Reconstruction of Missing Electrocardiography Signals from Photoplethysmography Data Using Deep Neural Network
Abstract
1. Introduction
2. Materials and Methods
2.1. Dataset
2.2. Preprocessing
- Filtering. Filtering of the ECG and PPG signals. Through multidimensional comparative analysis, Liang et al. [25] found that the fourth-order-type II Chebyshev filter showed better filtering performance and significantly improved the signal quality index. Therefore, a fourth-order Chebyshev bandpass filter is applied to the PPG signal with a passband frequency of 0.5–10 Hz. Similarly, A fourth-order Chebyshev bandpass filter was applied to the ECG signal with a passband frequency of 0.5–20 Hz. Since the bandpass range of PPG is narrower than that of ECG, the passband frequency of the ECG is selected as 0.5–20 Hz.
- Alignment I. Align the filtered ECG and PPG signals. Since there is a time lag (i.e., pulse arrival time) between ECG and PPG, aligning the R-wave peak in the ECG signal with the systolic peak in the PPG signal can remove the time lag. The R-wave peak in the ECG signal and the systolic peak in the PPG signal were detected using the Pan–Tompkins method [26] and the block-based method [27], respectively. The third contraction peak in the PPG signal is then aligned with the corresponding R peak in the ECG signal. After the ECG and PPG are aligned, the PPG signal needs to move forward so that the aligned ECG and PPG signals take less than 300 s.
- Normalization and Segmentation. After aligning the data, the PPG signal is scaled to the range [0, 1]. Due to alignment, the length of signals will be less than 300 s. To ensure that each record is the same length, we consider only the first 294 s of data and ignore any data afterward. Specifically, each record is divided into 3 s.
- Dataset Splitting. The first 60% of each recording was used for training, the next 20% was used for validation, and the remaining 20% was used for testing.
- Generation of Missing Data. To obtain missing ECG data, this study considered each record with some loss. To verify the effectiveness of the model, this study tested each record with a loss of 1 s, 2 s, 3 s, and 4 s. Figure 2 shows the 6 s segment of each ECG missing either 1 s, 2 s, 3 s, or 4 s. Figure 3 shows the 6 s segment with no missing ECG signal.
2.3. Model Architecture
2.4. Training Options
2.5. Stitching the Reconstructed ECG Segments and Alignment II
2.6. Performance Evaluation
- Pearson’s correlation coefficient (r): Pearson‘s correlation coefficient is a statistical measure used to evaluate the strength and direction of a linear relationship between two variables. The absolute value of r is from 0 to 1. An absolute value of the correlation coefficient close to 1 indicates a strong correlation, while an absolute value close to 0 indicates a weak correlation. The formula for calculating r isIn the given formula, and represent the individual sample points of the reference ECG signal and the reconstructed ECG signal, respectively, with both indexed by i. The variable l represents the sample size of the reference ECG. The symbols and denote the mean value of the ECG signal and the reconstructed ECG signal, respectively.
- Root mean square error (RMSE): Root mean square error (RMSE) is a metric used to quantify the difference between a measured value of an ECG signal and its corresponding reconstructed value. It evaluates the degree of deviation between predicted and actual values. The closer the value of RMSE is to zero, the smaller the deviation is between the predicted and actual values. The formula for calculating RMSE is
- Percentage root mean square difference (PRD): Percentage root mean square difference (PRD) is used to quantify the distortion between the ECG signal measurement E and the reconstructed signal . The calculation formula of PRD is
- Fréchet distance (FD): Fréchet distance (FD) is a measure that evaluates signal similarity by analyzing the position and order of points on the electrocardiogram signal waveform and synthesizing them into a curve. With this distance metric, the spatial arrangement and order of the data points are considered when calculating the distance between two curves, allowing for a more accurate assessment of the similarity between two time series signals. The smaller the FD, the higher the similarity between the reference ECG signal and its reconstructed ECG signal. The formula for calculating FD isThe function represents the Euclidean distance between two corresponding points on the reference ECG signal and the reconstructed ECG signal curve. The variable m represents the number of sampling points. The maximum distance under this sampling is denoted as . The Fréchet distance is the value in the sampling method that minimizes the maximum distance.
