Early Detection of Macular Atrophy Automated Through 2D and 3D Unet Deep Learning
Abstract
1. Introduction
2. Materials and Methods
2.1. Ethics and Clinical Research
2.2. Data Collection and Image Processing
2.3. Manual Annotation
2.4. Model Development
2.4.1. 2D Unet Model Development
2.4.2. 3D Unet Model Development
2.5. Model Evaluation
2.6. Learning Curve Analysis
3. Results
3.1. Summary of Manual Annotation
3.2. Performance of Models
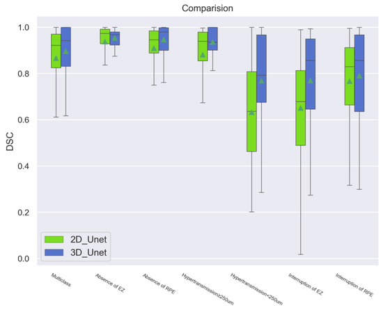
3.2.1. Comparison Between the 2D and 3D Models
3.2.2. Model Performances Compared to Human Graders
3.2.3. Learning Curve Analysis of the 3D Model
4. Discussion
5. Conclusions
Supplementary Materials
Author Contributions
Funding
Institutional Review Board Statement
Informed Consent Statement
Data Availability Statement
Acknowledgments
Conflicts of Interest
References
- Wong, W.L.; Su, X.; Li, X.; Cheung, C.M.; Klein, R.; Cheng, C.Y.; Wong, T.Y. Global prevalence of age-related macular degeneration and disease burden projection for 2020 and 2040: A systematic review and meta-analysis. Lancet Glob. Health 2014, 2, e106–e116. [Google Scholar] [CrossRef] [PubMed]
- Ricci, F.; Bandello, F.; Navarra, P.; Staurenghi, G.; Stumpp, M.; Zarbin, M. Neovascular Age-Related Macular Degeneration: Therapeutic Management and New-Upcoming Approaches. Int. J. Mol. Sci. 2020, 21, 8242. [Google Scholar] [CrossRef] [PubMed]
- Ferris III, F.L.; Wilkinson, C.; Bird, A.; Chakravarthy, U.; Chew, E.; Csaky, K.; Sadda, S.R.; Committee, B.I.f.M.R.C. Clinical classification of age-related macular degeneration. Ophthalmology 2013, 120, 844–851. [Google Scholar] [CrossRef]
- Fleckenstein, M.; Mitchell, P.; Freund, K.B.; Sadda, S.; Holz, F.G.; Brittain, C.; Henry, E.C.; Ferrara, D. The progression of geographic atrophy secondary to age-related macular degeneration. Ophthalmology 2018, 125, 369–390. [Google Scholar] [CrossRef]
- Sadda, S.R.; Tuomi, L.L.; Ding, B.; Fung, A.E.; Hopkins, J.J. Macular Atrophy in the HARBOR Study for Neovascular Age-Related Macular Degeneration. Ophthalmology 2018, 125, 878–886. [Google Scholar] [CrossRef]
- Abdelfattah, N.S.; Al-Sheikh, M.; Pitetta, S.; Mousa, A.; Sadda, S.R.; Wykoff, C.C. Macular Atrophy in Neovascular Age-Related Macular Degeneration with Monthly versus Treat-and-Extend Ranibizumab: Findings from the TREX-AMD Trial. Ophthalmology 2017, 124, 215–223. [Google Scholar] [CrossRef]
- Daniel, E.; Maguire, M.G.; Grunwald, J.E.; Toth, C.A.; Jaffe, G.J.; Martin, D.F.; Ying, G.-s.; Comparison of Age-Related Macular Degeneration Treatments Trials Research Group. Incidence and progression of nongeographic atrophy in the comparison of age-related macular degeneration treatments trials (CATT) clinical trial. JAMA Ophthalmol. 2020, 138, 510–518. [Google Scholar] [CrossRef]
- Chakravarthy, U.; Harding, S.P.; Rogers, C.A.; Downes, S.M.; Lotery, A.J.; Wordsworth, S.; Reeves, B.C.; Investigators, I.S. Ranibizumab versus bevacizumab to treat neovascular age-related macular degeneration: One-year findings from the IVAN randomized trial. Ophthalmology 2012, 119, 1399–1411. [Google Scholar] [CrossRef]
