Impact of COVID-19 Lockdown on NO2 Pollution and the Associated Health Burden in China: A Comparison of Different Approaches
Abstract
1. Introduction
2. Materials and Methods
2.1. Data Collection and Processing
2.2. Evaluation Approaches
2.2.1. Random Forest Models
2.2.2. A Difference-to-Difference Approach
2.3. NO2 Concentration Changes in 2020 Due to the COVID-19 Pandemic
2.4. Health Impact Assessment
3. Results and Discussion
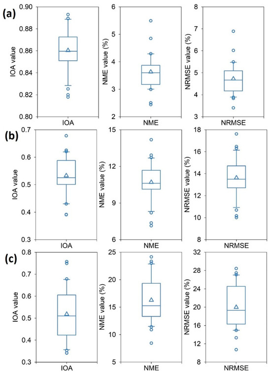
3.1. Development and Validation of Random Forest Models
3.2. Comparison between the Machine Learning and Difference-to-Difference Approaches
3.3. Spatiotemporal Variability of NO2 Concentration Reductions over China
3.4. Mortality Benefits from the Reduction of NO2 Pollution
3.5. Atmospheric Implications
4. Conclusions
Funding
Institutional Review Board Statement
Informed Consent Statement
Data Availability Statement
Acknowledgments
Conflicts of Interest
References
- Cooper, M.J.; Martin, R.V.; Hammer, M.S.; Levelt, P.F.; Veefkind, P.; Lamsal, L.N.; Krotkov, N.A.; Brook, J.R.; McLinden, C.A. Global fine-scale changes in ambient NO2 during COVID-19 lockdowns. Nature 2022, 601, 380–387. [Google Scholar] [CrossRef] [PubMed]
- Li, Z.; Yim, S.H.-L.; Ho, K.-F. High temporal resolution prediction of street-level PM2.5 and NOx concentrations using machine learning approach. J. Clean. Prod. 2020, 268, 121975. [Google Scholar] [CrossRef]
- Li, Z.; Che, W.; Hossain, S.; Fung, J.C.; Lau, A.K. Relative contributions of ambient air and internal sources to multiple air pollutants in public transportation modes. Environ. Pollut. 2023, 338, 122642. [Google Scholar] [CrossRef] [PubMed]
- Anenberg, S.C.; Mohegh, A.; Goldberg, D.L.; Kerr, G.H.; Brauer, M.; Burkart, K.; Hystad, P.; Larkin, A.; Wozniak, S.; Lamsal, L. Long-term trends in urban NO2 concentrations and associated paediatric asthma incidence: Estimates from global datasets. Lancet Planet. Health 2022, 6, e49–e58. [Google Scholar] [CrossRef] [PubMed]
- Bauwens, M.; Compernolle, S.; Stavrakou, T.; Müller, J.-F.; Van Gent, J.; Eskes, H.; Levelt, P.F.; van der A, R.; Veefkind, J.P.; Vlietinck, J.; et al. Impact of coronavirus outbreak on NO2 pollution assessed using TROPOMI and OMI observations. Geophys. Res. Lett. 2020, 47, e2020GL087978. [Google Scholar] [CrossRef] [PubMed]
- Liu, F.; Page, A.; Strode, S.A.; Yoshida, Y.; Choi, S.; Zheng, B.; Lamsal, L.N.; Li, C.; Krotkov, N.A.; Eskes, H.; et al. Abrupt decline in tropospheric nitrogen dioxide over China after the outbreak of COVID-19. Sci. Adv. 2020, 6, eabc2992. [Google Scholar] [CrossRef] [PubMed]
- Zhao, Y.; Zhang, K.; Xu, X.; Shen, H.; Zhu, X.; Zhang, Y.; Hu, Y.; Shen, G. Substantial changes in nitrogen dioxide and ozone after excluding meteorological impacts during the COVID-19 outbreak in mainland China. Environ. Sci. Technol. Lett. 2020, 7, 402–408. [Google Scholar] [CrossRef] [PubMed]
- Chang, Y.; Huang, R.-J.; Ge, X.; Huang, X.; Hu, J.; Duan, Y.; Zou, Z.; Liu, X.; Lehmann, M. Puzzling haze events in China during the coronavirus (COVID-19) shutdown. Geophys. Res. Lett. 2020, 47, e2020GL088533. [Google Scholar] [CrossRef]
