Soil Erosion Quantification using Machine Learning in Sub-Watersheds of Northern Portugal
Abstract
1. Introduction
2. Study Area
3. Materials and Methods
3.1. Controlling Factors
3.1.1. Morphometric Factors
3.1.2. Surface Data
3.1.3. TWI
3.1.4. Burned Area and Fire Recurrence in Watershed
3.2. Target Variable
Soil Erosion
3.3. Machine Learning
4. Results
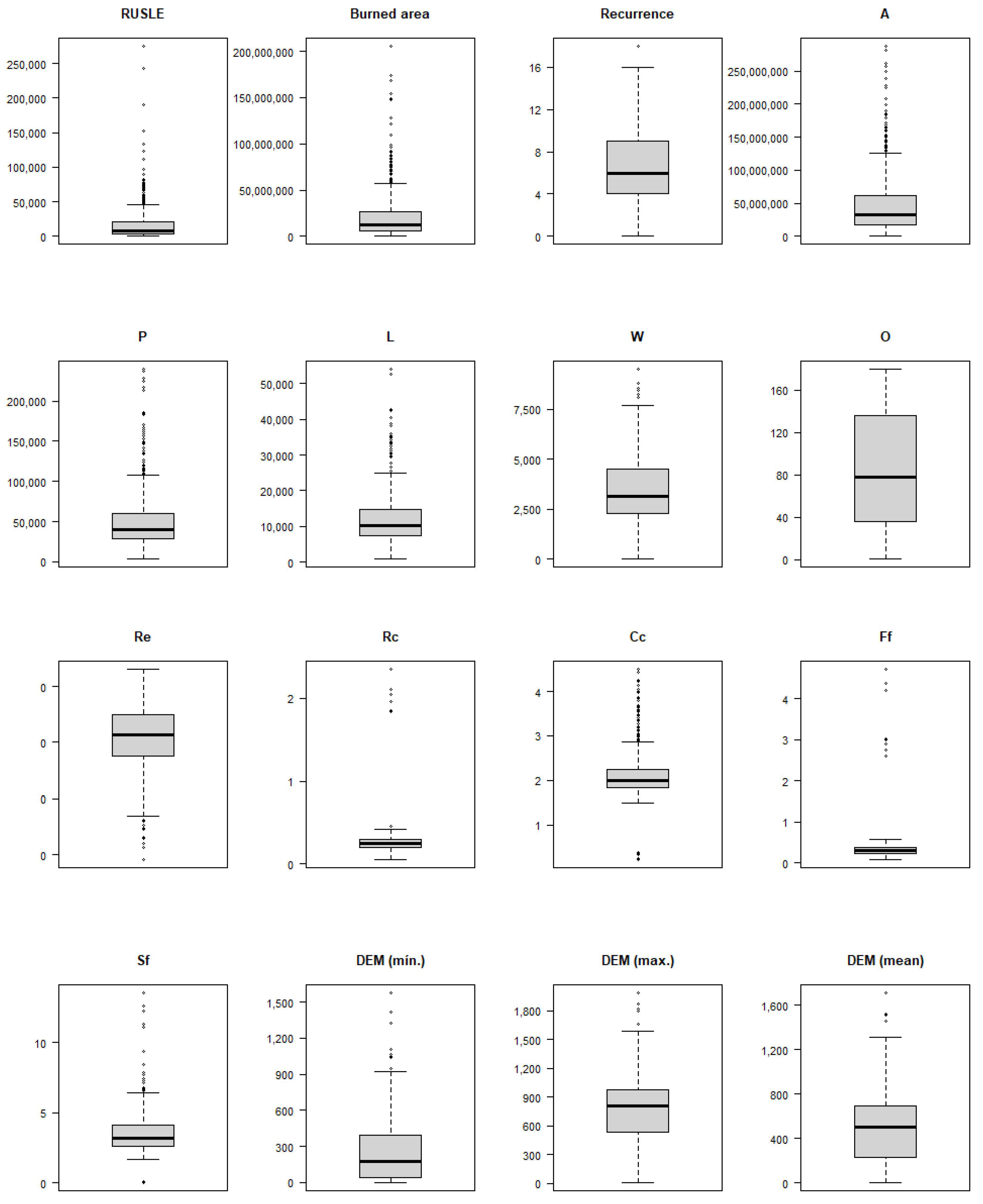
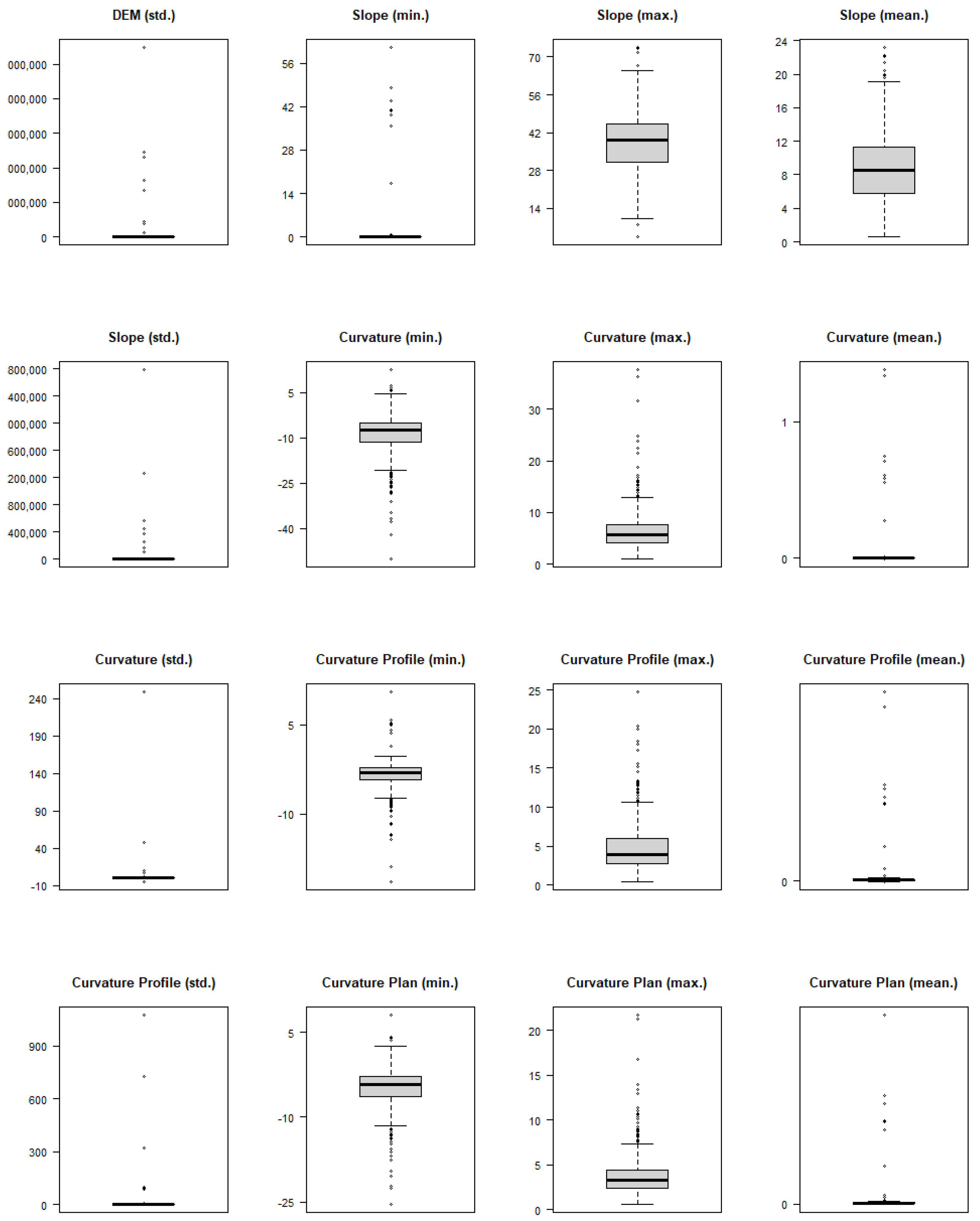
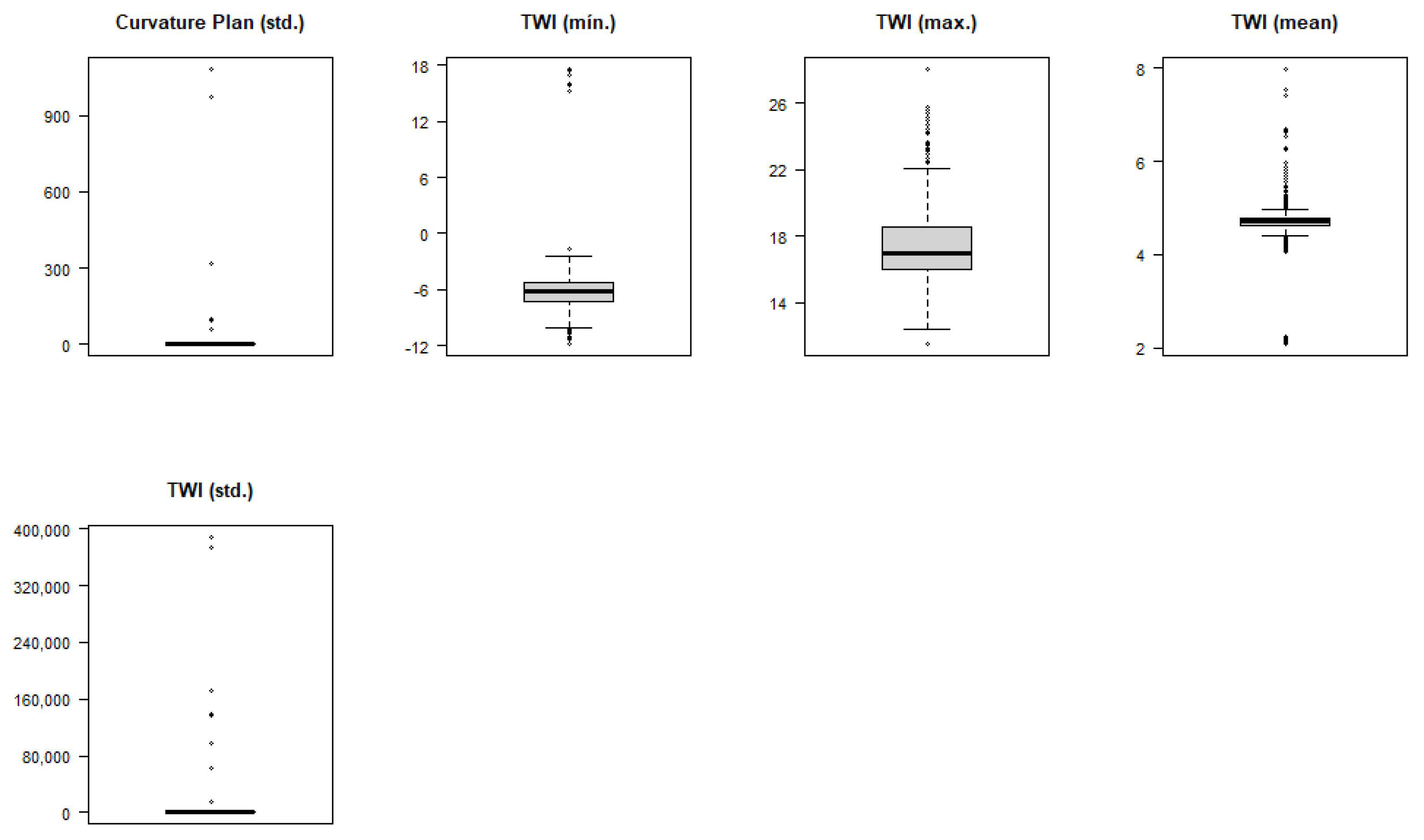
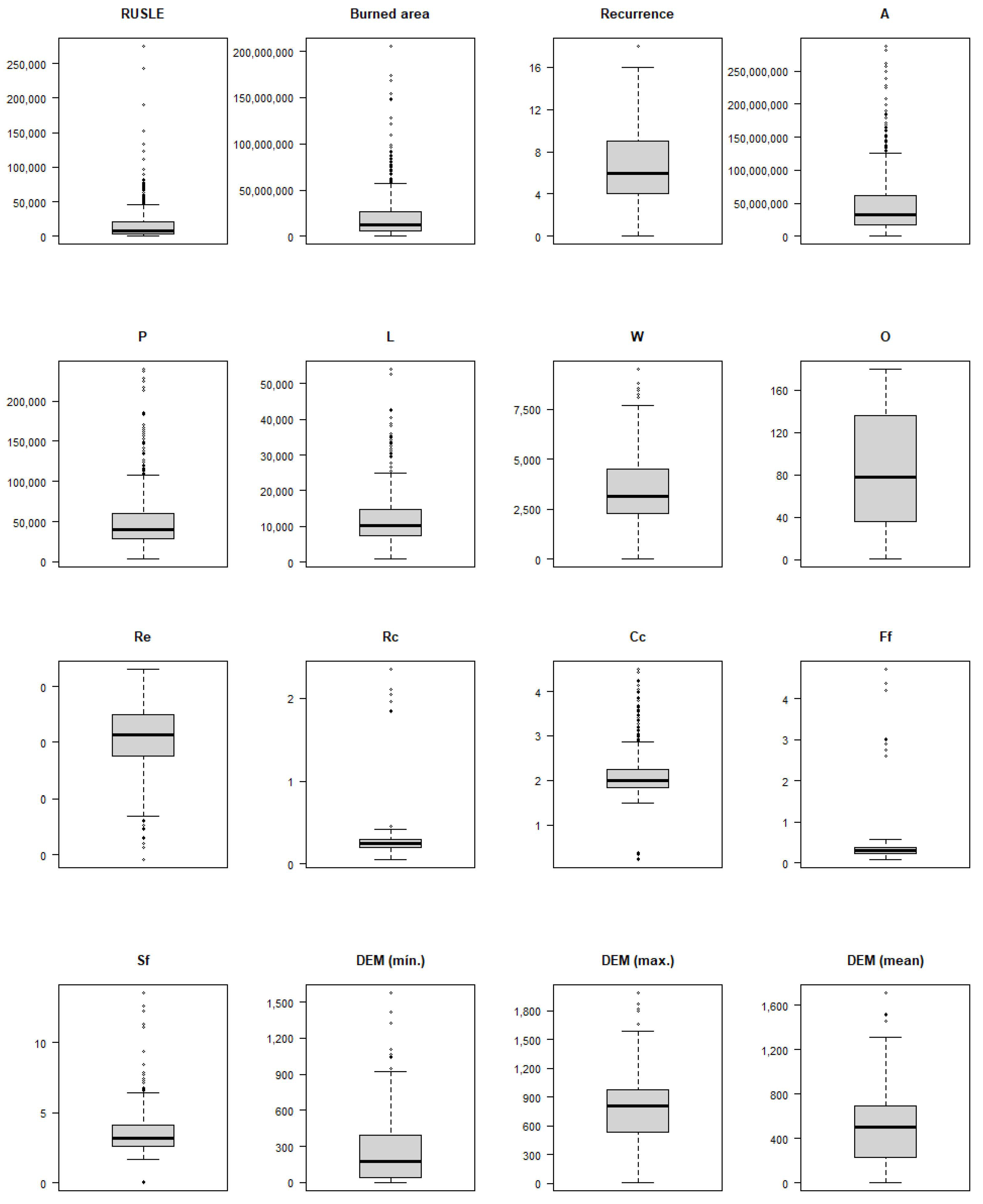
4.1. Descriptive Statistic
4.2. Variable Importance
4.3. Machine Learning
4.4. Soil Erosion and Protected Areas
5. Discussion and Conclusions
Author Contributions
Funding
Data Availability Statement
Conflicts of Interest
Appendix A



References
- Carracedo, V.; Cunill, R.; García-Codron, J.C.; Pèlachs, A.; Pérez-Obiol, R.; Soriano, J.M. History of Fires and Vegetation since the Neolithic in the Cantabrian Mountains (Spain). Land Degrad. Dev. 2018, 29, 2060–2072. [Google Scholar] [CrossRef]
- Iriarte-Goñi, I.; Ayuda, M.-I. Should Forest Transition Theory Include Effects on Forest Fires? The Case of Spain in the Second Half of the Twentieth Century. Land Use Policy 2018, 76, 789–797. [Google Scholar] [CrossRef]
- Mateus, P.; Fernandes, P.M. Forest Fires in Portugal: Dynamics, Causes and Policies. In Forest Context and Policies in Portugal; Reboredo, F., Ed.; Springer: Cham, Switzerland, 2014; pp. 97–115. [Google Scholar]
- Nauslar, N.; Abatzoglou, J.; Marsh, P. The 2017 North Bay and Southern California Fires: A Case Study. Fire 2018, 1, 18. [Google Scholar] [CrossRef]
- Russell-Smith, J.; McCaw, L.; Leavesley, A. Adaptive Prescribed Burning in Australia for the Early 21st Century—Context, Status, Challenges. Int. J. Wildl. Fire 2020, 29, 305. [Google Scholar] [CrossRef]
- Tedim, F.; Remelgado, R.; Borges, C.; Carvalho, S.; Martins, J. Exploring the Occurrence of Mega-Fires in Portugal. For. Ecol. Manag. 2013, 294, 86–96. [Google Scholar] [CrossRef]
- Ferreira-Leite, F.; Bento-Gonçalves, A.; Vieira, A.; Vinha, L. Forest Fires in Portugal—Brief Characterization. In Wildland Fires: A Worldwide Reality; Bento-Gonçalves, A., Vieira, A., Eds.; Nova Science Publishers, Inc.: Hauppauge, NY, USA, 2015; pp. 115–125. [Google Scholar]
- Bento-Gonçalves, A.; Vieira, A.; Úbeda, X.; Martin, D. Fire and Soils: Key Concepts and Recent Advances. Geoderma 2012, 191, 3–13. [Google Scholar] [CrossRef]
