Climate Change Impacts on Inflows into Lake Eppalock Reservoir from Upper Campaspe Catchment
Abstract
:1. Introduction
2. Study Area and Data
3. Methodology
4. Results and Discussion
4.1. Performance of IHACRES Model
4.2. Future Rainfall and Temperature Projections
4.2.1. Rainfall Projections
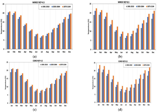
4.2.2. Temperature Projections
4.3. Streamflow Projections
5. Conclusions
- The IHACRES model was found to be very successful to simulate monthly streamflows in the UCC.
- The MIROC model projected annual rainfall decrease in a range of 1–19% while the CSIRO model predicted annual rainfall change with respect to the observed rainfall from +6% to −29%.
- In general, monthly rainfall decreases were projected by both MIROC and CSIRO models except December. Both models resulted in increases in December rainfall.
- Expectedly, both MIROC and CSIRO models (under both RCP4.5 and RCP8.5 scenario) projected temperature increases at all time scales (monthly, seasonal, and annual).
- Annual temperature increase in the UCC is projected to be in a range of 1.3–2.1 °C for the near future, and 2–4.3 °C for the far future.
- Higher temperature increases were projected in spring and summer seasons in comparison to fall and winter seasons.
- Remarkable streamflow reductions were projected by both models. The highest streamflow values were projected by the MIROC-RCP4.5 model in near future. According to this most optimistic scenario, the river will completely dry out from January to May. The CSIRO-RCP8.5 model in the far future resulted in the lowest streamflows occuring only for three months (July, August, and September) throughout the year. The annual streamflow drop projection varies between 53–81% for the near future and 84–100% for the far future.
- Significant decreases in streamflow will have substantial adverse effects on agricultural and residential water supply in the study area.
Author Contributions
Funding
Data Availability Statement
Acknowledgments
Conflicts of Interest
References
- Yilmaz, A.G. The effects of Climate Change on Historical and Future Extreme Rainfall in Antalya, Turkey. Hydrol. Sci. J. 2015, 60, 2148–2162. [Google Scholar] [CrossRef] [Green Version]
- Yilmaz, A.G. Climate change effects and extreme rainfall non-stationarity. ICE-Water Manag. 2017, 170, 57–65. [Google Scholar] [CrossRef]
- Muhammad, A.; Evenson, G.R.; Unduche, F.; Stadnyk, T.A. Climate Change Impacts on Reservoir Inflow in the Prairie Pothole Region: A Watershed Model Analysis. Water 2020, 12, 271. [Google Scholar] [CrossRef] [Green Version]
- Yilmaz, A.G.; Shabib, A.G. Rainfall and air temperature projections for Sharjah City, United Arab Emirates. Int. J. Water 2019, 13, 60–79. [Google Scholar] [CrossRef]
- Naz, B.S.; Kao, S.C.; Ashfaq, M.; Gao, H.; Rastogi, D.; Gangrade, S. Effects of climate change on streamflow extremes and implications for reservoir inflow in the United States. J. Hydrol. 2018, 556, 359–370. [Google Scholar] [CrossRef]
- D’Agostino, D.R.; Trisorio, L.G.; Lamaddalena, N.; Ragab, R. Assessing the results of scenarios of climate and land use changes on the hydrology of an Italian catchment: Modelling study. Hydrol. Process. 2010, 24, 2693–2704. [Google Scholar] [CrossRef]