- Wang, J.; Xu, X.; Wang, S.; He, S.; Li, X.; He, P. Heterogeneous effects of COVID-19 lockdown measures on air quality in Northern China. Appl. Energy 2021, 282, 116179. [Google Scholar] [CrossRef]
- Chu, B.; Zhang, S.; Liu, J.; Ma, Q.; He, H. Significant concurrent decrease in PM2.5 and NO2 concentrations in China during COVID-19 epidemic. J. Environ. Sci. 2020, 99, 346–353. [Google Scholar] [CrossRef]
- Wu, C.L.; Wang, H.W.; Cai, W.J.; Ni, A.N.; Peng, Z.R. Impact of the COVID-19 lockdown on roadside traffic-related air pollution in Shanghai, China. Build. Environ. 2021, 194, 107718. [Google Scholar] [CrossRef] [PubMed]
- Shi, Z.; Song, C.; Liu, B.; Lu, G.; Xu, J.; Van Vu, T.; Elliott, R.J.R.; Li, W.; Bloss, W.J.; Harrison, R.M. Abrupt but smaller than expected changes in surface air quality attributable to COVID-19 lockdowns. Sci. Adv. 2021, 7, eabd6696. [Google Scholar] [CrossRef] [PubMed]
- Wang, Y.; Wen, Y.; Wang, Y.; Zhang, S.; Zhang, K.M.; Zheng, H.; Xing, J.; Wu, Y.; Hao, J. Four-Month Changes in Air Quality during and after the COVID-19 Lockdown in Six Megacities in China. Environ. Sci. Technol. Lett. 2020, 7, 802–808. [Google Scholar] [CrossRef] [PubMed]
- Cai, W.-J.; Wang, H.-W.; Wu, C.-L.; Lu, K.-F.; Peng, Z.-R.; He, H.-D. Characterizing the interruption-recovery patterns of urban air pollution under the COVID-19 lockdown in China. J. Environ. Sci. 2021, 205, 108231. [Google Scholar] [CrossRef] [PubMed]
- Baldasano, J.M. COVID-19 lockdown effects on air quality by NO2 in the cities of Barcelona and Madrid (Spain). Sci. Total Environ. 2020, 741, 140353. [Google Scholar] [CrossRef] [PubMed]
- Briz-Redón, Á.; Belenguer-Sapiña, C.; Serrano-Aroca, Á. Changes in air pollution during COVID-19 lockdown in Spain: A multi-city study. J. Environ. Sci. 2020, 101, 16–26. [Google Scholar] [CrossRef] [PubMed]
- Kanniah, K.D.; Zaman, N.A.F.K.; Kaskaoutis, D.G.; Latif, M.T. COVID-19’s impact on the atmospheric environment in the Southeast Asia region. Sci. Total Environ. 2020, 736, 139658. [Google Scholar] [CrossRef] [PubMed]
- Kovács, K.D.; Haidu, I. Modeling NO2 air pollution variation during and after COVID-19-regulation using principal component analysis of satellite imagery. Environ. Pollut. 2024, 342, 122973. [Google Scholar] [CrossRef] [PubMed]
- Kumar, P.; Hama, S.; Omidvarborna, H.; Sharma, A.; Sahani, J.; Abhijith, K.V.; Debele, S.E.; Zavala-Reyes, J.C.; Barwise, Y.; Tiwari, A. Temporary reduction in fine particulate matter due to ‘anthropogenic emissions switch-off’during COVID-19 lockdown in Indian cities. Sustain. Cities Soc. 2020, 62, 102382. [Google Scholar] [CrossRef]
- Lee, H.J.; Kuwayama, T.; FitzGibbon, M. Simultaneous decreases in NO2 levels and disparities in California during the COVID-19 pandemic. Atmos. Environ. 2024, 318, 120214. [Google Scholar] [CrossRef]
- Lotrecchiano, N.; Trucillo, P.; Barletta, D.; Poletto, M.; Sofia, D. Air pollution analysis during the lockdown on the city of Milan. Processes 2021, 9, 1692. [Google Scholar] [CrossRef]
- Petetin, H.; Bowdalo, D.; Soret, A.; Guevara, M.; Jorba, O.; Serradell, K.; Pérez García-Pando, C. Meteorology-normalized impact of the COVID-19 lockdown upon NO2 pollution in Spain. Atmos. Chem. Phys. 2020, 20, 11119–11141. [Google Scholar] [CrossRef]
