A Review on Ethno-Medicinal and Pharmacological Activities of Sphenocentrum jollyanum Pierre
Abstract
:1. Introduction
2. Plant Description
3. Ethno-Medicinal Uses
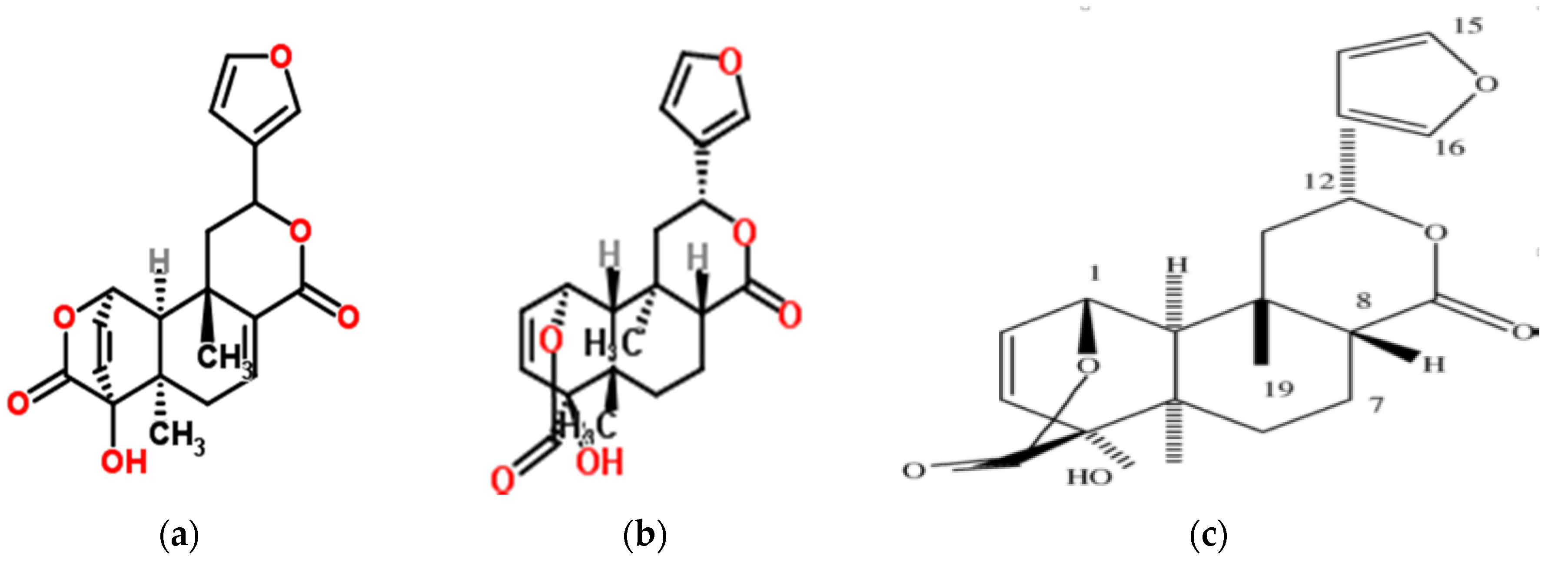
4. Phytochemical and Proximate Analysis
5. Pharmacological and Biological Activities
5.1. Anti-Diabetic Activity
5.2. Antioxidant Activity
5.3. Anti-Inflammatory
5.4. Anti-Allergy Activities
5.5. Anti-Malarial Activities
5.6. Anti-Bacterial Activities
5.7. Anti-Viral Activities
5.8. Haematological Activities
5.9. Effect on Weight
5.10. Hepatoprotective and Toxicological Studies
5.11. Hypolipidemic Activity
5.12. Antidepressant Activity
5.13. Anxiogenic Activity
5.14. Anti-Angiogenic Activity
5.15. Antipyretic and Analgesic Activities
5.16. Reproductive and Sexual Activity
6. Conclusions
Author Contributions
Conflicts of Interest
References
- Tiwari, A.K.; Mehta, R. Medicinal plants used by traditional healers in Jashpur district of Chhattisgarh India. Life Sci. Leafl. 2013, 1, 31–41. [Google Scholar]
- Newman, D.J.; Cragg, G.M. Natural products as sources of new drugs over the 30 years from 1981 to 2010. J. Nat. Prod. 2012, 75, 311–335. [Google Scholar] [CrossRef] [PubMed]
- Farnsworth, N.R.; Akerele, O.; Bingel, A. Medicinal plants in therapy. Bull. World Health Organ. 1985, 63, 965–981. [Google Scholar]
- Nia, R.; Paper, D.H.; Essien, E.E. Evaluation of the anti-oxidant and anti-angiogenic effects of Sphenocentrum jollyanum Pierre. Afr. J. Biomed. Res. 2004, 7, 129–132. [Google Scholar]
- Amidu, N. An Evaluation of the Central and Sexual Behavioral Effects and Toxicity of the Root Extract of Sphenocentrum jollyanum Pierre (Menispermaceae). Ph.D. Thesis, Department of Molecular Medicine, Kwame Nkrumah University of Science & Technology, Kumasi, Ghana, 2008. [Google Scholar]
- Dalziel, J.M. The Useful Plants of West Tropical Africa; Crown Agents: London, UK, 1985. [Google Scholar]
- Iwu, M.M. Handbook of African Medicinal Plants; CRC Press: Boca Raton, FL, USA, 1993; p. 239. [Google Scholar]
- Abbiw, D.K. Useful Plants of Ghana; Intermediate Technology Publications and Royal Botanic Gardens: Kew, UK, 1990. [Google Scholar]
- Neuwinger, H.D. African Ethno Botany: Poisons and Drugs; Chapman and Hall: London, UK, 1996. [Google Scholar]
- Irvine, F.R. Woody Plants of Ghana: With Special Reference to the Uses; Oxford University Press: London, UK, 1961. [Google Scholar]
- Burkill, H.M. Volume 1: The Useful Plants of West Tropical Africa; Royal Botanical Gardens: Kew, UK, 1985. [Google Scholar]
