Short-Term Effect of Air Pollution on Daily Hospital Visits for Anxiety Disorders in Southern China with Low Pollution Concentrations
Abstract
1. Introduction
2. Materials and Methods
2.1. Study Settings and Participants
2.2. Air-Quality Data
2.3. Covariates
2.4. Statistical Analyses
- (1)
- A natural spline function of calendar time with 5 degrees of freedom () per year to account for unmeasured time and seasonal trends;
- (2)
- A natural spline functions with 2 for daily mean temperature and 2 for daily relative humidity to control weather confounders;
- (3)
- An indicator variable for the visit day of week (DOW) to address potential differences between weekdays and weekends (1 = weekends and 0 = weekdays);
- (4)
- An indicator variable for public holidays to accommodate potential holiday-related variations (1 = holidays and 0 = non-holidays);
- (5)
- An indicator variable for the COVID-19 pandemic to accommodate potential changes related to COVID-19 lockdown measures (1 = before 8 January 2023 and 0 = after 8 January 2023). We chose 8 January 2023 as the truncated time point because, after this date, COVID-19 was treated as a Category B infectious disease in China, which meant that there were no more lockdowns [23].
3. Results
3.1. General Characteristics
| Mean | SD | Min | P25 | P50 | P75 | Max | IQR | CHINA | WHO | |
|---|---|---|---|---|---|---|---|---|---|---|
| Air pollutant concentration | ||||||||||
| PM2.5 (μg/m3) | 21.67 | 12.18 | 0.00 | 13.00 | 19.00 | 29.00 | 76.00 | 16.00 | 75 | 15 |
| PM10 (μg/m3) | 36.04 | 20.27 | 0.00 | 22.00 | 32.00 | 47.00 | 145.00 | 25.00 | 150 | 45 |
| SO2 (μg/m3) | 6.81 | 1.81 | 3.00 | 6.00 | 7.00 | 8.00 | 14.00 | 2.00 | 150 | 40 |
| NO2 (μg/m3) | 19.32 | 8.80 | 4.00 | 13.00 | 18.00 | 23.50 | 57.00 | 10.50 | 80 | 25 |
| CO (mg/m3) | 0.70 | 0.19 | 0.20 | 0.60 | 0.70 | 0.80 | 1.50 | 0.20 | 4 | 4 |
| O3 (μg/m3) | 96.48 | 45.42 | 3.00 | 63.00 | 96.48 | 128.00 | 261.00 | 65.00 | 160 | 100 |
