Rank-In Integrated Machine Learning and Bioinformatic Analysis Identified the Key Genes in HFPO-DA (GenX) Exposure to Human, Mouse, and Rat Organisms
Abstract
1. Introduction
2. Materials and Methods
2.1. Transcriptome Data Collection
2.2. The Merging of the Transcriptome Data with the Rank-In Algorithm
2.3. The Machine Learning Classification Algorithm
2.4. Bioinformatic Analysis of the Mechanism of GenX Exposure and the Key Genes
2.5. Statistical Analysis and Plotting
3. Results
3.1. Transcriptome Datasets
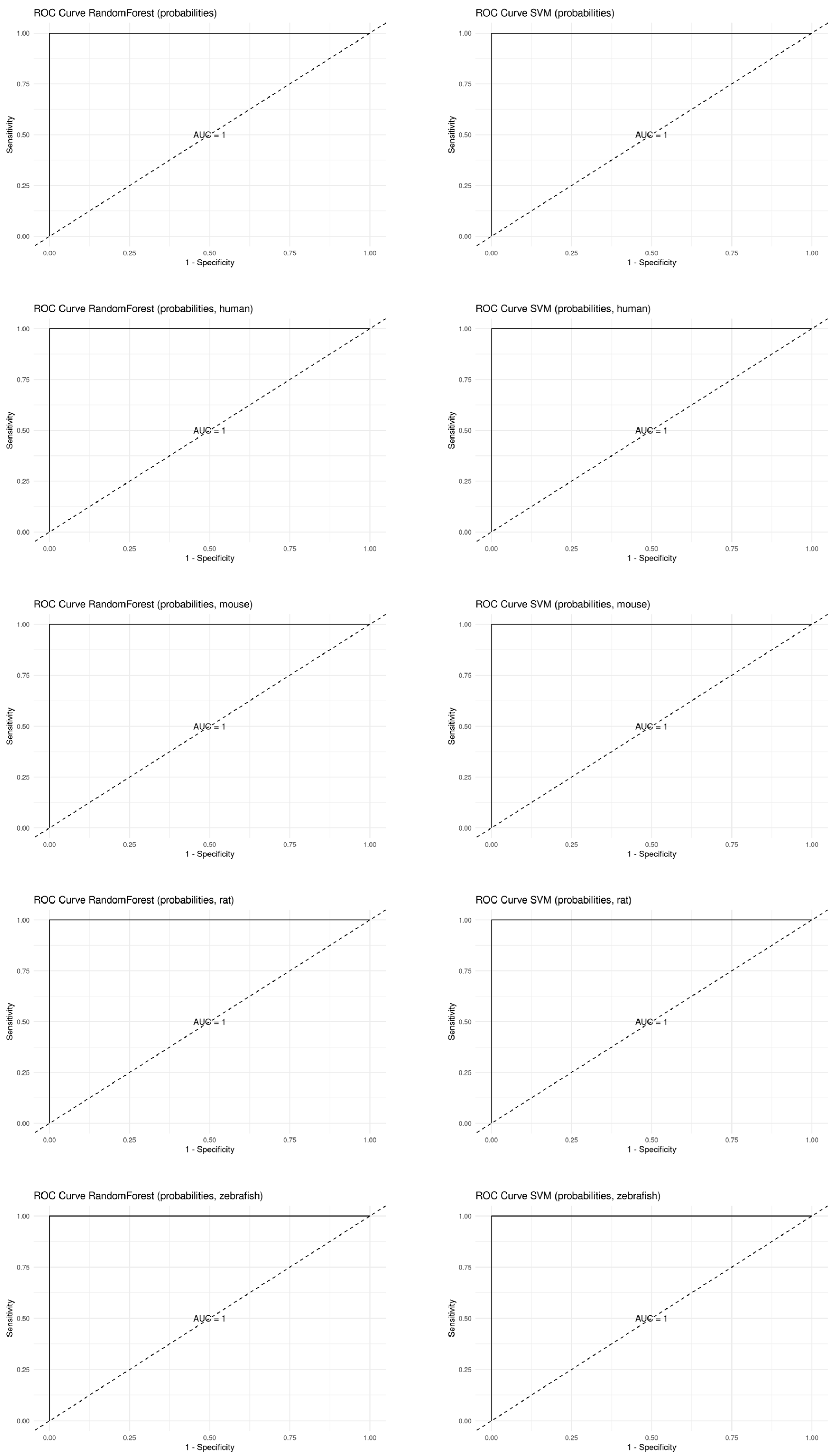
3.2. Machine Learning Identified Seven Key Genes for Distinguishing the GenX and Non-GenX Groups
3.3. The Gene Function and Network Analysis Revealed Mitochondrial Function and Metabolic Process as Being Potential Modulated by GenX and the Key Genes
3.4. The Immune Function Showed No Dose-Response Relationship with GenX Exposure Doses
4. Discussion
5. Conclusions
Supplementary Materials
Author Contributions
Funding
Institutional Review Board Statement
Informed Consent Statement
Data Availability Statement
Conflicts of Interest
References
- Mahoney, H.; Xie, Y.; Brinkmann, M.; Giesy, J.P. Next Generation Per- and Poly-Fluoroalkyl Substances: Status and Trends, Aquatic Toxicity, and Risk Assessment. Eco-Environ. Health 2022, 1, 117–131. [Google Scholar] [CrossRef] [PubMed]
- Brase, R.A.; Mullin, E.J.; Spink, D.C. Legacy and Emerging Per- and Polyfluoroalkyl Substances: Analytical Techniques, Environmental Fate, and Health Effects. Int. J. Mol. Sci. 2021, 22, 995. [Google Scholar] [CrossRef] [PubMed]
- Yuan, W.; Song, S.; Lu, Y.; Shi, Y.; Yang, S.; Wu, Q.; Wu, Y.; Jia, D.; Sun, J. Legacy and Alternative Per-and Polyfluoroalkyl Substances (PFASs) in the Bohai Bay Rim: Occurrence, Partitioning Behavior, Risk Assessment, and Emission Scenario Analysis. Sci. Total Environ. 2024, 912, 168837. [Google Scholar] [CrossRef] [PubMed]
- Rashid, F.; Dubinkina, V.; Ahmad, S.; Maslov, S.; Irudayaraj, J.M.K. Gut Microbiome-Host Metabolome Homeostasis upon Exposure to PFOS and GenX in Male Mice. Toxics 2023, 11, 281. [Google Scholar] [CrossRef] [PubMed]
- Nomoto, K.; Nishida, T.; Nakanishi, Y.; Fujimoto, M.; Takasaki, I.; Tabuchi, Y.; Tsuneyama, K. Deficiency in Galectin-3 Promotes Hepatic Injury in CDAA Diet-Induced Nonalcoholic Fatty Liver Disease. Sci. World J. 2012, 2012, 959824. [Google Scholar] [CrossRef] [PubMed]