- Yilmaz, A.G.; Imteaz, M.A. Impact of climate change on runoff in the upper part of the Euphrates basin. Hydrol. Sci. J. 2011, 56, 1265–1279. [Google Scholar] [CrossRef]
- Givati, A.; Thirel, G.; Rosenfeld, D.; Paz, D. Climate change impacts on streamflow at the upper Jordan river based on an ensemble of regional climate models. J. Hydrol. Reg. Stud. 2019, 21, 92–109. [Google Scholar] [CrossRef]
- Kanakoudis, V.; Tsitsifli, S.; Papadopoulou, A.; Cencur Curk, B.; Karleusa, B. Water resources vulnerability assessment in the Adriatic Sea region: The case of Corfu Island. Environ. Sci. Pollut. Res. Int. 2017, 24, 20173–20186. [Google Scholar] [CrossRef]
- Chen, Y.; Feng, Y.; Zhang, F.; Yang, F.; Wang, L. Assessing and Predicting the Water Resources Vulnerability under Various Climate-Change Scenarios: A Case Study of Huang-Huai-Hai River Basin, China. Entropy 2020, 22, 333. [Google Scholar] [CrossRef] [Green Version]
- Azari, M.; Moradi, H.R.; Saghafian, B.; Faramarzi, M. Climate change impacts on streamflow and sediment yield in the North of Iran. Hydrol. Sci. J. 2016, 61, 123–133. [Google Scholar] [CrossRef]
- Su, B.D.; Huang, J.L.; Zeng, X.F.; Gao, C.; Jiang, T. Impacts of climate change on streamflow in upper Yangtze River basin. Clim. Chang. 2017, 141, 533–546. [Google Scholar] [CrossRef]
- Bian, H.Q.; Lü, H.S.; Sadeghi, A.; Zhu, Y.H.; Yu, Z.B.; Ouyang, F.; Su, J.B.; Chen, R.S. Assessment on the Effect of Climate Change on Streamflow in the Source Region of the Yangtze River, China. Water 2017, 9, 70. [Google Scholar] [CrossRef] [Green Version]
- Kamis, A.S.; Al-Wagdany, A.; Bahrawi, J.; Latif, M.; Elfeki, A.; Hannachi, A. Effect of reservoir models and climate change on flood analysis in arid regions. Arab. J. Geosci. 2020, 13, 818. [Google Scholar] [CrossRef]
- Arnbjerg-Nielsen, K. Quantification of climate change effects on extreme precipitation used for high resolution hydrologic design. Urban Water J. 2012, 9, 57–65. [Google Scholar] [CrossRef]
- Peel, M.C.; Chiew, F.H.S.; Western, A.W.; McMahon, T.A. Extension of Unimpaired Monthly Streamflow Data and Regionalisation of Parameter Values to Estimate Streamflow in Ungauged Catchments; National Land and Water Resources Audit: Melbourne, Australia, 2000. [Google Scholar]
- Vaze, J.; Teng, J. Future climate and runoff projections across New South Wales, Australia: Results and practical applications. Hydrol. Process. 2011, 25, 18–35. [Google Scholar] [CrossRef]
- Al-Safi, H.I.J.; Sarukkalige, P.R. The application of conceptual modelling approach to evaluate the impacts of climate change on the future streamflow in three unregulated catchments of the Australian hydrologic reference stations. Int. J. Hydrol. Sci. Technol. 2019, 9, 494. [Google Scholar] [CrossRef]
- CSIRO. Water Availability in the Campaspe. A Report to the Australian Government from the CSIRO Murray-Darling Basin Sustainable Yields Project; CSIRO: Canberra, Australia, 2008; pp. 30–120.
- Murray-Darling Basin Authority (MDBA). Available online: https://www.mdba.gov.au/water-management/catchments (accessed on 20 April 2021).
- Clarke, J.M.; Grose, M.; Thatcher, M.; Hernaman, V.; Heady, C.; Round, V.; Rafter, T.; Trenham, C.; Wilson, L. Victorian Climate Projections 2019 Technical Report; CSIRO: Melbourne, Australia, 2019.
