Abstract
This study evaluates the chemical components of an aerodynamic diameter less than 2.5 μm (PM2.5) and its health risks in Seoul, Incheon, and Wonju, South Korea. The results revealed significant regional variations, particularly under the reasonable maximum exposure scenario, with Seoul’s average daily dose (6.4 × 10−1 µg/kg/day) approximately 2 times higher than Incheon (5.8 × 10−1 µg/kg/day) and Wonju (3.2 × 10−1 µg/kg/day) under the central tendency exposure scenario. Furthermore, exposure to the chemical components comprising PM2.5 can surpass risk thresholds when PM2.5 concentrations exceed the national standard levels. These findings suggest the potential benefits of preventive measures, such as minimizing outdoor exposure, especially for individuals over 60 years of age, to help reduce health risks. However, further research is needed to confirm the effectiveness of these measures in different regions. The study also highlighted the variation in the health impacts of PM2.5 concentrations and its chemical components across the different regions. The results suggest that relying solely on PM2.5 concentrations for health risk assessments may underestimate the risks associated with carcinogenic components such as chromium (Cr, VI). However, under the reasonable maximum exposure (RME) scenario, the excess cancer risk (ECR) for Cr(VI) exceeds the acceptable threshold in all three regions, suggesting a high carcinogenic risk under the RME scenario. For example, the ECR for Cr(VI) in Seoul was calculated as 1.4 × 10−4, Incheon as 2.0 × 10−4, and Wonju as 1.2 × 10−4. Therefore, we emphasize the importance of incorporating both the mass concentration of PM2.5 and its chemical constituents when conducting health risk assessments to inform region-specific health policies to mitigate health risks, particularly for vulnerable populations.
1. Introduction
Among the environmental factors affecting the global disease burden, air pollution has been evaluated as the most significant contributor to mortality, exhibiting a greater impact than other major risk factors, such as low physical activity, excessive sodium intake, and a high-cholesterol diet [1,2,3]. Air pollutants are complex mixtures comprising particulate matter (PM), gaseous contaminants, and heavy metals. Approximately 99% of the global population is exposed to air pollution levels that exceed the WHO air quality standards, rendering it a significant public health concern worldwide [4].
Among air pollutants, PM2.5, defined as particulate matter with an aerodynamic diameter of 2.5 μm or less, has been consistently reported to have adverse effects on human health [5,6]. The health impacts of PM2.5 exposure have been assessed in several studies [6,7], with PM2.5 mass concentration long being used as a benchmark for exposure [8,9]. However, due to its large surface area, PM2.5 can adsorb harmful chemicals and has a complex chemical composition [10]. The major components of PM2.5 include ions such as NO3−, SO42−, Na+, and Cl−; carbonaceous components like elemental carbon and organic carbon; and trace elements such as Al, Ti, Cr, Zn, and Mn [11,12]. Heavy metals such as Cr, Zn, As, and Pb have been shown to have harmful effects, including carcinogenicity, even at low concentrations [13,14], and are associated with diseases such as asthma, pneumonia, lung cancer, and stroke [15]. In particular, heavy metals adsorbed onto PM2.5 can act as risk factors for lung cancer [16]. The main routes of exposure to heavy metals in PM2.5 include inhalation, ingestion, and dermal contact [17,18], and they are particularly known to have negative health effects during respiratory exposure [19]. Therefore, quantifying the chemical composition of PM2.5 is crucial for an accurate health impact assessment.
The content of PM2.5 chemical components varies by emission sources, leading to geographical differences in health impacts [7,20,21]. As a result, numerous studies have focused on understanding the health risks posed by the chemicals adsorbed onto PM2.5 [15,22]. For example, Li et al. [23] detected Pb, Al, and Cu in the blood and organs of rats exposed to PM2.5, confirming the potential accumulation of heavy metals in body tissues. Therefore, to evaluate the health effects of PM2.5 exposure, it is necessary to consider not only its concentration but also the toxicity and exposure levels of its chemical components.
This study was part of the national research project “Core Technology Development for Prevention and Management of Environmental Diseases” funded by the Ministry of Environment. The project aims to develop core technologies to investigate and prevent the impacts of PM2.5 and its adsorbed chemical components, focusing on neurological diseases such as stroke, dementia, and Parkinson’s disease. To achieve this, a cohort study was conducted with individuals aged 60 and older from three regions with different atmospheric conditions: Seoul, Incheon, and Wonju. The study aimed to assess the effects of PM2.5 exposure and its chemical components on neurological disease incidence and to develop prevention and management technologies. In particular, the study emphasized the importance of assessing both PM2.5 concentration and the types and exposure levels of its chemical components when evaluating the health impacts of PM2.5 exposure.
2. Materials and Methods
2.1. Inhalation Risk Assessment
The primary exposure pathway for air pollutants such as PM2.5 is the respiratory system, with respiratory-related diseases the main health impact [24,25]. Therefore, the extent to which differences in PM2.5 concentrations and the chemical compositions of PM2.5 affect health in different regions was determined by utilizing health risk assessment techniques proposed by the National Academy of Sciences (NAS) and U.S. Environmental Protection Agency (US EPA) [26,27,28,29]. The US EPA recommends the use of airborne chemical concentrations as exposure indicators for inhalation risk assessment. Consequently, carcinogenic and non-carcinogenic risk assessments were performed based on the concentration of PM2.5 chemical components. The human exposure dose was calculated as the average daily dose (ADD) and lifetime average daily dose (LADD), as shown in Equations (1) and (2).
where is the inhalation rate (m3/day), is the pollutant concentration (mg/m3), is the exposure time (h/d), is the exposure duration (years), is the exposure frequency (days/year), is the average exposure time (h), is the lifetime (h), and is the body weight (kg).
The exposure factors reported in the equations were set based on a cohort population aged 60 years and older, considering the life expectancy of South Koreans (82.7 years). Uncertainty in the exposure dose estimation was addressed by calculating both the central tendency exposure (CTE) and reasonable maximum exposure (RME), with 50% and 95% considered representative, respectively. However, pollutant concentrations are generally skewed to the left, and using the 50% value may lead to an underestimation of high exposure levels. Thus, the mean was used to indicate pollutant concentrations [30]. Details of the concentrations are summarized in Table S1 (located in the Supplementary Materials) and the exposure factors applied in this study are summarized in Table 1.
Table 1.
Indoor and outdoor exposure factors.