- Zhang, Q.-Y.; Xu, L.-L.; Zhong, M.-T.; Chen, Y.-K.; Lai, M.-Q.; Wang, Q.; Xie, X.-L. Gestational GenX and PFOA Exposures Induce Hepatotoxicity, Metabolic Pathway, and Microbiome Shifts in Weanling Mice. Sci. Total Environ. 2024, 907, 168059. [Google Scholar] [CrossRef]
- Crespo-Lopez, M.E. Toxicogenomics and Molecular Markers in Pollution. Int. J. Mol. Sci. 2022, 23, 8280. [Google Scholar] [CrossRef]
- Zhang, Y.; Sheng, Y.; Gao, Y.; Lin, Y.; Cheng, B.; Li, H.; Zhang, L.; Xu, H. Exploration of the Pathogenesis of Chronic Obstructive Pulmonary Disease Caused by Smoking-Based on Bioinformatics Analysis and In Vitro Experimental Evidence. Toxics 2023, 11, 995. [Google Scholar] [CrossRef]
- Barros, S.A.; Martin, R.B. Predictive Toxicogenomics in Preclinical Discovery. Methods Mol. Biol. Clifton NJ 2008, 460, 89–112. [Google Scholar] [CrossRef]
- Li, X.; Dong, L.; Yu, H.; Zhang, Y.; Wang, S. Bioinformatic Analysis Identified Hub Genes Associated with Heterocyclic Amines Induced Cytotoxicity of Peripheral Blood Mononuclear Cells. Genes 2021, 12, 1888. [Google Scholar] [CrossRef]
- Robarts, D.R.; Dai, J.; Lau, C.; Apte, U.; Corton, J.C. Hepatic Transcriptome Comparative In Silico Analysis Reveals Similar Pathways and Targets Altered by Legacy and Alternative Per- and Polyfluoroalkyl Substances in Mice. Toxics 2023, 11, 963. [Google Scholar] [CrossRef] [PubMed]
- Delva-Wiley, J.; Jahan, I.; Newman, R.H.; Zhang, L.; Dong, M. Computational Analysis of the Binding Mechanism of GenX and HSA. ACS Omega 2021, 6, 29166–29170. [Google Scholar] [CrossRef] [PubMed]
- Lee, S.; Sun, W.; Wright, F.A.; Zou, F. An Improved and Explicit Surrogate Variable Analysis Procedure by Coefficient Adjustment. Biometrika 2017, 104, 303–316. [Google Scholar] [CrossRef] [PubMed]
- Tang, K.; Ji, X.; Zhou, M.; Deng, Z.; Huang, Y.; Zheng, G.; Cao, Z. Rank-in: Enabling Integrative Analysis across Microarray and RNA-Seq for Cancer. Nucleic Acids Res. 2021, 49, e99. [Google Scholar] [CrossRef] [PubMed]
- Qin, Z.-X.; Chen, G.-Z.; Yang, Q.-Q.; Wu, Y.-J.; Sun, C.-Q.; Yang, X.-M.; Luo, M.; Yi, C.-R.; Zhu, J.; Chen, W.-H.; et al. Cross-Platform Transcriptomic Data Integration, Profiling, and Mining in Vibrio Cholerae. Microbiol. Spectr. 2023, 11, e05369-22. [Google Scholar] [CrossRef] [PubMed]
- Langfelder, P.; Horvath, S. WGCNA: An R Package for Weighted Correlation Network Analysis. BMC Bioinform. 2008, 9, 559. [Google Scholar] [CrossRef] [PubMed]
- Davis, S.; Meltzer, P.S. GEOquery: A Bridge between the Gene Expression Omnibus (GEO) and BioConductor. Bioinformatics 2007, 23, 1846–1847. [Google Scholar] [CrossRef] [PubMed]