3. Results
3.1. WNet Model Result
3.2. WNet-BiLSTM Model Result
4. Discussion
- The correlation coefficient for the ECG signal of the reference and that reconstructed using the model proposed in this study is only 0.851. In subsequent studies, the model will be improved to obtain better model performance.
- The data used in this study are considered to have missing signals, but the actual missing signals may be more complex. Thus, the application of the model has certain limitations. In subsequent studies, real missing ECG signals should be used for reconstruction.
- Previous work has shown that the QRS complex is more important than the P and T peaks [35]. The amplitude of the R peak in the reconstructed ECG is often smaller than the true value. The loss function in this study cannot reconstruct the ECG more accurately when using only the mean square error. Therefore, in subsequent research, QRSloss can be introduced into the loss function to verify the performance of the model.
- Figure 13 is an arrhythmia signal selected from the data. The current dataset contains arrhythmias and normal arrhythmias. In the study, the dataset was not divided into normal and arrhythmias. In future research, we will study the correlation mechanism between photoplethysmography and electrocardiogram signals under arrhythmias and explore the correlation between the periodic and morphological changes in electrocardiogram and photoplethysmography under different types of arrhythmias.
5. Conclusions
Author Contributions
Funding
Data Availability Statement
Conflicts of Interest
Abbreviations
| BiLSTM | bidirectional long short-term |
| DCT | discrete cosine transform |
| ECG | electrocardiography |
| FD | Fréchet distance |
| LSTM-RNN | long short-term memory recurrent neural network |
| MIMIC | Multiparameter Intelligent Monitoring in Intensive Care |
| r | Pearson’s correlation coefficient |
| ppg | photoplethysmography |
| PRD | percentage root mean square difference |
| RMSE | root mean square error |
| XDJDL | cross-domain joint dictionary learning |
References
- Otto, C.M. Textbook of Clinical Echocardiography, 6th ed.; Elsevier: Amsterdam, The Netherlands, 2018. [Google Scholar]
- Kligfield, P.; Gettes, L.S.; Bailey, J.J.; Childers, R.; Deal, B.J.; Hancock, E.W.; van Herpen, G.; Kors, J.A.; Macfarlane, P.; Mirvis, D.M.; et al. Recommendations for the standardization and interpretation of the electrocardiogram: Part I: The electrocardiogram and its technology a scientific statement from the American Heart Association Electrocardiography and Arrhythmias Committee, Council on Clinical Cardiology; the American College of Cardiology Foundation; and the Heart Rhythm Society endorsed by the International Society for Computerized Electrocardiology. J. Am. Coll. Cardiol. 2007, 49, 1109–1127. [Google Scholar] [PubMed]
- Allen, J. Photoplethysmography and its application in clinical physiological measurement. Physiol. Meas. 2007, 28, R1–R39. [Google Scholar] [CrossRef]