The health risks associated with exposure to PM2.5 and its chemical components were evaluated using the hazard quotient (HQ) for non-carcinogenic substances and excess cancer risk (ECR) for carcinogenic substances, based on the reference dose (RfD) and cancer slope factor (CSF), respectively. The HQ and ECR were calculated using Equations (3)–(6):
where represents the HQ of pollutant , is the average daily dose of pollutant (mg/kg/day), is the RfD of pollutant (mg/kg/day), represents the excess cancer risk of pollutant , is the lifetime average daily dose (μg/kg/day) of pollutant , is the inhalation unit risk (IUR, (μg/m3)−1) of pollutant , is the CSF((μg/kg/day)−1) of pollutant , and and represent the total hazard index and total excess cancer risk, respectively. HQ and HI values of >1.0 indicate potential concern [35], and the acceptable risk levels for ECR and TECR range from 1.0 × 10−6 to 1.0 × 10−4 [35].
Inhalation risk assessments were conducted using toxicological data from databases such as the Integrated Risk Information System, Provisional Peer-Reviewed Toxicity Values, Agency for Toxic Substances and Disease Registry, California Environmental Protection Agency, and Health Effects Assessment Summary Table, and the chemical components of PM2.5 were identified using the established reference concentration (RfC) and IUR values. Ten substances were selected to indicate the RfC (Al, V, Mn, Ni, Co, As, Mo, Cd, Ba, and Cr) and six for the IUR (As, Cr, Ni, Co, Cd, and Pb) (Table S2, located in the Supplementary Materials). Cr was further evaluated based on its valence state, with Cr(VI) considered the most toxic form [36]. The US EPA recommends using 1/7 of the total Cr concentration to represent Cr(VI) [37], resulting in an estimated Cr(VI):Cr(III) ratio of 1:6 in ambient air [38]. The health risk assessment was extended to include PM2.5, emphasizing the need to consider both total PM2.5 concentrations and its specific chemical components. As PM2.5 is a complex mixture with no established toxicity values, previous studies [21,39] were examined and the South Korean annual standard of 15 μg/m3 was adopted as the RfC. Noncarcinogenic risk assessments using HQ were performed to compare health risks across regions in which this standard was exceeded.
2.2. Study Design
2.2.1. Sampling Site
Three regions were selected to assess the effects of differences in PM2.5 concentration and its chemical composition on human health: Seoul, a representative urban area of South Korea; Incheon, an industrial hub adjacent to Seoul with diverse manufacturing activities, including the use of machinery, the metal industry, and electronics development; and Wonju, a region with older industrial complexes that still use older combustion resources, such as charcoal kilns. PM2.5 samples were collected from the outdoor air in all three regions from September 2022 to August 2024 (Figure 1), with the outdoor sampling locations selected based on the residences of cohort participants aged 60 and older with degenerative neurological diseases.
Figure 1.
Map of sampling sites.
Seoul
Seoul, the capital of South Korea, had a population of 9.34 million and population density of 15,425 people/km2 [40] as of November 2024. The dense population in this area means that it is significantly affected by emissions from various residential and industrial activities. According to the Ministry of Environment, in 2021, Seoul’s PM2.5 emissions amounted to 2,605,865 kg, with fugitive dust accounting for 1,220,149 kg (46.8%), making it the largest contributor. Off-road mobile sources, such as construction equipment, contributed 32.5%, whereas on-road mobile sources accounted for 8.9% [41]. Considering that some fugitive dust is traffic-related, it can be inferred that a significant portion of Seoul’s PM2.5 emissions are both directly and indirectly linked to transportation, highlighting the need for effective management of air pollution caused by traffic and daily transportation activities.
Incheon
Incheon, a port city west of Seoul, had a population of 3.02 million [42] and a population density of approximately 2831 people/km2 in November 2024. Since the 1970s, large-scale national industrial complexes such as the Juan, Bupyeong, and Namdong complexes have been established in Incheon and include the production of domestic appliances, metals, automotive industries, and electronics manufacturers. General industrial complexes such as the Seobu and Cheongna industrial zones have also been developed. According to the emissions data, Incheon’s total PM2.5 emissions were 2,316,291 kg in 2021, with fugitive dust contributing 40.0%, off-road mobile sources contributing 28.8%, and energy industry combustion contributing 14.2% [41], indicating that the air pollution in Incheon is influenced by traffic, industrial operations, and fossil fuel combustion.
Wonju
Wonju, located east of Seoul, is the largest city in Gangwon Province, with a population of 360,000 [42]. It has the lowest population density of the three regions at approximately 412 people/km2. Despite its low density, Wonju serves as a key traffic hub that connects the Seoul metropolitan area with Gangwon Province, leading to significant logistics and transportation activities. The region also has older industrial parks and combustion sources such as charcoal kilns are frequently used in the city [43]. In 2019, Wonju’s PM2.5 emissions amounted to 471 tons, nearly double that of nearby Chuncheon [44]. The city’s basin topography results in frequent air stagnation events, leading to high PM2.5 concentrations [45].
2.2.2. Sampling Method
To accurately assess the regional exposure levels of PM2.5, its chemical components, and the health impacts, PM2.5 samples were collected outdoors near the residences of cohort participants over the entire study period (September 2022 to August 2024), with sampling conducted at 20 locations per quarter in Seoul (September 2022 to June 2023), Incheon (July 2023 to July 2024), and Wonju (March 2024 to July 2024). Sampling was conducted only on weekdays to account for temporal variation, minimizing bias so that comprehensive results could be obtained.
Sampling was performed continuously for 24 h, starting at 8:00 AM on each sampling day. PM2.5 samples were collected using a low-volume air sampler (PMS 204, APM Co., Seoul, Republic of Korea), which is designed based on the US EPA Federal Reference Method for PM2.5 and operates at a flow rate of 16.7 L/min (Table S3, located in the Supplementary Materials). Teflon filters (PTFE 2.0 μm, Ø47 mm) were used to analyze any ionic and trace metal components. A total of 200 Teflon filter samples were collected from the three regions over the study period (Seoul, 80; Incheon, 80; and Wonju, 40). To minimize sample loss, the PM2.5-laden filters were transported in an icebox with a refrigerant and a temperature of <4 °C was maintained. Antistatic materials and cushioning devices were used to prevent particle loss due to vibration or impact during transportation.
To ensure reliable PM2.5 mass concentration measurements, laboratory blanks (LABs) and field blanks (FBs) were prepared for each sampling session, and their weights were used to correct the PM2.5 mass concentrations. The LAB filters were stored in the laboratory throughout the sampling period and reweighed after sampling for quality control purposes. The FB filters were transported to the sampling site without exposure and then reweighed to check for contamination during transport. The filter weights were measured before sampling using a robotic weighing system in a controlled weighing room at a temperature of (20 ± 2) °C and relative humidity of (35 ± 5) % following a 24 h conditioning period. The same conditions were used after sample collection to ensure accurate weighing. The PM2.5 mass concentration was calculated using Equation (7):
where is the filter weight after sample collection (μg), is the filter weight before sample collection (μg), is the weight of the field blank filter after transport (μg), is the weight of the field blank filter before transport (μg), and is the volume of air sampled (m3).
