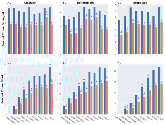
3. Results
4. Discussion
Author Contributions
Funding
Institutional Review Board Statement
Informed Consent Statement
Data Availability Statement
Conflicts of Interest
References
- Siegel, R.L.; Miller, K.D.; Wagle, N.S.; Jemal, A. Cancer statistics, 2023. CA Cancer J. Clin. 2023, 73, 17–48. [Google Scholar] [CrossRef]
- Consonni, D.; Pierobon, M.; Gail, M.H.; Rubagotti, M.; Rotunno, M.; Goldstein, A.; Goldin, L.; Lubin, J.; Wacholder, S.; Caporaso, N.E.; et al. Lung cancer prognosis before and after recurrence in a population-based setting. J. Natl. Cancer Inst. 2015, 107, djv059. [Google Scholar] [CrossRef]
- Gandara, D.R.; Perez, E.A.; Phillips, W.A.; Lawrence, H.J.; DeGregorio, M. Evaluation of cisplatin dose intensity: Current status and future prospects. Anticancer Res. 1989, 9, 1121–1128. Available online: https://pubmed.ncbi.nlm.nih.gov/2683991/ (accessed on 22 June 2024).
- Crona, D.J.; Faso, A.; Nishijima, T.F.; McGraw, K.A.; Galsky, M.D.; Milowsky, M.I. A Systematic Review of Strategies to Prevent Cisplatin-Induced Nephrotoxicity. Oncologist 2017, 22, 609–619. [Google Scholar] [CrossRef]
- Mori, V.; Bates, J.H.T.; Jantz, M.; Mehta, H.J.; Kinsey, C.M. A computational modeling approach for dosing endoscopic intratumoral chemotherapy for advanced non-small cell lung cancer. Sci. Rep. 2022, 12, 44. [Google Scholar] [CrossRef]
- Mori, V.; Roy, G.S.; Bates JH, T.; Kinsey, C.M. Cisplatin Pharmacodynamics Following Endobronchial Ultrasound-Guided Transbronchial Needle Injection into Lung Tumors. Sci. Rep. 2019, 9, 6819. [Google Scholar] [CrossRef]
- Khan, F.; Anker, C.J.; Garrison, G.; Kinsey, C.M. Endobronchial ultrasound-guided transbronchial needle injection for local control of recurrent non-small cell lung cancer. Ann. Am. Thorac. Soc. 2015, 12, 101–104. [Google Scholar] [CrossRef]
- Khan, F.B.; Gibson, P.C.; Anderson, S.; Wagner, S.; Cole, B.F.; Kaufman, P.; Kinsey, C.M. Initial Safety and Feasibility Results From a Phase 1, Diagnose-and-Treat Trial of Neoadjuvant Intratumoral Cisplatin for Stage IV NSCLC. JTO Clin. Res. Rep. 2024, 5, 100634. [Google Scholar] [CrossRef]
- DuComb, E.A.; Collins, C.C.; Cupak, D.; Wagner, S.; Khan, F.B.; Budd, R.C.; Kinsey, C.M. Endobronchial ultrasound-guided transbronchial needle injection of cisplatin results in dynamic changes in the tumor immune microenvironment. Respir. Med. Res. 2023, 84, 100994. [Google Scholar] [CrossRef]
- Sriram, G.; Milling, L.E.; Chen, J.K.; Kong, Y.W.; Joughin, B.A.; Abraham, W.; Swartwout, S.; Handly, E.D.; Irvine, D.J.; Yaffe, M. The injury response to DNA damage in live tumor cells promotes antitumor immunity. Sci. Signal 2021, 14, eabc4764. [Google Scholar] [CrossRef]
- Zhu, M.; Yang, M.; Zhang, J.; Yin, Y.; Fan, X.; Zhang, Y.; Qin, S.; Zhang, H.; Yu, F. Immunogenic Cell Death Induction by Ionizing Radiation. Front. Immunol. 2021, 12, 705361. [Google Scholar] [CrossRef]
- Najibi, A.J.; Larkin, K.; Feng, Z.; Jeffreys, N.; Dacus, M.T.; Rustagi, Y.; Hodi, F.S.; Mooney, D.J. Chemotherapy Dose Shapes the Expression of Immune-Interacting Markers on Cancer Cells. Cell Mol. Bioeng. 2022, 15, 535–551. [Google Scholar] [CrossRef]
- de Biasi, A.R.; Villena-Vargas, J.; Adusumilli, P.S. Cisplatin-induced antitumor immunomodulation: A review of preclinical and clinical evidence. Clin. Cancer Res. 2014, 20, 5384–5391. [Google Scholar] [CrossRef]
- Swabb, E.A.; Wei, J.; Gullino, P.M. Diffusion and convection in normal and neoplastic tissues. Cancer Res. 1974, 34, 2814–2822. Available online: https://pubmed.ncbi.nlm.nih.gov/4369924/ (accessed on 4 April 2024). [PubMed]
- PubChem Compound Summary for CID 31703, Doxorubicin. Available online: https://pubchem.ncbi.nlm.nih.gov/compound/Doxorubicin (accessed on 25 March 2024).
- PubChem Compound Summary for CID 36462, Etoposide. Available online: https://pubchem.ncbi.nlm.nih.gov/compound/Etoposide (accessed on 25 March 2024).