- Pietrogrande, M.C.; Colombi, C.; Cuccia, E.; Dal Santo, U.; Romanato, L. Seasonal and spatial variations of the oxidative properties of ambient PM2.5 in the Po Valley, Italy, before and during COVID-19 Lockdown Restrictions. Int. J. Environ. Res. Public Health 2023, 20, 1797. [Google Scholar] [CrossRef] [PubMed]
- Liu, Q.; Harris, J.T.; Chiu, L.S.; Sun, D.; Houser, P.R.; Yu, M.; Duffy, D.Q.; Little, M.M.; Yang, C. Spatiotemporal impacts of COVID-19 on air pollution in California, USA. Sci. Total. Environ. 2020, 750, 141592. [Google Scholar] [CrossRef] [PubMed]
- Filonchyk, M.; Hurynovich, V.; Yan, H. Impact of Covid-19 lockdown on air quality in the Poland, Eastern Europe. Environ. Res. 2021, 198, 110454. [Google Scholar] [CrossRef] [PubMed]
- Venter, Z.S.; Aunan, K.; Chowdhury, S.; Lelieveld, J. COVID-19 lockdowns cause global air pollution declines. Proc. Natl. Acad. Sci. USA 2020, 117, 18984–18990. [Google Scholar] [CrossRef] [PubMed]
- Xing, J.; Li, S.; Jiang, Y.; Wang, S.; Ding, D.; Dong, Z.; Zhu, Y.; Hao, J. Quantifying the emission changes and associated air quality impacts during the COVID-19 pandemic on the North China Plain: A response modeling study. Atmos. Chem. Phys. 2020, 20, 14347–14359. [Google Scholar] [CrossRef]
- Keller, C.A.; Evans, M.J.; Knowland, K.E.; Hasenkopf, C.A.; Modekurty, S.; Lucchesi, R.A.; Oda, T.; Franca, B.B.; Mandarino, F.C.; Suárez, M.V.D.; et al. Global impact of COVID-19 restrictions on the surface concentrations of nitrogen dioxide and ozone. Atmos. Chem. Phys. 2021, 21, 3555–3592. [Google Scholar] [CrossRef]
- Lovrić, M.; Pavlović, K.; Vuković, M.; Grange, S.K.; Haberl, M.; Kern, R. Understanding the true effects of the COVID-19 lockdown on air pollution by means of machine learning. Environ. Pollut. 2021, 274, 115900. [Google Scholar] [CrossRef]
- Pushpawela, B.; Shelton, S.; Liyanage, G.; Jayasekara, S.; Rajapaksha, D.; Jayasundara, A.; Das Jayasuriya, L. Changes of air pollutants in urban cities during the COVID-19 lockdown-Sri Lanka. Aerosol Air Qual. Res. 2023, 23, 220223. [Google Scholar] [CrossRef]
- Wyche, K.P.; Nichols, M.; Parfitt, H.; Beckett, P.; Gregg, D.J.; Smallbone, K.L.; Monks, P.S. Changes in ambient air quality and atmospheric composition and reactivity in the South East of the UK as a result of the COVID-19 lockdown. Sci. Total Environ. 2020, 755, 142526. [Google Scholar] [CrossRef] [PubMed]
- Ashayeri, M.; Abbasabadi, N.; Heidarinejad, M.; Stephens, B. Predicting intraurban PM2.5 concentrations using enhanced machine learning approaches and incorporating human activity patterns. Environ. Res. 2021, 196, 110423. [Google Scholar] [CrossRef] [PubMed]
- Bedi, J.S.; Dhaka, P.; Vijay, D.; Aulakh, R.S.; Gill, J.P.S. Assessment of air quality changes in the four metropolitan cities of India during COVID-19 pandemic lockdown. Aerosol Air Qual. Res. 2020, 20, 2062–2070. [Google Scholar] [CrossRef]
- Grange, S.K.; Carslaw, D.C. Using meteorological normalisation to detect interventions in air quality time series. Sci. Total. Environ. 2019, 653, 578–588. [Google Scholar] [CrossRef] [PubMed]