- Gillies, M.C.; Hunyor, A.P.; Arnold, J.J.; Guymer, R.H.; Wolf, S.; Pecheur, F.L.; Munk, M.R.; McAllister, I.L. Macular atrophy in neovascular age-related macular degeneration: A randomized clinical trial comparing ranibizumab and aflibercept (RIVAL study). Ophthalmology 2020, 127, 198–210. [Google Scholar] [CrossRef]
- Rofagha, S.; Bhisitkul, R.B.; Boyer, D.S.; Sadda, S.R.; Zhang, K.; Group, S.-U.S. Seven-year outcomes in ranibizumab-treated patients in ANCHOR, MARINA, and HORIZON: A multicenter cohort study (SEVEN-UP). Ophthalmology 2013, 120, 2292–2299. [Google Scholar] [CrossRef]
- Abdelfattah, N.S.; Hariri, A.H.; Al-Sheikh, M.; Pitetta, S.; Ebraheem, A.; Wykoff, C.C.; Sadda, S.R.; Croft, D.E.; Brown, D.M.; Wang, R. Topographic correspondence of macular atrophy with choroidal neovascularization in ranibizumab-treated eyes of the TREX-AMD trial. Am. J. Ophthalmol. 2018, 192, 84–90. [Google Scholar] [CrossRef] [PubMed]
- Steinle, N.C.; Pearce, I.; Monés, J.; Metlapally, R.; Saroj, N.; Hamdani, M.; Ribeiro, R.; Rosenfeld, P.J.; Lad, E.M. Impact of baseline characteristics on geographic atrophy progression in the FILLY trial evaluating the complement C3 inhibitor pegcetacoplan. Am. J. Ophthalmol. 2021, 227, 116–124. [Google Scholar] [CrossRef] [PubMed]
- Goldberg, R.; Heier, J.S.; Wykoff, C.C.; Staurenghi, G.; Singh, R.P.; Steinle, N.; Boyer, D.S.; Mones, J.; Holz, F.G.; Bliss, C. Efficacy of intravitreal pegcetacoplan in patients with geographic atrophy (GA): 12-month results from the phase 3 OAKS and DERBY studies. Investig. Ophthalmol. Vis. Sci. 2022, 63, 1500. [Google Scholar]
- Jaffe, G.J.; Westby, K.; Csaky, K.G.; Monés, J.; Pearlman, J.A.; Patel, S.S.; Joondeph, B.C.; Randolph, J.; Masonson, H.; Rezaei, K.A. C5 inhibitor avacincaptad pegol for geographic atrophy due to age-related macular degeneration: A randomized pivotal phase 2/3 trial. Ophthalmology 2021, 128, 576–586. [Google Scholar] [CrossRef]
- Sadda, S.R.; Guymer, R.; Holz, F.G.; Schmitz-Valckenberg, S.; Curcio, C.A.; Bird, A.C.; Blodi, B.A.; Bottoni, F.; Chakravarthy, U.; Chew, E.Y. Consensus definition for atrophy associated with age-related macular degeneration on OCT: Classification of atrophy report 3. Ophthalmology 2018, 125, 537–548. [Google Scholar] [CrossRef]
- Guymer, R.H.; Rosenfeld, P.J.; Curcio, C.A.; Holz, F.G.; Staurenghi, G.; Freund, K.B.; Schmitz-Valckenberg, S.; Sparrow, J.; Spaide, R.F.; Tufail, A.; et al. Incomplete Retinal Pigment Epithelial and Outer Retinal Atrophy in Age-Related Macular Degeneration: Classification of Atrophy Meeting Report 4. Ophthalmology 2020, 127, 394–409. [Google Scholar] [CrossRef]
- Wu, Z.; Pfau, M.; Blodi, B.A.; Holz, F.G.; Jaffe, G.J.; Liakopoulos, S.; Sadda, S.R.; Staurenghi, G.; Bjelopera, E.; Brown, T.; et al. OCT Signs of Early Atrophy in Age-Related Macular Degeneration: Interreader Agreement: Classification of Atrophy Meetings Report 6. Ophthalmol. Retin. 2021, 6, 4–14. [Google Scholar] [CrossRef]
- Wei, W.; Anantharanjit, R.; Patel, R.P.; Cordeiro, M.F. Detection of macular atrophy in age-related macular degeneration aided by artificial intelligence. Expert Rev. Mol. Diagn. 2023, 23, 485–494. [Google Scholar] [CrossRef]