- Yang, W.; Soares, J.; Greninger, P.; Edelman, E.J.; Lightfoot, H.; Forbes, S.; Bindal, N.; Beare, D.; Smith, J.A.; Thompson, I.R.; et al. Genomics of Drug Sensitivity in Cancer (GDSC): A resource for therapeutic biomarker discovery in cancer cells. Nucleic Acids Res. 2013, 41, D955–D961. [Google Scholar] [CrossRef]
- Li, Z.; Sun, B.; Clewell, R.A.; Adeleye, Y.; Andersen, M.E.; Zhang, Q. Dose-response modeling of etoposide-induced DNA damage response. Toxicol. Sci. 2014, 137, 371–384. [Google Scholar] [CrossRef] [PubMed]
- Dasari, S.R.; Velma, V.; Yedjou, C.G.; Tchounwou, P.B. Preclinical Assessment of Low Doses of Cisplatin in the Management of Acute Promyelocytic Leukemia. Int. J. Cancer Res. Mol. Mech. 2015, 1, 1–6. [Google Scholar] [CrossRef]
- Hunter, J.D. Matplotlib: A 2D Graphics Environment. Comput. Sci. Eng. 2007, 9, 90–95. [Google Scholar] [CrossRef]
- Virtanen, P.; Gommers, R.; Oliphant, T.E.; Haberland, M.; Reddy, T.; Cournapeau, D.; Burovski, E.; Peterson, P.; Weckesser, W.; Bright, J.; et al. SciPy 1.0: Fundamental algorithms for scientific computing in Python. Nat. Methods 2020, 17, 261–272. [Google Scholar] [CrossRef]
- Seabold, S.; Perktold, J. Statsmodels: Econometric and Statistical Modeling with Python. SciPy 2010, 7, 92–96. [Google Scholar] [CrossRef]
- Hayashi, K.; Nikolos, F.; Lee, Y.C.; Jain, A.; Tsouko, E.; Gao, H.; Kasabyan, A.; Leung, H.E.; Osipov, A.; Jung, S.Y.; et al. Tipping the immunostimulatory and inhibitory DAMP balance to harness immunogenic cell death. Nat. Commun. 2020, 11, 6299. [Google Scholar] [CrossRef] [PubMed]
- Hernandez, C.; Huebener, P.; Schwabe, R.F. Damage-associated molecular patterns in cancer: A double-edged sword. Oncogene 2016, 35, 5931–5941. [Google Scholar] [CrossRef] [PubMed]
- Kroemer, G.; Galassi, C.; Zitvogel, L.; Galluzzi, L. Immunogenic cell stress and death. Nat. Immunol. 2022, 23, 487–500. [Google Scholar] [CrossRef] [PubMed]
- Kroemer, G.; Galluzzi, L.; Kepp, O.; Zitvogel, L. Immunogenic Cell Death in Cancer Therapy. Annu. Rev. Immunol. 2013, 31, 51–72. [Google Scholar] [CrossRef] [PubMed]




| (cm2/s) | Lethal Threshold (M) | Injury Threshold (M) | Literature Values DAMP Release (M) | |||
|---|---|---|---|---|---|---|
| Cisplatin | 2.5 × 10−6 | 1.0 × 10−4 | 1.5 × 10−4 | 1.7 × 10−5 | 1 × 10−6 | 1.0 × 10−6 |
| Doxorubicin | 1.6 × 10−6 | 1.05 × 10−4 | 1.5 × 10−4 | 1.3 × 10−6 | 1.2 × 10−8 | 1.0 × 10−8 |
| Etoposide | 1.5 × 10−6 | 1.05 × 10−4 | 1.5 × 10−4 | 5.8 × 10−5 | 4.5 × 10−7 | 2.0 × 10−7 |
Disclaimer/Publisher’s Note: The statements, opinions and data contained in all publications are solely those of the individual author(s) and contributor(s) and not of MDPI and/or the editor(s). MDPI and/or the editor(s) disclaim responsibility for any injury to people or property resulting from any ideas, methods, instructions or products referred to in the content. |
© 2024 by the authors. Licensee MDPI, Basel, Switzerland. This article is an open access article distributed under the terms and conditions of the Creative Commons Attribution (CC BY) license (https://creativecommons.org/licenses/by/4.0/).
Share and Cite
Warner, J.S.; Kinsey, C.M.; Bates, J.H.T.; Mori, V. Intratumoral Chemotherapy: The Effects of Drug Concentration and Dose Apportioning on Tumor Cell Injury. Bioengineering 2024, 11, 809. https://doi.org/10.3390/bioengineering11080809
Warner JS, Kinsey CM, Bates JHT, Mori V. Intratumoral Chemotherapy: The Effects of Drug Concentration and Dose Apportioning on Tumor Cell Injury. Bioengineering. 2024; 11(8):809. https://doi.org/10.3390/bioengineering11080809
Chicago/Turabian StyleWarner, Jacob S., C. Matthew Kinsey, Jason H. T. Bates, and Vitor Mori. 2024. "Intratumoral Chemotherapy: The Effects of Drug Concentration and Dose Apportioning on Tumor Cell Injury" Bioengineering 11, no. 8: 809. https://doi.org/10.3390/bioengineering11080809
APA StyleWarner, J. S., Kinsey, C. M., Bates, J. H. T., & Mori, V. (2024). Intratumoral Chemotherapy: The Effects of Drug Concentration and Dose Apportioning on Tumor Cell Injury. Bioengineering, 11(8), 809. https://doi.org/10.3390/bioengineering11080809