- Castaneda, D.; Ghamari, A.E.M.; Soltanpur, C.; Nazeran, H. A review on wearable photoplethysmography sensors and their potential future applications in health care. Int. J. Biosens. Bioelectron. 2018, 4, 195–202. [Google Scholar]
- Zhu, Q.; Tian, X.; Wong, C.W.; Wu, M. Learning your heart actions from pulse: ECG waveform reconstruction from PPG. IEEE Internet Things J. 2021, 8, 16734–16748. [Google Scholar] [CrossRef]
- Tian, X.; Zhu, Q.; Li, Y.; Wu, M. Cross-domain joint dictionary learning for ECG reconstruction from PPG. In Proceedings of the 2020 IEEE International Conference on Acoustics, Speech and Signal Processing (ICASSP), Barcelona, Spain, 4–8 May 2020. [Google Scholar]
- Omer, O.A.; Salah, M.; Hassan, A.M.; Mubarak, A.S. Beat-by-Beat ECG Monitoring from Photoplythmography Based on Scattering Wavelet Transform. Trait. Signal 2022, 39, 1483–1488. [Google Scholar] [CrossRef]
- Banerjee, R.; Sinha, A.; Choudhury, A.N.; Visvanathan, A. Photoecg: Photoplethysmography to Estimate ECG Parameters. In Proceedings of the 2014 IEEE International Conference on Acoustic, Speech and Signal Processing (ICASSP), Florence, Italy, 4–9 May 2014; pp. 4404–4408. [Google Scholar]
- Li, Y.; Tian, X.; Zhu, Q.; Wu, M. Inferring ECG from PPG for Continuous Cardiac Monitoring Using Lightweight Neural Network. arXiv, 2023; arXiv:201204949. [Google Scholar]
- Abdelgaber, K.M.; Salah, M.; Omer, O.A.; Farghal, A.E.A.; Mubarak, A.S. Subject-Independent per Beat PPG to Single-Lead ECG Mapping. Information 2023, 14, 377. [Google Scholar] [CrossRef]
- Tang, Q.; Chen, Z.; Guo, Y.; Liang, Y.; Ward, R.; Menon, C.; Elgendi, M. Robust reconstruction of electrocardiogram using photoplethysmography: A subject-based Model. Front. Physiol. 2022, 13, 859763. [Google Scholar] [CrossRef] [PubMed]
- Tang, Q.; Chen, Z.; Ward, R.; Menon, C.; Elfendi, M. PPG2ECGps: An End-to-End Subject-Specific Deep Neural Network Model for Electrocardiogram Reconstruction from Photoplethysmography Signals without Pulse Arrival Time Adjustments. Bioengineering 2023, 10, 630. [Google Scholar] [CrossRef] [PubMed]
- Vo, K.; Naeini, E.K.; Naderi, A.; Jilani, D.; Rahmani, A.M.; Dutt, N.; Cao, H. P2E-WGAN: ECG waveform synthesis from PPG with conditional wasserstein generative adversarial networks. In Proceedings of the 36th Annual ACM Symposium on Applied Computing, Virtual Event, 22–26 March 2021; pp. 1030–1036. [Google Scholar]
- Sarkar, P.; Etemad, A. CardioGAN: Attentive Generative Adversarial Network with Dual Discriminators for Synthesis of ECG from PPG. In Proceedings of the AAAI Conference on Artificial Intelligence, Delhi, India, 2–9 February 2021; Volume 35, pp. 488–496. [Google Scholar]
- Lan, E. Performer: A Novel PPG-to-ECG Reconstruction Transformer for a Digital Biomarker of Cardiovascular Disease Detection. In Proceedings of the 2023 IEEE/CVF Winter Conference on Applications of Computer Vision (WACV), Waikoloa, HI, USA, 2–7 January 2023; pp. 1991–1999. [Google Scholar]