2.2.3. Chemical Analysis and Quality Assurance/Quality Control
An analysis of the chemical composition of the collected PM2.5 samples focused on 11 trace elements (Al, V, Mn, Ni, Co, As, Mo, Cd, Ba, Cr(VI), and Pb), which are considered key substances for health risk assessment. The elements were quantified using ED-XRF (Energy Dispersive X-ray Fluorescence Spectrometry, Malvern Panalytical, EPSILON4, Table S4, located in Supplementary Materials) as specified in the guidelines of the Ministry of Environment and National Institute of Environmental Research [46,47]. The concentrations of trace elements were calculated using Equation (8):
where is the concentration of trace elements in the air (ng/m3), is the mass of trace elements collected on the filter (ng/cm2), is the mass of trace elements on the blank filter (ng/cm2), is the total filter area used for sampling (cm2), and is the volume of air sampled (m3).
The method detection limit, relative standard deviation, and calibration curve linearity (R2) were evaluated for quality assurance/quality control. The relative standard deviation for all trace elements was confirmed to be within 10%, and the method detection limit (MDL) ranged from 0.47 ng/cm2 (Cr and Mn) to 59.28 ng/cm2 (Al); this is provided in Table S5 (located in the Supplementary Materials). The R2 values for the calibration curves were all above 0.99.
2.2.4. Statistical Analysis
An analysis of the regional PM2.5 concentration and chemical composition differences was performed using an analysis of variance, which was used to compare the concentration differences in the target substances for health risk assessment, and the Pearson correlation analysis, which was conducted to examine the relationships between PM2.5 and its chemical components. Non-detected (N.D.) values obtained in the chemical analysis of the PM2.5 samples were excluded from the statistical analyses. By excluding these N.D. values, we aimed to perform a more conservative health risk assessment. Statistical analyses were conducted using SPSS (version 23), with a significance level of 0.05.
3. Results and Discussion
3.1. Statistical Analysis Distribution of PM2.5 and Its Components
The outdoor PM2.5 concentrations in the selected regions during the study period are presented in Table 2. The highest concentrations were observed in Seoul (30.11 ± 14.93 µg/m3), followed by Incheon (27.17 ± 18.17 µg/m3) and Wonju (15.13 ± 11.40 µg/m3). analysis of variance confirmed statistically significant differences in the PM2.5 concentrations for the three regions (p < 0.05). Regarding the chemical composition of PM2.5, regional differences were identified for all 11 trace elements (p < 0.05), except Ba (p > 0.05). These findings highlight the necessity of considering regional variation when assessing outdoor PM2.5 exposure. Meanwhile, for Al, the concentration in Wonju was the lowest at 54.10 ng/m3. However, since there was only one sample with a concentration above the detection limit, it was considered limited to directly refer to this as the lowest concentration.
Table 2.
Average concentration of PM2.5 and its chemical components in Seoul, Incheon, and Wonju.
The PM2.5 concentration in Siheung, located near the study area, was found to be approximately 23.5 µg/m3 [48], which is similar to the levels observed in Seoul and Incheon. Meanwhile, when examining the concentrations of heavy metals in PM2.5, Pb (1.6 ng/m3), Cr (3.0 ng/m3), Mn (2.2 ng/m3), Ni (4.0 ng/m3), and V (1.4 ng/m3) were measured. Despite the reduced industrial activity due to COVID-19, V was found to be similar to the other regions in our study. However, the concentrations of other chemical components showed significant differences. The city of Kitakyushu, known for its urbanization and industrial activities, showed PM2.5 concentrations ranging from 6.3 µg/m3 to 57.5 µg/m3, similar to the levels in the three study regions [49]. Furthermore, the median concentrations of heavy metals in PM2.5 were found to be Al (41.5 ng/m3), Pb (10.5 ng/m3), Mn (8.3 ng/m3), V (5.7 ng/m3), Ni (3.3 ng/m3), Cr (3.0 ng/m3), Ba (2.1 ng/m3), Mo (1.5 ng/m3), and As (1.4 ng/m3). For Al, Pb, Mn, and As, the concentrations were similar to those found in Wonju, but V was 3–4 times higher than in the three other regions. On the other hand, As concentrations in Seoul and Incheon were approximately 6–7 times higher. These findings reaffirm that while Kitakyushu has mixed characteristics from the study regions, there are differences in the composition of PM2.5 depending on the environmental characteristics of each region. Therefore, when understanding the differences in the chemical components of PM2.5 between study regions, it is essential to consider the combined effects of regional industrial activities, urbanization, climate, and other environmental factors.
Correlation analysis between PM2.5 and its chemical components in the three regions was used to identify the key factors influencing PM2.5 concentrations in each area (Figure 2). In Seoul, Mn showed the highest correlation with PM2.5 (r = 0.81), followed by Ni (r = 0.72), Cr (r = 0.64), and Co (r = 0.61). A strong correlation was observed between Ni and V (r = 0.84), which are known to be emitted during fuel combustion (oil combustion) [49,50]. These findings suggest that PM2.5 concentrations in Seoul are closely associated with high vehicle traffic and road dust resuspension. Ni, which is typically derived from fuel combustion, is potentially linked to energy consumption in urban areas [49]. Reducing traffic emissions and fuel combustion may therefore effectively mitigate PM2.5-related health impacts in this area. Mn, which exhibited the highest correlation with PM2.5, has been linked to adverse health effects, such as muscle pain, weakness, emotional disturbances, pulmonary edema, and neurological damage upon long-term exposure [51,52]. Thus, reducing the PM2.5 levels could also lead to a decrease in Mn exposure, benefiting older individuals who are at risk of neurological disease. For Al and Mo, a very high correlation coefficient of 0.99 was observed, and these elements are known to potentially originate from common resource sources [53,54]. However, given the limited data for Al in this study, further research is needed to explore the high correlation between these elements.
Figure 2.
Pearson correlation heatmap of three studied regions.
In Incheon, Cr showed the highest correlation with PM2.5 (r = 0.69), followed by Co (r = 0.66), Mn (r = 0.56), Pb (r = 0.55), and Mo (r = 0.54). Mn exhibited a strong correlation with Co, similar to Seoul, suggesting the influence of traffic-related emissions. However, As and Pb also showed a high correlation (r = 0.81) in Incheon, indicating a unique regional emission source. While Pb is associated with coal combustion [55,56], As is known to be emitted from smelting facilities [57]. These results reflect the influence of local industrial activities, particularly coal combustion and smelting processes, on the area’s air quality.
