Agarose as a Tissue Mimic for the Porcine Heart, Kidney, and Liver: Measurements and a Springpot Model
Abstract
1. Introduction
2. Materials and Methods
2.1. Preparation of Agarose Samples
2.2. Viscoelasticity
3. Results
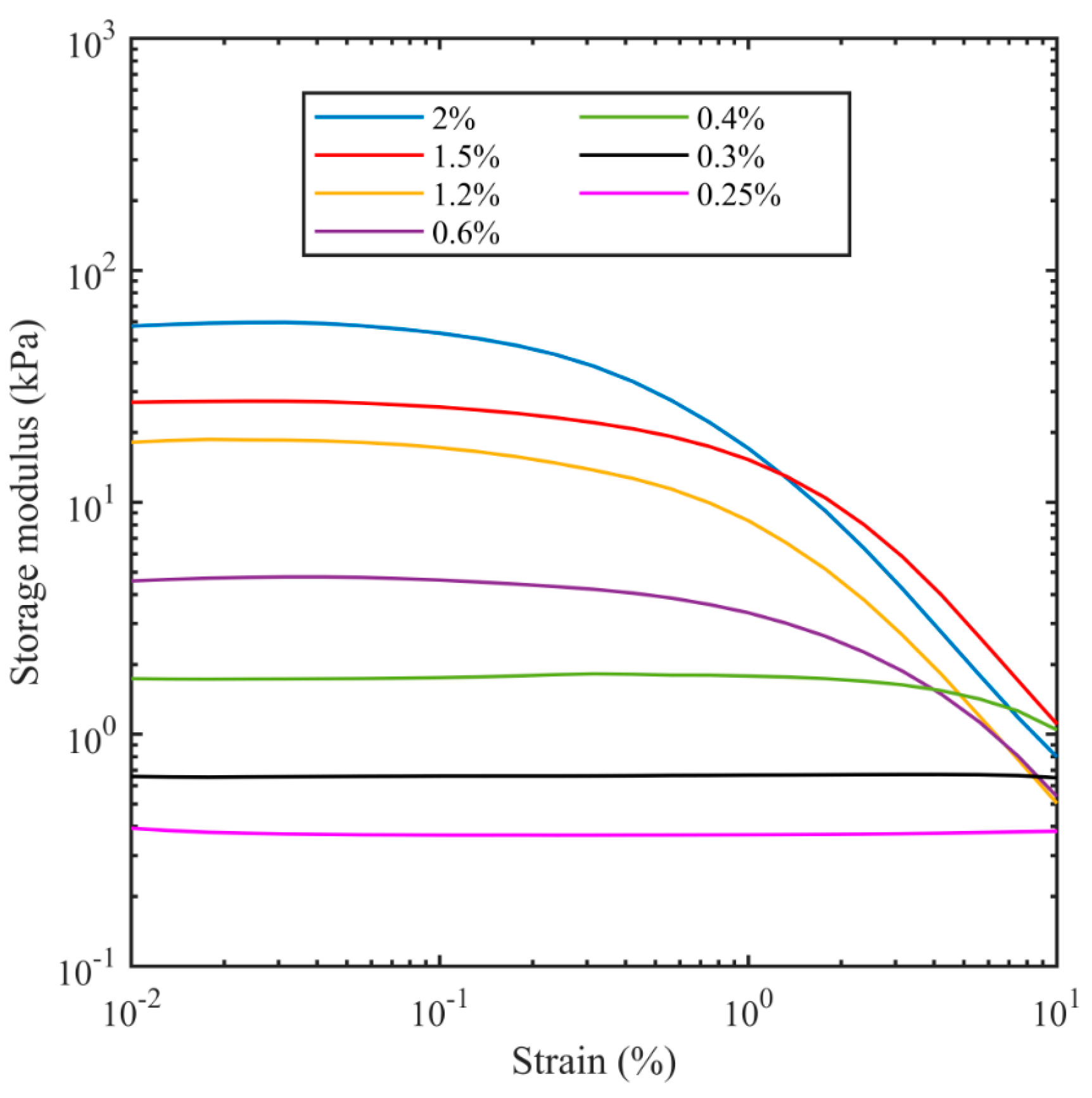
3.1. Strain Sweep Test
3.2. Frequency Sweep
3.3. Stress Relaxation Tests
4. Discussion
5. Conclusions
Supplementary Materials
Author Contributions
Funding
Institutional Review Board Statement
Informed Consent Statement
Data Availability Statement
Acknowledgments
Conflicts of Interest
References
- McGarry, C.K.; Grattan, L.J.; Ivory, A.M.; Leek, F.; Liney, G.P.; Liu, Y.; Miloro, P.; Rai, R.; Robinson, A.P.; Shih, A.J.; et al. Tissue mimicking materials for imaging and therapy phantoms: A review. Phys. Med. Biol. 2020, 65, 23TR01. [Google Scholar] [CrossRef] [PubMed]
- Hacker, L.; Wabnitz, H.; Pifferi, A.; Pfefer, T.J.; Pogue, B.W.; Bohndiek, S.E. Criteria for the design of tissue-mimicking phantoms for the standardization of biophotonic instrumentation. Nat. Biomed. Eng. 2022, 6, 541–558. [Google Scholar] [CrossRef] [PubMed]
- Antoniou, A.; Georgiou, L.; Christodoulou, T.; Panayiotou, N.; Ioannides, C.; Zamboglou, N.; Damianou, C. MR relaxation times of agar-based tissue-mimicking phantoms. J. Appl. Clin. Med. Phys. 2022, 23, 13533. [Google Scholar] [CrossRef] [PubMed]
- Lai, W.; Kuang, M.; Wang, X.; Ghafariasl, P.; Sabzalian, M.H.; Lee, S. Skin cancer diagnosis (SCD) using Artificial Neural Network (ANN) and Improved Gray Wolf Optimization (IGWO). Sci. Rep. 2023, 13, 19377. [Google Scholar] [CrossRef] [PubMed]
- Mayes, M.; Farahmand, F.; Grossnickle, M.; Lohmann, M.; Aldosary, M.; Li, J.; Aji, V.; Shi, J.; Song, J.C.; Gabor, N.M. Mapping the intrinsic photocurrent streamlines through micromagnetic heterostructure devices. Proc. Natl. Acad. Sci. USA 2023, 120, 2221815120. [Google Scholar] [CrossRef] [PubMed]
- Ma, X.; Figl, M.; Unger, E.; Buschmann, M.; Homolka, P. X-ray attenuation of bone, soft and adipose tissue in CT from 70 to 140 kV and comparison with 3D printable additive manufacturing materials. Sci. Rep. 2022, 12, 14580. [Google Scholar] [CrossRef] [PubMed]
- Sharma, A.; Marapureddy, S.G.; Paul, A.; Bisht, S.R.; Kakkar, M.; Thareja, P.; Mercado-Shekhar, K.P. Characterizing viscoelastic polyvinyl alcohol phantoms for ultrasound elastography. Ultrasound Med. Biol. 2023, 49, 497–511. [Google Scholar] [CrossRef] [PubMed]
- Sharma, A.; Singh, B.; Sandhu, B.S. Investigations on tissue equivalence of selected biomaterials through radiological parameters. Chin. J. Phys. 2023, 84, 103–118. [Google Scholar] [CrossRef]
- Lennie, E.; Tsoumpas, C.; Sourbron, S. Multimodal phantoms for clinical PET/MRI. EJNMMI Phys. 2021, 8, 62. [Google Scholar] [CrossRef]
- Stupic, K.F.; Ainslie, M.; Boss, M.A.; Charles, C.; Dienstfrey, A.M.; Evelhoch, J.L.; Finn, P.; Gimbutas, Z.; Gunter, J.L.; Hill, D.L.; et al. A standard system phantom for magnetic resonance imaging. Magn. Reson. Med. 2021, 86, 1194–1211. [Google Scholar] [CrossRef]
- Kim, Y.H. Ultrasound phantoms to protect patients from novices. Korean J. Pain 2016, 29, 73. [Google Scholar] [CrossRef]