- Chiu, H.; Shuai, H.; Chao, P.C.-P. Reconstructing QRS Complex From PPG by Transformed Attentional Neural Networks. IEEE Sensors J. 2020, 20, 12374–12383. [Google Scholar] [CrossRef]
- Ho, W.; Liao, C.; Chen, Y.; Hwang, K.; Tao, Y. Quickly Convert Photoplethysmography to Electrocardiogram Signals by a Banded Kernel Ensemble Learning Method for Heart Diseases Detection. IEEE Access 2022, 10, 51079–51092. [Google Scholar] [CrossRef]
- Roy, M.; Bag, P.; Gupta, R. Reconstruction of Corrupted and Lost Segments from Photoplethysmographic Data Using Recurrent Neural Network. In Proceedings of the 2019 IEEE Region 10 Symposium (TENSYMP), Kolkata, India, 7–9 June 2019; pp. 214–219. [Google Scholar]
- Monalisa, S.; Biplad, R.; Rajarshi, G.; Kaushik, D. On-Device Reliability Assessment and Prediction of Missing Photoplethysmographic Data Using Deep Neural Networks. IEEE Trans. Biomed. Circuits Syst. 2020, 14, 1323–1332. [Google Scholar]
- Alfonso, P.; Corinne, M.; Francis, C. Lost Sample Recovering of ECG Signals in e-Health Applications. In Proceedings of the 2007 29th Annual International Conference of the IEEE Engineering in Medicine and Biology Society, Lyon, France, 22–26 August 2007; pp. 31–34. [Google Scholar]
- Banerjee, S.; Singh, G.K. Deep neural network based missing data prediction of electrocardiogram signal using multiagent reinforcement learning. Biomed. Signal Process. Control. 2021, 67, 102508. [Google Scholar] [CrossRef]
- Martin-Martinez, D.; Casaseca-de-la-Higuera, P.; Martin-Fernandez, M.; Alberola-Lopez, C. Cardiovascular signal reconstruction based on shape modelling and non-stationary temporal modelling. In Proceedings of the 20th European Signal Processing Conference (EUSIPCO), Bucharest, Romania, 27–31 August 2012; pp. 1826–1830. [Google Scholar]
- Martin-Martinez, D.; Casaseca-de-la-Higuera, P.; Martin-Fernandez, M.; Alberola-Lopez, C. ECG signal reconstruction based on stochastic Joint-Modeling of the ECG and PPG signals. In Proceedings of the XIII Mediterranean Conference on Medical and Biological Engineering and Computing 2013, Seville, Spain, 25–28 September 2013; IFMBE Proceedings. Springer: Cham, Switzerland, 2014; Volume 41, pp. 982–989. [Google Scholar]
- Johnson, A.E.W.; Pollard, T.J.; Shen, L.; Lehman, L.H.; Feng, M.; Ghassemi, M.; Moody, B.; Szolovits, P.; Celi, L.A.; Mark, R.G. MIMIC-III, a freely accessible critical care database. Sci. Data 2016, 3, 160035. [Google Scholar] [CrossRef] [PubMed]
- Liang, Y.; Elgendi, M.; Chen, Z.; Rabab, W. An optimal filter for short photoplethysmogram signals. Sci. Data 2018, 5, 180076. [Google Scholar] [CrossRef] [PubMed]
- Pan, J.; Tompkins, W.J. A Real-Time QRS Detection Algorithm. IEEE Trans. Biomed. Eng. BME 1985, 32, 230–236. [Google Scholar] [CrossRef] [PubMed]