| Meteorological measure | ||||||||||
| Mean temperature (℃) | 21.03 | 6.77 | 3.79 | 15.81 | 22.25 | 26.92 | 30.83 | 11.11 | - | - |
| Relative humidity (%) | 78.17 | 11.43 | 32.45 | 72.30 | 79.29 | 87.28 | 95.08 | 14.98 | - | - |
| Surface air pressure (hpa) | 973.1 | 5.89 | 958.4 | 968.6 | 972.6 | 977.5 | 989.0 | 8.93 | - | - |
| Precipitation (mm) | 5.65 | 10.71 | 0.00 | 0.01 | 0.82 | 6.27 | 83.23 | 6.26 | - | - |
| Wind speed (m/s) | 0.94 | 0.32 | 0.50 | 0.71 | 0.85 | 1.05 | 2.76 | 0.34 | - | - |
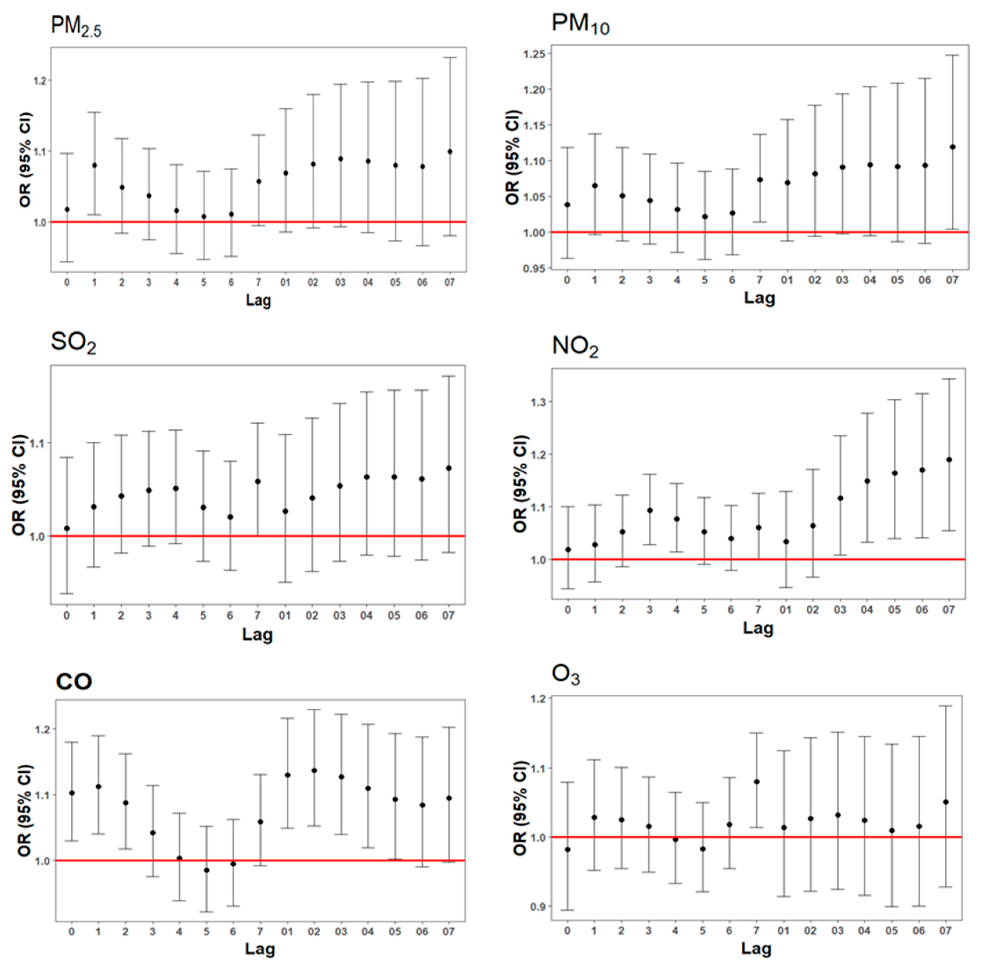
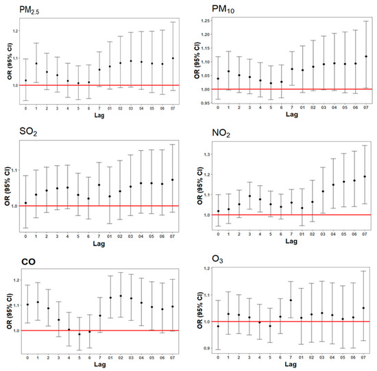
3.2. Single-Pollutant Model Results for Hospital Visits for Anxiety Disorders
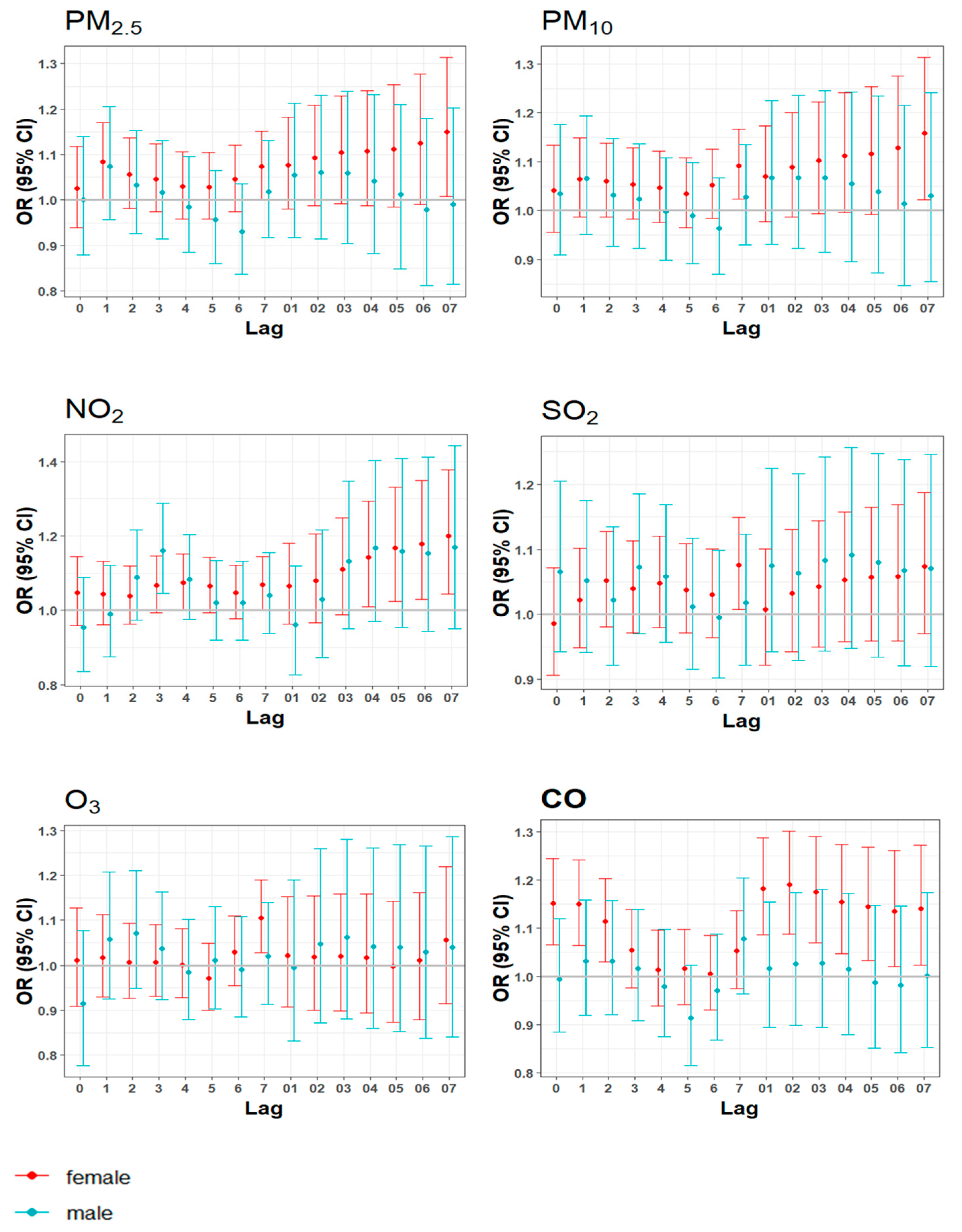
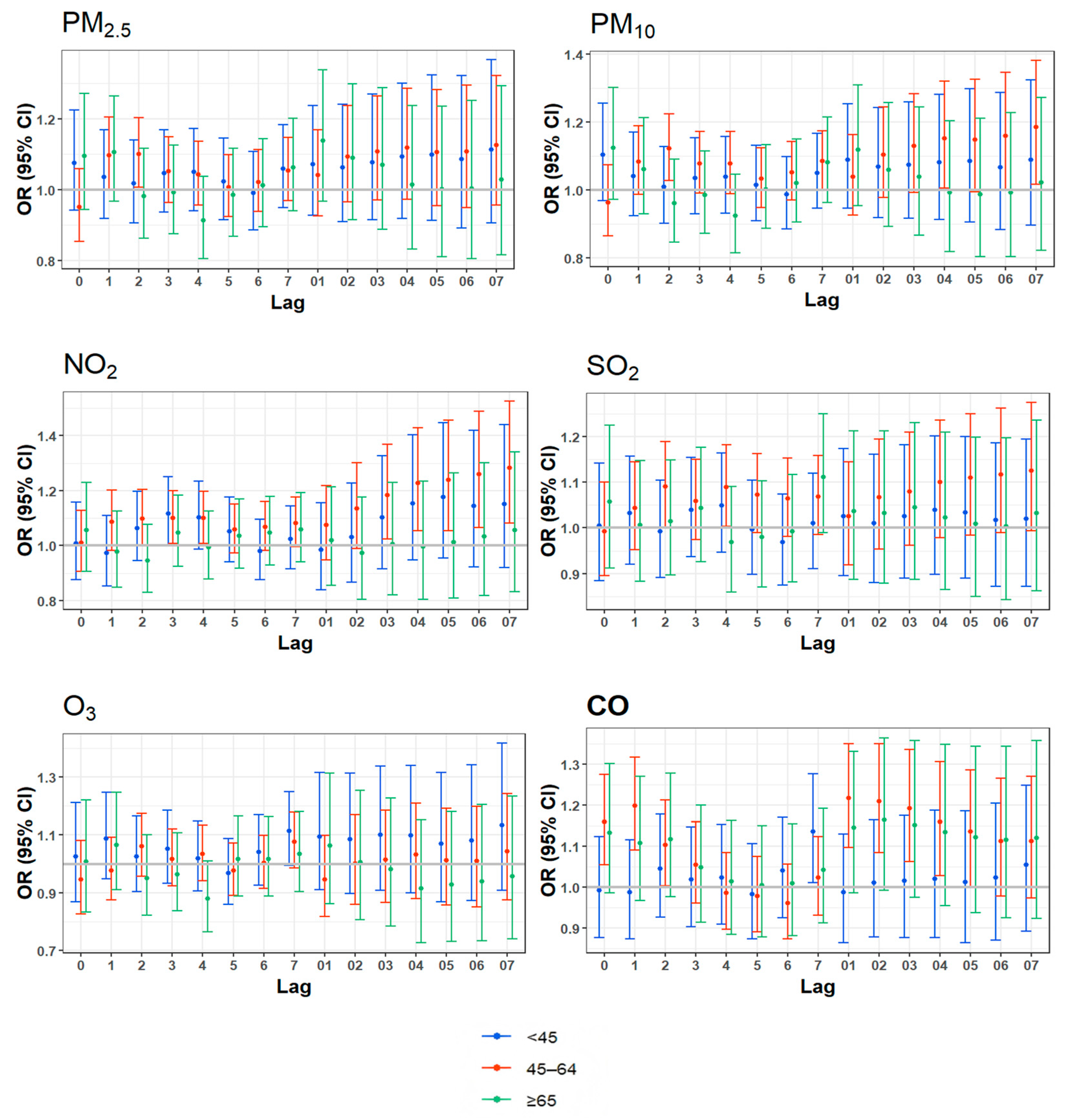
3.3. Subgroup Analyses
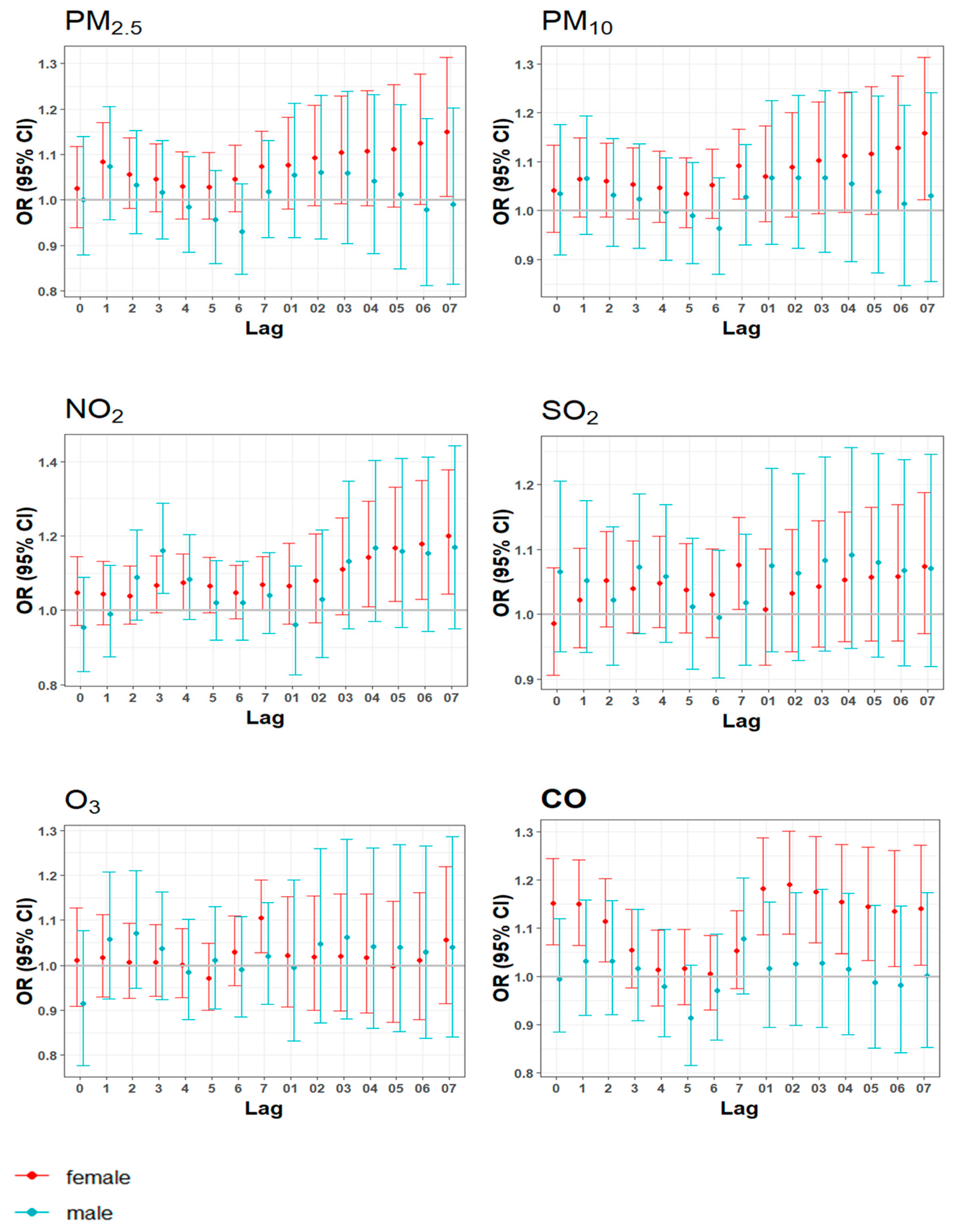
3.3.1. Effect by Gender
3.3.2. Effect by Age
3.4. Sensitivity Analyses
4. Discussion
5. Conclusions
Supplementary Materials
Author Contributions
Funding
Institutional Review Board Statement
Informed Consent Statement
Data Availability Statement
Conflicts of Interest
References
- Leichsenring, F.; Heim, N.; Steinert, C. A Review of Anxiety Disorders. JAMA 2023, 329, 1315. [Google Scholar] [CrossRef] [PubMed]
- Ferrari, A.J.; Santomauro, D.F.; Aali, A.; Abate, Y.H.; Abbafati, C.; Abbastabar, H.; ElHafeez, S.A.; Abdelmasseh, M.; Abd-Elsalam, S.; Abdollahi, A.; et al. Global incidence, prevalence, years lived with disability (YLDs), disability-adjusted life-years (DALYs), and healthy life expectancy (HALE) for 371 diseases and injuries in 204 countries and territories and 811 subnational locations, 1990–2021: A systematic analysis for the Global Burden of Disease Study 2021. Lancet 2024, 403, 2133–2161. [Google Scholar]
- GBD Results. Institute for Health Metrics and Evaluation. Available online: https://vizhub.healthdata.org/gbd-results (accessed on 20 October 2024).
