Exposure to Volatile Organic Compounds in Relation to Visceral Adiposity Index and Lipid Accumulation Product Among U.S. Adults: NHANES 2011–2018
Abstract
1. Introduction
2. Methods
2.1. Study Population
2.2. Measurement of Urinary VOC Metabolites
2.3. Assessment of Outcomes
2.4. Assessment of Covariates
2.5. Statistical Analysis
2.5.1. Individual VOC Metabolite Exposure Analysis
2.5.2. Mixed VOC Metabolite Exposure Analysis
3. Results
3.1. Baseline Characteristics of the Study Population
3.2. Distribution and Correlation of Urinary VOC Metabolites
3.3. Association of Individual Urinary VOC Metabolites with VAI and LAP
Associations of Urinary VOC Metabolites with VAI and LAP in Stratified Analyses
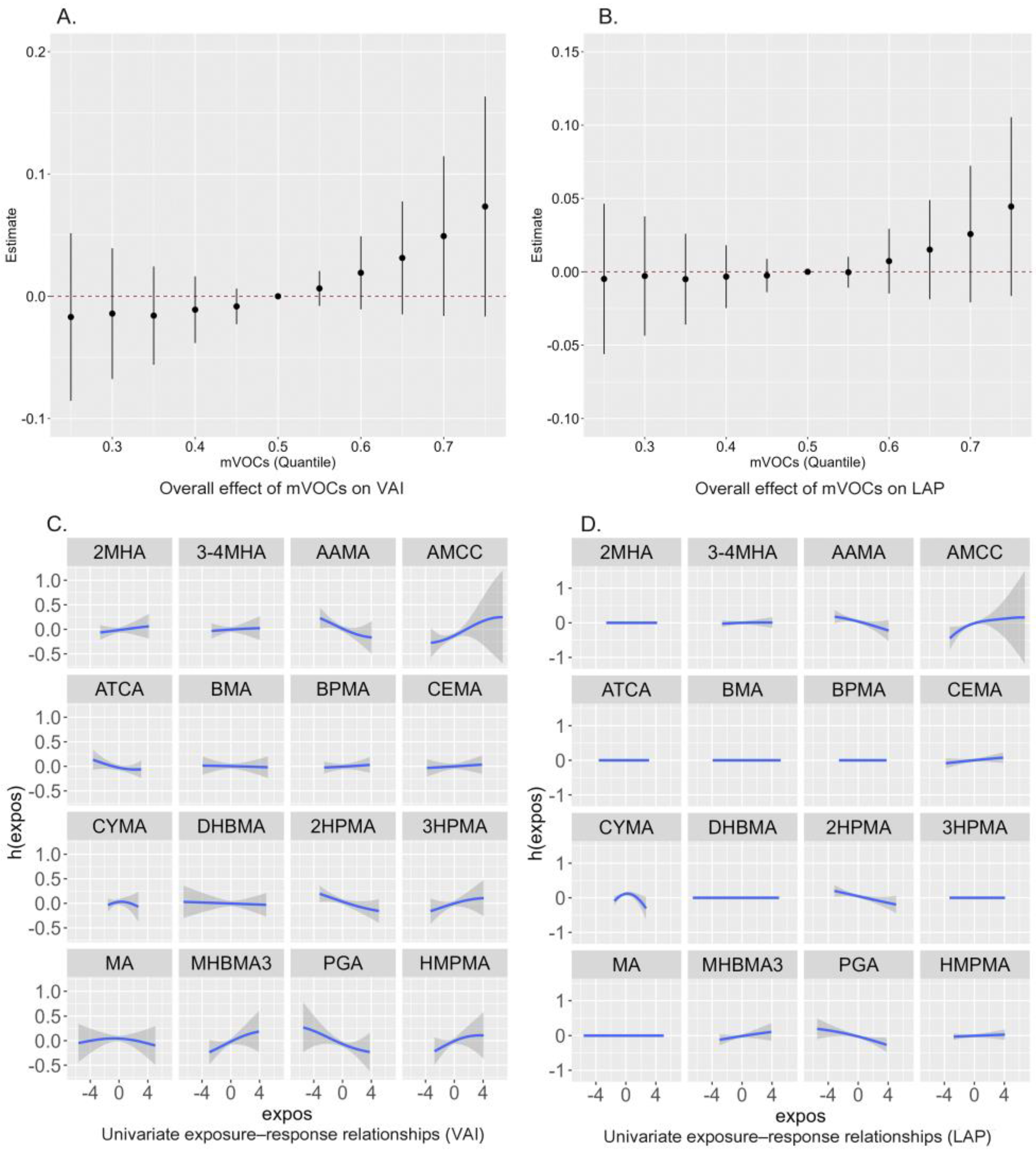
3.4. The Overall Effect of Mixed mVOCs on VAI and LAP
4. Discussion
5. Conclusions
Supplementary Materials
Author Contributions
Funding
Institutional Review Board Statement
Informed Consent Statement
Data Availability Statement
Conflicts of Interest
Abbreviations
References
- World Health Organization. Obesity and Overweight—Fact Sheets. Available online: https://www.who.int/en/news-room/fact-sheets/detail/obesity-and-overweight (accessed on 10 October 2024).