- Elgendi, M.; Norton, I.; Brearley, M.; Abbott, D.; Schuurmans, D. Systolic Peak Detection in Acceleration Photoplethysmograms Measured from Emergency Responders in Tropical Conditions. PLoS ONE 2013, 8, e76585. [Google Scholar] [CrossRef]
- Olaf, R.; Philipp, F.; Thomas, B. U-net: Convolutional networks for biomedical image segmentation. In Proceedings of the International Conference on Medical Image Computing and Computer-Assisted Intervention, Munich, Germany, 5–9 October 2015; Springer: Berlin/Heidelberg, Germany, 2015; pp. 234–241. [Google Scholar]
- Ioffe, S.; Szegedy, C. Batch normalization: Accelerating deep network training by reducing internal covariate shift. In Proceedings of the International Conference on Machine Learning, Lille, France, 6–11 July 2015; pp. 448–456. [Google Scholar]
- Nair, V.; Hinton, G.E. Rectified linear units improve restricted boltzmann machines. In Proceedings of the 27th International Conference on Machine Learning (ICML-10), Haifa, Israel, 21–24 June 2010; pp. 807–814. [Google Scholar]
- Gare, G.R.; Li, J.; Joshi, R.; Magar, R.; Vaze, M.P.; Yousefpour, M.; Rodriguez, R.L.; Galeotti, J.M. W-Net: Dense and diagnostic semantic segmentation of subcutaneous and breast tissue in ultrasound images by incorporating ultrasound RF waveform data. Med. Image Anal. 2022, 76, 102326. [Google Scholar] [CrossRef] [PubMed]
- Gargiulo, M.; Dell’Aglio, D.A.G.; Iodice, A.; Riccio, D.; Ruello, G. Integration of sentinel-1 and sentinel-2 data for land cover mapping using W-Net. Sensors 2020, 20, 2969. [Google Scholar] [CrossRef] [PubMed]
- Sakib, M.A.M.; Sharif, O.; Hoque, M.M. Offline Bengali Handwritten Sentence Recognition Using BiLSTM and CTC Networks. In Proceedings of the Internet of Things and Connected Technologies, Patna, India, 3–5 July 2020. [Google Scholar]
- Wang, Q.; Feng, C.; Xu, Y.; Zhong, H.; Sheng, V.S. A Novel PrivacyPreserving Speech Recognition Framework Using Bidirectional LSTM. J. Cloud Comput. 2020, 9, 36. [Google Scholar] [CrossRef]
- Zhu, F.; Ye, F.; Fu, Y.; Liu, Q.; Shen, B. Electrocardiogram Generation with a Bidirectional LSTM-CNN Generative Adversarial Network. Sci. Rep. 2019, 9, 6734. [Google Scholar] [CrossRef] [PubMed]
- Mai, Y.; Chen, Z.; Yu, B.; Ye, L.; Pang, Z.; Han, Z. Non-Contact Heartbeat Detection Based on Ballistocardiogram Using UNet and Bidirectional Long Short-Term Memory. IEEE J. Biomed. Health Inform. 2022, 26, 3720–3730. [Google Scholar] [CrossRef] [PubMed]
- Liu, J.; Tang, W.; Chen, G.; Lu, Y.; Feng, C. Correlation and agreement: Overview and clarification of competing concepts and measures. Shanghai Arch. Psychiatry 2016, 28, 115–120. [Google Scholar] [PubMed]
- Alt, H.; Godau, M. Computing the Frechet distance between two polygonal curves. Int. J. Comput. Geom. Appl. 1995, 5, 7591. [Google Scholar] [CrossRef]













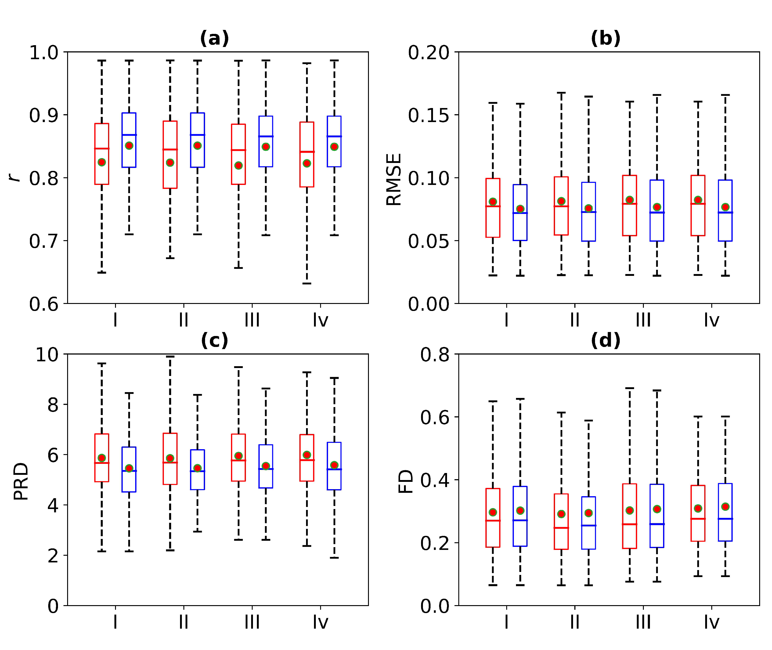
| Missing Data Length | Alignment | r | RMSE | PRD | FD | |
|---|---|---|---|---|---|---|
| Experiment I | 1 s | No | 0.825 ± 0.110 | 0.081 ± 0.038 | 5.865 ± 1.674 | 0.297 ± 0.154 |