- Coburn, J.L.; Cole, T.B.; Dao, K.T.; Costa, L.G. Acute exposure to diesel exhaust impairs adult neurogenesis in mice: Prominence in males and protective effect of pioglitazone. Arch. Toxicol. 2018, 92, 1815–1829. [Google Scholar] [CrossRef]
- Attademo, L.; Bernardini, F. Air Pollution as Risk Factor for Mental Disorders: In Search for a Possible Link with Alzheimer’s Disease and Schizophrenia. J. Alzheimer’s Dis. 2020, 76, 825–830. [Google Scholar] [CrossRef]
- Kyi-Tha-Thu, C.; Fujitani, Y.; Hirano, S.; Win-Shwe, T.-T. Early-Life Exposure to Traffic-Related Air Pollutants Induced Anxiety-like Behaviors in Rats via Neurotransmitters and Neurotrophic Factors. Int. J. Mol. Sci. 2023, 24, 586. [Google Scholar] [CrossRef] [PubMed]
- de Prado Bert, P.; Mercader, E.M.H.; Pujol, J.; Sunyer, J.; Mortamais, M. The Effects of Air Pollution on the Brain: A Review of Studies Interfacing Environmental Epidemiology and Neuroimaging. Curr. Environ. Health Rep. 2018, 5, 351–364. [Google Scholar] [CrossRef] [PubMed]
- Yang, T.; Wang, J.; Huang, J.; Kelly, F.J.; Li, G. Long-term Exposure to Multiple Ambient Air Pollutants and Association with Incident Depression and Anxiety. JAMA Psychiatry 2023, 80, 305–313. [Google Scholar] [CrossRef]
- Power, M.C.; Kioumourtzoglou, M.-A.; Hart, J.E.; Okereke, O.I.; Laden, F.; Weisskopf, M.G. The relation between past exposure to fine particulate air pollution and prevalent anxiety: Observational cohort study. BMJ 2015, 350, h1111. [Google Scholar] [CrossRef] [PubMed]
- Lamichhane, D.K.; Jung, D.-Y.; Shin, Y.-J.; Lee, K.-S.; Lee, S.-Y.; Ahn, K.; Kim, K.W.; Shin, Y.H.; Suh, D.I.; Hong, S.-J.; et al. Association of ambient air pollution with depressive and anxiety symptoms in pregnant women: A prospective cohort study. Int. J. Hyg. Environ. Health 2021, 237, 113823. [Google Scholar] [CrossRef]
- Ma, Y.; Wang, W.; Li, Z.; Si, Y.; Wang, J.; Chen, L.; Wei, C.; Lin, H.; Deng, F.; Guo, X.; et al. Short-term exposure to ambient air pollution and risk of daily hospital admissions for anxiety in China: A multicity study. J. Hazard. Mater. 2022, 424, 127535. [Google Scholar] [CrossRef] [PubMed]
- Zhou, Y.-M.; Fan, Y.-N.; Yao, C.-Y.; Xu, C.; Liu, X.-L.; Li, X.; Xie, W.-J.; Chen, Z.; Jia, X.-Y.; Xia, T.-T.; et al. Association between short-term ambient air pollution and outpatient visits of anxiety: A hospital-based study in northwestern China. Environ. Res. 2021, 197, 111071. [Google Scholar] [CrossRef]
- Ji, Y.; Liu, B.; Song, J.; Cheng, J.; Wang, H.; Su, H. Association between traffic-related air pollution and anxiety hospitalizations in a coastal Chinese city: Are there potentially susceptible groups? Environ. Res. 2022, 209, 112832. [Google Scholar] [CrossRef]
- Muhsin, H.A.; Steingrimsson, S.; Oudin, A.; Åström, D.O.; Carlsen, H.K. Air pollution and increased number of psychiatric emergency room visits: A case-crossover study for identifying susceptible groups. Environ. Res. 2022, 204, 112001. [Google Scholar] [CrossRef] [PubMed]
- Qingyuan Statistics Bureau. Available online: http://www.gdqy.gov.cn/ (accessed on 23 September 2024).