- Ferreira-Leite, F.; Bento-Gonçalves, A.; Vieira, A.; Nunes, A.; Lourenço, L. Incidence and Recurrence of Large Forest Fires in Mainland Portugal. Nat. Hazards 2016, 84, 1035–1053. [Google Scholar] [CrossRef]
- Keeley, J.E.; Bond, W.J.; Bradstock, R.A.; Pausas, J.G.; Rundel, P.W. Fire in the Mediterranean Basin. In Fire in Mediterranean Ecosystems; Cambridge University Press: Cambridge, UK, 2011; pp. 83–112. [Google Scholar]
- Bento-Gonçalves, A.; Vieira, A.; Ferreira-Leite, F.; Malta, P.; da Vinha, L. Climate Change and Forest Fires in the Ave Region. In Woodlands: Structure, Species Diversity and Sustainable Management; Manzanares, L., Ed.; Nova Science Publishers, Inc.: New York, NY, USA, 2013; pp. 75–98. ISBN 978-1-62618-178-6. [Google Scholar]
- Brauman, K.A.; Daily, G.C.; Duarte, T.K.; Mooney, H.A. The Nature and Value of Ecosystem Services: An Overview Highlighting Hydrologic Services. Annu. Rev. Environ. Resour. 2007, 32, 67–98. [Google Scholar] [CrossRef]
- Bakker, K. Water Security: Research Challenges and Opportunities. Science 2012, 337, 914–915. [Google Scholar] [CrossRef]
- Grey, D.; Sadoff, C.W. Sink or Swim? Water Security for Growth and Development. Water Policy 2007, 9, 545–571. [Google Scholar] [CrossRef]
- Andreu, V.; Imeson, A.; Rubio, J. Temporal Changes in Soil Aggregates and Water Erosion after a Wildfire in a Mediterranean Pine Forest. CATENA 2001, 44, 69–84. [Google Scholar] [CrossRef]
- Shakesby, R.A. Post-Wildfire Soil Erosion in the Mediterranean: Review and Future Research Directions. Earth Sci. Rev. 2011, 105, 71–100. [Google Scholar] [CrossRef]
- Bento-Gonçalves, A.; Vieira, A.; Baptista, G.; Rocha, J.; Santos, S.M.B. The 2017 Large Wildfire of Braga—Evaluation of the Different Conditions of the Burned Vegetation. GeoEcoTrop 2019, 43, 627–640. [Google Scholar]
- Vieira, A.; Bento-Goncalves, A.; Costa, F.; Vinha, L.M.; Ferreira-Leite, F. Mountain Slopes Protection and Stabilization after Forest Fires in Mediterranean Areas Research Developed in Mountain Areasin Portugal. In Open Channel Hydraulics, River Hydraulic Structures and Fluvial Geomorphology; CRC Press: Boca Raton, FL, USA, 2017; pp. 452–476. [Google Scholar]
- Moody, J.A.; Martin, D.A.; Cannon, S.H. Post-Wildfire Erosion Response in Two Geologic Terrains in the Western USA. Geomorphology 2008, 95, 103–118. [Google Scholar] [CrossRef]
