Degradation of Three Herbicides and Effect on Bacterial Communities under Combined Pollution
Abstract
1. Introduction
2. Experimental Section
2.1. Materials and Reagents
2.2. Incubation of Soils
2.3. Pretreatment Method
2.4. Analysis Method
2.5. Method Validation
2.6. Metabolite Determination
2.7. Analysis of Soil Microbial Community Structure
2.8. Data Analysis
3. Results and Discussion
3.1. Degradation of Three Herbicides in Soil
3.2. Changes in Soil Bacterial Community Structure
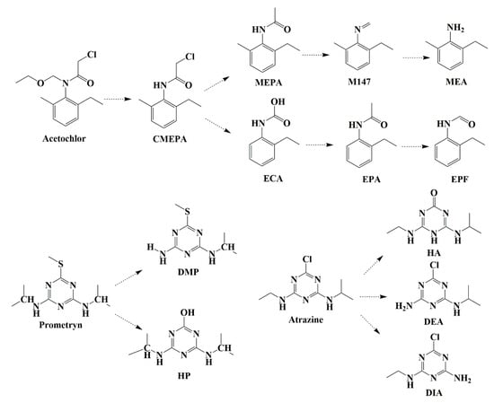
3.3. Metabolic Pathways of the Herbicides in Soil
4. Conclusions
Supplementary Materials
Author Contributions
Funding
Institutional Review Board Statement
Informed Consent Statement
Data Availability Statement
Conflicts of Interest
References
- Bose, S.; Kumar, P.; Vo, D.; Rajamohan, N.; Saravanan, R. Microbial degradation of recalcitrant pesticides: A review. Environ. Chem. Lett. 2021, 19, 3209–3228. [Google Scholar] [CrossRef]
- Huang, P.; Liu, S.; Xu, Y.; Wang, Y.; Wang, Z. Combined lethal toxicities of pesticides with similar structures to Caenorhabditis elegans are not necessarily concentration additives. Environ. Pollut. 2021, 286, 117207. [Google Scholar] [CrossRef]
- Topaz, T.; Egozi, R.; Suari, Y.; Ben-Ari, J.; Sade, T.; Chefetz, B.; Yahel, G. Environmental risk dynamics of pesticides toxicity in a Mediterranean micro-estuary. Environ. Pollut. 2020, 265, 114941. [Google Scholar] [CrossRef]
- Chiaia-Hernandez, A.; Keller, A.; Wähter, D.; Steinlin, C. Long-term persistence of pesticides and TPs in archived agricultural soil samples and comparison with pesticide application. Environ. Sci. Technol. 2017, 51, 10642–10651. [Google Scholar] [CrossRef]
- Le Roux, P.; Aalto, J.; Luoto, M. Soil moisture’s underestimated role in climate change impact modelling in low-energy systems. Glob. Chang. Biol. 2013, 19, 2965–2975. [Google Scholar] [CrossRef]
- Zhang, Q.; Zou, D.; Zeng, X.; Li, L.; Wang, A.; Liu, F.; Xiao, Z. Effect of the direct use of biomass in agricultural soil on heavy metals activation or immobilization? Environ. Pollut. 2021, 272, 115989. [Google Scholar] [CrossRef]
- Shahid, M.; Khan, M. Ecotoxicological implications of residual pesticides to beneficial soil bacteria: A review. Pest. Biochem. Phys. 2022, 188, 105272. [Google Scholar] [CrossRef]
- Song, Y.; Zhu, L.; Wang, J.; Wang, J.; Liu, W.; Xie, H. DNA damage and effects on antioxidative enzymes in earthworm (Eisenia foetida) induced by atrazine. Soil Biol. Biochem. 2009, 41, 905–909. [Google Scholar] [CrossRef]
- Li, X.; Su, Z.; Li, X.; Zhang, C.; Zhang, H. Assessing the effects of acetochlor on soil fungal communities by DGGE and clone library analysis. Ecotoxicology 2010, 19, 1111–1116. [Google Scholar]
- Boulahia, K.; Carol, P.; Planchais, S.; Abrous-Belbachir, O. Phaseolus vulgaris L. seedlings exposed to prometryn herbicide contaminated soil trigger an oxidative stress response. J. Agric. Food Chem. 2016, 64, 3150–3160. [Google Scholar] [CrossRef] [PubMed]
- Sharma, A.; Kumar, V.; Shahzad, B.; Tanveer, M.; Sidhu, G.P.S.; Handa, N.; Thukral, A.K. Worldwide pesticide usage and its impacts on ecosystem. SN Appl. Sci. 2019, 1, 1446. [Google Scholar] [CrossRef]