- Creegan, A.; Nielsen, P.M.; Tawhai, M.H. A novel two-dimensional phantom for electrical impedance tomography using 3D printing. Sci. Rep. 2024, 14, 2115. [Google Scholar] [CrossRef] [PubMed]
- Maira, G.; Chiarelli, A.M.; Brafa, S.; Libertino, S.; Fallica, G.; Merla, A.; Lombardo, S. Imaging System Based on Silicon Photomultipliers and Light Emitting Diodes for Functional Near-Infrared Spectroscopy. Appl. Sci. 2020, 10, 1068. [Google Scholar] [CrossRef]
- Vardaki, M.Z.; Kourkoumelis, N. Tissue phantoms for biomedical applications in Raman spectroscopy: A review. Biomed. Eng. Comput. Biol. 2020, 11, 1179597220948100. [Google Scholar] [CrossRef] [PubMed]
- Irnstorfer, N.; Unger, E.; Hojreh, A.; Homolka, P. An anthropomorphic phantom representing a prematurely born neonate for digital X-ray imaging using 3D printing: Proof of concept and comparison of image quality from different systems. Sci. Rep. 2019, 9, 14357. [Google Scholar] [CrossRef] [PubMed]
- Kleck, J.H.; Smathers, J.B.; Holly, F.E.; Myers, L.T. Anthropomorphic radiation therapy phantoms: A quantitative assessment of tissue substitutes. Med. Phys. 1990, 17, 800–806. [Google Scholar] [CrossRef] [PubMed]
- Dabbagh, A.; Abdullah, B.J.J.; Ramasindarum, C.; Abu Kasim, N.H. Tissue-mimicking gel phantoms for thermal therapy studies. Ultrason. Imaging 2014, 36, 291–316. [Google Scholar] [CrossRef] [PubMed]
- Higgins, M.; Leung, S.; Radacsi, N. 3D printing surgical phantoms and their role in the visualization of medical procedures. Ann. 3D Print. Med. 2022, 6, 100057. [Google Scholar] [CrossRef]
- Rahimnejad, M.; Rasouli, F.; Jahangiri, S.; Ahmadi, S.; Rabiee, N.; Ramezani Farani, M.; Akhavan, O.; Asadnia, M.; Fatahi, Y.; Hong, S.; et al. Engineered biomimetic membranes for organ-on-a-chip. ACS Biomater. Sci. Eng. 2022, 8, 5038–5059. [Google Scholar] [CrossRef]
- Koyilot, M.C.; Natarajan, P.; Hunt, C.R.; Sivarajkumar, S.; Roy, R.; Joglekar, S.; Pandita, S.; Tong, C.W.; Marakkar, S.; Subramanian, L.; et al. Breakthroughs and applications of organ-on-a-chip technology. Cells 2022, 11, 1828. [Google Scholar] [CrossRef]
- Corral-Nájera, K.; Chauhan, G.; Serna-Saldívar, S.O.; Martínez-Chapa, S.O.; Aeinehvand, M.M. Polymeric and biological membranes for organ-on-a-chip devices. Microsyst. Nanoeng. 2023, 9, 107. [Google Scholar] [CrossRef] [PubMed]
- Ding, C.; Chen, X.; Kang, Q.; Yan, X. Biomedical application of functional materials in organ-on-a-chip. Front. Bioeng. Biotechnol. 2020, 8, 823. [Google Scholar] [CrossRef] [PubMed]
- Goyal, K.; Borkholder, D.A.; Day, S.W. A biomimetic skin phantom for characterizing wearable electrodes in the low-frequency regime. Sens. Actuators A Phys. 2022, 340, 113513. [Google Scholar] [CrossRef] [PubMed]
- Oieni, J.; Lolli, A.; D’Atri, D.; Kops, N.; Yayon, A.; Van Osch, G.J.; Machluf, M. Nano-ghosts: Novel biomimetic nano-vesicles for the delivery of antisense oligonucleotides. J. Control. Release 2021, 333, 28–40. [Google Scholar] [CrossRef] [PubMed]
- Johnson, A.P.; Sabu, C.; Nivitha, K.P.; Sankar, R.; Shirin, V.A.; Henna, T.K.; Raphey, V.R.; Gangadharappa, H.V.; Kotta, S.; Pramod, K. Bioinspired and biomimetic micro-and nanostructures in biomedicine. J. Control. Release 2022, 343, 724–754. [Google Scholar] [CrossRef] [PubMed]