- Yue, J.-L.; Liu, H.; Li, H.; Liu, J.-J.; Hu, Y.-H.; Wang, J.; Lu, L.; Wang, F. Association between ambient particulate matter and hospitalization for anxiety in China: A multicity case-crossover study. Int. J. Hyg. Environ. Health 2020, 223, 171–178. [Google Scholar] [CrossRef] [PubMed]
- Gu, X.; Guo, T.; Si, Y.; Wang, J.; Zhang, W.; Deng, F.; Chen, L.; Wei, C.; Lin, S.; Guo, X.; et al. Association Between Ambient Air Pollution and Daily Hospital Admissions for Depression in 75 Chinese Cities. Am. J. Psychiatry 2020, 177, 735–743. [Google Scholar] [CrossRef] [PubMed]
- Li, H.; Zhang, S.; Qian, Z.; Xie, X.-H.; Luo, Y.; Han, R.; Hou, J.; Wang, C.; McMillin, S.E.; Wu, S.; et al. Short-term effects of air pollution on cause-specific mental disorders in three subtropical Chinese cities. Environ. Res. 2020, 191, 110214. [Google Scholar] [CrossRef]
- Ji, Y.; Liu, B.; Song, J.; Pan, R.; Cheng, J.; Wang, H.; Su, H. Short-term effects and economic burden assessment of ambient air pollution on hospitalizations for schizophrenia. Environ. Sci. Pollut. Res. 2022, 29, 45449–45460. [Google Scholar] [CrossRef]
- Zhou, Y.; Meng, T.; Wu, L.; Duan, Y.; Li, G.; Shi, C.; Zhang, H.; Peng, Z.; Fan, C.; Ma, J.; et al. Association between ambient temperature and semen quality: A longitudinal study of 10 802 men in China. Environ. Int. 2020, 135, 105364. [Google Scholar] [CrossRef] [PubMed]
- Chen, C.; Liu, C.; Chen, R.; Wang, W.; Li, W.; Kan, H.; Fu, C. Ambient air pollution and daily hospital admissions for mental disorders in Shanghai, China. Sci. Total Environ. 2018, 613–614, 324–330. [Google Scholar] [CrossRef] [PubMed]
- Ren, M.; Li, N.; Wang, Z.; Liu, Y.; Chen, X.; Chu, Y.; Li, X.; Zhu, Z.; Tian, L.; Xiang, H. The short-term effects of air pollutants on respiratory disease mortality in Wuhan, China: Comparison of time-series and case-crossover analyses. Sci. Rep. 2017, 7, 40482. [Google Scholar] [CrossRef] [PubMed]
- The Chinese Government Website. Available online: https://www.gov.cn/ (accessed on 16 May 2024).
- Abedi, A.; Baygi, M.M.; Poursafa, P.; Mehrara, M.; Amin, M.M.; Hemami, F.; Zarean, M. Air pollution and hospitalization: An autoregressive distributed lag (ARDL) approach. Environ. Sci. Pollut. Res. 2020, 27, 30673–30680. [Google Scholar] [CrossRef]
- Lu, M.; Ding, S.; Wang, J.; Liu, Y.; An, Z.; Li, J.; Jiang, J.; Wu, W.; Song, J. Acute effect of ambient air pollution on hospital outpatient cases of chronic sinusitis in Xinxiang, China. Ecotoxicol. Environ. Saf. 2020, 202, 110923. [Google Scholar] [CrossRef]
- Bai, L.; Zhang, X.; Zhang, Y.; Cheng, Q.; Duan, J.; Gao, J.; Xu, Z.; Zhang, H.; Wang, S.; Su, H. Ambient concentrations of NO2 and hospital admissions for schizophrenia. Occup. Environ. Med. 2019, 76, 125–131. [Google Scholar] [CrossRef] [PubMed]
- Zhang, P.; Zhou, X. Health and economic impacts of particulate matter pollution on hospital admissions for mental disorders in Chengdu, Southwestern China. Sci. Total Environ. 2020, 733, 139114. [Google Scholar] [CrossRef]
- Song, J.; Zheng, L.; Lu, M.; Gui, L.; Xu, D.; Wu, W.; Liu, Y. Acute effects of ambient particulate matter pollution on hospital admissions for mental and behavioral disorders: A time-series study in Shijiazhuang, China. Sci. Total Environ. 2018, 636, 205–211. [Google Scholar] [CrossRef]
- Zhang, S.; Yang, Y.; Xie, X.; Li, H.; Han, R.; Hou, J.; Sun, J.; Qian, Z.; Wu, S.; Huang, C.; et al. The effect of temperature on cause-specific mental disorders in three subtropical cities: A case-crossover study in China. Environ. Int. 2020, 143, 105938. [Google Scholar] [CrossRef]
- The Ministry of Ecology and Environment of the People‘s Republic of China. Available online: https://www.mee.gov.cn/ywgz/fgbz/bz/bzwb/dqhjbh/dqhjzlbz/201203/t20120302_224165.shtml (accessed on 23 September 2024).
- WHO Global Air Quality Guidelines. Available online: https://www.who.int/news-room/questions-and-answers/item/who-global-air-quality-guidelines (accessed on 23 September 2024).
