Heavy Metal Accumulation in Oysters from an Aquaculture Area in the Luoyangjiang River Estuary
Abstract
1. Introduction
2. Materials and Methods
2.1. Sampling Sites
2.2. Collection and Processing of Water and Sediment Samples
2.3. Collection and Processing of Oysters
2.4. Identification of Oyster Species
2.5. Chemical Analysis
2.6. Calculation and Statistical Analysis
3. Results and Discussion
3.1. Hydrological Conditions
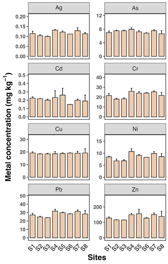
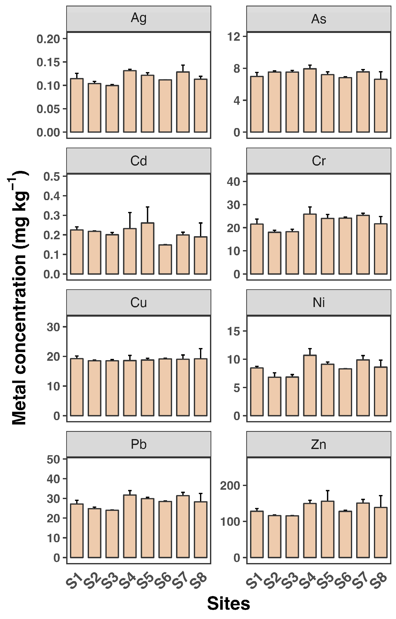
3.2. Heavy Metals Concentrations in Water and Sediment
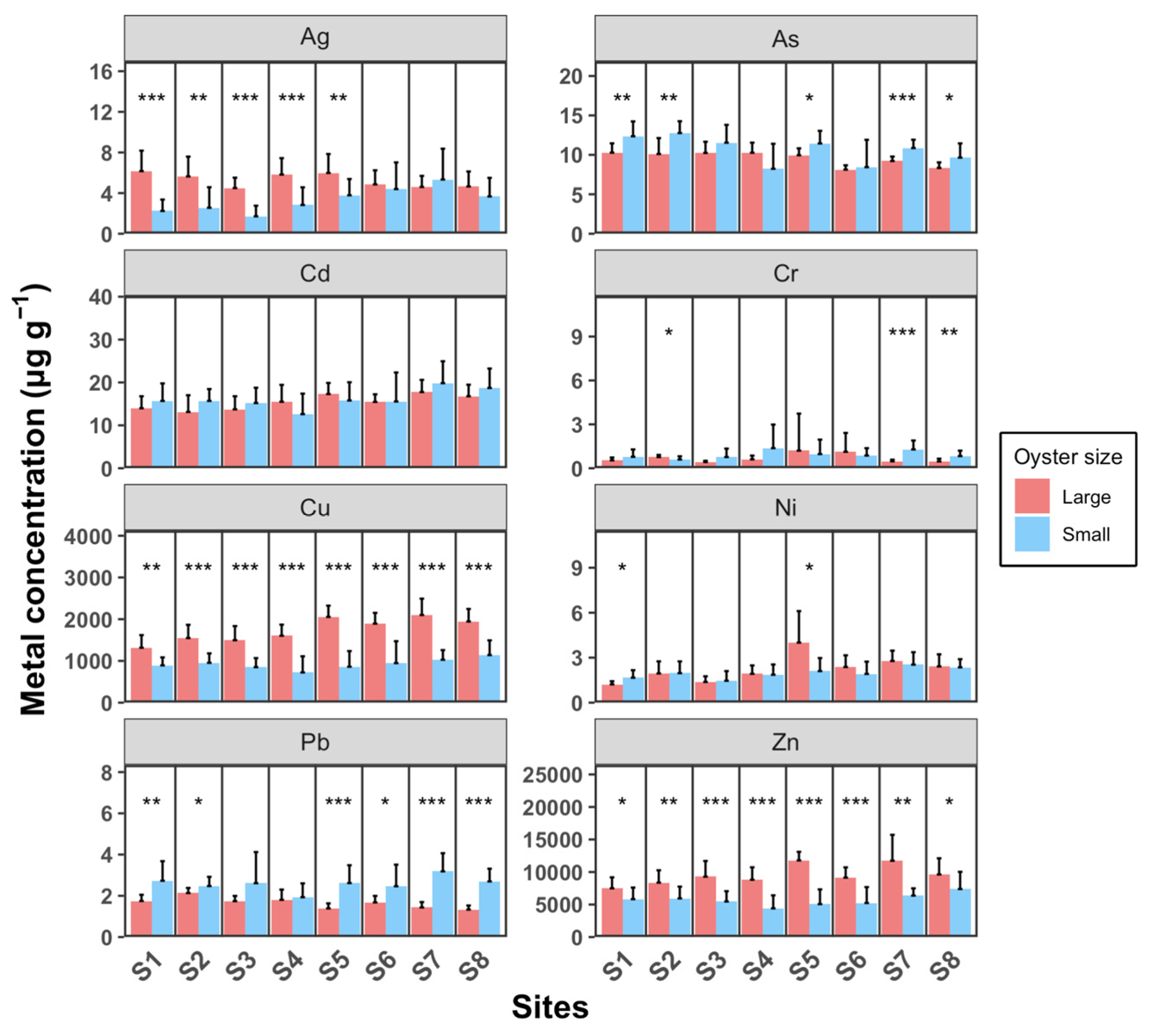
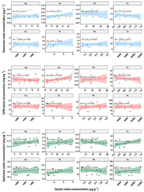
3.3. Heavy Metals Accumulation in Oysters
4. Conclusions
Supplementary Materials
Author Contributions
Funding
Institutional Review Board Statement
Informed Consent Statement
Data Availability Statement
Conflicts of Interest
References
- Bi, S.; Yang, Y.; Xu, C.; Zhang, Y.; Zhang, X.; Zhang, X. Distribution of Heavy Metals and Environmental Assessment of Surface Sediment of Typical Estuaries in Eastern China. Mar. Pollut. Bull. 2017, 121, 357–366. [Google Scholar] [CrossRef]
- Zhang, M.; Sun, X.; Xu, J. Heavy Metal Pollution in the East China Sea: A Review. Mar. Pollut. Bull. 2020, 159, 111473. [Google Scholar] [CrossRef]
- Wang, S.-L.; Xu, X.-R.; Sun, Y.-X.; Liu, J.-L.; Li, H.-B. Heavy Metal Pollution in Coastal Areas of South China: A Review. Mar. Pollut. Bull. 2013, 76, 7–15. [Google Scholar] [CrossRef]
- Xue, S.; Jian, H.; Yang, F.; Liu, Q.; Yao, Q. Impact of Water-Sediment Regulation on the Concentration and Transport of Dissolved Heavy Metals in the Middle and Lower Reaches of the Yellow River. Sci. Total Environ. 2022, 806, 150535. [Google Scholar] [CrossRef]
- Zhao, Y.; Wu, R.; Cui, J.; Gan, S.; Pan, J.; Guo, P. Improvement of Water Quality in the Pearl River Estuary, China: A Long-Term (2008–2017) Case Study of Temporal-Spatial Variation, Source Identification and Ecological Risk of Heavy Metals in Surface Water of Guangzhou. Environ. Sci. Pollut. Res. 2020, 27, 21084–21097. [Google Scholar] [CrossRef]
- Niu, L.; Cai, H.; Jia, L.; Luo, X.; Tao, W.; Dong, Y.; Yang, Q. Metal Pollution in the Pearl River Estuary and Implications for Estuary Management: The Influence of Hydrological Connectivity Associated with Estuarine Mixing. Ecotoxicol. Environ. Saf. 2021, 225, 112747. [Google Scholar] [CrossRef]