- Klein, S.; Gastaldelli, A.; Yki-Järvinen, H.; Scherer, P.E. Why does obesity cause diabetes? Cell Metab. 2022, 34, 11–20. [Google Scholar] [CrossRef] [PubMed]
- Powell-Wiley, T.M.; Poirier, P.; Burke, L.E.; Després, J.P.; Gordon-Larsen, P.; Lavie, C.J.; Lear, S.A.; Ndumele, C.E.; Neeland, I.J.; Sanders, P.; et al. Obesity and Cardiovascular Disease: A Scientific Statement from the American Heart Association. Circulation 2021, 143, e984–e1010. [Google Scholar] [CrossRef]
- Kotsis, V.; Stabouli, S.; Papakatsika, S.; Rizos, Z.; Parati, G. Mechanisms of obesity-induced hypertension. Hypertens. Res. 2010, 33, 386–393. [Google Scholar] [CrossRef]
- Piché, M.E.; Tchernof, A.; Després, J.P. Obesity Phenotypes, Diabetes, and Cardiovascular Diseases. Circ. Res. 2020, 126, 1477–1500. [Google Scholar] [CrossRef]
- Ibrahim, M.M. Subcutaneous and visceral adipose tissue: Structural and functional differences. Obes. Rev. 2010, 11, 11–18. [Google Scholar] [CrossRef]
- Ahima, R.S.; Lazar, M.A. The health risk of obesity—Better metrics imperative. Science 2013, 341, 856–858. [Google Scholar] [CrossRef]
- Lopes, H.F.; Corrêa-Giannella, M.L.; Consolim-Colombo, F.M.; Egan, B.M. Visceral adiposity syndrome. Diabetol. Metab. Syndr. 2016, 8, 40. [Google Scholar] [CrossRef]
- Khalil, W.J.; Akeblersane, M.; Khan, A.S.; Moin, A.S.M.; Butler, A.E. Environmental pollution and the risk of developing metabolic disorders: Obesity and diabetes. Int. J. Mol. Sci. 2023, 24, 8870. [Google Scholar] [CrossRef]
- Wang, C.; Meng, X.-c.; Huang, C.; Wang, J.; Liao, Y.-h.; Huang, Y.; Liu, R. Association between ambient air pollutants and lipid profile: A systematic review and meta-analysis. Ecotoxicol. Environ. Saf. 2023, 262, 115140. [Google Scholar] [CrossRef]
- Zhou, X.; Zhou, X.; Wang, C.; Zhou, H. Environmental and human health impacts of volatile organic compounds: A perspective review. Chemosphere 2023, 313, 137489. [Google Scholar] [CrossRef]
- Liu, N.; Bu, Z.; Liu, W.; Kan, H.; Zhao, Z.; Deng, F.; Huang, C.; Zhao, B.; Zeng, X.; Sun, Y.; et al. Indoor exposure levels and risk assessment of volatile organic compounds in residences, schools, and offices in China from 2000 to 2021: A systematic review. Indoor Air 2022, 32, e13091. [Google Scholar] [CrossRef] [PubMed]
- Kwon, J.W.; Park, H.W.; Kim, W.J.; Kim, M.G.; Lee, S.J. Exposure to volatile organic compounds and airway inflammation. Environ. Health 2018, 17, 65. [Google Scholar] [CrossRef] [PubMed]
- Lin, L.Y.; Chuang, H.C.; Liu, I.J.; Chen, H.W.; Chuang, K.J. Reducing indoor air pollution by air conditioning is associated with improvements in cardiovascular health among the general population. Sci. Total Environ. 2013, 463–464, 176–181. [Google Scholar] [CrossRef] [PubMed]
- Dong, R.; Chang, D.; Shen, C.; Shen, Y.; Shen, Z.; Tian, T.; Wang, J. Association of volatile organic compound exposure with metabolic syndrome and its components: A nationwide cross-sectional study. BMC Public Health 2024, 24, 671. [Google Scholar] [CrossRef] [PubMed]