- Jin, J.; Xu, Z.; Beevers, S.D.; Huang, J.; Kelly, F.; Li, G. Long-term ambient ozone, omega-3 fatty acid, genetic susceptibility, and risk of mental disorders among middle-aged and older adults in UK biobank. Environ. Res. 2024, 243, 117825. [Google Scholar] [CrossRef] [PubMed]
- Xu, R.; Luo, L.; Yuan, T.; Chen, W.; Wei, J.; Shi, C.; Wang, S.; Liang, S.; Li, Y.; Zhong, Z.; et al. Association of short-term exposure to ambient fine particulate matter and ozone with outpatient visits for anxiety disorders: A hospital-based case-crossover study in South China. J. Affect. Disord. 2024, 361, 277–284. [Google Scholar] [CrossRef]
- Martínez-Lazcano, J.C.; González-Guevara, E.; Rubio, M.d.C.; Franco-Pérez, J.; Custodio, V.; Hernández-Cerón, M.; Livera, C.; Paz, C. The effects of ozone exposure and associated injury mechanisms on the central nervous system. Rev. Neurosci. 2013, 24, 337–352. [Google Scholar] [CrossRef] [PubMed]
- Rose, M.; Filiatreault, A.; Guénette, J.; Williams, A.; Thomson, E.M. Ozone increases plasma kynurenine-tryptophan ratio and impacts hippocampal serotonin receptor and neurotrophic factor expression: Role of stress hormones. Environ. Res. 2020, 185, 109483. [Google Scholar] [CrossRef] [PubMed]
- Vert, C.; Sánchez-Benavides, G.; Martínez, D.; Gotsens, X.; Gramunt, N.; Cirach, M.; Molinuevo, J.L.; Sunyer, J.; Nieuwenhuijsen, M.J.; Crous-Bou, M.; et al. Effect of long-term exposure to air pollution on anxiety and depression in adults: A cross-sectional study. Int. J. Hyg. Environ. Health 2017, 220, 1074–1080. [Google Scholar] [CrossRef] [PubMed]
- Pun, V.C.; Manjourides, J.; Suh, H. Association of Ambient Air Pollution with Depressive and Anxiety Symptoms in Older Adults: Results from the NSHAP Study. Environ. Health Perspect. 2017, 125, 342–348. [Google Scholar] [CrossRef]
- Liu, H.; Zhao, H.; Huang, J.; He, M. Air pollution associated with hospital visits for mental and behavioral disorders in Northeast China. Front. Epidemiol. 2023, 3, 1090313. [Google Scholar] [CrossRef]
- Shabani Isenaj, Z.; Berisha, M.; Ukëhaxhaj, A.; Moshammer, H. Particulate Air Pollution and Primary Care Visits in Kosovo: A Time-Series Approach. Int. J. Environ. Res. Public Health 2022, 19, 16591. [Google Scholar] [CrossRef] [PubMed]
- Hu, Y.; Yao, M.; Liu, Y.; Zhao, B. Personal exposure to ambient PM2.5, PM10, O3, NO2, and SO2 for different populations in 31 Chinese provinces. Environ. Int. 2020, 144, 106018. [Google Scholar] [CrossRef] [PubMed]
- Wang, Y.-S.; Chang, L.-C.; Chang, F.-J. Explore Regional PM2.5 Features and Compositions Causing Health Effects in Taiwan. Environ. Manag. 2021, 67, 176–191. [Google Scholar] [CrossRef]
- Radua, J.; De Prisco, M.; Oliva, V.; Fico, G.; Vieta, E.; Fusar-Poli, P. Impact of air pollution and climate change on mental health outcomes: An umbrella review of global evidence. World Psychiatry 2024, 23, 244–256. [Google Scholar] [CrossRef]
- Li, D.; Ji, S.; Guo, Y.; Sang, N. Ambient NO2 exposure sex-specifically impairs myelin and contributes to anxiety and depression-like behaviors of C57BL/6J mice. J. Hazard. Mater. 2021, 416, 125836. [Google Scholar] [CrossRef] [PubMed]
- Salvi, A.; Patki, G.; Liu, H.; Salim, S. Psychological Impact of Vehicle Exhaust Exposure: Insights from an Animal Model. Sci. Rep. 2017, 7, 8306. [Google Scholar] [CrossRef] [PubMed]
- Li, S.H.; Graham, B.M. Why are women so vulnerable to anxiety, trauma-related and stress-related disorders? The potential role of sex hormones. Lancet Psychiatry 2017, 4, 73–82. [Google Scholar] [CrossRef]
- Bangasser, D.A.; Cuarenta, A. Sex differences in anxiety and depression: Circuits and mechanisms. Nat. Rev. Neurosci. 2021, 22, 674–684. [Google Scholar] [CrossRef] [PubMed]
- Clougherty, J.E. A Growing Role for Gender Analysis in Air Pollution Epidemiology. Environ. Health Perspect. 2010, 118, 167–176. [Google Scholar] [CrossRef]