- Jia, Z.; Li, S.; Liu, Q.; Jiang, F.; Hu, J. Distribution and Partitioning of Heavy Metals in Water and Sediments of a Typical Estuary (Modaomen, South China): The Effect of Water Density Stratification Associated with Salinity. Environ. Pollut. 2021, 287, 117277. [Google Scholar] [CrossRef]
- Hu, F.; Zhong, H.; Wu, C.; Wang, S.; Guo, Z.; Tao, M.; Zhang, C.; Gong, D.; Gao, X.; Tang, C.; et al. Development of Fisheries in China. Reprod. Breed. 2021, 1, 64–79. [Google Scholar] [CrossRef]
- Cao, L.; Naylor, R.; Henriksson, P.; Leadbitter, D.; Metian, M.; Troell, M.; Zhang, W. China’s Aquaculture and the World’s Wild Fisheries. Science 2015, 347, 133–135. [Google Scholar] [CrossRef]
- Fisheries and Fisheries Administration Bureau of the Ministry of Agriculture. China Fishery Statistical Yearbook; China Agriculture Press: Beijing, China, 2023.
- Forrest, B.M.; Keeley, N.B.; Hopkins, G.A.; Webb, S.C.; Clement, D.M. Bivalve Aquaculture in Estuaries: Review and Synthesis of Oyster Cultivation Effects. Aquaculture 2009, 298, 1–15. [Google Scholar] [CrossRef]
- Gao, S.; Wang, W.-X. Oral Bioaccessibility of Toxic Metals in Contaminated Oysters and Relationships with Metal Internal Sequestration. Ecotoxicol. Environ. Saf. 2014, 110, 261–268. [Google Scholar] [CrossRef]
- Liu, J.; Zhang, J.; Lu, S.; Zhang, D.; Tong, Z.; Yan, Y.; Hu, B. Interannual Variation, Ecological Risk and Human Health Risk of Heavy Metals in Oyster-Cultured Sediments in the Maowei Estuary, China, from 2011 to 2018. Mar. Pollut. Bull. 2020, 154, 111039. [Google Scholar] [CrossRef]
- Wu, X.; Jia, Y.; Zhu, H.; Wang, H. Bioaccumulation of Cadmium Bound to Humic Acid by the Bivalve Meretirx Linnaeus from Solute and Particulate Pathways. J. Environ. Sci. 2010, 22, 198–203. [Google Scholar] [CrossRef]
- Wang, W.-X. Comparison of Metal Uptake Rate and Absorption Efficiency in Marine Bivalves. Environ. Toxicol. Chem. 2001, 20, 1367–1373. [Google Scholar] [CrossRef]
- Fukunaga, A.; Anderson, M.J. Bioaccumulation of Copper, Lead and Zinc by the Bivalves Macomona liliana and Austrovenus stutchburyi. J. Exp. Mar. Biol. Ecol. 2011, 396, 244–252. [Google Scholar] [CrossRef]