- Prosser, I.P.; Williams, L. The Effect of Wildfire on Runoff and Erosion in Native Eucalyptus Forest. Hydrol. Process. 1998, 12, 251–265. [Google Scholar] [CrossRef]
- Scott, D.F. The Contrasting Effects of Wildfire and Clearfelling o the Hydrology of a Small Catchment. Hydrol. Process. 1997, 11, 543–555. [Google Scholar] [CrossRef]
- Seibert, J.; McDonnell, J.J.; Woodsmith, R.D. Effects of Wildfire on Catchment Runoff Response: A Modeling Approach to Detect Changes in Snow-Dominated Forested Catchments. Hydrol. Res. 2010, 41, 378–390. [Google Scholar] [CrossRef]
- Haregeweyn, N.; Berhe, A.; Tsunekawa, A.; Tsubo, M.; Meshesha, D.T. Integrated Watershed Management as an Effective Approach to Curb Land Degradation: A Case Study of the Enabered Watershed in Northern Ethiopia. Environ. Manag. 2012, 50, 1219–1233. [Google Scholar] [CrossRef]
- Fenta, A.A.; Yasuda, H.; Shimizu, K.; Haregeweyn, N.; Negussie, A. Dynamics of Soil Erosion as Influenced by Watershed Management Practices: A Case Study of the Agula Watershed in the Semi-Arid Highlands of Northern Ethiopia. Environ. Manag. 2016, 58, 889–905. [Google Scholar] [CrossRef]
- Teka, K.; Haftu, M.; Ostwald, M.; Cederberg, C. Can Integrated Watershed Management Reduce Soil Erosion and Improve Livelihoods? A Study from Northern Ethiopia. Int. Soil Water Conserv. Res. 2020, 8, 266–276. [Google Scholar] [CrossRef]
- Sahour, H.; Gholami, V.; Vazifedan, M.; Saeedi, S. Machine Learning Applications for Water-Induced Soil Erosion Modeling and Mapping. Soil Tillage Res. 2021, 211, 105032. [Google Scholar] [CrossRef]
- Nguyen, K.A.; Chen, W.; Lin, B.-S.; Seeboonruang, U. Using Machine Learning-Based Algorithms to Analyze Erosion Rates of a Watershed in Northern Taiwan. Sustainability 2020, 12, 2022. [Google Scholar] [CrossRef]
- Nguyen, K.; Chen, W. DEM- and GIS-Based Analysis of Soil Erosion Depth Using Machine Learning. ISPRS Int. J. Geo-Inf. 2021, 10, 452. [Google Scholar] [CrossRef]
- Lecours, V.; Devillers, R.; Simms, A.E.; Lucieer, V.L.; Brown, C.J. Towards a Framework for Terrain Attribute Selection in Environmental Studies. Environ. Model. Softw. 2017, 89, 19–30. [Google Scholar] [CrossRef]
- Bishop, M.P.; Young, B.W.; Huo, D. Geomorphometry: Quantitative Land-Surface Analysis and Modeling. In Reference Module in Earth Systems and Environmental Sciences; Elsevier: Amsterdam, The Netherlands, 2018. [Google Scholar]