- Smid, M.; Coebergh van den Braak, R.R.J.; van de Werken, H.J.G.; van Riet, J.; van Galen, A.; de Weerd, V.; van der Vlugt-Daane, M.; Bril, S.I.; Lalmahomed, Z.S.; Kloosterman, W.P.; et al. Gene Length Corrected Trimmed Mean of M-Values (GeTMM) Processing of RNA-Seq Data Performs Similarly in Intersample Analyses While Improving Intrasample Comparisons. BMC Bioinform. 2018, 19, 236. [Google Scholar] [CrossRef] [PubMed]
- Wu, T.; Hu, E.; Xu, S.; Chen, M.; Guo, P.; Dai, Z.; Feng, T.; Zhou, L.; Tang, W.; Zhan, L.; et al. clusterProfiler 4.0: A Universal Enrichment Tool for Interpreting Omics Data. Innov. Camb. Mass 2021, 2, 100141. [Google Scholar] [CrossRef] [PubMed]
- Yu, G.; Wang, L.-G.; Yan, G.-R.; He, Q.-Y. DOSE: An R/Bioconductor Package for Disease Ontology Semantic and Enrichment Analysis. Bioinforma. Oxf. Engl. 2015, 31, 608–609. [Google Scholar] [CrossRef]
- Szklarczyk, D.; Kirsch, R.; Koutrouli, M.; Nastou, K.; Mehryary, F.; Hachilif, R.; Gable, A.L.; Fang, T.; Doncheva, N.T.; Pyysalo, S.; et al. The STRING Database in 2023: Protein-Protein Association Networks and Functional Enrichment Analyses for Any Sequenced Genome of Interest. Nucleic Acids Res. 2023, 51, D638–D646. [Google Scholar] [CrossRef] [PubMed]
- Szklarczyk, D.; Gable, A.L.; Lyon, D.; Junge, A.; Wyder, S.; Huerta-Cepas, J.; Simonovic, M.; Doncheva, N.T.; Morris, J.H.; Bork, P.; et al. STRING V11: Protein-Protein Association Networks with Increased Coverage, Supporting Functional Discovery in Genome-Wide Experimental Datasets. Nucleic Acids Res. 2019, 47, D607–D613. [Google Scholar] [CrossRef] [PubMed]
- Chen, B.; Khodadoust, M.S.; Liu, C.L.; Newman, A.M.; Alizadeh, A.A. Profiling Tumor Infiltrating Immune Cells with CIBERSORT. Cancer Syst. Biol. 2018, 1711, 243–259. [Google Scholar] [CrossRef]
- Gaballah, S.; Swank, A.; Sobus, J.R.; Howey, X.M.; Schmid, J.; Catron, T.; McCord, J.; Hines, E.; Strynar, M.; Tal, T. Evaluation of Developmental Toxicity, Developmental Neurotoxicity, and Tissue Dose in Zebrafish Exposed to GenX and Other PFAS. Environ. Health Perspect. 2020, 128, 047005. [Google Scholar] [CrossRef] [PubMed]
- Václavíková, R.; Hughes, D.J.; Souček, P. Microsomal Epoxide Hydrolase 1 (EPHX1): Gene, Structure, Function, and Role in Human Disease. Gene 2015, 571, 1–8. [Google Scholar] [CrossRef] [PubMed]