- Liu, F.; Wang, W.-X. Differential Influences of Cu and Zn Chronic Exposure on Cd and Hg Bioaccumulation in an Estuarine Oyster. Aquat. Toxicol. 2014, 148, 204–210. [Google Scholar] [CrossRef]
- Tan, Q.-G.; Wang, Y.; Wang, W.-X. Speciation of Cu and Zn in Two Colored Oyster Species Determined by X-Ray Absorption Spectroscopy. Environ. Sci. Technol. 2015, 49, 6919–6925. [Google Scholar] [CrossRef]
- Zhou, Q.; Zhang, J.; Fu, J.; Shi, J.; Jiang, G. Biomonitoring: An Appealing Tool for Assessment of Metal Pollution in the Aquatic Ecosystem. Anal. Chim. Acta 2008, 606, 135–150. [Google Scholar] [CrossRef]
- Cao, X.; Zhong, G.; Pan, K.; Qian, J.; Xie, M.; Chen, R.; Liao, Y.; Tan, Q.-G. Interspecies Calibration for Biomonitoring Metal Contamination in Coastal Waters Using Oysters and Mussels. Sci. Total Environ. 2023, 883, 163703. [Google Scholar] [CrossRef] [PubMed]
- Liang, L.N.; HE, B.; Jiang, G.B.; Chen, D.Y.; Yao, Z.W. Evaluation of Mollusks as Biomonitors to Investigate Heavy Metal Contaminations along the Chinese Bohai Sea. Sci. Total Environ. 2004, 324, 105–113. [Google Scholar] [CrossRef]
- Liu, X.; Wang, W.-X. Time Changes in Biomarker Responses in Two Species of Oyster Transplanted into a Metal Contaminated Estuary. Sci. Total Environ. 2016, 544, 281–290. [Google Scholar] [CrossRef]
- Weng, N.; Wang, W.-X. Variations of Trace Metals in Two Estuarine Environments with Contrasting Pollution Histories. Sci. Total Environ. 2014, 485, 604–614. [Google Scholar] [CrossRef]
- Lam, K.; Morton, B. Morphological and Mitochondrial-DNA Analysis of the Indo-West Pacific Rock Oysters (Ostreidae: Saccostrea Species). J. Molluscan Stud. 2006, 72, 235–245. [Google Scholar] [CrossRef]
- Yang, Y.; Ye, X.; Wang, A. Dynamic Changes in Landscape Pattern of Mangrove Wetland in Estuary Area Driven by Rapid Urbanization and Ecological Restoration: A Case Study of Luoyangjiang River Estuary in Fujian Province, China. Water 2023, 15, 1715. [Google Scholar] [CrossRef]
- Lan, W.-R.; Huang, X.-G.; Lin, L.; Li, S.-X.; Liu, F.-J. Thermal Discharge Influences the Bioaccumulation and Bioavailability of Metals in Oysters: Implications of Ocean Warming. Environ. Pollut. 2020, 259, 113821. [Google Scholar] [CrossRef]
- Cao, R.; Liu, Y.; Wang, Q.; Dong, Z.; Yang, D.; Liu, H.; Ran, W.; Qu, Y.; Zhao, J. Seawater Acidification Aggravated Cadmium Toxicity in the Oyster Crassostrea Gigas: Metal Bioaccumulation, Subcellular Distribution and Multiple Physiological Responses. Sci. Total Environ. 2018, 642, 809–823. [Google Scholar] [CrossRef]
