2,2′,4,4′-Tetrabromodiphenyl Ether (BDE-47) at Environmental Levels Influenced Photosynthesis in the Mangrove Species Kandelia obovata
Abstract
1. Introduction
2. Materials and Methods
2.1. Chemicals
2.2. Soil Preparation
2.3. Plant Exposure and Sampling
2.4. Measurement of Stomatal Characteristics and Gas-Exchange Parameters
2.5. Chloroplast Structure Observation
2.6. Pigment and Fluorescence Parameter Assays
2.7. Transcriptome Sequencing Analysis
2.8. qRT-PCR Analysis
2.9. Statisical Analysis
3. Results
3.1. Effects of BDE-47 Exposure on the Growth of K. obovata
3.2. Effects of BDE-47 Exposure on the Stomata on Leaves of K. obovata
3.3. Effects of BDE-47 Exposure on the Chloroplast Ultrastructure in Leaves of K. obovata
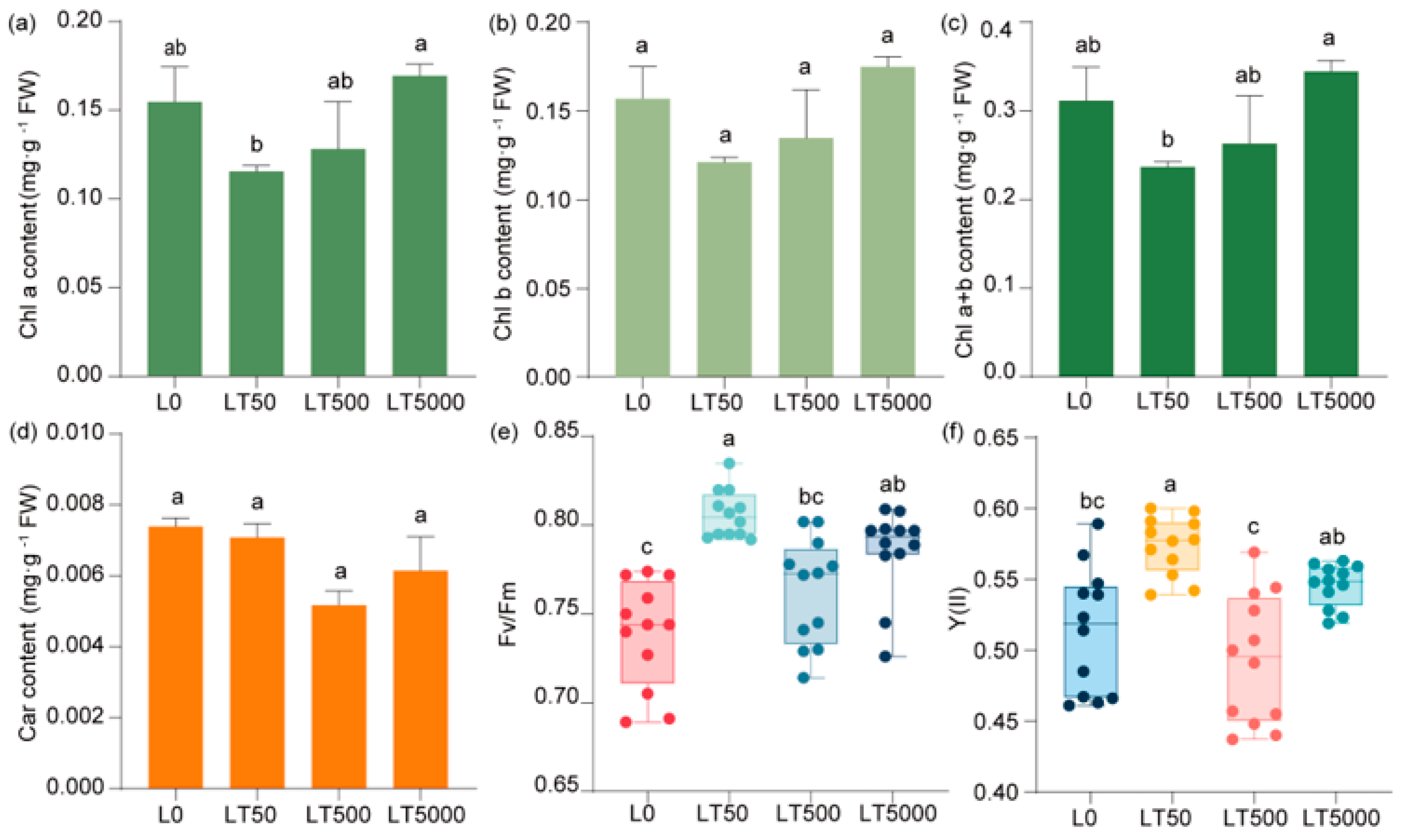
3.4. Effects of BDE-47 Exposure on the Pigments and Fluorescence Parameters in Leaves of K. obovata
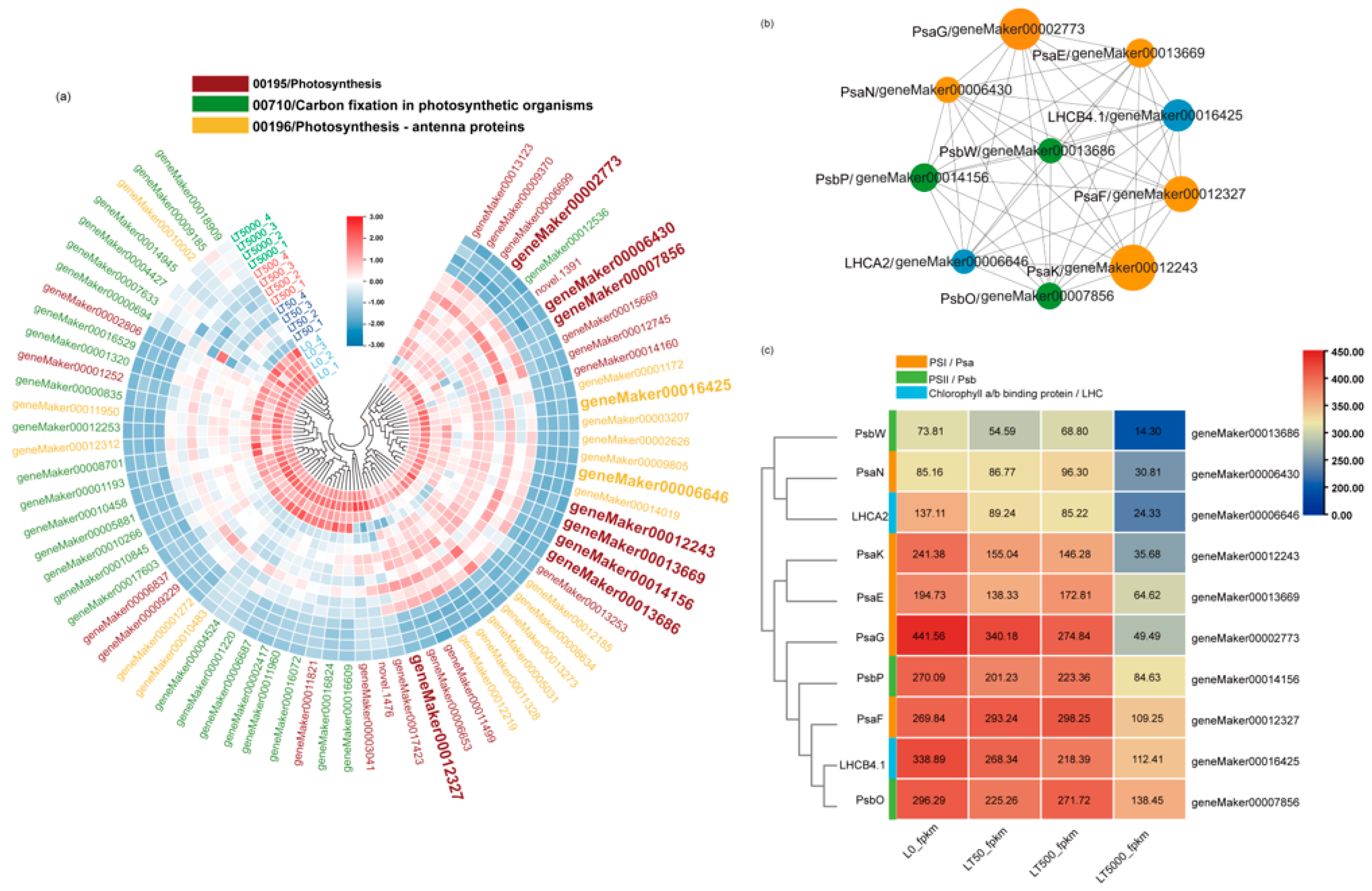
3.5. Transcriptomic Analysis and qPCR Verification
4. Discussion
5. Conclusions
Supplementary Materials
Author Contributions
Funding
Institutional Review Board Statement
Informed Consent Statement
Data Availability Statement
Conflicts of Interest
References
- Vane, C.H.; Harrison, I.; Kim, A.W.; Moss-Hayes, V.; Vickers, B.P.; Hong, K. Organic and Metal Contamination in Surface Mangrove Sediments of South China. Mar. Pollut. Bull. 2009, 58, 134–144. [Google Scholar] [CrossRef]
- Jia, M.; Wang, Z.; Mao, D.; Ren, C.; Song, K.; Zhao, C.; Wang, C.; Xiao, X.; Wang, Y. Mapping Global Distribution of Mangrove Forests at 10-m Resolution. Sci. Bull. 2023, 68, 1306–1316. [Google Scholar] [CrossRef]