- Abushandi, E.; Merkel, B. Modelling rainfall runoff relations using HEC-HMS and IHACRES for a single rain event in an arid region of Jordan. Water Resour. Manag. 2013, 27, 2391–2409. [Google Scholar] [CrossRef]
- Nikakhtar, M.; Rahmati, S.H.; Bavani, A.R.M. Impact of climate change on the future quality of surface waters: Case study of the Ardak River, northeast of Iran. J. Water Clim. Chang. 2020, 11, 685–702. [Google Scholar] [CrossRef] [Green Version]
- Croke, B.F.W.; Jakeman, A.J. Use of the IHACRES rainfall-runoff model in arid and semi arid regions. In Hydrological Modelling in Arid and Semi-Arid Areas; Wheater, H.S., Sorooshian, S., Sharma, K.D., Eds.; Cambridge University Press: Cambridge, UK, 2008; pp. 41–48. [Google Scholar]
- Ye, W.; Bates, B.C.; Viney, N.R.; Sivapalan, M.; Jakeman, A.J. Performance of conceptual rainfall runoff models in low-yielding ephemeral catchments. Water Resour. Res. 1997, 33, 153–166. [Google Scholar] [CrossRef]
- Yilmaz, A.G.; Muttil, N. Runoff estimation by machine learning methods and application to the Euphrates basin in Turkey. J. Hydrol. Eng. 2013, 19, 1015–1025. [Google Scholar] [CrossRef]
- Goulburn-Murray Water. Available online: https://www.g-mwater.com.au/water-resources/catchments/storages/campaspe/lakeeppalock (accessed on 26 April 2021).
- Bureau of Meteorology (BoM), Australia. Hydrologic Reference Stations. Available online: http://www.bom.gov.au/water/hrs/Last (accessed on 27 April 2021).







| Period | Temperature (°C) | Rainfall (mm) | ||||||
|---|---|---|---|---|---|---|---|---|
| Mean | Max | Min | Mean | Max | Min | |||
| Observed Data | 1981–2010 | 12.5 | 13.6 | 11.6 | 728 | 1139 | 378 | |
| MIROC near future | RCP4.5 | 2035–2064 | 13.8 | 15.0 | 12.8 | 726 | 1139 | 351 |
| RCP8.5 | 2035–2064 | 14.3 | 15.5 | 13.2 | 613 | 1097 | 284 | |
| MIROC late future | RCP4.5 | 2075–2104 | 14.5 | 15.7 | 13.4 | 619 | 1019 | 270 |
| RCP8.5 | 2075–2104 | 16.0 | 17.3 | 14.8 | 575 | 1010 | 259 | |
| MIROC Projected Rainfall | CSIRO Projected Rainfall | ||||||||
|---|---|---|---|---|---|---|---|---|---|
| Near Future Rainfall (mm) | Far Future Rainfall (mm) | Near Future Rainfall (mm) | Far Future Rainfall (mm) | ||||||
| Month | Observed Monthly Rainfall (mm) | RCP4.5 | RCP8.5 | RCP4.5 | RCP8.5 | RCP4.5 | RCP8.5 | RCP4.5 | RCP8.5 |
| Jan | 41 | 40 (0%) | 34 (−16%) | 37 (−8%) | 34 (−16%) | 37 (−10%) | 45 (12%) | 48 (19%) | 42 (3%) |