- Zhao, S.; Yin, D.; Yu, Y.; Kang, S.; Qin, D.; Dong, L. PM2.5 and O3 pollution during 2015–2019 over 367 Chinese cities: Spatiotemporal variations, meteorological and topographical impacts. Environ. Pollut. 2020, 264, 114694. [Google Scholar] [CrossRef] [PubMed]
- Vu, T.V.; Shi, Z.; Cheng, J.; Zhang, Q.; He, K.; Wang, S.; Harrison, R.M. Assessing the impact of clean air action on air quality trends in Beijing using a machine learning technique. Atmos. Chem. Phys. 2019, 19, 11303–11314. [Google Scholar] [CrossRef]
- Breiman, L. Random forests. Mach. Learning. 2001, 45, 5–32. [Google Scholar] [CrossRef]
- Li, Z.; Tong, X.; Ho, J.M.W.; Kwok, T.C.; Dong, G.; Ho, K.-F.; Yim, S.H.L. A practical framework for predicting residential indoor PM2.5 concentration using land-use regression and machine learning methods. Chemosphere 2021, 265, 129140. [Google Scholar] [CrossRef] [PubMed]
- Emery, C.; Liu, Z.; Russell, A.G.; Odman, M.T.; Yarwood, G.; Kumar, N. Recommendations on statistics and benchmarks to assess photochemical model performance. J. Air Waste Manag. Assoc. 2017, 67, 582–598. [Google Scholar] [CrossRef]
- Li, Z.; Ho, K.-F.; Lee, H.F.; Yim, S.H.L. Development of an integrated model framework for multi-air-pollutant exposure assessments in high-density cities. Atmos. Chem. Phys. 2024, 24, 649–661. [Google Scholar] [CrossRef]
- Li, Z.; Yim, S.H.L.; He, X.; Xia, X.; Ho, K.-F.; Yu, J.Z. High spatial resolution estimates of major PM2.5 components and their associated health risks in Hong Kong using a coupled land use regression and health risk assessment approach. Sci. Total. Environ. 2024, 907, 167932. [Google Scholar] [CrossRef] [PubMed]
- Zhang, Y.; Zhao, B.; Jiang, Y.; Xing, J.; Sahu, S.K.; Zheng, H.; Ding, D.; Cao, S.; Han, L.; Yan, C.; et al. Non-negligible contributions to human health from increased household air pollution exposure during the COVID-19 lockdown in China. Environ. Int. 2022, 158, 106918. [Google Scholar] [CrossRef] [PubMed]
- Anenberg, S.C.; Horowitz, L.W.; Tong, D.Q.; West, J.J. An estimate of the global burden of anthropogenic ozone and fine particulate matter on premature human mortality using atmospheric modeling. Environ. Health Perspect. 2010, 118, 1189–1195. [Google Scholar] [CrossRef] [PubMed]
- Izquierdo, R.; Dos Santos, S.G.; Borge, R.; de la Paz, D.; Sarigiannis, D.; Gotti, A.; Boldo, E. Health impact assessment by the implementation of Madrid City air-quality plan in 2020. Environ. Res. 2020, 183, 109021. [Google Scholar] [CrossRef] [PubMed]
- Chen, R.; Yin, P.; Meng, X.; Wang, L.; Liu, C.; Niu, Y.; Lin, Z.; Liu, Y.; Liu, J.; Qi, J.; et al. Associations between ambient nitrogen dioxide and daily cause-specific mortality: Evidence from 272 Chinese cities. Epidemiology 2018, 29, 482–489. [Google Scholar] [CrossRef] [PubMed]
- USEPA (United States Environmental Protection Agency). Guidance on the Use of Models and Other Analyses for Demonstrating Attainment of Air Quality Goals for Ozone, PM2.5, and Regional Haze; 2007. Available online: https://nepis.epa.gov/Exe/ZyPDF.cgi/P1009OL1.PDF?Dockey=P1009OL1.PDF (accessed on 15 October 2023).