- Lee, I.; Park, H.; Kim, M.J.; Kim, S.; Choi, S.; Park, J.; Cho, Y.H.; Hong, S.; Yoo, J.; Cheon, G.J. Exposure to polycyclic aromatic hydrocarbons and volatile organic compounds is associated with a risk of obesity and diabetes mellitus among Korean adults: Korean National Environmental Health Survey (KoNEHS) 2015–2017. Int. J. Hyg. Environ. Health 2022, 240, 113886. [Google Scholar] [CrossRef]
- Lei, T.; Qian, H.; Yang, J.; Hu, Y. The association analysis between exposure to volatile organic chemicals and obesity in the general USA population: A cross-sectional study from NHANES program. Chemosphere 2023, 315, 137738. [Google Scholar] [CrossRef]
- Amato, M.C.; Giordano, C.; Galia, M.; Criscimanna, A.; Vitabile, S.; Midiri, M.; Galluzzo, A. Visceral Adiposity Index: A reliable indicator of visceral fat function associated with cardiometabolic risk. Diabetes Care 2010, 33, 920–922. [Google Scholar] [CrossRef]
- Zhou, T.; Chen, S.; Mao, J.; Zhu, P.; Yu, X.; Lin, R. Association between obstructive sleep apnea and visceral adiposity index and lipid accumulation product: NHANES 2015–2018. Lipids Health Dis. 2024, 23, 100. [Google Scholar] [CrossRef]
- Kahn, H.S. The ”lipid accumulation product” performs better than the body mass index for recognizing cardiovascular risk: A population-based comparison. BMC Cardiovasc. Disord. 2005, 5, 26. [Google Scholar] [CrossRef]
- Ding, Y.S.; Blount, B.C.; Valentin-Blasini, L.; Applewhite, H.S.; Xia, Y.; Watson, C.H.; Ashley, D.L. Simultaneous determination of six mercapturic acid metabolites of volatile organic compounds in human urine. Chem. Res. Toxicol. 2009, 22, 1018–1025. [Google Scholar] [CrossRef]
- Alwis, K.U.; Blount, B.C.; Britt, A.S.; Patel, D.; Ashley, D.L. Simultaneous analysis of 28 urinary VOC metabolites using ultra high performance liquid chromatography coupled with electrospray ionization tandem mass spectrometry (UPLC-ESI/MSMS). Anal. Chim. Acta 2012, 750, 152–160. [Google Scholar] [CrossRef] [PubMed]
- Wang, X.; Chen, Z.; Cheng, D.; Cao, Y.; Xie, X.; Zhou, J.; Wu, Y.; Li, X.; Yu, J.; Yang, B. Association between urinary metabolites of volatile organic compounds and cardiovascular disease in the general population from NHANES 2011–2018. Ecotoxicol. Environ. Saf. 2023, 264, 115412. [Google Scholar] [CrossRef]
- Paulose-Ram, R.; Burt, V.; Broitman, L.; Ahluwalia, N. Overview of Asian American Data Collection, Release, and Analysis: National Health and Nutrition Examination Survey 2011–2018. Am. J. Public Health 2017, 107, 916–921. [Google Scholar] [CrossRef]
- Tan, Y.; Fu, Y.; Yao, H.; Li, H.; Wu, X.; Guo, Z.; Liang, X.; Kuang, M.; Tan, L.; Jing, C. The relationship of organophosphate flame retardants with hyperuricemia and gout via the inflammatory response: An integrated approach. Sci. Total Environ. 2024, 908, 168169. [Google Scholar] [CrossRef]
- Tian, X.; Xue, B.; Wang, B.; Lei, R.; Shan, X.; Niu, J.; Luo, B. Physical activity reduces the role of blood cadmium on depression: A cross-sectional analysis with NHANES data. Environ. Pollut. 2022, 304, 119211. [Google Scholar] [CrossRef]