| Yes | 0.851 ± 0.077 | 0.075 ± 0.034 | 5.452 ± 1.403 | 0.302 ± 0.157 | ||
| Experiment II | 2 s | No | 0.824 ± 0.113 | 0.081 ± 0.038 | 5.857 ± 1.673 | 0.291 ± 0.161 |
| Yes | 0.849 ± 0.085 | 0.076 ± 0.034 | 5.457 ± 1.418 | 0.294 ± 0.164 | ||
| Experiment III | 3 s | No | 0.820 ± 0.112 | 0.082 ± 0.038 | 5.948 ± 1.697 | 0.303 ± 0.162 |
| Yes | 0.845 ± 0.083 | 0.077 ± 0.034 | 5.545 ± 1.447 | 0.307 ± 0.165 | ||
| Experiment IV | 4 s | No | 0.823 ± 0.106 | 0.081 ± 0.038 | 5.985 ± 1.724 | 0.309 ± 0.145 |
| Yes | 0.848 ± 0.080 | 0.076 ± 0.034 | 5.581 ± 1.508 | 0.314 ± 0.151 |
| Missing Data Length | Alignment | r | RMSE | PRD | FD | |
|---|---|---|---|---|---|---|
| Experiment I | 1 s | No | 0.817 ± 0.102 | 0.084 ± 0.038 | 5.984 ± 1.543 | 0.258 ± 0.149 |
| Yes | 0.845 ± 0.076 | 0.0758± 0.034 | 5.535 ± 1.377 | 0.259 ± 0.150 | ||
| Experiment II | 2 s | No | 0.820 ± 0.107 | 0.083 ± 0.039 | 5.976 ± 1.646 | 0.288 ± 0.168 |
| Yes | 0.846 ± 0.079 | 0.077 ± 0.034 | 5.554 ± 1.436 | 0.289 ± 0.165 | ||
| Experiment III | 3 s | No | 0.818 ± 0.102 | 0.084 ± 0.039 | 6.048 ± 1.724 | 0.292 ± 0.155 |
| Yes | 0.843 ± 0.081 | 0.078 ± 0.035 | 5.642 ± 1.624 | 0.297 ± 0.159 | ||
| Experiment IV | 4 s | No | 0.809 ± 0.107 | 0.085 ± 0.039 | 6.149 ± 1.813 | 0.304 ± 0.171 |
| Yes | 0.833 ± 0.089 | 0.080 ± 0.036 | 5.755 ± 1.721 | 0.304 ± 0.173 |
Disclaimer/Publisher’s Note: The statements, opinions and data contained in all publications are solely those of the individual author(s) and contributor(s) and not of MDPI and/or the editor(s). MDPI and/or the editor(s) disclaim responsibility for any injury to people or property resulting from any ideas, methods, instructions or products referred to in the content. |
© 2024 by the authors. Licensee MDPI, Basel, Switzerland. This article is an open access article distributed under the terms and conditions of the Creative Commons Attribution (CC BY) license (https://creativecommons.org/licenses/by/4.0/).
Share and Cite
Guo, Y.; Tang, Q.; Li, S.; Chen, Z. Reconstruction of Missing Electrocardiography Signals from Photoplethysmography Data Using Deep Neural Network. Bioengineering 2024, 11, 365. https://doi.org/10.3390/bioengineering11040365
Guo Y, Tang Q, Li S, Chen Z. Reconstruction of Missing Electrocardiography Signals from Photoplethysmography Data Using Deep Neural Network. Bioengineering. 2024; 11(4):365. https://doi.org/10.3390/bioengineering11040365
Chicago/Turabian StyleGuo, Yanke, Qunfeng Tang, Shiyong Li, and Zhencheng Chen. 2024. "Reconstruction of Missing Electrocardiography Signals from Photoplethysmography Data Using Deep Neural Network" Bioengineering 11, no. 4: 365. https://doi.org/10.3390/bioengineering11040365
APA StyleGuo, Y., Tang, Q., Li, S., & Chen, Z. (2024). Reconstruction of Missing Electrocardiography Signals from Photoplethysmography Data Using Deep Neural Network. Bioengineering, 11(4), 365. https://doi.org/10.3390/bioengineering11040365