- Oke, J.M.; Hamburger, M.O. Screening of some Nigeria medicinal plant Antioxidant Acitivity Using 22-Diphenyl-picryl-hydrazyl radical. Afr. J. Biomed. Res. 2002, 5, 77–79. [Google Scholar]
- Odugbemi, T. Medicinal Plants by Species Names: Outlines and Pictures of Medicinal Plants from Nigeria; Lagos University Press: Ojo, Lagos State, Nigeria, 2006. [Google Scholar]
- Oliver-Bever, B. Medicinal Plants in Tropical West Africa; Cambridge University Press: Cambridge, UK, 1986. [Google Scholar]
- Kayode, J.; Ige, O.E.; Adetogo, T.A.; Igbakin, A.P. Conservation and Bio derversity in Ondo State, Nigeria. Survey of plant barks used in native pharmaceutical extraction in Akoko region. EthnoBot. Leafl. 2009, 13, 665–667. [Google Scholar]
- Fasola, T.R.; Egunyomi, A. Bark extraction and uses of some medicinal plants. Niger. J. Biotechnol. 2002, 15, 23–36. [Google Scholar]
- Ghana Herbal Pharmacopoeia. Ghana Herbal Pharmacopoeia; Advent Press: Accra, Ghana, 1992. [Google Scholar]
- Egunyomi, A.; Fasola, T.R.; Oladunjoye, O. Charring Medicinal Plants: A Traditional Method of Preparing Phytomedicines in Southwestern Nigeria. EthnoBot. J. 2005, 3, 261–265. [Google Scholar] [CrossRef]
- Amidu, N.; Woode, E.; Owiredu, K.B.; William, A.; George-Boateng, A.K.; Opoku-Okrah, C. An Evaluation of Toxicity and Mutagenicity of Sphenocentrum jollyanum. Int. J. Pharm. 2008, 4, 67–77. [Google Scholar]
- Aboaba, S.A.; Ekundayo, O. Constituents, antibacterial activities and toxicological assay of essential oils of Artocarpus communis Forst (Moraceae) and Sphenocentrum jollyanum (Menispermaceae). Int. J. Biol. Chem. Sci. 2010, 4, 1455–1461. [Google Scholar] [CrossRef]
- Ibironke, A.A.; Olusola, O.O. Phytochemical analysis and mineral element composition of ten medicinal plant seeds from South-west Nigeria. N. Y. Sci. J. 2013, 6, 2–28. [Google Scholar]
- Moody, J.O.; Robert, V.A.; Connolly, J.D.; Houghton, P.J. Anti-inflammatory activities of the methanol extracts and an isolated furanoditerpene constituent of Sphenocentrum jollyanum Pierre (Menispermaceae). J. Ethnopharmacol. 2006, 104, 87–91. [Google Scholar] [CrossRef] [PubMed]
- Olorunnisola, O.S.; Akintola, A.A.; Afolayan, A.J. Hepatoprotective and antioxidant effect of Sphenocentrum jollyanum (Menispermaceae) stem bark extract against CCl4-induced oxidative stress in rats. Afr. J. Pharm. Pharmacol. 2011, 5, 1241–1246. [Google Scholar] [CrossRef]