- Krebs-Smith, S.M.; Pannucci, T.E.; Subar, A.F.; Kirkpatrick, S.I.; Lerman, J.L.; Tooze, J.A.; Wilson, M.M.; Reedy, J. Update of the Healthy Eating Index: HEI-2015. J. Acad. Nutr. Diet. 2018, 118, 1591–1602. [Google Scholar] [CrossRef]
- Wang, X.; He, W.; Wu, X.; Song, X.; Yang, X.; Zhang, G.; Niu, P.; Chen, T. Exposure to volatile organic compounds is a risk factor for diabetes: A cross-sectional study. Chemosphere 2023, 338, 139424. [Google Scholar] [CrossRef]
- Lu, L.; Ni, R. Association between polycyclic aromatic hydrocarbon exposure and hypertension among the U.S. adults in the NHANES 2003-2016: A cross-sectional study. Environ. Res. 2023, 217, 114907. [Google Scholar] [CrossRef]
- Zhan, J.J.; Hodge, R.A.; Dunlop, A.L.; Lee, M.M.; Bui, L.; Liang, D.; Ferranti, E.P. Dietaryindex: A user-friendly and versatile R package for standardizing dietary pattern analysis in epidemiological and clinical studies. Am. J. Clin. Nutr. 2024, 120, 1165–1174. [Google Scholar] [CrossRef]
- Carrico, C.; Gennings, C.; Wheeler, D.C.; Factor-Litvak, P. Characterization of Weighted Quantile Sum Regression for Highly Correlated Data in a Risk Analysis Setting. J. Agric. Biol. Environ. Stat. 2015, 20, 100–120. [Google Scholar] [CrossRef]
- Bobb, J.F.; Valeri, L.; Claus Henn, B.; Christiani, D.C.; Wright, R.O.; Mazumdar, M.; Godleski, J.J.; Coull, B.A. Bayesian kernel machine regression for estimating the health effects of multi-pollutant mixtures. Biostatistics 2015, 16, 493–508. [Google Scholar] [CrossRef] [PubMed]
- Zhang, Z.; Zhong, Q.; Qian, Z.; Zeng, X.; Zhang, J.; Xu, X.; Hylkema, M.N.; Nolte, I.M.; Snieder, H.; Huo, X. Alterations of gut microbiota and its metabolomics in children with 6PPDQ, PBDE, PCB, and metal(loid) exposure. J. Hazard. Mater. 2024, 475, 134862. [Google Scholar] [CrossRef] [PubMed]
- Arsenault, B.J.; Lemieux, I.; Després, J.-P.; Wareham, N.J.; Kastelein, J.J.; Khaw, K.-T.; Boekholdt, S.M. The hypertriglyceridemic-waist phenotype and the risk of coronary artery disease: Results from the EPIC-Norfolk prospective population study. Can. Med. Assoc. J. 2010, 182, 1427–1432. [Google Scholar] [CrossRef] [PubMed]
- LeBlanc, S.; Coulombe, F.; Bertrand, O.F.; Bibeau, K.; Pibarot, P.; Marette, A.; Alméras, N.; Lemieux, I.; Després, J.P.; Larose, E. Hypertriglyceridemic waist: A simple marker of high-risk atherosclerosis features associated with excess visceral adiposity/ectopic fat. J. Am. Heart Assoc. 2018, 7, e008139. [Google Scholar] [CrossRef]
- Grešner, P.; Król, M.B.; Świercz, R.; Gromadzińska, J. Blood plasma levels of biomarkers of liver status and lipid profile among nail technicians occupationally exposed to low-level mixture of volatile organic compounds. Int. Arch. Occup. Environ. Health 2021, 94, 487–494. [Google Scholar] [CrossRef]
- Chen, W.-Y.; Fu, Y.-P.; Tu, H.; Zhong, W.; Zhou, L. The association between exposure to volatile organic compounds and serum lipids in the US adult population. Lipids Health Dis. 2023, 22, 129. [Google Scholar] [CrossRef]