- Wang, J.; Zhu, M.; Nie, G. Biomembrane-based nanostructures for cancer targeting and therapy: From synthetic liposomes to natural biomembranes and membrane-vesicles. Adv. Drug Deliv. Rev. 2021, 178, 113974. [Google Scholar] [CrossRef] [PubMed]
- Maglio, S.; Park, C.; Tognarelli, S.; Menciassi, A.; Roche, E.T. High-fidelity physical organ simulators: From artificial to bio-hybrid solutions. IEEE Trans. Med. Robot. Bionics 2021, 3, 349–361. [Google Scholar] [CrossRef]
- Liu, D.; Jiang, P.; Wang, Y.; Lu, Y.; Wu, J.; Xu, X.; Ji, Z.; Sun, C.; Wang, X.; Liu, W. Engineering tridimensional hydrogel tissue and organ phantoms with tunable springiness. Adv. Func. Mat. 2023, 33, 2214885. [Google Scholar] [CrossRef]
- Łabowska, M.B.; Cierluk, K.; Jankowska, A.M.; Kulbacka, J.; Detyna, J.; Michalak, I. A review on the adaption of alginate-gelatin hydrogels for 3D cultures and bioprinting. Materials 2021, 14, 858. [Google Scholar] [CrossRef]
- Fang, W.; Yang, M.; Wang, L.; Li, W.; Liu, M.; Jin, Y.; Wang, Y.; Yang, R.; Wang, Y.; Zhang, K.; et al. Hydrogels for 3D bioprinting in tissue engineering and regenerative medicine: Current progress and challenges. Int. J. Bioprint. 2023, 9, 207–238. [Google Scholar] [CrossRef]
- Troia, A.; Cuccaro, R.; Schiavi, A. Independent tuning of acoustic and mechanical properties of phantoms for biomedical applications of ultrasound. Biomed. Phys. Eng. Express 2017, 3, 025011. [Google Scholar] [CrossRef]
- Culjat, M.O.; Goldenberg, D.; Tewari, P.; Singh, R.S. A review of tissue substitutes for ultrasound imaging. Ultrasound Med. Biol. 2010, 36, 861–873. [Google Scholar] [CrossRef] [PubMed]
- Manickam, K.; Machireddy, R.R.; Seshadri, S. Characterization of biomechanical properties of agar based tissue mimicking phantoms for ultrasound stiffness imaging techniques. J. Mech. Behav. Biomed. Mater. 2014, 35, 132–143. [Google Scholar] [CrossRef] [PubMed]
- Ophir, J. Elastography: A quantitative method for imaging the elasticity of biological tissues. Ultrason. Imaging 1991, 13, 111–134. [Google Scholar] [CrossRef] [PubMed]
- Samani, A.; Bishop, J.; Luginbubk, C.; Plewes, D.B. Measuring the elastic of ex-vivo small tissue samples. Phys. Med. Biol. 2003, 48, 2183–2198. [Google Scholar] [CrossRef] [PubMed]
- Yamanaka, N.; Kaminuma, C.; Taketomi-Takahashi, A.; Tsushima, Y. Reliable measurement by virtual touch tissue quantification with acoustic radiation force impulse imaging: Phantom study. J. Ultrasound Med. 2012, 31, 1239–1244. [Google Scholar] [CrossRef] [PubMed]
- Nightingale, K.; Soo, M.S.; Nightingale, R.; Trahey, G. Acoustic radiation force impulse imaging: In vivo demonstration of clinical feasibility. Ultrasound Med. Biol. 2002, 28, 227–235. [Google Scholar] [CrossRef] [PubMed]
- Zhai, L.; Palmeri, M.L.; Bouchard, R.R.; Nightingale, R.W.; Nightingale, K.R. An integrated indenter-ARFI imaging system for tissue stiffness quantification. Ultrason. Imaging 2008, 30, 95–111. [Google Scholar] [CrossRef] [PubMed]
- Kishimoto, R.; Suga, M.; Koyama, A.; Omatsu, T.; Tachibana, Y.; Ebner, D.K.; Obata, T. Measuring shear-wave speed with point shear-wave elastography and MR elastography: A phantom study. BMJ Open 2017, 7, 013925. [Google Scholar] [CrossRef]