- Kaur, A.; Kaur, L.; Singh, A. GA-UNet: UNet-based framework for segmentation of 2D and 3D medical images applicable on heterogeneous datasets. Neural Comput. Appl. 2021, 33, 14991–15025. [Google Scholar] [CrossRef]
- Ronneberger, O.; Fischer, P.; Brox, T. U-net: Convolutional networks for biomedical image segmentation. In Medical Image Computing and Computer-Assisted Intervention–MICCAI 2015: 18th International Conference, Munich, Germany, 5–9 October 2015; Proceedings, Part III 18; Springer: Berlin/Heidelberg, Germany, 2015; pp. 234–241. [Google Scholar]
- Singh, S.P.; Wang, L.; Gupta, S.; Goli, H.; Padmanabhan, P.; Gulyás, B. 3D deep learning on medical images: A review. Sensors 2020, 20, 5097. [Google Scholar] [CrossRef]
- Wei, W.; Southern, J.; Zhu, K.; Li, Y.; Cordeiro, M.F.; Veselkov, K. Deep learning to detect macular atrophy in wet age-related macular degeneration using optical coherence tomography. Sci. Rep. 2023, 13, 8296. [Google Scholar] [CrossRef] [PubMed]
- Derradji, Y.; Mosinska, A.; Apostolopoulos, S.; Ciller, C.; De Zanet, S.; Mantel, I. Fully-automated atrophy segmentation in dry age-related macular degeneration in optical coherence tomography. Sci. Rep. 2021, 11, 21893. [Google Scholar] [CrossRef] [PubMed]
- Zhang, G.; Fu, D.J.; Liefers, B.; Faes, L.; Glinton, S.; Wagner, S.; Struyven, R.; Pontikos, N.; Keane, P.A.; Balaskas, K. Clinically relevant deep learning for detection and quantification of geographic atrophy from optical coherence tomography: A model development and external validation study. Lancet Digit. Health 2021, 3, e665–e675. [Google Scholar] [CrossRef] [PubMed]
- Liefers, B.; Taylor, P.; Alsaedi, A.; Bailey, C.; Balaskas, K.; Dhingra, N.; Egan, C.A.; Rodrigues, F.G.; Gonzalo, C.G.; Heeren, T.F. Quantification of key retinal features in early and late age-related macular degeneration using deep learning. Am. J. Ophthalmol. 2021, 226, 1–12. [Google Scholar] [CrossRef]
- Long, J.; Shelhamer, E.; Darrell, T. Fully convolutional networks for semantic segmentation. In Proceedings of the IEEE Conference on Computer Vision and Pattern Recognition, Boston, MA, USA, 7–12 June 2015; pp. 3431–3440. [Google Scholar]
- Cubuk, E.D.; Zoph, B.; Shlens, J.; Le, Q.V. Randaugment: Practical automated data augmentation with a reduced search space. In Proceedings of the IEEE/CVF Conference on Computer Vision and Pattern Recognition Workshops, Seattle, WA, USA, 14–19 June 2020; pp. 702–703. [Google Scholar]
- Kingma, D.P.; Ba, J. Adam: A method for stochastic optimization. arXiv 2014, arXiv:1412.6980. [Google Scholar]
- Solovyev, R.; Kalinin, A.A.; Gabruseva, T. 3D convolutional neural networks for stalled brain capillary detection. Comput. Biol. Med. 2022, 141, 105089. [Google Scholar] [CrossRef]
- Zou, K.H.; Warfield, S.K.; Bharatha, A.; Tempany, C.M.; Kaus, M.R.; Haker, S.J.; Wells, W.M., 3rd; Jolesz, F.A.; Kikinis, R. Statistical validation of image segmentation quality based on a spatial overlap index. Acad. Radiol. 2004, 11, 178–189. [Google Scholar] [CrossRef]