- Tan, L.; Liu, Y.; Liu, J.; Liu, Z.; Shi, R. Associations of individual and mixture exposure to volatile organic compounds with metabolic syndrome and its components among US adults. Chemosphere 2024, 347, 140683. [Google Scholar] [CrossRef]
- Wang, J.; Jin, X.; Chen, K.; Yan, W.; Wang, A.; Zhu, B.; Wang, W.; Gao, Z.; Tang, X.; Yan, L. Visceral adiposity index is closely associated with urinary albumin-creatinine ratio in the Chinese population with prediabetes. Diabetes Metab. Res. Rev. 2021, 37, e3424. [Google Scholar] [CrossRef]
- Ioachimescu, A.G.; Brennan, D.M.; Hoar, B.M.; Hoogwerf, B.J. The lipid accumulation product and all-cause mortality in patients at high cardiovascular risk: A PreCIS database study. Obesity 2010, 18, 1836–1844. [Google Scholar] [CrossRef]
- Kouli, G.M.; Panagiotakos, D.B.; Kyrou, I.; Georgousopoulou, E.N.; Chrysohoou, C.; Tsigos, C.; Tousoulis, D.; Pitsavos, C. Visceral adiposity index and 10-year cardiovascular disease incidence: The ATTICA study. Nutr. Metab. Cardiovasc. Dis. 2017, 27, 881–889. [Google Scholar] [CrossRef]
- Kahn, H.S. The lipid accumulation product is better than BMI for identifying diabetes: A population-based comparison. Diabetes Care 2006, 29, 151–153. [Google Scholar] [CrossRef] [PubMed]
- Chen, Z.-y.; Liu, L.; Zhuang, X.-x.; Zhang, Y.-c.; Ma, Y.-n.; Liu, Y.; Wen, D.-l. Lipid accumulation product is a better predictor of metabolic syndrome in Chinese adolescents: A cross-sectional study. Front. Endocrinol. 2023, 14, 1179990. [Google Scholar] [CrossRef] [PubMed]
- Lin, X.; Li, H. Obesity: Epidemiology, pathophysiology, and therapeutics. Front. Endocrinol. 2021, 12, 706978. [Google Scholar] [CrossRef]
- Rana, M.N.; Neeland, I.J. Adipose tissue inflammation and cardiovascular disease: An update. Curr. Diabetes Rep. 2022, 22, 27–37. [Google Scholar] [CrossRef] [PubMed]
- Martínez-Esquivel, A.; Trujillo-Silva, D.J.; Cilia-López, V.G. Impact of environmental pollution on the obesogenic environment. Nutr. Rev. 2022, 80, 1787–1799. [Google Scholar] [CrossRef]
- Park, S.E.; Park, C.-Y.; Choi, J.M.; Chang, E.; Rhee, E.-J.; Lee, W.-Y.; Oh, K.W.; Park, S.W.; Kang, E.S.; Lee, H.C. Depot-specific changes in fat metabolism with aging in a type 2 diabetic animal model. PLoS ONE 2016, 11, e0148141. [Google Scholar] [CrossRef]
- Shen, Q.; Liu, Y.; Li, G.; An, T. A review of disrupted biological response associated with volatile organic compound exposure: Insight into identification of biomarkers. Sci. Total Environ. 2024, 948, 174924. [Google Scholar] [CrossRef]
- Keane, K.N.; Cruzat, V.F.; Carlessi, R.; de Bittencourt, P.I.H., Jr.; Newsholme, P. Molecular events linking oxidative stress and inflammation to insulin resistance and β-cell dysfunction. Oxid. Med. Cell Longev. 2015, 2015, 181643. [Google Scholar] [CrossRef]
- Duan, X.; Chen, Z.; Xia, C.; Zhong, R.; Liu, L.; Long, L. Increased levels of urine volatile organic compounds are associated with diabetes risk and impaired glucose homeostasis. J. Clin. Endocrinol. Metab. 2024, 109, e531–e542. [Google Scholar] [CrossRef]