- Tozaki, M.; Isobe, S.; Fukuma, E. Preliminary study of ultrasonographic tissue quantification of the breast using the acoustic radiation force impulse (ARFI) technology. Eur. J. Radiol. 2011, 80, 182–187. [Google Scholar] [CrossRef]
- Palmeri, M.L.; Wang, M.H.; Dahl, J.J.; Frinkley, K.D.; Nightingale, K.R. Quantifying hepatic shear modulus in vivo using acoustic radiation force. Ultrasound Med. Biol. 2008, 34, 546–558. [Google Scholar] [CrossRef] [PubMed]
- Goertz, R.S.; Amann, K.; Heide, R.; Bernatik, T.; Neurath, M.F.; Strobel, D. An abdominal and thyroid status with acoustic radiation force impulse elastometry—A feasibility study: Acoustic radiation force impulse elastometry of human organs. Eur. J. Radiol. 2011, 80, 226–230. [Google Scholar]
- Fujiwara, T.; Tomokuni, J.; Iwanaga, K.; Ooba, S.; Haji, T. Acoustic radiation force impulse imaging for reactive and malignant/metastatic cervical lymph nodes. Ultrasound Med. Biol. 2013, 39, 1178–1183. [Google Scholar] [CrossRef] [PubMed]
- Cleveland, R.O.; McAteer, J.A. Physics of shock-wave lithotripsy. In Smith’s Textbook of Endourology, 3rd ed.; Smith, A.D., Badlani, G.H., Preminger, G.M., Kavoussi, L.R., Eds.; Blackwell Publishing Ltd.: Hoboken, NJ, USA, 2012; pp. 527–558. [Google Scholar]
- Shao, Y.; Connors, B.A.; Evan, A.P.; Willis, L.R.; Lifshitz, D.A.; Lingeman, J.E. Morphological changes induced in the pig kidney by extracorporeal shock wave lithotripsy: Nephron injury. Anat. Rec. Part A Discov. Mol. Cell. Evol. Biol. 2003, 275, 979–989. [Google Scholar] [CrossRef] [PubMed]
- Freund, J.B.; Colonius, T.; Evan, A.P. A cumulative shear mechanism for tissue damage initiation in shock-wave lithotripsy. Ultrasound Med. Biol. 2007, 33, 1495–1503. [Google Scholar] [CrossRef] [PubMed]
- Raskolnikov, D.; Bailey, M.R.; Harper, J.D. Recent advances in the science of burst wave lithotripsy and ultrasonic propulsion. BME Front. 2022, 2022, 9847952. [Google Scholar] [CrossRef] [PubMed]
- Maxwell, A.D.; Wang, Y.N.; Kreider, W.; Cunitz, B.W.; Starr, F.; Lee, D.; Nazari, Y.; Williams, J.C., Jr.; Bailey, M.R.; Sorensen, M.D. Evaluation of renal stone comminution and injury by burst wave lithotripsy in a pig model. J. Endourol. 2019, 33, 787–792. [Google Scholar] [CrossRef] [PubMed]
- Maloney, E.; Hwang, J.H. Emerging HIFU applications in cancer therapy. Int. J. Hyperth. 2015, 31, 302–309. [Google Scholar] [CrossRef] [PubMed]
- Xia, R.; Thittai, A.K. Real-time monitoring of high-intensity focused ultrasound treatment using axial strain and axial-shear strain elastograms. Ultrasound Med. Biol. 2014, 40, 485–495. [Google Scholar] [CrossRef]
- Sapin-de Brosses, E.; Gennisson, J.L.; Pernot, M.; Fink, M.; Tanter, M. Temperature dependence of the shear modulus of soft tissues assessed by ultrasound. Phys. Med. Bio. 2010, 55, 1701–1718. [Google Scholar] [CrossRef]
- Blackmore, J.; Shrivastava, S.; Sallet, J.; Butler, C.R.; Cleveland, R.O. Ultrasound neuromodulation: A review of results, mechanisms and safety. Ultrasound Med. Biol. 2019, 45, 1509–1536. [Google Scholar] [CrossRef]