- Saleem, U.; Ejaz, S.; Ashraf, M.; Omer, M.O.; Altaf, I.; Batool, Z.; Afzal, M. Mutagenic and cytotoxic potential of Endosulfan and Lambda-cyhalothrin—In vitro study describing individual and combined effects of pesticides. J. Environ. Sci. 2014, 26, 1471–1479. [Google Scholar] [CrossRef] [PubMed]
- Parada, J.; Rubilar, O.; Diez, M.C.; Cea, M.; Da Silva, A.S.A.; Rodríguez-Rodríguez, C.E.; Tortella, G.R. Combined pollution of copper nanoparticles and atrazine in soil: Effects on dissipation of the pesticide and on microbiological community profiles. J. Hazard. Mater. 2019, 361, 228–236. [Google Scholar] [CrossRef] [PubMed]
- Jiang, W.; Gao, J.; Cheng, Z.; Wang, P.; Zhou, Z.; Liu, D. The effect of antibiotics on the persistence of herbicides in soil under the combined pollution. Chemosphere 2018, 204, 303–309. [Google Scholar] [CrossRef] [PubMed]
- Chen, Q.; Yang, B.; Wang, H.; He, F.; Gao, Y.; Scheel, R.A. Soil microbial community toxic response to atrazine and its residues under atrazine and lead contamination. Environ. Sci. Pollut. Res. 2015, 22, 996–1007. [Google Scholar] [CrossRef] [PubMed]
- Zhang, Y.; Hu, Y.; An, N.; Jiang, D.; Cao, B.; Jiang, Z.; Yan, Y.; Ming, C.; Meng, Q.; Han, W. Short-term response of soil enzyme activities and bacterial communities in black soil to a herbicide mixture: Atrazine and Acetochlor. Appl. Soil Ecol. 2023, 181, 104652. [Google Scholar] [CrossRef]
- Ju, C.; Zhang, H.; Wu, R.; Dong, S.; Yao, S.; Wang, F.; Cao, D.; Xu, S.; Fang, H.; Yu, Y. Upward translocation of acetochlor and atrazine in wheat plants depends on their distribution in roots. Sci. Total Environ. 2020, 703, 135636. [Google Scholar] [CrossRef] [PubMed]
- Coroi, I.; Cara, M.; Jitareanu, G. Dissipation of acetochlor and residue analysis in plants and soil under field conditions. Agronomy 2012, 55, 165–168. [Google Scholar]
- Vonberg, D.; Hofmann, D.; Vanderborght, J.; Lelickens, A.; Köppchen, S.; Pütz, T.; Burauel, P.; Vereecken, H. Atrazine soil core residue analysis from an agricultural field 21 years after its ban. J. Environ. Qual. 2014, 43, 1450–1459. [Google Scholar] [CrossRef]
- McKinlay, R.; Plant, J.A.; Bell, J.N.B.; Voulvoulis, N. Endocrine disrupting pesticides: Implications for risk assessment. Environ. Int. 2008, 34, 168–183. [Google Scholar] [CrossRef]
- Sai, L.; Li, L.; Hu, C.; Qu, B.; Guo, Q.; Jia, Q.; Zhang, Y.; Bo, C.; Li, X.; Shao, H.; et al. Identification of circular RNAs and their alterations involved in developing male Xenopus laevis chronically exposed to atrazine. Chemosphere 2018, 200, 295–301. [Google Scholar] [CrossRef]
- Han, L.; Fang, K.; Liu, Y.; Fang, J.; Wang, F.; Wang, X. Earthworms accelerated the degradation of the highly toxic acetochlor S-enantiomer by stimulating soil microbiota in repeatedly treated soils. J. Hazard. Mater. 2021, 420, 126669. [Google Scholar] [CrossRef] [PubMed]
- Huang, H.; Zhang, C.; Rong, Q.; Li, C.; Mao, J.; Liu, Y.; Chen, J.; Liu, X. Effect of two organic amendments on atrazine degradation and microorganisms in soil. Appl. Soil Ecol. 2020, 152, 103564. [Google Scholar] [CrossRef]
- Zhang, N.; Xie, F.; Guo, Q.N.; Yang, H. Environmental disappearance of acetochlor and its bioavailability to weed: A general prototype for reduced herbicide application instruction. Chemosphere 2021, 265, 129108. [Google Scholar] [CrossRef] [PubMed]