- Sun, M.; Liu, G.; Lin, H.; Zhang, T.; Guo, W. Effect of Salinity on the Bioaccumulation and Depuration of Cadmium in the Pacific Cupped Oyster, Crassostrea gigas. Environ. Toxicol. Pharmacol. 2018, 62, 88–97. [Google Scholar] [CrossRef]
- Ivanina, A.V.; Froelich, B.; Williams, T.; Sokolov, E.P.; Oliver, J.D.; Sokolova, I.M. Interactive Effects of Cadmium and Hypoxia on Metabolic Responses and Bacterial Loads of Eastern Oysters Crassostrea virginica Gmelin. Chemosphere 2011, 82, 377–389. [Google Scholar] [CrossRef]
- Sañudo-Wilhelmy, S.A.; Gill, G.A. Impact of the Clean Water Act on the Levels of Toxic Metals in Urban Estuaries: The Hudson River Estuary Revisited. Environ. Sci. Technol. 1999, 33, 3477–3481. [Google Scholar] [CrossRef]
- van Geen, A.; Luoma, S.N. A Record of Estuarine Water Contamination from the Cd Content of Foraminiferal Tests in San Francisco Bay, California. Mar. Chem. 1999, 64, 57–69. [Google Scholar] [CrossRef][Green Version]
- Zhang, Z.; Jin, J.; Zhang, J.; Zhao, D.; Li, H.; Yang, C.; Huang, Y. Contamination of Heavy Metals in Sediments from an Estuarine Bay, South China: Comparison with Previous Data and Ecological Risk Assessment. Processes 2022, 10, 837. [Google Scholar] [CrossRef]
- Sundaramanickam, A.; Shanmugam, N.; Cholan, S.; Kumaresan, S.; Madeswaran, P.; Balasubramanian, T. Spatial Variability of Heavy Metals in Estuarine, Mangrove and Coastal Ecosystems along Parangipettai, Southeast Coast of India. Environ. Pollut. 2016, 218, 186–195. [Google Scholar] [CrossRef] [PubMed]
- Ma, H.; Gao, H.; Zhang, Y.; Qin, Y.; Xiang, Z.; Li, J.; Zhang, Y.; Yu, Z. Multiplex Species-Specific PCR Identification of Native Giant Clams in the South China Sea: A Useful Tool for Application in Giant Clam Stock Management and Forensic Identification. Aquaculture 2021, 531, 735991. [Google Scholar] [CrossRef]
- Melo, M.A.D.; da Silva, A.R.B.; Beasley, C.R.; Tagliaro, C.H. Multiplex Species-Specific PCR Identification of Native and Non-Native Oysters (Crassostrea) in Brazil: A Useful Tool for Application in Oyster Culture and Stock Management. Aquac. Int. 2013, 21, 1325–1332. [Google Scholar] [CrossRef]