- Yoo, S.; Mittelstein, D.R.; Hurt, R.C.; Lacroix, J.; Shapiro, M.G. Focused ultrasound excites cortical neurons via mechanosensitive calcium accumulation and ion channel amplification. Nat. Commun. 2022, 13, 493. [Google Scholar] [CrossRef]
- Akhavan, O.; Ghaderi, E. The use of graphene in the self-organized differentiation of human neural stem cells into neurons under pulsed laser stimulation. J. Mater. Chem. B 2014, 2, 5602–5611. [Google Scholar] [CrossRef]
- Plaksin, M.; Shoham, S.; Kimmel, E. Intramembrane cavitation as a predictive bio-piezoelectric mechanism for ultrasonic brain stimulation. Phys. Rev. X 2014, 4, 011004. [Google Scholar] [CrossRef]
- Plaksin, M.; Shapira, E.; Kimmel, E.; Shoham, S. Thermal transients excite neurons through universal intramembrane mechanoelectrical effects. Phys. Rev. X 2018, 8, 011043. [Google Scholar] [CrossRef]
- Madsen, E.L.; Hobson, M.A.; Shi, H.; Varghese, T.; Frank, G.R. Tissue-mimicking agar/gelatin materials for use in heterogeneous elastography phantoms. Phys. Med. Biol. 2005, 50, 5597–5618. [Google Scholar] [CrossRef] [PubMed]
- King, R.L.; Liu, Y.; Maruvada, S.; Herman, B.A.; Wear, K.A.; Harris, G.R. Development and characterization of a tissue mimicking material for high-intensity focused ultrasound. IEEE Trans. Ultrason. Ferroelectr. Freq. Control 2011, 58, 1397–1405. [Google Scholar] [CrossRef]
- Surry, K.J.M.; Austin, H.J.B.; Fenster, A.; Peters, T.M. Poly(vinyl alcohol) cryogel phantoms for use in ultrasound and MR imaging. Phys. Med. Biol. 2004, 49, 5529–5546. [Google Scholar] [CrossRef] [PubMed]
- Choi, M.J.; Guntur, S.R.; Lee, K.; Paeng, D.G.; Coleman, A. A tissue mimicking polyacrylamide hydrogel phantom for visualizing thermal lesions generated by high intensity focused ultrasound. Ultrasound Med. Biol. 2013, 39, 439–448. [Google Scholar] [CrossRef]
- Guntur, S.R.; Choi, M.J. An improved tissue-mimicking polyacrylamide hydrogel phantom for visualizing thermal lesions with high-intensity focused ultrasound. Ultrasound Med. Biol. 2014, 40, 2680–2691. [Google Scholar] [CrossRef]
- Guimarães, C.F.; Gasperini, L.; Marques, A.P.; Reis, R.L. The stiffness of living tissues and its implications for tissue engineering. Nat. Rev. Mater. 2020, 5, 351–370. [Google Scholar] [CrossRef]
- Jiang, S.; Xu, F.; Jin, M.; Wang, Z.; Xu, X.; Zhou, Y.; Wang, J.; Gu, L.; Fan, H.; Fan, Y.; et al. Development of a high-throughput micropatterned agarose scaffold for consistent and reproducible hPSC-derived liver organoids. Biofabrication 2022, 15, 015006. [Google Scholar] [CrossRef] [PubMed]
- Fujii, E.; Yamazaki, M.; Kawai, S.; Ohtani, Y.; Watanabe, T.; Kato, A.; Suzuki, M. A simple method for histopathological evaluation of organoids. J. Toxicol. Pathol. 2018, 31, 81–85. [Google Scholar] [CrossRef] [PubMed]
- McIlvain, G.; Ganji, E.; Cooper, C.; Killian, M.L.; Ogunnaike, B.A.; Johnson, C.L. Reliable preparation of agarose phantoms for use in quantitative magnetic resonance elastography. J. Mech. Behav. Biomed. Mater. 2019, 97, 65–73. [Google Scholar] [CrossRef] [PubMed]
- Normand, V.; Lootens, D.L.; Amici, E.; Plucknett, K.P.; Aymard, P. New insight into agarose gel mechanical properties. Biomacromolecules 2000, 1, 730–738. [Google Scholar] [CrossRef] [PubMed]