- Latif, M.T.; Dominick, D.; Hawari, N.S.S.L.; Mohtar, A.A.A.; Othman, M. The concentration of major air pollutants during the movement control order due to the COVID-19 pandemic in the Klang Valley, Malaysia. Sustain. Cities Soc. 2020, 66, 102660. [Google Scholar] [CrossRef] [PubMed]
- Sathe, Y.; Gupta, P.; Bawase, M.; Lamsal, L.; Patadia, F.; Thipse, S. Surface and satellite observations of air pollution in India during COVID-19 lockdown: Implication to air quality. Sustain. Cities Soc. 2021, 66, 102688. [Google Scholar] [CrossRef] [PubMed]
- Shen, Y.; Jiang, F.; Feng, S.; Zheng, Y.; Cai, Z.; Lyu, X. Impact of weather and emission changes on NO2 concentrations in China during 2014–2019. Environ. Pollut. 2021, 269, 116163. [Google Scholar] [CrossRef] [PubMed]
- Harkey, M.; Holloway, T.; Oberman, J.; Scotty, E. An evaluation of CMAQ NO2 using observed chemistry-meteorology correlations. J. Geophys. Res. Atmos. 2015, 120, 11–775. [Google Scholar] [CrossRef]
- Fu, X.; Xiang, S.; Liu, Y.; Liu, J.; Yu, J.; Mauzerall, D.L.; Tao, S. High-resolution simulation of local traffic-related NOx dispersion and distribution in a complex urban terrain. Environ. Pollut. 2020, 263, 114390. [Google Scholar] [CrossRef]
- Le, T.; Wang, Y.; Liu, L.; Yang, J.; Yung, Y.L.; Li, G.; Seinfeld, J.H. Unexpected air pollution with marked emission reductions during the COVID-19 outbreak in China. Science 2020, 369, 702–706. [Google Scholar] [CrossRef] [PubMed]
- Li, M.; Wang, T.; Xie, M.; Li, S.; Zhuang, B.; Fu, Q.; Zhao, M.; Wu, H.; Liu, J.; Saikawa, E.; et al. Drivers for the poor air quality conditions in North China Plain during the COVID-19 outbreak. Atmos. Environ. 2021, 246, 118103. [Google Scholar] [CrossRef] [PubMed]
- Han, L.; Zhao, J.; Gu, Z. Assessing air quality changes in heavily polluted cities during the COVID-19 pandemic: A case study in Xi’an, China. Sustain. Cities Soc. 2021, 70, 102934. [Google Scholar] [CrossRef]
- Huang, G.; Sun, K. Non-negligible impacts of clean air regulations on the reduction of tropospheric NO2 over East China during the COVID-19 pandemic observed by OMI and TROPOMI. Sci. Total. Environ. 2020, 745, 141023. [Google Scholar] [CrossRef] [PubMed]
- Wang, Q.; Li, S. Nonlinear impact of COVID-19 on pollutions–Evidence from Wuhan, New York, Milan, Madrid, Bandra, London, Tokyo and Mexico City. Sustain. Cities Soc. 2021, 65, 102629. [Google Scholar] [CrossRef]
- Liu, F.; Wang, M.; Zheng, M. Effects of COVID-19 lockdown on global air quality and health. Sci. Total. Environ. 2021, 755, 142533. [Google Scholar] [CrossRef]
- Shi, X.; Brasseur, G.P. The Response in Air Quality to the Reduction of Chinese Economic Activities during the COVID-19 Outbreak. Geophys. Res. Lett. 2020, 47, e2020GL088070. [Google Scholar] [CrossRef]
- Jiang, Z.; Shi, H.; Zhao, B.; Gu, Y.; Zhu, Y.; Miyazaki, K.; Lu, X.; Zhang, Y.; Bowman, K.W.; Sekiya, T.; et al. Modeling the impact of COVID-19 on air quality in southern California: Implications for future control policies. Atmos. Chem. Phys. 2021, 21, 8693–8708. [Google Scholar] [CrossRef]
- Conte, M.; Dinoi, A.; Grasso, F.M.; Merico, E.; Guascito, M.R.; Contini, D. Concentration and size distribution of atmospheric particles in southern Italy during COVID-19 lockdown period. Atmos. Environ. 2023, 295, 119559. [Google Scholar] [CrossRef]