| Feb | 36 | 29 (−20%) | 36 (−1%) | 33 (−9%) | 35 (−4%) | 32 (−11%) | 22 (−40%) | 28 (−24%) | 16 (−55%) |
| Mar | 37 | 22 (−39%) | 30 (−20%) | 20 (−47%) | 24 (−35%) | 61 (64%) | 32 (−13%) | 33 (−10%) | 30 (−20%) |
| Apr | 45 | 48 (7%) | 42 (−6%) | 35 (−22%) | 31 (−31%) | 51 (15%) | 37 (−17%) | 55 (23%) | 33 (−26%) |
| May | 62 | 59 (−4%) | 46 (−26%) | 55 (−12%) | 55 (−11%) | 88 (43%) | 79 (28%) | 71 (15%) | 45 (−26%) |
| Jun | 91 | 100 (10%) | 66 (−27%) | 79 (−13%) | 64 (−30%) | 97 (7%) | 94 (4%) | 91 (0%) | 63 (−30%) |
| Jul | 81 | 63 (−21%) | 60 (−26%) | 67 (−17%) | 56 (−30%) | 73 (−9%) | 73 (−9%) | 78 (−3%) | 54 (−33%) |
| Aug | 84 | 97 (16%) | 70 (−16%) | 72 (−14%) | 57 (−32%) | 64 (−24%) | 75 (−10%) | 64 (−24%) | 43 (−48%) |
| Sep | 74 | 60 (−19%) | 53 (−28%) | 59 (−20%) | 34 (−54%) | 66 (−11%) | 46 (−38%) | 52 (−30%) | 40 (−46%) |
| Oct | 63 | 59 (−6%) | 54 (−14%) | 50 (−20%) | 50 (−21%) | 47 (−26%) | 51 (−19%) | 53 (−17%) | 48 (−24%) |
| Nov | 63 | 61 (−3%) | 48 (−24%) | 54 (−14%) | 55 (−13%) | 63 (0%) | 56 (−11%) | 53 (−16%) | 33 (−47%) |
| Dec | 53 | 87 (64%) | 74 (40%) | 58(10%) | 81 (53%) | 70 (32%) | 58 (10%) | 68 (29%) | 53 (0%) |
| Season | Near Future (2035–2064) | Far Future (2075–2104) | ||||||
|---|---|---|---|---|---|---|---|---|
| RCP 4.5 | RCP 8.5 | RCP 4.5 | RCP 8.5 | |||||
| CSIRO | MIROC | CSIRO | MIROC | CSIRO | MIROC | CSIRO | MIROC | |
| Spring | −12% | −10% | −22% | −20% | −24% | −18% | −40% | −36% |
| Summer | 4% | 15% | 1% | −20% | 1% | −11% | −22% | −14% |
| Fall | 40% | −12% | −23% | −9% | −4% | −26% | −34% | −23% |
| Winter | −9% | 1% | 7% | −26% | 4% | −14% | −30% | −24% |
| MIROC Projected Temperature | CSIRO Projected Temperature | ||||||||
|---|---|---|---|---|---|---|---|---|---|
| Near Future | Far Future | Near Future | Far Future | ||||||
| Month | Observed Monthly Temperature (°C) | RCP4.5 | RCP8.5 | RCP4.5 | RCP8.5 | RCP4.5 | RCP8.5 | RCP4.5 | RCP8.5 |
| Jan | 18.9 | 20.3 (1.4) | 21.1 (2.2) | 20.8 (1.9) | 22.5 (3.6) | 20.8 (1.9) | 21.2 (2.3) | 21.2 (2.3) | 23.6 (4.7) |
| Feb | 19.0 | 20.0 (1.0) | 20.4 (1.4) | 20.8 (1.8) | 21.5 (2.5) | 20.7 (1.7) | 20.7 (1.7) | 20.9 (1.9) | 22.9 (3.9) |
| Mar | 16.7 | 17.8 (1.0) | 18.0 (1.2) | 18.7 (2.0) | 20.1 (3.4) | 17.2 (0.5) | 18.0 (1.3) | 18.2 (1.5) | 20.5 (3.7) |
| Apr | 12.8 | 13.6 (0.7) | 13.7 (0.9) | 14.3 (1.4) | 16.1 (3.3) | 13.5 (.07) | 14.5 (1.7) | 14.5 (1.7) | 16.8 (4.0) |