- Chen, Q.; Suki, B.; An, K.N. Dynamic mechanical properties of agarose gels modeled by a fractional derivative model. J. Biomech. Eng. 2004, 126, 666–671. [Google Scholar] [CrossRef] [PubMed]
- Watase, M.; Nishinari, K. Rheological properties of agarose gels with different molecular weights. Rheol. Acta 1983, 22, 580–587. [Google Scholar] [CrossRef]
- Aymard, P.; Martin, D.R.; Plucknett, K.; Foster, T.J.; Clark, A.H.; Norton, I.T. Influence of Thermal History on the Structural and Mechanical Properties of Agarose Gels. Biopolymers 2001, 59, 131–144. [Google Scholar] [CrossRef] [PubMed]
- Liang, J.N.; Stevens, E.S.; Morris, E.R.; Rees, D.A. Spectroscopic origin of conformation-sensitive contributions to polysaccharide optical activity: Vacuum-ultraviolet circular dichroism of agarose. Biopolymers 1979, 18, 327–333. [Google Scholar] [CrossRef]
- Norton, I.T.; Goodall, D.M.; Austen, K.R.J.; Morris, E.R.; Rees, D.A. Dynamics of molecular organization in agarose sulphate. Biopolymers 1986, 25, 1009–1029. [Google Scholar] [CrossRef]
- Saris, D.B.; Mukherjee, N.; Berglund, L.J.; Schultz, F.M.; An, K.N.; O’Driscoll, S.W. Dynamic pressure transmission through agarose gels. Tissue Eng. 2000, 6, 531–537. [Google Scholar] [CrossRef] [PubMed]
- Qiao, D.; Li, H.; Shi, W.; Lu, J.; Zhang, L.; Zhang, B.; Jiang, F. Increasing agar content improves the sol-gel and mechanical features of starch/agar binary system. Carbohydr. Polym. 2022, 278, 118906. [Google Scholar] [CrossRef] [PubMed]
- Annabi, N.; Nichol, J.W.; Zhong, X.; Ji, C.; Koshy, S.; Khademhosseini, A.; Dehghani, F. Controlling the porosity and microarchitecture of hydrogels for tissue engineering. Tissue Eng. Part B Rev. 2010, 16, 371–383. [Google Scholar] [CrossRef] [PubMed]
- Zhou, J.; Zhou, M.; Caruso, R.A. Agarose template for the fabrication of macroporous metal oxide structures. Langmuir 2006, 22, 3332–3336. [Google Scholar] [CrossRef] [PubMed]
- Zhang, G. Evaluating the viscoelastic properties of biological tissues in a new way. J. Musculoskelet. Neuronal Interact. 2005, 5, 85–90. [Google Scholar] [PubMed]
- Ed-Daoui, A.; Benelmostafa, M.; Dahmani, M. Study of the viscoelastic properties of the agarose gel. Mater. Today Proc. 2019, 13, 746–751. [Google Scholar] [CrossRef]
- Craiem, D.; Magin, R.L. Fractional order models of viscoelasticity as an alternative in the analysis of red blood cell (RBC) membrane mechanics. Phys. Biol. 2010, 7, 013001. [Google Scholar] [CrossRef] [PubMed]
- Mishra, A. Passive Acoustic Mapping for Monitoring Burst Wave Lithotripsy. Doctoral Dissertation, University of Oxford, Oxford, UK, 11 November 2023; pp. 1–139. [Google Scholar]
- Mishra, A.; Cleveland, R.O. Rheological properties of porcine organs: Measurements and fractional viscoelastic model. SSRN 2022, 4185682. [Google Scholar] [CrossRef]
- Ghebremedhin, M.; Seiffert, S.; Vilgis, T.A. Physics of agarose fluid gels: Rheological properties and microstructure. Curr. Res. Food Sci. 2021, 4, 436–448. [Google Scholar] [CrossRef]
- Ewoldt, R.H.; Johnston, M.T.; Caretta, L.M. Experimental challenges of shear rheology: How to avoid bad data. In Complex Fluids in Biological Systems: Experiment, Theory, and Computation; Spagnolie, S.E., Ed.; Springer: New York, NY, USA, 2015; pp. 207–241. [Google Scholar]