In Wonju, Pb had the strongest correlation with PM2.5 (r = 0.78), followed by Co (r = 0.64), Mo (r = 0.60), and Ba (r = 0.56). Previous studies have identified Pb as a tracer of coal combustion [12,56,58], while Ba has been linked to coal-fired power plants and industrial coal combustion [59], as well as brake linings and tire wear in vehicles [60]. These findings suggest that industrial activities and coal combustion contribute significantly to the PM2.5 in Wonju. Elevated Pb levels, which are known to cause neurological damage, cardiovascular diseases, and kidney dysfunction, pose a significant health risk to vulnerable populations [61,62]; therefore, the results indicate that the effective management of industrial and traffic emissions is necessary to improve the air quality in Wonju.
3.2. Inhalation Risk Assessment
3.2.1. Exposure Assessment
To assess the health impacts of variations in the chemical composition of PM2.5 across different regions, the health risk assessment methods recommended by the NAS and US EPA were applied. The assessment included both the carcinogenic and non-carcinogenic risks from PM2.5 and its chemical components. Non-carcinogenic risk assessments were conducted for PM2.5 and ten elements (Al, V, Mn, Ni, Co, As, Mo, Cd, Ba, and Cr), while carcinogenic risk assessments targeted six elements (As, Cr, Ni, Co, Cd, and Pb).
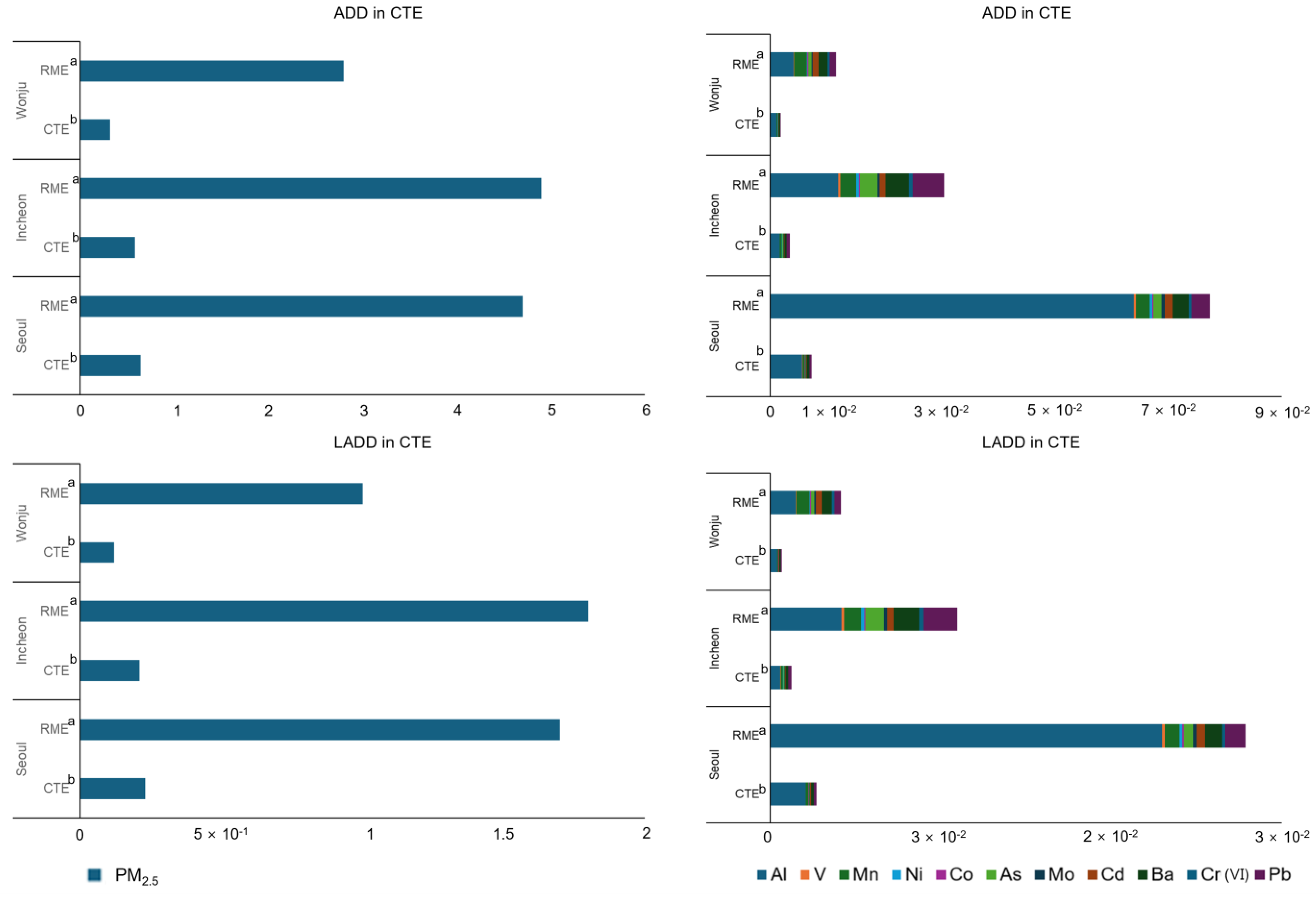
Before calculating the health risks, ADD and LADD were estimated for the target pollutants (Table S6, located in the Supplementary Materials). The PM2.5 concentrations and cumulative exposure levels varied significantly across the regions (Figure 3), with the calculated ADD ranked in the order of Seoul (6.4 × 10−1 µg/kg/day), Incheon (5.8 × 10−1 µg/kg/day), and Wonju (3.2 × 10−1 µg/kg/day) under the CTE scenario and Incheon (4.9 µg/kg/day), Seoul (4.7 µg/kg/day), and Wonju (2.8 µg/kg/day) under the RME scenario. When considering the cumulative exposure to hazardous PM2.5 components, the CTE scenario followed the same trend as PM2.5; however, under the RME scenario, Seoul’s exposure was approximately 2–6 times higher than that in the other regions. These findings suggest that the PM2.5 composition differences across the regions significantly impacted the health risk assessments, underscoring the need to consider chemical composition rather than relying solely on PM2.5 mass concentration.
Figure 3.
Average daily dose (ADD) and lifetime average daily dose (LADD) across investigated regions by chemical component (µg/kg/day). a = Central tendency exposure, b = Reasonable maximum exposure.
3.2.2. Non-Carcinogenic Risk Assessment
An assessment of the non-carcinogenic risks of PM2.5 and its chemical components (Table 3) indicated that no component exceeded the HQ threshold (1) in any of the three regions under the CTE scenario. However, under the RME scenario, the HQ values exceeded the threshold in Seoul and Incheon for PM2.5 but not for any individual chemical components.
Table 3.
Results of the hazardous quotient.