- Kim, C.S.; Hu, S.C. Regional deposition of inhaled particles in human lungs: Comparison between men and women. J. Appl. Physiol. 1998, 84, 1834–1844. [Google Scholar] [CrossRef] [PubMed]
- Rumchev, K.; Spickett, J.T.; Brown, H.L.; Mkhweli, B. Indoor air pollution from biomass combustion and respiratory symptoms of women and children in a Zimbabwean village. Indoor Air 2007, 17, 468–474. [Google Scholar] [PubMed]
- O’Brien, R.; Hunt, K.; Hart, G. ‘It’s caveman stuff, but that is to a certain extent how guys still operate’: Men’s accounts of masculinity and help seeking. Soc. Sci. Med. 2005, 61, 503–516. [Google Scholar] [CrossRef] [PubMed]
- Cao, T.; Tian, M.; Hu, H.; Yu, Q.; You, J.; Yang, Y.; An, Z.; Song, J.; Zhang, G.; Zhang, G.; et al. The relationship between air pollution and depression and anxiety disorders—A systematic evaluation and meta-analysis of a cohort-based study. Int. J. Soc. Psychiatry 2024, 70, 241–270. [Google Scholar] [CrossRef]
- Ravindra, K.; Rattan, P.; Mor, S.; Aggarwal, A.N. Generalized additive models: Building evidence of air pollution, climate change and human health. Environ. Int. 2019, 132, 104987. [Google Scholar] [CrossRef]



| N (%) | Mean | SD | |
|---|---|---|---|
| Overall | 2784 (100) | 3.15 | 2.70 |
| Gender | |||
| Male | 823 (29.56) | 0.93 | 1.12 |
| Female | 1961 (70.44) | 2.22 | 2.07 |
| Age, years | |||
| <45 | 830 (29.81) | 0.94 | 1.16 |
| 45–64 | 1345 (48.31) | 1.52 | 1.71 |
| ≥65 | 609 (21.88) | 0.69 | 0.94 |
| Year of hospital visits | |||
| 2021 | 1162 (41.74) | 3.80 | 2.46 |
| 2022 | 1391 (49.96) | 3.81 | 2.93 |
| 2023 | 231 (8.3) | 1.09 | 1.12 |
| Levels of Hospital | |||
| Tertiary hospitals | 540 (19.40) | 0.61 | 0.86 |
| Secondary hospitals | 1934 69.47) | 2.19 | 2.20 |
| Primary hospitals | 310 (11.13) | 0.31 | 0.67 |
| Type of hospital visit | |||
| Outpatient visits | 2195 (78.84) | 2.49 | 2.62 |
| Hospitalization | 589 (21.16) | 0.67 | 0.89 |
Disclaimer/Publisher’s Note: The statements, opinions and data contained in all publications are solely those of the individual author(s) and contributor(s) and not of MDPI and/or the editor(s). MDPI and/or the editor(s) disclaim responsibility for any injury to people or property resulting from any ideas, methods, instructions or products referred to in the content. |
© 2025 by the authors. Licensee MDPI, Basel, Switzerland. This article is an open access article distributed under the terms and conditions of the Creative Commons Attribution (CC BY) license (https://creativecommons.org/licenses/by/4.0/).
Share and Cite
Zhong, X.; Guo, T.; Zhang, J.; Wang, Q.; Yin, R.; Wu, K.; Zou, Q.; Zheng, M.; Hall, B.J.; Renzaho, A.M.N.; et al. Short-Term Effect of Air Pollution on Daily Hospital Visits for Anxiety Disorders in Southern China with Low Pollution Concentrations. Toxics 2025, 13, 45. https://doi.org/10.3390/toxics13010045
Zhong X, Guo T, Zhang J, Wang Q, Yin R, Wu K, Zou Q, Zheng M, Hall BJ, Renzaho AMN, et al. Short-Term Effect of Air Pollution on Daily Hospital Visits for Anxiety Disorders in Southern China with Low Pollution Concentrations. Toxics. 2025; 13(1):45. https://doi.org/10.3390/toxics13010045
Chicago/Turabian StyleZhong, Xinyuan, Tingting Guo, Jianghui Zhang, Qiong Wang, Rong Yin, Kunpeng Wu, Qing Zou, Meng Zheng, Brian J. Hall, Andre M. N. Renzaho, and et al. 2025. "Short-Term Effect of Air Pollution on Daily Hospital Visits for Anxiety Disorders in Southern China with Low Pollution Concentrations" Toxics 13, no. 1: 45. https://doi.org/10.3390/toxics13010045
APA StyleZhong, X., Guo, T., Zhang, J., Wang, Q., Yin, R., Wu, K., Zou, Q., Zheng, M., Hall, B. J., Renzaho, A. M. N., Huang, K., & Chen, W. (2025). Short-Term Effect of Air Pollution on Daily Hospital Visits for Anxiety Disorders in Southern China with Low Pollution Concentrations. Toxics, 13(1), 45. https://doi.org/10.3390/toxics13010045