- Sugiyama, J.; Rochas, C.; Turquois, T.; Taravel, F.; Chanzy, H. Direct imaging of polysaccharide aggregates in frozen aqueous dilute systems. Carbohydr. Polym. 1994, 23, 261–264. [Google Scholar] [CrossRef]
- Le Goff, K.J.; Gaillard, C.; Helbert, W.; Garnier, C.; Aubry, T. Rheological study of reinforcement of agarose hydrogels by cellulose nanowhiskers. Carbohydr. Polym. 2015, 116, 117–123. [Google Scholar] [CrossRef] [PubMed]
- Ramadan, S.; Paul, N.; Naguib, H.E. Standardized static and dynamic evaluation of myocardial tissue properties. Biomed. Mater. 2017, 12, 25013. [Google Scholar] [CrossRef] [PubMed]
- Tejo-Otero, A.; Fenollosa-Artés, F.; Achaerandio, I.; Rey-Vinolas, S.; Buj-Corral, I.; Mateos-Timoneda, M.Á.; Engel, E. Soft-tissue-mimicking using hydrogels for the development of phantoms. Gels 2022, 8, 40. [Google Scholar] [CrossRef]
- Lemine, A.S.; Ahmad, Z.; Al-Thani, N.J.; Hasan, A.; Bhadra, J. Mechanical properties of human hepatic tissues to develop liver-mimicking phantoms for medical applications. Biomech. Model. Mechanobiol. 2023, 23, 373–396. [Google Scholar] [CrossRef] [PubMed]
- Alves, N.; Kim, A.; Tan, J.; Hwang, G.; Javed, T.; Neagu, B.; Courtney, B.K. Cardiac tissue-mimicking ballistic gel phantom for ultrasound imaging in clinical and research applications. Ultrasound Med. Biol. 2020, 46, 2057–2069. [Google Scholar] [CrossRef] [PubMed]
- Kamal, I.; Razak, H.R.A.; Abdul Karim, M.K.; Mashohor, S.; Liew, J.Y.C.; Low, Y.J.; Zaaba, N.A.; Norkhairunnisa, M.; Rafi, N.A.S.M. Mechanical and imaging properties of a clinical-grade kidney phantom based on polydimethylsiloxane and elastomer. Polymers 2022, 14, 535. [Google Scholar] [CrossRef] [PubMed]
- Cambria, E.; Brunner, S.; Heusser, S.; Fisch, P.; Hitzl, W.; Ferguson, S.J.; Wuertz-Kozak, K. Cell-laden agarose-collagen composite hydrogels for mechanotransduction studies. Front. Bioeng. Biotechnol. 2020, 8, 346. [Google Scholar] [CrossRef] [PubMed]
- Fohely, F.; Oglat, A.A.; Sabarna, K.; Shweiki, Z.; Hamoudeh, B.; Shalaan, R. Fabrication of low-cost realistic three-dimensional static kidney phantom for ultrasound-guided biopsy applications. J. Med. Ultrasound 2022, 30, 36–40. [Google Scholar] [CrossRef] [PubMed]
- Mao, B.; Bentaleb, A.; Louerat, F.; Divoux, T.; Snabre, P. Heat-induced aging of agar solutions: Impact on the structural and mechanical properties of agar gels. Food Hydrocoll. 2017, 64, 59–69. [Google Scholar] [CrossRef]
- Kallidonis, P.; Tsaturyan, A.; Lattarulo, M.; Liatsikos, E. Minimally invasive percutaneous nephrolithotomy (PCNL): Techniques and outcomes. Turk. J. Urol. 2020, 46, 58–63. [Google Scholar] [CrossRef]
- Barua, R.; Das, S.; Datta, S.; Datta, P.; Chowdhury, A.R. Analysis of surgical needle insertion modeling and viscoelastic tissue material interaction for minimally invasive surgery (MIS). Mater. Today Proc. 2022, 57, 259–264. [Google Scholar] [CrossRef]