A stricter hazard threshold of HQ = 0.1 [62,63] was investigated. In this case, the PM2.5 concentrations exceeded the threshold in Seoul and Incheon under the CTE scenario and all in all three regions under the RME scenario. Five elements (Mn, Ni, Co, As, and Cd) exceeded HQ = 0.1 in Seoul and Incheon, whereas three elements (Mn, As, and Cd) exceeded the threshold in Wonju. These findings suggest that both PM2.5 concentrations and chemical compositions should be considered when assessing health risks.
The HI, which represents the sum of the individual HQ values, did not exceed 1 under the CTE scenario in any region. However, under the RME scenario, the HI values exceeded 1 in Seoul (1.3) and Incheon (1.6), whereas Wonju (7.6 × 10−1) was relatively high but remained below the threshold. These results suggest that vulnerable individuals may benefit from minimizing outdoor exposure during high PM2.5 pollution episodes.
3.2.3. Carcinogenic Risk Assessment
The carcinogenic risk assessment results for the individual chemical components are presented in Table 4. Under the CTE scenario, the estimated ECR values for all the individual substances in Seoul, Incheon, and Wonju were within the acceptable range (1.0 × 10−5) or lower, indicating negligible carcinogenic risks. However, under the RME scenario, the ECR for Cr(VI) exceeds the acceptable threshold in all three regions, suggesting a high carcinogenic risk under an RME scenario. Additionally, upon examining the change in the ECR differences between regions in percentage terms, the ECR value for Incheon was approximately 7.0% and 75.6% higher than those of Seoul and Wonju, respectively, which contrasts with the highest PM2.5 concentration observed in Seoul based on mass concentration alone. This finding indicates that relying solely on PM2.5 mass concentration may underestimate the health risks posed by hazardous chemical components such as Cr(VI), particularly in regions such as Incheon.
Table 4.
Results of cancer risk calculation (ECR).
These results are similar to previous studies in which the carcinogenic risks of As and Cr were found to be above 1.00 × 10−6 [48]. Considering the proximity to the study area, it has been confirmed that As and Cr are the chemical components that require focused management in South Korea. According to previous studies [64], the carcinogenic risk of Cr from industrial and traffic-related sources was found to be more significant than that of other chemical components. Therefore, it is believed that traffic activities have also influenced the results in this study area. Meanwhile, previous research has reported the carcinogenic risks of Cr from PM2.5 in Nanjing and Beijing to be 8.70 × 10−5 and 2.2 × 10−5, respectively [17,65]. In comparison, the carcinogenic risk of Cr in the study area was found to be at a lower level.
The TECR values are 7.5 × 10−6, 8.2 × 10−6, and 3.8 × 10−6 for Seoul, Incheon, and Wonju, respectively, under the CTE scenario, all of which are within an acceptable range. However, the high TECR (2.6 × 10−4) obtained for Incheon under the RME scenario is approximately 45.3% higher than that observed in Wonju (1.4 × 10−4). These results confirm that the health impact of PM2.5 varies depending on the chemical composition distribution of PM2.5 across the different regions, expounding the point that the types and concentrations of the chemical components of PM2.5 need to be considered in all health assessments. Meanwhile, Incheon has major industrial complexes (in Juan, Bupyeong, and Namdong) from the 1970s [42], making appliances, metals, auto parts, and electronics. In 2021, PM2.5 emissions hit 2,316,291 kg, led by fugitive dust (40%), off-road mobile sources (28.8%), and energy combustion (14.2%). These factors—industrial activity, traffic-related pollution, and fossil fuel combustion—likely exacerbate the chemical complexity and concentration of PM2.5 in Incheon, contributing to the heightened health risks reflected in the RME scenario. This underscores the necessity of region-specific analyses that account for local pollution sources and demographic factors, particularly in regions such as Incheon, where industrial and urban influences converge to shape air quality and associate health outcomes.
The correlation analysis indicated that Cr, which is associated with high carcinogenic risk, had a strong correlation with PM2.5 concentrations in Seoul (r = 0.64) and Incheon (r = 0.69). This suggests that reducing PM2.5 concentrations could simultaneously decrease Cr levels, potentially lowering the cancer risk to vulnerable populations.
Certain limitations are associated with this study. First, PM2.5 samples were not collected simultaneously across the three regions, limiting the ability to fully account for long-term seasonal and annual variations. Second, PM2.5 concentrations were measured near the residences of study participants aged 60 and older, which may not represent the overall regional pollution levels. Despite these limitations, this study confirmed that assessing health risks based solely on PM2.5 mass concentrations may underestimate the impacts of specific hazardous components such as Cr(VI) in regions such as Incheon.
4. Conclusions
The health risks of PM2.5 and its chemical components were assessed for certain areas in Seoul, Incheon, and Wonju to identify regional differences and evaluate the inhalation exposure-related risks. The results confirmed that both the PM2.5 concentrations and the chemical compositions varied by region and were influenced by local anthropogenic activities. These regional differences in PM2.5 composition are suggested to have varying health impacts. Notably, the carcinogenic risk assessment indicated the highest ECR for Incheon, due to high levels of Cr(VI). However, the results showed the second highest PM2.5 concentration for Incheon, underscoring the limitations of relying solely on mass concentration in evaluating health risks. Additionally, the non-carcinogenic risk assessment identified Mn, As, and Cd as key hazardous elements common to all three regions, emphasizing the need for collective management efforts.
This study highlights the necessity of incorporating chemical composition and distribution into health risk assessments rather than relying solely on PM2.5 mass concentration. This approach provides accurate insights into regional health risks and contributes to the development of tailored policy measures.
In conclusion, the comprehensive evaluation and management of both PM2.5 and its chemical components are essential for enhancing public health and minimizing health risks among vulnerable populations.
Supplementary Materials
The following supporting information can be downloaded at: https://www.mdpi.com/article/10.3390/toxics13040240/s1, Table S1: Concentration of components used in inhalation risk assessment (µg/m3); Table S2: The summary of reference concentration and inhalation unit risk; Table S3: The specification of the measurement device used in this study; Table S4. Energy dispersive X-ray fluorescence analyzer and conditions; Table S5. Quality control results of components analysis for the studied heavy metals; Table S6. The result of average daily dose and lifetime average daily dose (µg/kg/day).
Author Contributions
Conceptualization, S.-H.J., S.-H.B., C.-M.L. and J.-I.L.; methodology, S.-H.J., S.-H.B., C.-M.L. and J.-I.L.; validation, S.-H.J.; formal analysis, S.-H.J., S.-H.B. and S.-Y.P.; investigation, S.-H.J., S.-H.B. and S.-Y.P.; resources, S.-H.B.; data curation, S.-H.J. and S.-H.B.; writing—original draft preparation, S.-H.J.; writing—review and editing, C.-M.L. and J.-I.L.; visualization, S.-Y.P.; supervision, J.-I.L.; project administration, S.-H.J., S.-H.B. and J.-I.L. All authors have read and agreed to the published version of the manuscript.