- Sofia, G. Combining Geomorphometry, Feature Extraction Techniques and Earth-Surface Processes Research: The Way Forward. Geomorphology 2020, 355, 107055. [Google Scholar] [CrossRef]
- Horton, R.E. Erosional Development of Streams and Their Drainage Basins: Hidrophysical Approach to Quantitative Morphology. Bull. Geol. Soc. Am. 1945, 56, 275–370. [Google Scholar] [CrossRef]
- Pande, C.B.; Moharir, K. GIS Based Quantitative Morphometric Analysis and Its Consequences: A Case Study from Shanur River Basin, Maharashtra India. Appl. Water Sci. 2017, 7, 861–871. [Google Scholar] [CrossRef]
- Sukristiyanti, S.; Maria, R.; Lestiana, H. Watershed-Based Morphometric Analysis: A Review. IOP Conf. Ser. Earth Environ. Sci. 2018, 118, 012028. [Google Scholar] [CrossRef]
- Kashani, M.H.; Ghorbani, M.A.; Shahabi, M.; Naganna, S.R.; Diop, L. Multiple AI Model Integration Strategy—Application to Saturated Hydraulic Conductivity Prediction from Easily Available Soil Properties. Soil Tillage Res. 2020, 196, 104449. [Google Scholar] [CrossRef]
- Sahour, H.; Gholami, V.; Vazifedan, M. A Comparative Analysis of Statistical and Machine Learning Techniques for Mapping the Spatial Distribution of Groundwater Salinity in a Coastal Aquifer. J. Hydrol. 2020, 591, 125321. [Google Scholar] [CrossRef]
- Garosi, Y.; Sheklabadi, M.; Conoscenti, C.; Pourghasemi, H.R.; Van Oost, K. Assessing the Performance of GIS- Based Machine Learning Models with Different Accuracy Measures for Determining Susceptibility to Gully Erosion. Sci. Total Environ. 2019, 664, 1117–1132. [Google Scholar] [CrossRef]
- Rahmati, O.; Tahmasebipour, N.; Haghizadeh, A.; Pourghasemi, H.R.; Feizizadeh, B. Evaluation of Different Machine Learning Models for Predicting and Mapping the Susceptibility of Gully Erosion. Geomorphology 2017, 298, 118–137. [Google Scholar] [CrossRef]
- Schirpke, U.; Scolozzi, R.; Concetti, B.; Comini, B.; Tappeiner, U. Supporting the Management of Ecosystem Services in Protected Areas: Trade-Offs Between Effort and Accuracy in Evaluation. J. Environ. Assess. Policy Manag. 2017, 19, 1750007. [Google Scholar] [CrossRef]
- Pisani, D.; Pazienza, P.; Perrino, E.V.; Caporale, D.; De Lucia, C. The Economic Valuation of Ecosystem Services of Biodiversity Components in Protected Areas: A Review for a Framework of Analysis for the Gargano National Park. Sustainability 2021, 13, 11726. [Google Scholar] [CrossRef]