- Olorunnisola, O.S.; Afolayan, A.J. In Vivo antioxidant and biochemical evaluation of Sphenocentrum jollyanum leaf extract in P. berghei infected mice. Pak. J. Pharm. Sci. 2013, 26, 445–450. [Google Scholar] [PubMed]
- Koleosho, A.T.; Jose, A.R.; Oyibo, P.G.; Roland-Ayodele, M.A.; Uloko, M.E. Antimicrobial Activity of Sphenocentrum jollyanum and Mangifera indicaLinn On Salmonella Typhi. Pak. J. Pharm. Sci. 2013, 5, 50–54. [Google Scholar]
- Mbaka, G.O.; Adeyemi, O.O.; Oremosu, A.A. Acute and sub-chronic toxicity studies of the ethanol extract of the leaves of Sphenocentrum jollyanum (Menispermaceae). Agric. Biol. J. N. Am. 2010, 1, 265–272. [Google Scholar] [CrossRef]
- Olorunnisola, O.S.; Fadahunsi, O.; Adetutu, A.; Olasunkanmi, A. Evaluation of Membrane Stabilizing, Proteinase and Lipoxygenase Inhibitory Activities of Ethanol Extract of Root and Stem of Sphenocentrum jollyanum Pierre. J. Adv. Biol. Biotechnol. 2017, 13, 1–8. [Google Scholar]
- Olorunnisola, O.S.; Fadahunsi, O.S.; Owoade, O.A. In Vitro anti-inflammatory activities of extracts of the leaves of Sphenocentrum jollyanum Pierre. J. Appl. Life Sci. Int. 2017. accepted. [Google Scholar]
- Mbaka, G.O.; Adeyemi, O.O.; Adesina, S.A. Anti-diabetic activity of the seed extract of Sphenocentrum jollyanum and morphological changes on pancreatic beta cells in alloxan-induced diabetic rabbits. J. Med. Med. Sci. 2010, 1, 550–556. [Google Scholar]
- Mbaka, G.; Adeyemi, O.; Osinubi, A.; Noronha, C.; Okanlawon, A. The effect of aqueous root extract of Sphenocentrum jollyanum on blood glucose level of rabbits. J. Med. Plants Res. 2009, 3, 870–874. [Google Scholar]
- Mbaka, G.O.; Adeyemi, O.O.; Anunobi, C.C. Anti-hyperglycemic effects of ethanol leaf extract of Sphenocentrum jollyanum in normal and alloxan-induced diabetic rabbits. Glob. J. Pharmacol. 2008, 2, 46–51. [Google Scholar]
- Alese, M.O.; Adewale, O.S.; Ijomone, O.M.; Ajayi, S.A.; Alese, O.O. Hypolipidemic and hypoglycemic activities of methanol extract of Sphenocentrum jollyanum on stretozocin induced diabetic Wistar rats. Eur. J. Med. Plants 2014, 4, 353–364. [Google Scholar] [CrossRef]
- Mbaka, G.O.; Owolabi, M.A. Evaluation of Haematinic Activity and Sub chronic Toxicity of Sphenocentrum jollyanum (Menispermaceae) Seed Oil. Eur. J. Med. Plants 2011, 1, 140–152. [Google Scholar] [CrossRef]
- Olorunnisola, O.S.; Afolayan, A.J. In Vivo antimalaria of methanol leaf and root extracts Sphenocentrum jollyanum. Afr. J. Pharm. Pharmacol. 2011, 5, 1669–1673. [Google Scholar] [CrossRef]