- Miyake, Y.; Tanaka, K.; Arakawa, M. ITIH3 and ITIH4 Polymorphisms and Depressive Symptoms during Pregnancy in Japan: The Kyushu Okinawa Maternal and Child Health Study. J. Neural Transm. Vienna Austria 1996 2018, 125, 1503–1509. [Google Scholar] [CrossRef] [PubMed]
- de Almeida, L.G.N.; Young, D.; Chow, L.; Nicholas, J.; Lee, A.; Poon, M.-C.; Dufour, A.; Agbani, E.O. Proteomics and Metabolomics Profiling of Platelets and Plasma Mediators of Thrombo-Inflammation in Gestational Hypertension and Preeclampsia. Cells 2022, 11, 1256. [Google Scholar] [CrossRef] [PubMed]
- Wakamiya, M.; Matsuura, T.; Liu, Y.; Schuster, G.C.; Gao, R.; Xu, W.; Sarkar, P.S.; Lin, X.; Ashizawa, T. The Role of Ataxin 10 in the Pathogenesis of Spinocerebellar Ataxia Type 10. Neurology 2006, 67, 607–613. [Google Scholar] [CrossRef]
- Ahlstedt, B.A.; Ganji, R.; Mukkavalli, S.; Paulo, J.A.; Gygi, S.P.; Raman, M. UBXN1 Maintains ER Proteostasis and Represses UPR Activation by Modulating Translation. EMBO Rep. 2024, 25, 672–703. [Google Scholar] [CrossRef]
- Tolosano, E.; Fagoonee, S.; Morello, N.; Vinchi, F.; Fiorito, V. Heme Scavenging and the Other Facets of Hemopexin. Antioxid. Redox Signal. 2010, 12, 305–320. [Google Scholar] [CrossRef]
- Hahl, P.; Hunt, R.; Bjes, E.S.; Skaff, A.; Keightley, A.; Smith, A. Identification of Oxidative Modifications of Hemopexin and Their Predicted Physiological Relevance. J. Biol. Chem. 2017, 292, 13658–13671. [Google Scholar] [CrossRef]
- Dihal, A.A.; Van Der Woude, H.; Hendriksen, P.J.M.; Charif, H.; Dekker, L.J.; IJsselstijn, L.; De Boer, V.C.J.; Alink, G.M.; Burgers, P.C.; Rietjens, I.M.C.M.; et al. Transcriptome and Proteome Profiling of Colon Mucosa from Quercetin Fed F344 Rats Point to Tumor Preventive Mechanisms, Increased Mitochondrial Fatty Acid Degradation and Decreased Glycolysis. Proteomics 2008, 8, 45–61. [Google Scholar] [CrossRef] [PubMed]
- Heintz, M.M.; Klaren, W.D.; East, A.W.; Haws, L.C.; McGreal, S.R.; Campbell, R.R.; Thompson, C.M. Comparison of Transcriptomic Profiles between HFPO-DA and Prototypical PPARα, PPARγ, and Cytotoxic Agents in Mouse, Rat, and Pooled Human Hepatocytes. Toxicol. Sci. 2024, kfae044. [Google Scholar] [CrossRef]
- Human Health Toxicity Values for Hexafluoropropylene Oxide (HFPO) Dimer Acid and Its Ammonium Salt (CASRN 13252-13-6 and CASRN 62037-80-3). Also Known as “GenX Chemicals.” Final Report|Health & Environmental Research Online (HERO)|US EPA. Available online: https://hero.epa.gov/hero/index.cfm/reference/details/reference_id/9960186 (accessed on 14 June 2024).