Funding
This work was supported by the Korea Environmental Industry & Technology Institute (KEITI) through the Core Technology Development Project for Environmental Disease Prevention and Management, funded by the Korea Ministry of Environment (MOE)(RS-2022-KE002233).
Institutional Review Board Statement
Not applicable.
Informed Consent Statement
Not applicable.
Data Availability Statement
The data presented in this study are available on request from the corresponding author.
Conflicts of Interest
The authors declare no conflicts of interest.
Abbreviations
The following abbreviations are used in this manuscript:
| ADD | Average daily dose |
| AT | Average exposure time |
| BW | Body weight |
| CTE | Central tendency exposure |
| ECR | Excess cancer risk |
| ED | Exposure duration |
| EF | Exposure frequency |
| ET | Exposure time |
| FB | Field blank |
| HI | Hazard index |
| HQ | Hazard quotient |
| KOSIS | Korea Statistical Information Service |
| LADD | Lifetime average daily dose |
| LAB | Laboratory blank |
| LT | Lifetime |
| NAS | National Academy of Sciences |
| NIER | National Institute of Environmental Research |
| PM | Particulate matter |
| PM2.5 | Particulate matter with an aerodynamic diameter of 2.5 μm or less |
| RfC | Reference concentration |
| RfD | Reference dose |
| RME | Reasonable maximum exposure |
| TECR | Total excess cancer risk |
| US EPA | United States Environmental Protection Agency |
References
- Yin, P.; Brauer, M.; Cohen, A.J.; Wang, H.; Li, J.; Burnett, R.T.; Murray, C.J. The effect of air pollution on deaths, disease burden, and life expectancy across China and its provinces, 1990–2017: An analysis for the Global Burden of Disease Study 2017. Lancet Planet. Health 2020, 4, e386–e398. [Google Scholar] [CrossRef] [PubMed]
- Bowe, B.; Xie, Y.; Yan, Y.; Al-Aly, Z. Burden of cause-specific mortality associated with PM2.5 air pollution in the United States. JAMA Netw. Open 2019, 2, e1915834. [Google Scholar] [CrossRef] [PubMed]
- Health Effects Institute. State of Global Air; Special Report; Health Effects Institute: Boston, MA, USA, 2019. [Google Scholar]
- WHO. Pollutants Not Only Severely Impact health, but Also the Earth’s Climate and Ecosystems Globally; WHO: Geneva, Switzerland, 2022. [Google Scholar]
- Hong, Y.C.; Hwang, S.S.; Kim, J.H.; Lee, K.H.; Lee, H.J.; Lee, K.H.; Kim, D.S. Metals in particulate pollutants affect peak expiratory flow of schoolchildren. Environ. Health Perspect. 2007, 115, 430–434. [Google Scholar] [CrossRef]
- Jimoda, L.A.; Sulaymon, I.D.; Alade, A.O.; Adebayo, G.A. Assessment of environmental impact of open burning of scrap tyres on ambient air quality. Int. J. Environ. Res. Public Health 2018, 15, 1323–1330. [Google Scholar] [CrossRef]
- Baumgartner, J.; Zhang, Y.; Schauer, J.J.; Huang, W.; Wang, Y.; Ezzati, M. Highway proximity and black carbon from cookstoves as a risk factor for higher blood pressure in rural China. Proc. Natl. Acad. Sci. USA 2014, 111, 13229–13234. [Google Scholar] [CrossRef]
- Atkinson, R.W.; Kang, S.; Anderson, H.R.; Mills, I.C.; Walton, H.A. Epidemiological time series studies of PM2.5 and daily mortality and hospital admissions: A systematic review and meta-analysis. Thorax 2014, 69, 660–665. [Google Scholar] [CrossRef]
- Hao, Y.; Liu, Y.M. The influential factors of urban PM2.5 concentrations in China: A spatial econometric analysis. J. Clean. Prod. 2016, 112, 1443–1453. [Google Scholar]
- Chow, W.S.; Huang, X.H.; Leung, K.F.; Huang, L.; Wu, X.; Yu, J.Z. Molecular and elemental marker-based source apportionment of fine particulate matter at six sites in Hong Kong, China. Sci. Total Environ. 2022, 813, 152652. [Google Scholar] [CrossRef]
- Peng, X.; Shi, G.; Liu, G.; Xu, J.; Tian, Y.; Zhang, Y.; Russell, A.G. Source apportionment and heavy metal health risk (HMHR) quantification from sources in a southern city in China, using an ME2-HMHR model. Environ. Pollut. 2017, 221, 335–342. [Google Scholar] [CrossRef]
- Liu, J.; Chen, Y.; Chao, S.; Cao, H.; Zhang, A.; Yang, Y. Emission control priority of PM2.5-bound heavy metals in different seasons: A comprehensive analysis from health risk perspective. Sci. Total Environ. 2018, 644, 20–30. [Google Scholar] [CrossRef]
- IARC. Gallium arsenide, cobalt in hard metals and cobalt sulfate, gallium arsenide, indium phosphide and vanadium pentoxide. IARC Monogr. Eval. Carcinog. Risks Hum. 2006, 86, 163–196. [Google Scholar]
- Rahman, Z.; Singh, V.P. The relative impact of toxic heavy metals (THMs)(arsenic (As), cadmium (Cd), chromium (Cr)(VI), mercury (Hg), and lead (Pb)) on the total environment: An overview. Environ. Monit. Assess. 2019, 191, 1–21. [Google Scholar] [CrossRef] [PubMed]
- Sulaymon, I.D.; Mei, X.; Yang, S.; Chen, S.; Zhang, Y.; Hopke, P.K.; Zhang, Y. PM2.5 in Abuja, Nigeria: Chemical characterization, source apportionment, temporal variations, transport pathways and the health risks assessment. Atmos. Res. 2020, 237, 104833. [Google Scholar] [CrossRef]
- Duan, S.; Zhang, M.; Sun, Y.; Fang, Z.; Wang, H.; Li, S.; Peng, Y.; Li, J.; Li, J.; Tian, J.; et al. Mechanism of PM2.5-induced human bronchial epithelial cell toxicity in central China. J. Hazard. Mater. 2020, 396, 122747. [Google Scholar] [CrossRef]
- Hu, X.; Zhang, Y.; Ding, Z.; Wang, T.; Lian, H.; Sun, Y.; Wu, J. Bioaccessibility and health risk of arsenic and heavy metals (Cd, Co, Cr, Cu, Ni, Pb, Zn and Mn) in TSP and PM2.5 in Nanjing, China. Atmos. Environ. 2012, 57, 146–152. [Google Scholar] [CrossRef]