- Dictor, M.; Baran, N.; Gautier, A.; Mouvet, C. Acetochlor mineralization and fate of its two major metabolites in two soils under laboratory conditions. Chemosphere 2008, 71, 663–670. [Google Scholar] [CrossRef] [PubMed]
- Dumas, J.; Semidey, N.; Cacho, C.; Casanova, P. Field dissipation of prometryn, oxyfluorfen and imazethapyr in Mollisol and Vertisol soils. J. Agric. Univ. Puerto Rico 2008, 92, 183–195. [Google Scholar] [CrossRef]
- Kumar, A.; Singh, N. Atrazine and its metabolites degradation in mineral salts medium and soil using an enrichment culture. Environ. Monit. Assess. 2016, 188, 1–12. [Google Scholar] [CrossRef] [PubMed]
- Chowdhury, I.; Rohan, M.; Stodart, B.; Chen, C.; Wu, H.; Doran, G. Persistence of atrazine and trifluralin in a clay loam soil undergoing different temperature and moisture conditions. Environ. Pollut. 2021, 276, 116687. [Google Scholar] [CrossRef]
- Yu, Y.; Chu, X.; Pang, G.; Xiang, Y.; Fang, H. Effects of repeated applications of fungicide carbendazim on its persistence and microbial community in soil. J. Environ. Sci. 2009, 21, 179–185. [Google Scholar] [CrossRef]
- Swarcewicz, M.; Gregorczyk, A. The effects of pesticide mixtures on degradation of pendimethalin in soils. Environ. Monit. Assess. 2011, 184, 3077–3084. [Google Scholar] [CrossRef]
- Chu, C.; Liu, B.; Liu, J.; He, J.; Lv, L.; Wang, H.; Chen, Q. Phytoremediation of acetochlor residue by transgenic Arabidopsis expressing the acetochlor N-dealkylase from Sphingomonas wittichii DC-6. Sci. Total Environ. 2020, 728, 138687. [Google Scholar] [CrossRef] [PubMed]
- Satsuma, K. Mineralization of s-triazine herbicides by a newly isolated Nocardioides species strain DN36. Appl. Microbiol. Biotechnol. 2010, 86, 1585–1592. [Google Scholar] [CrossRef]
- Xu, J.; Qiu, X.; Dai, J.; Cao, H.; Yang, M.; Zhang, J.; Xu, M. Isolation and characterization of a Pseudomonas oleovorans degrading the chloroacetamide herbicide acetochlor. Biodegradation 2006, 17, 219–225. [Google Scholar] [CrossRef] [PubMed]
- Min, G.; Wang, S.; Zhu, H.; Fang, G.; Zhang, Y. Multi-walled carbon nanotubes as solid-phase extraction adsorbents for determination of atrazine and its principal metabolites in water and soil samples by gas chromatography-mass spectrometry. Sci. Total Environ. 2008, 396, 79–85. [Google Scholar] [CrossRef] [PubMed]
- Barchanska, H.; Sajdak, M.; Szczypka, K.; Swientek, A.; Tworek, M.; Kurek, M. Atrazine, triketone herbicides, and their degradation products in sediment, soil and surface water samples in Poland. Environ. Sci. Pollut. Res. 2017, 24, 644–658. [Google Scholar] [CrossRef]
- Khan, S.U.; Hamilton, H.A. Extractable and bound (nonextractable) residues of prometryn and its metabolites in an organic soil. J. Agri. Food Chem. 1980, 28, 126–132. [Google Scholar] [CrossRef]





| Herbicide | Substrate | Regression Equation | R2 | Slope Ratio | LOD (mg/kg) | LOQ (mg/kg) |
|---|---|---|---|---|---|---|
| Acetochlor | solvent | y = 685751x − 194712 | 0.9902 | - | 0.02 | 0.07 |
| soil | y = 794713x + 81646 | 0.9974 | 1.16 | 0.01 | 0.03 | |
| Prometryn | solvent | y = 1180609x − 375880 | 0.9905 | - | 0.002 | 0.005 |
| soil | y = 1941626x + 214145 | 0.9966 | 1.64 | 0.0003 | 0.001 | |
| Atrazine | solvent | y = 1319949x − 402477 | 0.9901 | - | 0.01 | 0.03 |
| soil | y = 1598530x + 103529 | 0.9982 | 1.21 | 0.001 | 0.003 |