- González-García, A.; Palomo, I.; González, J.A.; García-Díez, V.; García-Llorente, M.; Montes, C. Biodiversity and Ecosystem Services Mapping: Can It Reconcile Urban and Protected Area Planning? Sci. Total Environ. 2022, 803, 150048. [Google Scholar] [CrossRef]
- Knicker, H. How Does Fire Affect the Nature and Stability of Soil Organic Nitrogen and Carbon? A Review. Biogeochemistry 2007, 85, 91–118. [Google Scholar] [CrossRef]
- Bahadori, A.; Holt, W.E.; Feng, R.; Austermann, J.; Loughney, K.M.; Salles, T.; Moresi, L.; Beucher, R.; Lu, N.; Flesch, L.M.; et al. Coupled Influence of Tectonics, Climate, and Surface Processes on Landscape Evolution in Southwestern North America. Nat. Commun. 2022, 13, 4437. [Google Scholar] [CrossRef]
- Cui, L.; Li, G.; Chen, Y.; Li, L. Response of Landscape Evolution to Human Disturbances in the Coastal Wetlands in Northern Jiangsu Province, China. Remote Sens. 2021, 13, 2030. [Google Scholar] [CrossRef]
- Gudowicz, J.; Paluszkiewicz, R. MAT: GIS-Based Morphometry Assessment Tools for Concave Landforms. Remote Sens. 2021, 13, 2810. [Google Scholar] [CrossRef]
- Sreedevi, P.D.; Owais, S.; Khan, H.H.; Ahmed, S. Morphometric Analysis of a Watershed of South India Using SRTM Data and GIS. Geol. Soc. India 2009, 73, 543–552. [Google Scholar] [CrossRef]
- Rai, P.K.; Mohan, K.; Mishra, S.; Ahmad, A.; Mishra, V.N. A GIS-Based Approach in Drainage Morphometric Analysis of Kanhar River Basin, India. Appl. Water Sci. 2017, 7, 217–232. [Google Scholar] [CrossRef]
- Dinh, T.V.; Nguyen, H.; Tran, X.-L.; Hoang, N.-D. Predicting Rainfall-Induced Soil Erosion Based on a Hybridization of Adaptive Differential Evolution and Support Vector Machine Classification. Math. Probl. Eng. 2021, 2021, 6647829. [Google Scholar] [CrossRef]
- Elhag, M.; Hidayatulloh, A.; Bahrawi, J.; Chaabani, A.; Budiman, J. Using Inconsistencies of Wadi Morphometric Parameters to Understand Patterns of Soil Erosion. Arab. J. Geosci. 2022, 15, 1299. [Google Scholar] [CrossRef]
- Ameri, A.A.; Pourghasemi, H.R.; Cerda, A. Erodibility Prioritization of Sub-Watersheds Using Morphometric Parameters Analysis and Its Mapping: A Comparison among TOPSIS, VIKOR, SAW, and CF Multi-Criteria Decision Making Models. Sci. Total Environ. 2018, 613–614, 1385–1400. [Google Scholar] [CrossRef] [PubMed]