- Yan, S.; Chen, S.; Liu, Y.; Liang, H.; Zhang, X.; Zhang, Q.; Xiu, J. Associations of serum carotenoids with visceral adiposity index and lipid accumulation product: A cross-sectional study based on NHANES 2001–2006. Lipids Health Dis 2023, 22, 209. [Google Scholar] [CrossRef]
- Henning, R.J.; Johnson, G.T.; Coyle, J.P.; Harbison, R.D. Acrolein can cause cardiovascular disease: A review. Cardiovasc. Toxicol. 2017, 17, 227–236. [Google Scholar] [CrossRef] [PubMed]
- Aydın, B.; Şekeroğlu, Z.A.; Şekeroğlu, V. Effects of whey protein and conjugated linoleic acid on acrolein-induced cardiac oxidative stress, mitochondrial dysfunction and dyslipidemia in rats. Biomed. Pharmacother. 2018, 107, 901–907. [Google Scholar] [CrossRef]
- Conklin, D.J.; Barski, O.A.; Lesgards, J.-F.; Juvan, P.; Rezen, T.; Rozman, D.; Prough, R.A.; Vladykovskaya, E.; Liu, S.; Srivastava, S. Acrolein consumption induces systemic dyslipidemia and lipoprotein modification. Toxicol. Appl. Pharmacol. 2010, 243, 1–12. [Google Scholar] [CrossRef] [PubMed]
- Jhuo, J.-Y.; Tong, Z.-J.; Ku, P.-H.; Cheng, H.-W.; Wang, H.-T. Acrolein induces mitochondrial dysfunction and insulin resistance in muscle and adipose tissues in vitro and in vivo. Environ. Pollut. 2023, 336, 122380. [Google Scholar] [CrossRef] [PubMed]
- Medina-Navarro, R.; Guzmán-Grenfell, A.M.; Díaz-Flores, M.; Duran-Reyes, G.; Ortega-Camarillo, C.; Olivares-Corichi, I.M.; Hicks, J.J. Formation of an adduct between insulin and the toxic lipoperoxidation product acrolein decreases both the hypoglycemic effect of the hormone in rat and glucose uptake in 3T3 adipocytes. Chem. Res. Toxicol. 2007, 20, 1477–1481. [Google Scholar] [CrossRef] [PubMed]
- Wang, C.; Yang, J.; Lu, D.; Fan, Y.; Zhao, M.; Li, Z. Oxidative stress-related DNA damage and homologous recombination repairing induced by N, N-dimethylformamide. J. Appl. Toxicol. 2016, 36, 936–945. [Google Scholar] [CrossRef]
- Rui, D.; Daojun, C.; Yongjian, Y. Liver and heart toxicity due to 90-day oral exposure of ICR mice to N, N-dimethylformamide. Environ. Toxicol. Pharmacol. 2011, 31, 357–363. [Google Scholar] [CrossRef]
- Xu, L.; Zhao, Q.; Luo, J.; Ma, W.; Jin, Y.; Li, C.; Hou, Y.; Feng, M.; Wang, Y.; Chen, J. Integration of proteomics, lipidomics, and metabolomics reveals novel metabolic mechanisms underlying N, N-dimethylformamide induced hepatotoxicity. Ecotoxicol. Environ. Saf. 2020, 205, 111166. [Google Scholar] [CrossRef]
- Li, M.-J.; Zeng, T. The deleterious effects of N, N-dimethylformamide on liver: A mini-review. Chem. Biol. Interact. 2019, 298, 129–136. [Google Scholar] [CrossRef]
- Lin, C.-Y.; Lee, H.-L.; Sung, F.-C.; Su, T.-C. Investigating the association between urinary levels of acrylonitrile metabolite N-acetyl-S-(2-cyanoethyl)-L-cysteine and the oxidative stress product 8-hydroxydeoxyguanosine in adolescents and young adults. Environ. Pollut. 2018, 239, 493–498. [Google Scholar] [CrossRef]