- Heintz, M.M.; Haws, L.C.; Klaunig, J.E.; Cullen, J.M.; Thompson, C.M. Assessment of the Mode of Action Underlying Development of Liver Lesions in Mice Following Oral Exposure to HFPO-DA and Relevance to Humans. Toxicol. Sci. Off. J. Soc. Toxicol. 2023, 192, 15–29. [Google Scholar] [CrossRef] [PubMed]
- Evaluation of Transcriptomic Responses in Livers of Mice Exposed to the Short-Chain PFAS Compound HFPO-DA—PubMed. Available online: https://pubmed.ncbi.nlm.nih.gov/35832492/ (accessed on 14 June 2024).
- Zhuo, J.; Wang, K.; Shi, Z.; Yuan, C. Immunogenic Cell Death-Led Discovery of COVID-19 Biomarkers and Inflammatory Infiltrates. Front. Microbiol. 2023, 14, 1191004. [Google Scholar] [CrossRef] [PubMed]
- Dragon, J.; Hoaglund, M.; Badireddy, A.R.; Nielsen, G.; Schlezinger, J.; Shukla, A. Perfluoroalkyl Substances (PFAS) Affect Inflammation in Lung Cells and Tissues. Int. J. Mol. Sci. 2023, 24, 8539. [Google Scholar] [CrossRef]
- Wang, B.; Junaid, M.; Chen, G.; Wang, J. Interfacial Effects of Perfluorooctanoic Acid and Its Alternative Hexafluoropropylene Oxide Dimer Acid with Polystyrene Nanoplastics on Oxidative Stress, Histopathology and Gut Microbiota in Crassostrea Hongkongensis Oysters. Sci. Total Environ. 2024, 932, 172864. [Google Scholar] [CrossRef]
- Wang, P.; Yang, L.; Cheng, G.; Yang, G.; Xu, Z.; You, F.; Sun, Q.; Lin, R.; Fikrig, E.; Sutton, R.E. UBXN1 Interferes with Rig-I-like Receptor-Mediated Antiviral Immune Response by Targeting MAVS. Cell Rep. 2013, 3, 1057–1070. [Google Scholar] [CrossRef]







| GEO Dataset | Species | Number of Samples in Total | Number of Samples Exposed to GenX | Features of Exposure Patterns | Gene Expression Unit |
|---|---|---|---|---|---|
| GSE248251 | human | 220 | 40 | dose; exposure time | count |
| GSE248251 | mouse | 220 | 40 | dose; exposure time | count |
| GSE248251 | rat | 220 | 40 | dose; exposure time | count |
| GSE198976 | zebrafish | 19 | 16 | dose | TMM |
| Number of Variables | Accuracy | Kappa | Accuracy SD | Kappa SD |
|---|---|---|---|---|
| 1 | 0.979122 | 0.936034 | 0.021961 | 0.065543 |
| 2 | 0.993706 | 0.97971 | 0.010136 | 0.032714 |
| 3 | 0.995833 | 0.986885 | 0.008784 | 0.027648 |
| 4 | 0.995789 | 0.986267 | 0.008878 | 0.028988 |
| 5 | 0.997917 | 0.993443 | 0.006588 | 0.020736 |
| 6 | 0.997917 | 0.993443 | 0.006588 | 0.020736 |
| 7 | 1 | 1 | 0 | 0 |
| 8 | 1 | 1 | 0 | 0 |
| 9 | 1 | 1 | 0 | 0 |
| 10 | 1 | 1 | 0 | 0 |
| 4838 | 1 | 1 | 0 | 0 |
| Algorithm | Integrated Dataset | Human | Mouse | Rat | Zebrafish |