- Lin, H.; Liu, T.; Fang, F.; Xiao, J.; Zeng, W.; Li, X.; Guo, L.; Tian, L.; Schootman, M.; Stamatakis, K.A.; et al. Mortality benefits of vigorous air quality improvement interventions during the periods of APEC Blue and Parade Blue in Beijing, China. Environ. Pollut. 2017, 220, 222–227. [Google Scholar] [CrossRef]
- Kumari, P.; Toshniwal, D. Impact of lockdown measures during COVID-19 on air quality—A case study of India. Int. J. Environ. Health Res. 2022, 32, 503–510. [Google Scholar] [CrossRef] [PubMed]
- Tao, C.; Wheiler, K.; Yu, C.; Cheng, B.; Diao, G. Does the joint prevention and control regulation improve the air quality? A quasi-experiment in the Beijing economic belt during the COVID-19 pandemic. Sustain. Cities Soc. 2021, 75, 103365. [Google Scholar] [CrossRef] [PubMed]





| Predictor Variables | Variable Importance (%) | ||
|---|---|---|---|
| Minimum | Maximum | Mean | |
| Year | 4.4 | 25 | 11 |
| Day_julian | 7.9 | 17 | 11 |
| Day_lunar | 10 | 24 | 17 |
| Wind direction | 4.7 | 16 | 9.6 |
| Wind speed | 5.2 | 36 | 25 |
| Temperature | 7.6 | 16 | 12 |
| Relative humidity | 3.6 | 30 | 14 |
| City | NO2 Concentration Reductions | |
|---|---|---|
| The Machine Learning Approach | The Difference-to-Difference Approach | |
| Beijing | −26 | −3.7 |
| Tianjin | −18 | −13 |
| Shijiazhuang | −18 | −9.6 |
| Taiyuan | −11 | −5.5 |
| Hohhot | −11 | −18 |
| Shenyang | −17 | −15 |
| Changchun | −19 | −18 |
| Harbin | −19 | −21 |
| Shanghai | −18 | −15 |
| Nanjing | −18 | −14 |
| Hangzhou | −21 | −16 |
| Hefei | −14 | −15 |
| Fuzhou | −12 | −10 |
| Nanchang | −17 | −19 |
| Jinan | −21 | −13 |
| Zhengzhou | −18 | −10 |
| Wuhan | −29 | −25 |
| Changsha | −19 | −13 |
| Guangzhou | −23 | −20 |
| Nanning | −14 | −6.4 |
| Haikou | −5 | −4.4 |
| Chongqing | −15 | −13 |
| Chengdu | −20 | −12 |
| Guiyang | −9 | −5.4 |
| Kunming | −14 | −13 |
| Lhasa | −6.9 | −0.63 |
| Xi’an | −21 | −12 |
| Lanzhou | −8.2 | −3.7 |
| Xining | −5.8 | −1.5 |
| Yinchuan | −12 | −8.2 |
| Urumqi | −20 | −21 |
Disclaimer/Publisher’s Note: The statements, opinions and data contained in all publications are solely those of the individual author(s) and contributor(s) and not of MDPI and/or the editor(s). MDPI and/or the editor(s) disclaim responsibility for any injury to people or property resulting from any ideas, methods, instructions or products referred to in the content. |
© 2024 by the author. Licensee MDPI, Basel, Switzerland. This article is an open access article distributed under the terms and conditions of the Creative Commons Attribution (CC BY) license (https://creativecommons.org/licenses/by/4.0/).
Share and Cite
Li, Z. Impact of COVID-19 Lockdown on NO2 Pollution and the Associated Health Burden in China: A Comparison of Different Approaches. Toxics 2024, 12, 580. https://doi.org/10.3390/toxics12080580
Li Z. Impact of COVID-19 Lockdown on NO2 Pollution and the Associated Health Burden in China: A Comparison of Different Approaches. Toxics. 2024; 12(8):580. https://doi.org/10.3390/toxics12080580
Chicago/Turabian StyleLi, Zhiyuan. 2024. "Impact of COVID-19 Lockdown on NO2 Pollution and the Associated Health Burden in China: A Comparison of Different Approaches" Toxics 12, no. 8: 580. https://doi.org/10.3390/toxics12080580
APA StyleLi, Z. (2024). Impact of COVID-19 Lockdown on NO2 Pollution and the Associated Health Burden in China: A Comparison of Different Approaches. Toxics, 12(8), 580. https://doi.org/10.3390/toxics12080580