- Liu, S.; Xue, Q.; Xu, H.; Lin, Z. Identification of Main Oyster Species and Comparison of Their Genetic Diversity in Zhejiang Coast, South of Yangtze River Estuary. Front. Mar. Sci. 2021, 8, 662515. [Google Scholar] [CrossRef]
- Wang, L.; Wang, W. Depuration of Metals by the Green-colored Oyster Crassostrea sikamea. Environ. Toxicol. Chem. 2014, 33, 2379–2385. [Google Scholar] [CrossRef] [PubMed]
- Lu, G.; Zhu, A.; Fang, H.; Dong, Y.; Wang, W.-X. Establishing Baseline Trace Metals in Marine Bivalves in China and Worldwide: Meta-Analysis and Modeling Approach. Sci. Total Environ. 2019, 669, 746–753. [Google Scholar] [CrossRef] [PubMed]
- Rainbow, P.S. Trace Metal Concentrations in Aquatic Invertebrates: Why and so What? Environ. Pollut. 2002, 120, 497–507. [Google Scholar] [CrossRef]
- Hornberger, M.I.; Luoma, S.N.; Cain, D.J.; Parchaso, F.; Brown, C.L.; Bouse, R.M.; Wellise, C.; Thompson, J.K. Linkage of Bioaccumulation and Biological Effects to Changes in Pollutant Loads in South San Francisco Bay. Environ. Sci. Technol. 2000, 34, 2401–2409. [Google Scholar] [CrossRef]
- Weng, N.; Wang, W.-X. Reproductive Responses and Detoxification of Estuarine Oyster Crassostrea hongkongensis under Metal Stress: A Seasonal Study. Environ. Sci. Technol. 2015, 49, 3119–3127. [Google Scholar] [CrossRef]
- Weng, N.; Wang, W.-X. Seasonal Fluctuations of Metal Bioaccumulation and Reproductive Health of Local Oyster Populations in a Large Contaminated Estuary. Environ. Pollut. 2019, 250, 175–185. [Google Scholar] [CrossRef]
- Zhong, G.; Lin, Z.; Liu, F.; Xie, M.; Chen, R.; Tan, Q.-G. Toxicokinetics and Mussel Watch: Addressing Interspecies Differences for Coastal Cadmium Contamination Assessment. Environ. Sci. Technol. 2024, 58, 14618–14628. [Google Scholar] [CrossRef]
- Yang, S.; Li, Y.; Chen, F.; Chen, S.; Luo, X.; Duan, W.; Liao, Y.; Jiang, H.; Pan, K. Understanding the Variable Metal Concentrations in Estuarine Oysters Crassostrea Hongkongensis: A Biokinetic Analysis. Mar. Environ. Res. 2024, 196, 106393. [Google Scholar] [CrossRef]
- Ke, Y.; Wang, W.-X. Dynamics of Copper Regulation in a Marine Clam Sinonovacula constricta at the Organ Level: Insight from a Physiologically Based Pharmacokinetic Model. Environ. Pollut. 2023, 336, 122421. [Google Scholar] [CrossRef]