- Yuen, S.G.; Yip, M.C.; Vasilyev, N.V.; Perrin, D.P.; Del Nido, P.J.; Howe, R.D. Robotic force stabilization for beating heart intracardiac surgery. In Medical Image Computing and Computer-Assisted Intervention, Proceedings of the 12th International Conference, London, UK, 20–24 September 2009; Shen, D., Liu, T., Peters, T.M., Staib, L.H., Essert, C., Zhou, S., Yap, P.T., Khan, A., Eds.; Springer: Berlin/Heidelberg, Germany, 2009; Volume 12, pp. 26–33. [Google Scholar]









| Agarose Concentration | Thickness [mm]: Strain Sweep | Thickness [mm]: Frequency Sweep | Thickness [mm]: Relaxation Test |
|---|---|---|---|
| 0.4% (n = 12) | 5.4 ± 0.1 [n = 4] | 5.6 ± 0.3 [n = 4] | 5.6 ± 0.3 [n = 4] |
| 0.3% (n = 13) | 5.2 ± 0.1 [n = 4] | 5.7 ± 0.1 [n = 5] | 5.7 ± 0.1 [n = 4] |
| 0.25% (n = 11) | 5.4 ± 0.1 [n = 4] | 5.5 ± 0.2 [n = 4] | 5.2 ± 0.1 [n = 3] |
| Agarose Concentration | Sample Thickness [mm] |
|---|---|
| 2% (n = 5) | 18.1 ± 0.2 |
| 1.5% (n = 5) | 17.0 ± 0.9 |
| 1.2% (n = 10) | 17.2 ± 1.0 |
| 0.3% (n = 8) | 17.2 ± 0.6 |
| Water | Agarose | Y (kPa) |
|---|---|---|
| 98% | 2% | 297 ± 15 |
| 98.5% | 1.5% | 98 ± 2 |
| 98.8% | 1.2% | 49 ± 2 |
| 99.7% | 0.3% | 0.66 ± 0.02 |
| Sample | Storage Modulus (kPa) | Storage Modulus (kPa) |
|---|---|---|
| Heart | 1.9 ± 0.5 | 1.4 ± 0.5 |
| Kidney | 0.5 ± 0.03 | 0.6 ± 0.2 |
| Liver | 0.3 ± 0.08 | 0.2 ± 0.03 |
| 0.4% agarose | 1.7 ± 0.06 | 1.4 ± 0.06 |
| 0.3% agarose | 0.7 ± 0.02 | 0.7 ± 0.02 |
| 0.25% agarose | 0.4 ± 0.03 | 0.4 ± 0.03 |
| Agar conc. | [kPa·(s)α] | α |
|---|---|---|
| 0.4% | 1.5 ± 0.06 | 0.019 ± 0.002 |
| 0.3% | 0.7 ± 0.02 | 0.020 ± 0.003 |
| 0.25% | 0.4 ± 0.02 | 0.019 ± 0.005 |
| Parameter | 0.4% | 0.3% | 0.25% |
|---|---|---|---|
| [kPa·(s)α] | 1.498 ± 0.062 | 0.709 ± 0.023 | 0.368 ± 0.013 |
| b | 0.021 ± 0.003 | 0.017 ± 0.003 | 0.006 ± 0.003 |
| α | 0.019 ± 0.002 | 0.020 ± 0.003 | 0.019 ± 0.005 |
Disclaimer/Publisher’s Note: The statements, opinions and data contained in all publications are solely those of the individual author(s) and contributor(s) and not of MDPI and/or the editor(s). MDPI and/or the editor(s) disclaim responsibility for any injury to people or property resulting from any ideas, methods, instructions or products referred to in the content. |
© 2024 by the authors. Licensee MDPI, Basel, Switzerland. This article is an open access article distributed under the terms and conditions of the Creative Commons Attribution (CC BY) license (https://creativecommons.org/licenses/by/4.0/).
Share and Cite
Mishra, A.; Cleveland, R.O. Agarose as a Tissue Mimic for the Porcine Heart, Kidney, and Liver: Measurements and a Springpot Model. Bioengineering 2024, 11, 589. https://doi.org/10.3390/bioengineering11060589
Mishra A, Cleveland RO. Agarose as a Tissue Mimic for the Porcine Heart, Kidney, and Liver: Measurements and a Springpot Model. Bioengineering. 2024; 11(6):589. https://doi.org/10.3390/bioengineering11060589
Chicago/Turabian StyleMishra, Aadarsh, and Robin O. Cleveland. 2024. "Agarose as a Tissue Mimic for the Porcine Heart, Kidney, and Liver: Measurements and a Springpot Model" Bioengineering 11, no. 6: 589. https://doi.org/10.3390/bioengineering11060589
APA StyleMishra, A., & Cleveland, R. O. (2024). Agarose as a Tissue Mimic for the Porcine Heart, Kidney, and Liver: Measurements and a Springpot Model. Bioengineering, 11(6), 589. https://doi.org/10.3390/bioengineering11060589