| May | 9.8 | 10.3 (0.5) | 10.6 (0.8) | 11.0 (1.2) | 12.6 (2.8) | 10.4 (0.6) | 11.1 (1.3) | 11.2 (1.4) | 12.9 (3.1) |
| Jun | 7.1 | 8.1 (1.0) | 8.5 (1.4) | 8.5 (1.4) | 9.8 (2.7) | 7.8 (0.7) | 8.4 (1.3) | 8.7 (1.6) | 10.3 (3.2) |
| Jul | 6.3 | 7.1 (0.8) | 7.5 (1.2) | 7.6 (1.3) | 9.0 (2.6) | 7.6 (1.2) | 7.9 (1.5) | 8.1 (1.7) | 9.5 (3.1) |
| Aug | 7.3 | 8.5 (1.1) | 8.5 (1.2) | 8.9 (1.6) | 10.3 (3.0) | 8.7 (1.4) | 9.4 (2.1) | 9.4 (2.1) | 11.2 (3.9) |
| Sep | 9.3 | 10.9 (1.6) | 11.5 (2.3) | 11.7 (2.4) | 13.5 (4.3) | 11.6 (2.3) | 11.6 (2.4) | 12.0 (2.8) | 14.5 (5.2) |
| Oct | 11.8 | 13.5 (1.7) | 14.3 (2.5) | 14.2 (2.4) | 16.0 (4.3) | 14.1 (2.3) | 15.0 (3.3) | 15.1 (3.3) | 17.5 (5.7) |
| Nov | 14.7 | 16.6 (1.9) | 17.8 (3.1) | 17.8 (3.0) | 19.5 (4.8) | 16.9 (2.2) | 18.2 (3.5) | 18.1 (3.4) | 20.2 (5.5) |
| Dec | 16.8 | 19.2 (2.4) | 19.6 (2.8) | 19.7 (2.9) | 21.2 (4.4) | 18.5 (1.7) | 19.7 (2.9) | 19.6 (2.8) | 22.0 (5.2) |
| Season | Near Future (2035–2064) | Far Future (2075–2104) | ||||||
|---|---|---|---|---|---|---|---|---|
| RCP 4.5 | RCP 8.5 | RCP 4.5 | RCP 8.5 | |||||
| CSIRO | MIROC | CSIRO | MIROC | CSIRO | MIROC | CSIRO | MIROC | |
| Spring | 2.3 | 1.7 | 3.0 | 2.6 | 2.7 | 2.6 | 5.5 | 4.4 |
| Summer | 1.8 | 1.6 | 2.3 | 2.1 | 2.9 | 2.2 | 4.6 | 3.5 |
| Fall | 0.6 | 0.8 | 1.4 | 1.0 | 1.7 | 1.5 | 3.6 | 3.2 |
| Winter | 1.1 | 1.0 | 1.6 | 1.3 | 1.6 | 1.4 | 3.4 | 2.7 |
| MIROC Projected Streamflow | CSIRO Projected Streamflow | ||||||||
|---|---|---|---|---|---|---|---|---|---|
| Near Future | Far Future | Near Future | Far Future | ||||||
| Month | Observed Monthly Streamflow (ML/Month) | RCP4.5 | RCP8.5 | RCP4.5 | RCP8.5 | RCP4.5 | RCP8.5 | RCP4.5 | RCP8.5 |
| Jan | 413 | 7 (−98%) | 15 (−96%) | 0 (−100%) | 0 (−100%) | 0 (−100%) | 0 (−100%) | 0 (−100%) | 0 (−100%) |
| Feb | 102 | 0 (−100%) | 0 (−100%) | 0 (−100%) | 0 (−100%) | 0 (−100%) | 0 (−100%) | 0 (−100%) | 0 (−100%) |
| Mar | 156 | 0 (−100%) | 0 (−100%) | 0 (−100%) | 0 (−100%) | 18 (−89%) | 0 (−100%) | 0 (−100%) | 0 (−100%) |
| Apr | 177 | 0 (−100%) | 0 (−100%) | 0 (−100%) | 0 (−100%) | 0 (−100%) | 0 (−100%) | 0 (−100%) | 0 (−100%) |
| May | 663 | 0 (−100%) | 0( −100%) | 0 (−100%) | 0 (−100%) | 1303 (97%) | 161 (−76%) | 32 (−95%) | 0 (−100%) |
| Jun | 4924 | 4281 (−13%) | 476 (−90%) | 1293 (74%) | 957 (−81%) | 6356 (29%) | 2949 (−40%) | 1978( −60%) | 1 (−100%) |
| Jul | 12297 | 4600 (−63%) | 1043 (−92%) | 2319 (81%) | 684 (−94%) | 9121 (−26%) | 5587 (−55%) | 5453 (−56%) | 68 (−99%) |