| Number | Compound | Chemical Formula | tR (min) | m/z, [M + H]+ | △ppm | MS2 Main Fragments (m/z) |
|---|---|---|---|---|---|---|
| 1 | Acetochlor | C14H20ClNO2 | 13.44 | 270.0946 | - | 270.0946, 224.0822, 206.0740, 148.1118, 133.0886, 90.0115, 59.0515 |
| 2 | CMEPA | C11H14ClNO | 0.76 | 212.1183 | −0.4 | 212.1181, 195.0914, 119.0690, 94.0659, 77.0404 |
| 3 | MEPA | C11H15NO | 9.53 | 178.1222 | −2.6 | 178.1637, 133.0656, 105.0699, 103.0558, 90.0394 |
| 4 | M147 | C10H13N | 13.50 | 148.1114 | −4.3 | 148.1135, 133.0892, 132.0807, 117.0578, 115.0549 |
| 5 | MEA | C9H13N | 0.74 | 136.1136 | 2.4 | 136.1136, 121.0886, 106.0659, 79.0358 |
| 6 | ECA | C9H11NO2 | 0.75 | 166.1222 | −2.9 | 161.1213, 150.0905, 136.0715, 109.0522, 96.0449 |
| 7 | EPA | C10H13NO | 0.73 | 164.1422 | −2.6 | 164.1442, 148.1064, 133.1043, 120.0777, 104.8918 |
| 8 | EPF | C9H11NO | 0.73 | 150.1253 | 3.2 | 150.1253, 133.0478, 108.9271, 64.9381, 42.0385 |
| 9 | Prometryn | C10H19N5S | 9.12 | 242.1434 | - | 242.1434, 200.0962, 158.0494, 116.0281, 110.0471, 110.0780, 85.0525, 68.0268 |
| 10 | DMP | C7H13N5S | 8.84 | 200.0955 | −4.7 | 200.0967, 158.0476, 110.0483, 85.0495, 68.0241 |
| 11 | HP | C9H17N5O | 4.49 | 212.1500 | −2.7 | 212.1501, 170.1031, 128.0564, 119.0601, 86.0356, 77.0396, 69.0097 |
| 12 | Atrazine | C8H14ClN5 | 9.32 | 216.1015 | - | 216.1015, 174.0554, 146.0225, 132.0324, 110.0459, 104.0012, 96.0562, 79.0069, 71.0618, 68.0260 |
| 13 | DIA | C5H8ClN5 | 0.95 | 174.0535 | −3.3 | 174.0535, 146.0234, 138.0791, 110.0458, 104.0017, 96.0564, 79.0077, 68.0263, 61.9809 |
| 14 | DEA | C6H10ClN5 | 4.08 | 188.0690 | −4.0 | 188.0700, 146.0223, 110.0484, 104.0003, 79.0054 |
| 15 | HA | C8H15N5O | 0.76 | 198.1346 | −1.7 | 198.1346, 156.0882, 114.0664,97.0402, 86.0359, 71.0621, 69.0103 |
Disclaimer/Publisher’s Note: The statements, opinions and data contained in all publications are solely those of the individual author(s) and contributor(s) and not of MDPI and/or the editor(s). MDPI and/or the editor(s) disclaim responsibility for any injury to people or property resulting from any ideas, methods, instructions or products referred to in the content. |
© 2024 by the authors. Licensee MDPI, Basel, Switzerland. This article is an open access article distributed under the terms and conditions of the Creative Commons Attribution (CC BY) license (https://creativecommons.org/licenses/by/4.0/).
Share and Cite
Mei, L.; Xia, X.; Cao, J.; Zhao, Y.; Huang, H.; Li, Y.; Zhang, Z. Degradation of Three Herbicides and Effect on Bacterial Communities under Combined Pollution. Toxics 2024, 12, 562. https://doi.org/10.3390/toxics12080562
Mei L, Xia X, Cao J, Zhao Y, Huang H, Li Y, Zhang Z. Degradation of Three Herbicides and Effect on Bacterial Communities under Combined Pollution. Toxics. 2024; 12(8):562. https://doi.org/10.3390/toxics12080562
Chicago/Turabian StyleMei, Liangchi, Xinle Xia, Jian Cao, Yuzhen Zhao, Haiyun Huang, Ying Li, and Zhaoxian Zhang. 2024. "Degradation of Three Herbicides and Effect on Bacterial Communities under Combined Pollution" Toxics 12, no. 8: 562. https://doi.org/10.3390/toxics12080562
APA StyleMei, L., Xia, X., Cao, J., Zhao, Y., Huang, H., Li, Y., & Zhang, Z. (2024). Degradation of Three Herbicides and Effect on Bacterial Communities under Combined Pollution. Toxics, 12(8), 562. https://doi.org/10.3390/toxics12080562