- MohseniBandpi, A.; Eslami, A.; Ghaderpoori, M.; Shahsavani, A.; Jeihooni, A.K.; Ghaderpoury, A.; Alinejad, A. Health risk assessment of heavy metals on PM2.5 in Tehran air, Iran. Data Brief 2018, 17, 347–355. [Google Scholar] [CrossRef]
- Cui, Y.; Ji, D.; He, J.; Kong, S.; Wang, Y. In situ continuous observation of hourly elements in PM2.5 in urban Beijing, China: Occurrence levels, temporal variation, potential source regions and health risks. Atmos. Environ. 2020, 222, 117164. [Google Scholar] [CrossRef]
- Liu, J.; Han, Y.; Tang, X.; Zhu, J.; Zhu, T. Estimating adult mortality attributable to PM2.5 exposure in China with assimilated PM2.5 concentrations based on a ground monitoring network. Sci. Total Environ. 2016, 568, 1253–1262. [Google Scholar] [CrossRef]
- Park, S.Y.; Jeon, J.I.; Jung, J.Y.; Yoon, S.W.; Kwon, J.; Lee, C.M. PM2.5 and heavy metals in urban and agro-industrial areas: Health risk assessment considerations. Asian J. Atmos. Environ. 2024, 18, 16. [Google Scholar] [CrossRef]
- Lin, Y.C.; Hsu, S.C.; Chou, C.C.K.; Zhang, R.; Wu, Y.; Kao, S.J.; Huang, Y.T. Wintertime haze deterioration in Beijing by industrial pollution deduced from trace metal fingerprints and enhanced health risk by heavy metals. Environ. Pollut. 2016, 208, 284–293. [Google Scholar] [CrossRef]
- Li, Q.; Liu, H.; Alattar, M.; Jiang, S.; Han, J.; Ma, Y.; Jiang, C. The preferential accumulation of heavy metals in different tissues following frequent respiratory exposure to PM2.5 in rats. Sci. Rep. 2015, 5, 16936. [Google Scholar] [CrossRef]
- Xing, Y.F.; Xu, Y.H.; Shi, M.H.; Lian, Y.X. The impact of PM2.5 on the human respiratory system. J. Thorac. Dis. 2016, 8, E69. [Google Scholar] [PubMed]
- Cho, C.C.; Hsieh, W.Y.; Tsai, C.H.; Chen, C.Y.; Chang, H.F.; Lin, C.S. In vitro and in vivo experimental studies of PM2.5 on disease progression. Int. J. Environ. Res. Public Health 2018, 15, 1380. [Google Scholar] [CrossRef] [PubMed]
- National Research Council. Risk Assessment in the Federal Government: Managing the Process; National Academy: Washington, DC, USA, 1983. [Google Scholar]
- US EPA. Chapter 7 Characterizing Risk and Hazard. In Human Health Risk Assessment Protocol; US EPA: Washington, DC, USA, 2005. [Google Scholar]
- US EPA. Guidelines for Carcinogen Risk Assessment; US EPA: Washington, DC, USA, 2005.
- US EPA. Risk Assessment Guidance for Superfund Volume I: Human Health Evaluation Manual (Part F, Supplemental Guidance for Inhalation Risk Assessment); US EPA: Washington, DC, USA, 2009.
- Sim, K.T.; Kim, D.H.; Lee, J.W.; Lee, C.H.; Park, S.Y.; Seok, K.S.; Kim, Y.H. Exposure and risk assessments of multimedia of arsenic in environment. J. Environ. Impact Assess. 2019, 28, 152–168. [Google Scholar]
- National Institute of Environmental Research (NIER). Korean Exposure Factors Handbook for Children; National Institute of Environmental Research (NIER): Incheon, Republic of Korea, 2019.
- Chen, R.; Zhao, Y.; Tian, Y.; Feng, X.; Feng, Y. Sources and uncertainties of health risks for PM2.5-bound heavy metals based on synchronous online and offline filter-based measurements in a Chinese megacity. Environ. Int. 2022, 164, 107236. [Google Scholar] [CrossRef]
- Liu, Z.; Gao, W.; Yu, Y.; Hu, B.; Xin, J.; Sun, Y.; Wang, Y. Characteristics of PM2.5 mass concentrations and chemical species in urban and background areas of China: Emerging results from the CARE-China network. Atmos. Chem. Phys. 2018, 18, 8849–8871. [Google Scholar] [CrossRef]
- Hoddinott, K.B.; Lee, A.P. The use of environmental risk assessment methodologies for an indoor air quality investigation. Chemosphere 2000, 41, 77–84. [Google Scholar] [CrossRef]
- US EPA. Risk Assessment Guidance for Superfund: Volume III Part A, Process for Conducting Probabilistic Risk Assessment; Environmental Protection Agency: Washington, DC, USA, 2001.
- Ji, W.; Zeng, J.; Zhao, K.; Liu, J. Source apportionment and health-risk assessment of PM2.5-bound elements in indoor/outdoor residential buildings in Chinese megacities. Build. Environ. 2025, 267, 112250. [Google Scholar] [CrossRef]
- US EPA. User’s Guide/Technical Background Document for US EPA Region 9’s RSL (Regional Screening Levels) Tables; US EPA: Washington, DC, USA, 2013.
- Fang, B.; Zeng, H.; Zhang, L.; Wang, H.; Liu, J.; Hao, K.; Yang, W. Toxic metals in outdoor/indoor airborne PM2.5 in port city of Northern, China: Characteristics, sources, and personal exposure risk assessment. Environ. Pollut. 2021, 279, 116937. [Google Scholar] [CrossRef]
- Chen, X.; Yin, L.; Fan, Y.; Song, L.; Ji, T.; Liu, Y.; Tian, J.; Zheng, W. Temporal evolution characteristics of PM2.5 concentration based on continuous wavelet transform. Sci. Total Environ. 2020, 699, 134244. [Google Scholar]
- Statistics Korea. Population and Population Density by Region. South Korean Government, 2024. Available online: https://www.index.go.kr/unity/potal/main/EachDtlPageDetail.do?idx_cd=1007#:~:text=%C2%B0%20%EC%A7%80%EC%97%AD%EB%B3%84%20%EC%9D%B8%EA%B5%AC%20%ED%86%B5%EA%B3%84%EC%9E%90%EB%A3%8C,%EC%9E%88%EC%9D%8C%EC%9D%84%20%EC%95%8C%20%EC%88%98%20%EC%9E%88%EC%9D%8C (accessed on 22 January 2025).
- Ministry of the Interior and Safety. Resident Registration Population and Household Status by Administrative District. South Korean Government, 2024. Available online: https://jumin.mois.go.kr/statMonth.do (accessed on 22 January 2025).