- Mbaka, G.O.; Adeyemi, O.O.; Ogbonnia., S.O.; Noronha, C.C.; Okanlawon, O.A. The protective effect of ethanol root extract of Sphenocentrum jollyanum on the morphology of pancreatic beta cells of alloxan challenged rabbits. J. Morphol. 2011, 28, 37–45. [Google Scholar]
- Olorunnisola, O.S.; Adetutu, A.; Fadahunsi, O.S. Anti-allergy potential and possible modes of action of Sphenocentrum jollyanum Pierre fruit extracts. J. Phytopharm. 2017, 6, 20–26. [Google Scholar]
- Moody, J.O.; Robert, V.A.; Adeniji, J.A. Anti-viral effect of selected medicinal plants: Diospyros bateri, D. monbutensis and Sphenocentrum jollyanum on polio viruses. Niger. J. Nat. Prod. Med. 2002, 6, 4–6. [Google Scholar]
- Moody, J.O.; Robert, V.A.; Hughes, J.A. Anti-viral activities of selected medicinal plantsand effect of extracts of Diospyrosmon butensis and Sphenocentrum jollyanum on cowpea mosaic viruses. Pharm. Biol. 2002, 40, 342–345. [Google Scholar] [CrossRef]
- Woode, E.; Amidu, N.; Owiredu, K.; Boakye, G.; Ansah, C.; Duweijua, M. Antidepressant–Like effects of an ethanol extract of Sphenocentrum jollyanum Pierre Roots in Mice. Int. J. Pharmacol. 2009, 5, 22–29. [Google Scholar] [CrossRef]
- Woode, E.; Duwiejua, M.; Ansah, C.; Kuffour, G.A.; Obiri, D.D.; Amidu, N. Effect of Sphenocentrum jollyanum in experimental mouse models of anxiety. In Proceedings of the 2nd Western Africa Network of Natural Products Research Scientists (WANNPRES), Elmina 32, Ghana, 1–4 August 2006; p. 32. [Google Scholar]
- Woode, E.; Amidu, N.; Owiredu, K.; Boakye, G.; Laing, E.F.; Ansah, C.; Duweijua, M. Anxiogenic—Like effect of a root extract of Sphenocentrum jollyanum Pierre in Murine behaviour models. J.Pharmacol. Toxicol. 2009, 4, 91–108. [Google Scholar] [CrossRef]
- Muko, K.N.; Ohiri, P.C.; Ezugwu, C.O. Antipyretic and analgesic activities of Sphenocentrum jollyanum. Niger. J. Nat. Prod. Med. 1998, 2, 52–53. [Google Scholar]
- Owiredu, W.A.; Amidu, N.; Amissah, F.; Woode, E. The effects of ethanol extract of root of Sphenocentrum jollyanum Pierre on sexual behavior and hormonal levels in rodents. J. Sci. Technol. 2007, 27, 9–21. [Google Scholar]
- Raji, Y.; Fadare, O.O.; Adisa, R.A.; Salami, S.A. Comprehensive assessment of the effect of Sphenocentrum jollyanum root extract on male albino rats. Reprod. Med. Biol. 2006, 5, 283–292. [Google Scholar] [CrossRef]




| Kingdom | Plantae |
|---|---|
| Division | Magnoliophyta (Cronquist) |
| Subdivision | Magnoliophytina (Frohne and Jensen) |
| Class | Ranunculopsida (Brongn) |