- Perreault, L.M.; Yager, E.M.; Aalto, R. Effects of Gradient, Distance, Curvature and Aspect on Steep Burned and Unburned Hillslope Soil Erosion and Deposition. Earth Surf. Process. Landf. 2017, 42, 1033–1048. [Google Scholar] [CrossRef]
- Di Stefano, C.; Ferro, V.; Porto, P.; Tusa, G. Slope Curvature Influence on Soil Erosion and Deposition Processes. Water Resour. Res. 2000, 36, 607–617. [Google Scholar] [CrossRef]
- Getnet, T.; Mulu, A. Assessment of Soil Erosion Rate and Hotspot Areas Using RUSLE and Multi-Criteria Evaluation Technique at Jedeb Watershed, Upper Blue Nile, Amhara Region, Ethiopia. Environ. Challenges 2021, 4, 100174. [Google Scholar] [CrossRef]
- Sharma, A. Integrating Terrain and Vegetation Indices for Identifying Potential Soil Erosion Risk Area. Geo-Spat. Inf. Sci. 2010, 13, 201–209. [Google Scholar] [CrossRef]
- Haile, M.M. Application of Geospatial Technology Coupled with Fuzzy Logic Operations in Mapping Soil-Erosion Critical Zones: The Case of Guder Sub-Basin, Upper Blue Nile Basin, Ethiopia. Appl. Water Sci. 2022, 12, 195. [Google Scholar] [CrossRef]
- Panagos, P.; Borrelli, P.; Poesen, J.; Ballabio, C.; Lugato, E.; Meusburger, K.; Montanarella, L.; Alewell, C. The New Assessment of Soil Loss by Water Erosion in Europe. Environ. Sci. Policy 2015, 54, 438–447. [Google Scholar] [CrossRef]
- Madarász, B.; Jakab, G.; Szalai, Z.; Juhos, K.; Kotroczó, Z.; Tóth, A.; Ladányi, M. Long-Term Effects of Conservation Tillage on Soil Erosion in Central Europe: A Random Forest-Based Approach. Soil Tillage Res. 2021, 209, 104959. [Google Scholar] [CrossRef]
- Paul, S.S.; Li, J.; Li, Y.; Shen, L. Assessing Land Use–Land Cover Change and Soil Erosion Potential Using a Combined Approach through Remote Sensing, RUSLE and Random Forest Algorithm. Geocarto Int. 2021, 36, 361–375. [Google Scholar] [CrossRef]
- Jiang, C.; Fan, W.; Yu, N.; Liu, E. Spatial Modeling of Gully Head Erosion on the Loess Plateau Using a Certainty Factor and Random Forest Model. Sci. Total Environ. 2021, 783, 147040. [Google Scholar] [CrossRef]
- Pourghasemi, H.R.; Jirandeh, A.G.; Pradhan, B.; Xu, C.; Gokceoglu, C. Landslide Susceptibility Mapping Using Support Vector Machine and GIS at the Golestan Province, Iran. J. Earth Syst. Sci. 2013, 122, 349–369. [Google Scholar] [CrossRef]
- Onyelowe, K.C.; Gnananandarao, T.; Ebid, A.M. Estimation of the Erodibility of Treated Unsaturated Lateritic Soil Using Support Vector Machine-Polynomial and -Radial Basis Function and Random Forest Regression Techniques. Clean. Mater. 2022, 3, 100039. [Google Scholar] [CrossRef]