|---|---|---|---|---|---|
| Accuracy in random forest model | 1 (0.9819, 1) | 1 (0.9456, 1) | 1 (0.9456, 1) | 1 (0.9456, 1) | 1 (0.3976, 1) |
| Accuracy in SVM model | 1 (0.9819, 1) | 1 (0.9456, 1) | 1 (0.9456, 1) | 1 (0.9456, 1) | 1 (0.3976, 1) |
| Algorithm | Human | Mouse | Rat | Zebrafish |
|---|---|---|---|---|
| Accuracy in random forest model | 0.803 (0.6868, 0.8907) | 0.7879 (0.6698, 0.8789) | 0.8788 (0.7751, 0.9462) | 0.5 (0.0676, 0.9324) |
| Accuracy in SVM model | 0.8182 (0.7039, 0.9024) | 0.8182 (0.7039, 0.9024) | 0.8182 (0.7039, 0.9024) | 0.5 (0.0676, 0.9324) |
Disclaimer/Publisher’s Note: The statements, opinions and data contained in all publications are solely those of the individual author(s) and contributor(s) and not of MDPI and/or the editor(s). MDPI and/or the editor(s) disclaim responsibility for any injury to people or property resulting from any ideas, methods, instructions or products referred to in the content. |
© 2024 by the authors. Licensee MDPI, Basel, Switzerland. This article is an open access article distributed under the terms and conditions of the Creative Commons Attribution (CC BY) license (https://creativecommons.org/licenses/by/4.0/).
Share and Cite
Li, X.; Xiao, H.; Zhu, L.; Liu, Q.; Zhang, B.; Wang, J.; Wu, J.; Song, Y.; Wang, S. Rank-In Integrated Machine Learning and Bioinformatic Analysis Identified the Key Genes in HFPO-DA (GenX) Exposure to Human, Mouse, and Rat Organisms. Toxics 2024, 12, 516. https://doi.org/10.3390/toxics12070516
Li X, Xiao H, Zhu L, Liu Q, Zhang B, Wang J, Wu J, Song Y, Wang S. Rank-In Integrated Machine Learning and Bioinformatic Analysis Identified the Key Genes in HFPO-DA (GenX) Exposure to Human, Mouse, and Rat Organisms. Toxics. 2024; 12(7):516. https://doi.org/10.3390/toxics12070516
Chicago/Turabian StyleLi, Xinyang, Hua Xiao, Liye Zhu, Qisijing Liu, Bowei Zhang, Jin Wang, Jing Wu, Yaxiong Song, and Shuo Wang. 2024. "Rank-In Integrated Machine Learning and Bioinformatic Analysis Identified the Key Genes in HFPO-DA (GenX) Exposure to Human, Mouse, and Rat Organisms" Toxics 12, no. 7: 516. https://doi.org/10.3390/toxics12070516
APA StyleLi, X., Xiao, H., Zhu, L., Liu, Q., Zhang, B., Wang, J., Wu, J., Song, Y., & Wang, S. (2024). Rank-In Integrated Machine Learning and Bioinformatic Analysis Identified the Key Genes in HFPO-DA (GenX) Exposure to Human, Mouse, and Rat Organisms. Toxics, 12(7), 516. https://doi.org/10.3390/toxics12070516