- Lee, S.Y.; Primavera, J.H.; Dahdouh-Guebas, F.; Mckee, K.; Bosire, J.O.; Cannicci, S.; Diele, K.; Fromard, F.; Koedam, N.; Marchand, C. Ecological Role and Services of Tropical Mangrove Ecosystems: A Reassessment. Glob. Ecol. Biogeogr. 2014, 23, 726–743. [Google Scholar] [CrossRef]
- Meng, Y.; Gou, R.; Bai, J.; Moreno-Mateos, D.; Davis, C.C.; Wan, L.; Song, S.; Zhang, H.; Zhu, X.; Lin, G. Spatial Patterns and Driving Factors of Carbon Stocks in Mangrove Forests on Hainan Island, China. Glob. Ecol. Biogeogr. 2022, 31, 1692–1706. [Google Scholar] [CrossRef]
- Alongi, D.M.; Mukhopadhyay, S.K. Contribution of Mangroves to Coastal Carbon Cycling in Low Latitude Seas. Agric. For. Meteorol. 2015, 213, 266–272. [Google Scholar] [CrossRef]
- Huawei, L.; Xiangrong, X. Pollution Characteristics of Polybrominated Diphenyl Ethers and Alternative Brominated Flame Retardants in Sediments from Typical Mangrove Wetlands of China. J. Trop. Oceanogr. 2021, 41, 117–130. (In Chinese) [Google Scholar]
- Xiao, Y.; He, M.; Xie, J.; Liu, L.; Zhang, X. Effects of Heavy Metals and Organic Matter Fractions on the Fungal Communities in Mangrove Sediments from Techeng Isle, South China. Ecotoxicol. Environ. Saf. 2021, 222, 112545. [Google Scholar] [CrossRef]
- Zhou, P.; Lin, K.-F.; Yu, H.-J.; Zhao, J.-H.; Cai, Y.-Q.; Liu, L.-L. The Distribution of Polybrominated piphenyl ether in the Sediment of East China Sea. China Environ. Sci. 2016, 36, 149–156. (In Chinese) [Google Scholar]
- De, K.; Sautya, S.; Dora, G.U.; Gaikwad, S.; Katke, D.; Salvi, A. Mangroves in the “Plasticene”: High Exposure of Coastal Mangroves to Anthropogenic Litter Pollution along the Central-West Coast of India. Sci. Total Environ. 2023, 858, 160071. [Google Scholar] [CrossRef]