- Kamran, K.V.; Feizizadeh, B.; Khorrami, B.; Ebadi, Y. A Comparative Approach of Support Vector Machine Kernel Functions for GIS-Based Landslide Susceptibility Mapping. Appl. Geomat. 2021, 13, 837–851. [Google Scholar] [CrossRef]
- Strahler, A.N. Quantitative Geomorphology of Drainage Basins and Channel Networks. In Handbook of Applied Hidrology; Chow, V.T., Ed.; McGraw-Hill: New York, NY, USA, 1964; pp. 4.39–4.76. [Google Scholar]
- Ferreira, A.B. Neotectonics in Northern Portugal: A Geomorphological Approach. Géomorphologie 1991, 82, 73–85. [Google Scholar]
- Vieira, A.; Bento-Gonçalves, A. Soil Degradation and Conservation: A General Overview. In Soil Conservation: Strategies, Management and Challenges; Nova Science Publishers: New York, NY, USA, 2021; pp. 1–30. [Google Scholar]
- Gray, D. Effect of Slope Shape on Soil Erosion. J. Civ. Environ. Eng. 2016, 6. [Google Scholar] [CrossRef]
- Cunha, L. (Physical) Geography and Environmental Issues in Portugal. In Geographies of Mediterranean Europe; Lois-González, R.C., Ed.; Springer: Berlin/Heidelberg, Germany, 2021; pp. 105–120. [Google Scholar]
- Verheijen, F.G.A.; Jones, R.J.A.; Rickson, R.J.; Smith, C.J.; Bastos, A.C.; Nunes, J.P.; Keizer, J.J. Concise Overview of European Soil Erosion Research and Evaluation. Acta Agric. Scand. Sect. B Soil Plant Sci. 2012, 62, 185–190. [Google Scholar] [CrossRef]
- Germanoski, D.; Miller, J.R. Geomorphic Response to Wildifere in an Arid Watershed, Crow Canyon, Nevada. Phys. Geogr. 1995, 16, 243–256. [Google Scholar] [CrossRef]
- Sánchez Sánchez, Y.; Martínez Graña, A.; Santos- Francés, F. Remote Sensing Calculation of the Influence of Wildfire on Erosion in High Mountain Areas. Agronomy 2021, 11, 1459. [Google Scholar] [CrossRef]
- Sharkesby, R.A.; Doerr, S.H. Wildfire as a Hydrological and Geomorphological Agent. Earth Science Rev. 2006, 74, 269–307. [Google Scholar] [CrossRef]
- Nunes, L.; Raposo, M.; Pinto Gomes, C. A Historical Perspective of Landscape and Human Population Dynamics in Guimarães (Northern Portugal): Possible Implications of Rural Fire Risk in a Changing Environment. Fire 2021, 4, 49. [Google Scholar] [CrossRef]
- Lourenco, L.; Nunes, A.N.; Bento-Goncalves, A.; Vieir, A. Soil Erosion After Wildfires in Portugal: What Happens When Heavy Rainfall Events Occur? In Research on Soil Erosion; InTech Open: London, UK, 2012. [Google Scholar]