- Shi, D.; Wang, W.-X. Understanding the Differences in Cd and Zn Bioaccumulation and Subcellular Storage among Different Populations of Marine Clams. Environ. Sci. Technol. 2004, 38, 449–456. [Google Scholar] [CrossRef]
- Chan, H. Accumulation and Tolerance to Cadmium, Copper, Lead and Zinc by the Green Mussel Perna viridis. Mar. Ecol. Prog. Ser. 1988, 48, 295–303. [Google Scholar] [CrossRef]







| Sample Site | Temperature (°C) | pH | Salinity (‰) | DO (mg L−1) |
|---|---|---|---|---|
| S1 | 20.4 | 7.69 | 23.4 | 7.05 |
| S2 | 20.4 | 7.77 | 23.3 | 7.22 |
| S3 | 20.3 | 7.71 | 23.1 | 7.09 |
| S4 | 20.4 | 7.78 | 24.6 | 7.26 |
| S5 | 20.4 | 7.79 | 24.5 | 7.28 |
| S6 | 20.5 | 7.66 | 24.2 | 6.97 |
| S7 | 20.4 | 7.73 | 23.6 | 7.13 |
| S8 | 20.5 | 7.78 | 23.1 | 7.26 |
Disclaimer/Publisher’s Note: The statements, opinions and data contained in all publications are solely those of the individual author(s) and contributor(s) and not of MDPI and/or the editor(s). MDPI and/or the editor(s) disclaim responsibility for any injury to people or property resulting from any ideas, methods, instructions or products referred to in the content. |
© 2024 by the authors. Licensee MDPI, Basel, Switzerland. This article is an open access article distributed under the terms and conditions of the Creative Commons Attribution (CC BY) license (https://creativecommons.org/licenses/by/4.0/).
Share and Cite
Ke, Y.; Ou, C.; Guo, X.; Liu, S.; Yao, C.; Shi, B.; Que, H. Heavy Metal Accumulation in Oysters from an Aquaculture Area in the Luoyangjiang River Estuary. Toxics 2024, 12, 645. https://doi.org/10.3390/toxics12090645
Ke Y, Ou C, Guo X, Liu S, Yao C, Shi B, Que H. Heavy Metal Accumulation in Oysters from an Aquaculture Area in the Luoyangjiang River Estuary. Toxics. 2024; 12(9):645. https://doi.org/10.3390/toxics12090645
Chicago/Turabian StyleKe, Yizhou, Changchun Ou, Xiaoyu Guo, Shuyi Liu, Chenlu Yao, Bo Shi, and Huayong Que. 2024. "Heavy Metal Accumulation in Oysters from an Aquaculture Area in the Luoyangjiang River Estuary" Toxics 12, no. 9: 645. https://doi.org/10.3390/toxics12090645
APA StyleKe, Y., Ou, C., Guo, X., Liu, S., Yao, C., Shi, B., & Que, H. (2024). Heavy Metal Accumulation in Oysters from an Aquaculture Area in the Luoyangjiang River Estuary. Toxics, 12(9), 645. https://doi.org/10.3390/toxics12090645