- Buckland, M.; Gey, F. The relationship between recall and precision. J. Am. Soc. Inf. Sci. 1994, 45, 12–19. [Google Scholar] [CrossRef]
- Fujino, A.; Isozaki, H.; Suzuki, J. Multi-label text categorization with model combination based on f1-score maximization. In Proceedings of the Third International Joint Conference on Natural Language Processing, Hyderabad, India, 7–12 January 2008. Volume II. [Google Scholar]
- Huang, M.-L.; Lin, T.-Y. Considering breast density for the classification of benign and malignant mammograms. Biomed. Signal Process. Control 2021, 67, 102564. [Google Scholar] [CrossRef]
- Balaskas, K.; Glinton, S.; Keenan, T.; Faes, L.; Liefers, B.; Zhang, G.; Pontikos, N.; Struyven, R.; Wagner, S.; McKeown, A. Prediction of visual function from automatically quantified optical coherence tomography biomarkers in patients with geographic atrophy using machine learning. Sci. Rep. 2022, 12, 15565. [Google Scholar] [CrossRef]
- Bakri, S.J.; Bektas, M.; Sharp, D.; Luo, R.; Sarda, S.P.; Khan, S. Geographic atrophy: Mechanism of disease, pathophysiology, and role of the complement system. J. Manag. Care Spec. Pharm. 2023, 29, S2–S11. [Google Scholar] [CrossRef] [PubMed]
- Fleckenstein, M.; Keenan, T.D.; Guymer, R.H.; Chakravarthy, U.; Schmitz-Valckenberg, S.; Klaver, C.C.; Wong, W.T.; Chew, E.Y. Age-related macular degeneration. Nat. Rev. Dis. Primers 2021, 7, 31. [Google Scholar] [CrossRef] [PubMed]
- Pramil, V.; de Sisternes, L.; Omlor, L.; Lewis, W.; Sheikh, H.; Chu, Z.; Manivannan, N.; Durbin, M.; Wang, R.K.; Rosenfeld, P.J. A deep learning model for automated segmentation of geographic atrophy imaged with swept-source optical coherence tomography images. Ophthalmol. Retin. 2022, 7, 127–141. [Google Scholar] [CrossRef] [PubMed]








| Label | Numbers of Each Label | Pixel Counts |
|---|---|---|
| Interruption of outer retina | 2425 (12.75%) | 1,132,765 (0.10%) |
| Interruption of RPE | 3510 (18.45%) | 2,413,401 (0.21%) |
| Absence of outer retina | 3569 (18.76%) | 4,291,444 (0.38%) |
| Absence of RPE | 2390 (12.57%) | 3,168,831 (0.28%) |
| Hypertransmission < 250 μm | 3930 (20.66%) | 2,176,126 (0.19%) |
| Hypertransmission ≥ 250 μm | 3197 (16.81%) | 20,127,892 (1.77%) |
| Total | 19,021 | 1,134,149,632 (including background) |
| Multiclass | One-Dimensional evaluation | |||||||
| DSC | Precision | Recall | F1 Score | |||||
| 2D_Unet | 0.87 ± 0.15 | 0.86 ± 0.17 | 0.90 ± 0.16 | 0.87 ± 0.15 | ||||
| 3D_Unet | 0.90 ± 0.14 | 0.88 ± 0.14 | 0.90 ± 0.15 | 0.89 ± 0.14 | ||||
| p value | 0.07 | 0.51 | 0.78 | 0.19 | ||||
| Absence of EZ | One-dimensional evaluation | |||||||
| DSC | Precision | Recall | F1 score | |||||
| 2D_Unet | 0.94 ± 0.10 | 0.94 ± 0.11 | 0.95 ± 0.10 | 0.94 ± 0.10 | ||||
| 3D_Unet | 0.95 ± 0.03 | 0.93 ± 0.06 | 0.97 ± 0.03 | 0.95 ± 0.02 | ||||
| p value | 0.14 | 0.41 | 0.03 | 0.26 | ||||
| Absence of RPE | One-dimensional evaluation | |||||||
| DSC | Precision | Recall | F1 score | |||||
| 2D_Unet | 0.90 ± 0.12 | 0.92 ± 0.13 | 0.92 ± 0.14 | 0.91 ± 0.12 | ||||
| 3D_Unet | 0.95 ± 0.08 | 0.92 ± 0.11 | 0.96 ± 0.05 | 0.95 ± 0.07 | ||||
| p value | <0.001 | 0.58 | 0.01 | <0.001 | ||||