| Aug | 15663 | 11403 (−27%) | 4891 (−69%) | 3969 (75%) | 875 (−94%) | 7207 (−54%) | 7113 (−55%) | 4539 (−71%) | 315 (−98%) |
| Sep | 14893 | 7458 (−50%) | 4219 (−72%) | 3538 (76%) | 71 (−100%) | 7372 (−51%) | 3065 (−79%) | 2821 (−81%) | 137 (−99%) |
| Oct | 8224 | 3648 (−56%) | 1352 (−84%) | 1364 (83%) | 0 (−100%) | 1718 (−79%) | 991 (−88%) | 1241 (−85%) | 0 (−100%) |
| Nov | 4321 | 1419 (−67%) | 201 (−95%) | 704 (84%) | 563 (87%) | 699 (−84%) | 1026 (−76%) | 1302 (−70%) | 0 (−100%) |
| Dec | 2261 | 2381 (6%) | 3690 (63%) | 41 (98%) | 6423 (72%) | 424 (−81%) | 10 (−100%) | 88 (−96%) | 0 (−100%) |
| Season | Near Future (2035–2064) | Far Future (2075–2104) | ||||||
|---|---|---|---|---|---|---|---|---|
| RCP 4.5 | RCP 8.5 | RCP 4.5 | RCP 8.5 | |||||
| CSIRO | MIROC | CSIRO | MIROC | CSIRO | MIROC | CSIRO | MIROC | |
| Spring | −71% | −58% | −74% | −75% | −79% | −78% | −99% | −98% |
| Summer | −94% | −64% | −88% | −96% | −85% | −92% | −100% | −93% |
| Fall | −31% | −100% | −100% | −100% | −100% | −100% | −100% | −100% |
| Winter | −17% | −34% | −57% | −94% | −70% | −85% | −100% | −92% |
Publisher’s Note: MDPI stays neutral with regard to jurisdictional claims in published maps and institutional affiliations. |
© 2021 by the authors. Licensee MDPI, Basel, Switzerland. This article is an open access article distributed under the terms and conditions of the Creative Commons Attribution (CC BY) license (https://creativecommons.org/licenses/by/4.0/).
Share and Cite
Yilmaz, A.G.; Atabay, S.; Amou Assar, K.H.; Imteaz, M.A. Climate Change Impacts on Inflows into Lake Eppalock Reservoir from Upper Campaspe Catchment. Hydrology 2021, 8, 108. https://doi.org/10.3390/hydrology8030108
Yilmaz AG, Atabay S, Amou Assar KH, Imteaz MA. Climate Change Impacts on Inflows into Lake Eppalock Reservoir from Upper Campaspe Catchment. Hydrology. 2021; 8(3):108. https://doi.org/10.3390/hydrology8030108
Chicago/Turabian StyleYilmaz, Abdullah Gokhan, Serter Atabay, Kimia Haji Amou Assar, and Monzur Alam Imteaz. 2021. "Climate Change Impacts on Inflows into Lake Eppalock Reservoir from Upper Campaspe Catchment" Hydrology 8, no. 3: 108. https://doi.org/10.3390/hydrology8030108
APA StyleYilmaz, A. G., Atabay, S., Amou Assar, K. H., & Imteaz, M. A. (2021). Climate Change Impacts on Inflows into Lake Eppalock Reservoir from Upper Campaspe Catchment. Hydrology, 8(3), 108. https://doi.org/10.3390/hydrology8030108