- Zhang, B.; Li, S.; Men, J.; Peng, C.; Shao, H.; Zhang, Z. Long-term exposure to crotonaldehyde causes heart and kidney dysfunction through induction of inflammatory and oxidative damage in male Wistar rats. Toxicol. Mech. Methods 2019, 29, 263–275. [Google Scholar] [CrossRef] [PubMed]
- Kirman, C.R.; Albertini, R.J.; Sweeney, L.M.; Gargas, M.L. 1, 3-Butadiene: I. Review of metabolism and the implications to human health risk assessment. Crit. Rev. Toxicol. 2010, 40, 1–11. [Google Scholar] [CrossRef] [PubMed]
- Lian, X.; Guo, J.; Wang, Y.; Wang, S.; Li, J. Association between Volatile Organic Compound Exposure and Sex Hormones in Adolescents: The Mediating Role of Serum Albumin. Toxics 2024, 12, 438. [Google Scholar] [CrossRef] [PubMed]
- Sasson, S.; Notides, A.C. The effects of dimethylformamide on the interaction of the estrogen receptor with estradiol. J. Steroid Biochem. 1988, 29, 491–495. [Google Scholar] [CrossRef]
- Agency for Toxic Substances and Disease Registry (ATSDR). Toxicological Profile for Acrylamide. Available online: https://www.atsdr.cdc.gov/toxprofiles/tp203.pdf (accessed on 14 October 2024).
- Agency for Toxic Substances and Disease Registry (ATSDR). Toxicological Profile for Cyanide. Available online: https://www.atsdr.cdc.gov/toxprofiles/tp8.pdf (accessed on 14 October 2024).
- Li, A.J.; Pal, V.K.; Kannan, K. A review of environmental occurrence, toxicity, biotransformation and biomonitoring of volatile organic compounds. Environ. Chem. Ecotoxicol. 2021, 3, 91–116. [Google Scholar] [CrossRef]
- Agency for Toxic Substances and Disease Registry (ATSDR). Toxicological Profile for Ethylbenzene. Available online: https://www.atsdr.cdc.gov/ToxProfiles/tp110.pdf (accessed on 14 October 2024).
- Rowan, D.D. Volatile metabolites. Metabolites 2011, 1, 41–63. [Google Scholar] [CrossRef]
- Oyerinde, A.S.; Selvaraju, V.; Babu, J.R.; Geetha, T. Potential Role of Oxidative Stress in the Production of Volatile Organic Compounds in Obesity. Antioxidants 2023, 12, 129. [Google Scholar] [CrossRef]





| Overall | Male | Female | p-Value | |
|---|---|---|---|---|
| N | 2015 | 1057 | 958 | |
| Age (years, mean (SD)) | 47.57 (16.72) | 46.09 (16.44) | 49.17 (16.88) | 0.007 |
| PIR (median [IQR]) | 2.95 [1.49, 4.92] | 3.06 [1.59, 4.92] | 2.89 [1.32, 4.92] | 0.121 |
| Race, n (%) | 0.011 | |||
| Hispanic | 461 (13.39) | 242 (14.83) | 219 (11.82) | |
| Non-Hispanic White | 817 (69.26) | 432 (70.06) | 385 (68.39) | |
| Non-Hispanic Black | 443 (10.12) | 229 (8.76) | 214 (11.58) | |
| Other races | 294 (7.24) | 154 (6.35) | 140 (8.21) | |
| Education, n (%) | 0.322 | |||
| High school graduate and below | 867 (37.15) | 489 (38.87) | 378 (35.28) | |
| Above high school | 1148 (62.85) | 568 (61.13) | 580 (64.72) | |
| BMI 1 | 0.013 | |||
| <25 kg/m2 | 576 (28.21) | 298 (26.11) | 278 (30.49) | |
| 25–30 kg/m2 | 649 (32.50) | 390 (36.92) | 259 (27.71) | |
| ≥30 kg/m2 | 790 (39.29) | 369 (36.97) | 421 (41.80) | |
| Smoker, n (%) | <0.001 | |||
| No | 1108 (55.50) | 492 (48.68) | 616 (62.90) | |
| Yes | 907 (45.50) | 565 (51.32) | 342 (37.10) | |
| Cotinine, n (%) 2 | 0.014 | |||
| <0.015 ng/mL | 643 (35.01) | 296 (30.60) | 347 (39.78) | |