| Hypertransmission ≥ 250 μm | One-dimensional evaluation | |||||||
| DSC | Precision | Recall | F1 score | |||||
| 2D_Unet | 0.88 ± 0.16 | 0.87 ± 0.20 | 0.93 ± 0.13 | 0.88 ± 0.16 | ||||
| 3D_Unet | 0.94 ± 0.08 | 0.96 ± 0.06 | 0.93 ± 0.11 | 0.93 ± 0.08 | ||||
| p value | <0.001 | <0.001 | 0.81 | <0.001 | ||||
| Hypertransmission < 250 μm | One-dimensional evaluation | |||||||
| DSC | Precision | Recall | F1 score | |||||
| 2D_Unet | 0.63 ± 0.20 | 0.65 ± 0.26 | 0.71 ± 0.24 | 0.63 ± 0.20 | ||||
| 3D_Unet | 0.77 ± 0.21 | 0.75 ± 0.25 | 0.77 ± 0.20 | 0.76 ± 0.20 | ||||
| p value | <0.001 | 0.01 | 0.05 | <0.001 | ||||
| Interruption of EZ | One-dimensional evaluation | |||||||
| DSC | Precision | Recall | F1 score | |||||
| 2D_Unet | 0.65 ± 0.20 | 0.65 ± 0.25 | 0.72 ± 0.24 | 0.65 ± 0.20 | ||||
| 3D_Unet | 0.77 ± 0.22 | 0.75 ± 0.24 | 0.78 ± 0.19 | 0.76 ± 0.19 | ||||
| p value | <0.001 | <0.001 | 0.06 | <0.001 | ||||
| Interruption of RPE | One-dimensional evaluation | |||||||
| DSC | Precision | Recall | F1 score | |||||
| 2D_Unet | 0.77 ± 0.20 | 0.78 ± 0.22 | 0.82 ± 0.22 | 0.77 ± 0.20 | ||||
| 3D_Unet | 0.79 ± 0.20 | 0.81 ± 0.19 | 0.82 ± 0.21 | 0.81 ± 0.20 | ||||
| p value | 0.34 | 0.18 | 0.92 | 0.09 | ||||
| Name | DSC Score |
|---|---|
| Multiclass | 0.71 ± 0.27 |
| Absence of EZ | 0.79 ± 0.32 |
| Absence of RPE | 0.65 ± 0.46 |
| Hypertransmission ≥ 250 μm | 0.78 ± 0.36 |
| Hypertransmission < 250 μm | 0.66 ± 0.37 |
| Interruption of EZ | 0.55 ± 0.44 |
| Interruption of RPE | 0.39 ± 0.33 |
Disclaimer/Publisher’s Note: The statements, opinions and data contained in all publications are solely those of the individual author(s) and contributor(s) and not of MDPI and/or the editor(s). MDPI and/or the editor(s) disclaim responsibility for any injury to people or property resulting from any ideas, methods, instructions or products referred to in the content. |
© 2024 by the authors. Licensee MDPI, Basel, Switzerland. This article is an open access article distributed under the terms and conditions of the Creative Commons Attribution (CC BY) license (https://creativecommons.org/licenses/by/4.0/).
Share and Cite
Wei, W.; Patel, R.P.; Laponogov, I.; Cordeiro, M.F.; Veselkov, K. Early Detection of Macular Atrophy Automated Through 2D and 3D Unet Deep Learning. Bioengineering 2024, 11, 1191. https://doi.org/10.3390/bioengineering11121191
Wei W, Patel RP, Laponogov I, Cordeiro MF, Veselkov K. Early Detection of Macular Atrophy Automated Through 2D and 3D Unet Deep Learning. Bioengineering. 2024; 11(12):1191. https://doi.org/10.3390/bioengineering11121191
Chicago/Turabian StyleWei, Wei, Radhika Pooja Patel, Ivan Laponogov, Maria Francesca Cordeiro, and Kirill Veselkov. 2024. "Early Detection of Macular Atrophy Automated Through 2D and 3D Unet Deep Learning" Bioengineering 11, no. 12: 1191. https://doi.org/10.3390/bioengineering11121191
APA StyleWei, W., Patel, R. P., Laponogov, I., Cordeiro, M. F., & Veselkov, K. (2024). Early Detection of Macular Atrophy Automated Through 2D and 3D Unet Deep Learning. Bioengineering, 11(12), 1191. https://doi.org/10.3390/bioengineering11121191