- Hong, S.; Lee, S.; Han, Y. Characteristics of ionic and carbonaceous constituents of PM2.5 collected near the industrial complexes and charcoal manufacturing facility in Wonju, Korea. J. Korean Soc. Atmos. Environ. 2023, 39, 239–250. [Google Scholar] [CrossRef]
- Lee, H.; Park, S.; Jeon, J.; Hong, J.; Hong, S.; Lee, Y.; Han, Y. Comparable study on the chemical characteristics of PM2.5 measured in Chuncheon and Wonju, Gangwon-do. J. Korean Soc. Atmos. Environ. 2023, 39, 165–177. [Google Scholar] [CrossRef]
- Ministry of Environment, National Fine Dust Information Center. Emission of Air Pollutants. Ministry of Environment. Available online: https://www.index.go.kr/unity/potal/main/EachDtlPageDetail.do?idx_cd=1037 (accessed on 18 December 2024).
- Yoo, J.W.; Park, S.Y.; Lee, K.; Lee, D.; Lee, Y.; Lee, S.H. Impacts of plateau-induced lee troughs on regional PM2.5 over the Korean Peninsula. Atmos. Pollut. Res. 2022, 13, 101459. [Google Scholar] [CrossRef]
- Park, S.Y.; Jang, H.; Kwon, J.; Choi, Y.; Kim, K.R.; Ha, H.J.; Lim, H.; Park, J.S.; Lee, C.M. Integrated source analysis of particulate and gaseous pollutants: Seoul as an urban case study. J. Hazard. Mater. Adv. 2025, 17, 100535. [Google Scholar] [CrossRef]
- NIER. Air Pollution Process Testing Standards; South Korean Government: Seoul, Republic of Korea, 2024.
- Lee, Y.S.; Kim, Y.K.; Choi, E.; Jo, H.; Hyun, H.; Yi, S.M.; Kim, J.Y. Health risk assessment and source apportionment of PM2.5-bound toxic elements in the industrial city of Siheung, Korea. Environ. Sci. Pollut. Res. 2022, 29, 66591–66604. [Google Scholar]
- Zhang, X.; Eto, Y.; Aikawa, M. Risk assessment and management of PM2.5-bound heavy metals in the urban area of Kitakyushu, Japan. Sci. Total Environ. 2021, 795, 148748. [Google Scholar] [CrossRef]
- Okuda, T.; Nakao, S.; Katsuno, M.; Tanaka, S. Source identification of nickel in TSP and PM2.5 in Tokyo, Japan. Atmos. Environ. 2007, 41, 7642–7648. [Google Scholar]
- Li, J.; Cen, Y.; Li, Y. The research advances in the mechanism of manganese-induced neurotoxicity. Toxin Rev. 2019, 38, 54–60. [Google Scholar] [CrossRef]
- Sharma, S.; Katrak, S.M. Chronic manganese toxicity in Indian mines—An historical account of the contributions of Dr. TP Niyogi. Indian Acad. Neurol. 2021, 24, 81–83. [Google Scholar] [CrossRef]
- Al Kuisi, M.; Al-Hwaiti, M.; Mashal, K.; Abed, A.M. Spatial distribution patterns of molybdenum (Mo) concentrations in potable groundwater in Northern Jordan. Environ. Monit. Assess. 2015, 187, 1–26. [Google Scholar]
- Ji, Y.; Feng, Y.; Wu, J.; Zhu, T.; Bai, Z.; Duan, C. Using geoaccumulation index to study source profiles of soil dust in China. J. Environ. Sci. 2008, 20, 571–578. [Google Scholar] [CrossRef] [PubMed]
- Deng, S.; Shi, Y.; Liu, Y.; Zhang, C.; Wang, X.; Cao, Q.; Zhang, F. Emission characteristics of Cd, Pb and Mn from coal combustion: Field study at coal-fired power plants in China. Fuel Process. Technol. 2014, 126, 469–475. [Google Scholar] [CrossRef]
- Mokhtar, M.M.; Taib, R.M.; Hassim, M.H. Understanding selected trace elements behavior in a coal-fired power plant in Malaysia for assessment of abatement technologies. J. Air Waste Manag. Assoc. 2014, 64, 867–878. [Google Scholar] [CrossRef] [PubMed]
- Hedberg, E.; Gidhagen, L.; Johansson, C. Source contributions to PM10 and arsenic concentrations in Central Chile using positive matrix factorization. Atmos. Environ. 2005, 39, 549–561. [Google Scholar]
- Dai, Q.L.; Bi, X.H.; Wu, J.H.; Zhang, Y.F.; Wang, J.; Xu, H.; Feng, Y.C. Characterization and source identification of heavy metals in ambient PM10 and PM2.5 in an integrated iron and steel industry zone compared with a background site. Aerosol Air Qual. Res. 2015, 15, 875–887. [Google Scholar] [CrossRef]
- Jablonska, M.; Rietmeijer, F.J.; Janeczek, J. Fine-grained barite in coal fly ash from the Upper Silesian Industrial Region. Environ. Geol. 2001, 40, 941–948. [Google Scholar]
- Thorpe, A.; Harrison, R.M. Sources and properties of non-exhaust particulate matter from road traffic: A review. Sci. Total Environ. 2008, 400, 270–282. [Google Scholar] [CrossRef]
- Grandjean, P. Widening perspectives of lead toxicity: A review of health effects of lead exposure in adults. Environ. Res. 1978, 17, 303–321. [Google Scholar] [CrossRef]
- WHO. Lead Poisoning. 2024. Available online: https://www.who.int/news-room/fact-sheets/detail/lead-poisoning-and-health (accessed on 19 January 2025).
- Lemly, A.D. Evaluation of the hazard quotient method for risk assessment of selenium. Ecotoxicol. Environ. Saf. 1996, 35, 156–162. [Google Scholar] [CrossRef]
- Khillare, P.S.; Sarkar, S. Airborne inhalable metals in residential areas of Delhi, India: Distribution, source apportionment and health risks. Atmos. Pollut. Res. 2012, 3, 46–54. [Google Scholar]
- Fan, M.Y.; Zhang, Y.L.; Lin, Y.C.; Cao, F.; Sun, Y.; Qiu, Y.; Xing, G.; Dao, X.; Fu, P. Specific sources of health risks induced by metallic elements in PM2.5 during the wintertime in Beijing China. Atmos. Environ. 2021, 246, 118112. [Google Scholar] [CrossRef]
Disclaimer/Publisher’s Note: The statements, opinions and data contained in all publications are solely those of the individual author(s) and contributor(s) and not of MDPI and/or the editor(s). MDPI and/or the editor(s) disclaim responsibility for any injury to people or property resulting from any ideas, methods, instructions or products referred to in the content. |
© 2025 by the authors. Licensee MDPI, Basel, Switzerland. This article is an open access article distributed under the terms and conditions of the Creative Commons Attribution (CC BY) license (https://creativecommons.org/licenses/by/4.0/).