| Subclass | Ranunculidae (Takht) |
| Suborder | Ranunculanae (Takht) |
| Order | Menispermales (Bromhead) |
| Family | Menispermaceae (Juss.) |
| Genus | Sphenocentrum (Pierre) |
| Species | Jollyanum |
| Pharmacological Activities | Part Used | Extracts | References |
|---|---|---|---|
| Angiogenic | Stem bark, | Methanol, Chloroform | [4] |
| Anti-Oxidant | Stem bark, Root, Leaf | Methanol, Hexane, Chloroform, Ethanol, Butanol, Aqueous | [4,23,24] |
| Anti-Bacteria | Root | Essential oil, Ethanol | [20,25] |
| Haematological | Leaf , Root | Methanol | [22,23,26] |
| Anti-Inflammatory | Fruit, Root, | Methanol, Ethanol, Aqueous | [22,27,28] |
| Anti-Diabetic | Root, Stem, Fruit, Leaf | Aqueous, Ethanol, Methanol | [29,30,31,32] |
| Hypolipidemic | Root | Ethanol | [32] |
| Hepatoprotective,Toxicological | Stem bark, Leaf, Root, | Methanol, Ethanol, Essential oil | [23,26,33] |
| Anti-Malaria | Leaf, Root | Methanol | [24,34] |
| Weight Loss Prevention | Leaf , Root, Seed | Ethanol, Essential oil | [24,26,33,35] |
| Anti-Allergy | Fruit | Ethanol | [36] |
| Anti-viral | Stem, Root, Leaf | Hexane, Methanol | [37,38] |
| Anti-depressant | Root | Ethanol | [39] |
| Anxiogenic | Root | Ethanol | [40,41] |
| Analgesic, Antipyretic | Leaf | Methanol | [42] |
| Sexual, Reproductive | Root | Ethanol, Methanol | [43,44] |
© 2017 by the authors. Licensee MDPI, Basel, Switzerland. This article is an open access article distributed under the terms and conditions of the Creative Commons Attribution (CC BY) license (http://creativecommons.org/licenses/by/4.0/).
Share and Cite
Olorunnisola, O.S.; Fadahunsi, O.S.; Adegbola, P. A Review on Ethno-Medicinal and Pharmacological Activities of Sphenocentrum jollyanum Pierre. Medicines 2017, 4, 50. https://doi.org/10.3390/medicines4030050
Olorunnisola OS, Fadahunsi OS, Adegbola P. A Review on Ethno-Medicinal and Pharmacological Activities of Sphenocentrum jollyanum Pierre. Medicines. 2017; 4(3):50. https://doi.org/10.3390/medicines4030050
Chicago/Turabian StyleOlorunnisola, Olubukola Sinbad, Olumide Samuel Fadahunsi, and Peter Adegbola. 2017. "A Review on Ethno-Medicinal and Pharmacological Activities of Sphenocentrum jollyanum Pierre" Medicines 4, no. 3: 50. https://doi.org/10.3390/medicines4030050
APA StyleOlorunnisola, O. S., Fadahunsi, O. S., & Adegbola, P. (2017). A Review on Ethno-Medicinal and Pharmacological Activities of Sphenocentrum jollyanum Pierre. Medicines, 4(3), 50. https://doi.org/10.3390/medicines4030050