- Pereira, P.; Mierauskas, P.; Ubeda, X.; Mataix-Solera, J.; Cerda, A. Fire in Protected Areas—The Effect of Protection and Importance of Fire Management. Environ. Res. Eng. Manag. 2012, 59, 52–62. [Google Scholar] [CrossRef]





| MAE | RMSE | R2 | |||||||
|---|---|---|---|---|---|---|---|---|---|
| Min. | Median | Max. | Min. | Median | Max. | Min. | Median | Max. | |
| RF | 4469.17 | 7574.94 | 11,544.22 | 7737.58 | 13,546.85 | 34,292.61 | 0.359 | 0.619 | 0.875 |
| SVMlinear | 5891.86 | 8098.76 | 12,305.01 | 9748.46 | 14,680.58 | 37,892.09 | 0.116 | 0.542 | 0.732 |
| SVMpoly | 4232.06 | 6723.43 | 10,659.13 | 6483.56 | 12,180.34 | 32,388.67 | 0.475 | 0.689 | 0.836 |
Disclaimer/Publisher’s Note: The statements, opinions and data contained in all publications are solely those of the individual author(s) and contributor(s) and not of MDPI and/or the editor(s). MDPI and/or the editor(s) disclaim responsibility for any injury to people or property resulting from any ideas, methods, instructions or products referred to in the content. |
© 2022 by the authors. Licensee MDPI, Basel, Switzerland. This article is an open access article distributed under the terms and conditions of the Creative Commons Attribution (CC BY) license (https://creativecommons.org/licenses/by/4.0/).
Share and Cite
Folharini, S.; Vieira, A.; Bento-Gonçalves, A.; Silva, S.; Marques, T.; Novais, J. Soil Erosion Quantification using Machine Learning in Sub-Watersheds of Northern Portugal. Hydrology 2023, 10, 7. https://doi.org/10.3390/hydrology10010007
Folharini S, Vieira A, Bento-Gonçalves A, Silva S, Marques T, Novais J. Soil Erosion Quantification using Machine Learning in Sub-Watersheds of Northern Portugal. Hydrology. 2023; 10(1):7. https://doi.org/10.3390/hydrology10010007
Chicago/Turabian StyleFolharini, Saulo, António Vieira, António Bento-Gonçalves, Sara Silva, Tiago Marques, and Jorge Novais. 2023. "Soil Erosion Quantification using Machine Learning in Sub-Watersheds of Northern Portugal" Hydrology 10, no. 1: 7. https://doi.org/10.3390/hydrology10010007
APA StyleFolharini, S., Vieira, A., Bento-Gonçalves, A., Silva, S., Marques, T., & Novais, J. (2023). Soil Erosion Quantification using Machine Learning in Sub-Watersheds of Northern Portugal. Hydrology, 10(1), 7. https://doi.org/10.3390/hydrology10010007