| ≥0.015 ng/mL | 1372 (64.99) | 761 (69.40) | 611 (60.22) | |
| Alcohol consumption per day (drinks, median [IQR]) | 0.08 [0.00, 0.57] | 0.20 [0.02, 1.00] | 0.03 [0.00, 0.28] | <0.001 |
| HEI-2015 (mean (SD)) | 50.25 (13.86) | 49.06 (13.54) | 51.55 (14.10) | 0.014 |
| Physical activity, n (%) | <0.001 | |||
| No | 479 (19.40) | 215 (15.39) | 264 (23.73) | |
| Moderate | 896 (45.60) | 422 (39.83) | 474 (51.85) | |
| Vigorous | 640 (35.01) | 420 (44.78) | 220 (24.42) | |
| Hypertension, n (%) | 0.190 | |||
| No | 1137 (61.32) | 570 (59.53) | 567 (63.26) | |
| Yes | 878 (38.68) | 487 (40.47) | 391 (36.74) | |
| Diabetes, n (%) | 0.397 | |||
| No | 1568 (83.11) | 804 (82.12) | 764 (84.18) | |
| Yes | 447 (16.89) | 253 (17.88) | 194 (15.82) | |
| CVD, n (%) | 0.008 | |||
| No | 1804 (92.09) | 921 (90.31) | 883 (94.01) | |
| Yes | 211 (7.91) | 136 (9.69) | 75 (5.99) | |
| VAI (median [IQR]) | 1.33 [0.78, 2.31] | 1.34 [0.76, 2.36] | 1.30 [0.81, 2.25] | 0.932 |
| LAP (median [IQR]) | 42.22 [21.88, 72.13] | 42.96 [23.07, 72.93] | 40.95 [21.45, 69.83] | 0.171 |
| Positive WQS Model | Negative WQS Model | |||
|---|---|---|---|---|
| β (95% CI) | p-value | β (95% CI) | p-value | |
| VAI | 0.084 (0.022, 0.147) | 0.008 | 0.003 (−0.056, 0.061) | 0.933 |
| LAP | 0.046 (−0.012, 0.105) | 0.120 | −0.029 (−0.090, 0.031) | 0.342 |
Disclaimer/Publisher’s Note: The statements, opinions and data contained in all publications are solely those of the individual author(s) and contributor(s) and not of MDPI and/or the editor(s). MDPI and/or the editor(s) disclaim responsibility for any injury to people or property resulting from any ideas, methods, instructions or products referred to in the content. |
© 2025 by the authors. Licensee MDPI, Basel, Switzerland. This article is an open access article distributed under the terms and conditions of the Creative Commons Attribution (CC BY) license (https://creativecommons.org/licenses/by/4.0/).
Share and Cite
Qian, Z.; Dai, C.; Chen, S.; Yang, L.; Huo, X. Exposure to Volatile Organic Compounds in Relation to Visceral Adiposity Index and Lipid Accumulation Product Among U.S. Adults: NHANES 2011–2018. Toxics 2025, 13, 46. https://doi.org/10.3390/toxics13010046
Qian Z, Dai C, Chen S, Yang L, Huo X. Exposure to Volatile Organic Compounds in Relation to Visceral Adiposity Index and Lipid Accumulation Product Among U.S. Adults: NHANES 2011–2018. Toxics. 2025; 13(1):46. https://doi.org/10.3390/toxics13010046
Chicago/Turabian StyleQian, Ziyi, Chenxu Dai, Siyan Chen, Linjie Yang, and Xia Huo. 2025. "Exposure to Volatile Organic Compounds in Relation to Visceral Adiposity Index and Lipid Accumulation Product Among U.S. Adults: NHANES 2011–2018" Toxics 13, no. 1: 46. https://doi.org/10.3390/toxics13010046
APA StyleQian, Z., Dai, C., Chen, S., Yang, L., & Huo, X. (2025). Exposure to Volatile Organic Compounds in Relation to Visceral Adiposity Index and Lipid Accumulation Product Among U.S. Adults: NHANES 2011–2018. Toxics, 13(1), 46. https://doi.org/10.3390/toxics13010046