- Wang, F.; Wang, X.; Song, N. Polyethylene Microplastics Increase Cadmium Uptake in Lettuce (Lactuca sativa L.) by Altering the Soil Microenvironment. Sci. Total Environ. 2021, 784, 147133. [Google Scholar] [CrossRef]
- Qiu, Y.-W.; Qiu, H.-L.; Zhang, G.; Li, J. Bioaccumulation and Cycling of Polybrominated Diphenyl Ethers (PBDEs) and Dechlorane plus (DP) in Three Natural Mangrove Ecosystems of South China. Sci. Total Environ. 2019, 651, 1788–1795. [Google Scholar] [CrossRef] [PubMed]
- Ren, G.; Yan, X.; Chu, X.; Cai, Y.; Shi, Y.; Zheng, K.; Yu, Z. Polybrominated Diphenyl Ethers and Polychlorinated Biphenyls in Mangrove Sediments of Shantou, China: Occurrence, Profiles, Depth-Distribution, and Risk Assessment. Ecotoxicol. Environ. Saf. 2019, 183, 109564. [Google Scholar] [CrossRef]
- Hu, Y.; Sun, Y.; Pei, N.; Zhang, Z.; Li, H.; Wang, W.; Xie, J.; Xu, X.; Luo, X.; Mai, B. Polybrominated Diphenyl Ethers and Alternative Halogenated Flame Retardants in Mangrove Plants from Futian National Nature Reserve of Shenzhen City, South China. Environ. Pollut. 2020, 260, 114087. [Google Scholar] [CrossRef] [PubMed]
- Chai, M.; Ding, H.; Shen, X.; Li, R. Contamination and Ecological Risk of Polybrominated Diphenyl Ethers (PBDEs) in Surface Sediments of Mangrove Wetlands: A Nationwide Study in China. Environ. Pollut. 2019, 249, 992–1001. [Google Scholar] [CrossRef] [PubMed]
- Chen, J.; Wang, C.; Shen, Z.-J.; Gao, G.-F.; Zheng, H.-L. Insight into the Long-Term Effect of Mangrove Species on Removal of Polybrominated Diphenyl Ethers (PBDEs) from BDE-47 Contaminated Sediments. Sci. Total Environ. 2017, 575, 390–399. [Google Scholar] [CrossRef]
- Hu, Y.; Pei, N.; Sun, Y.; Xu, X.; Zhang, Z.; Li, H.; Wang, W.; Zuo, L.; Xiong, Y.; Zeng, Y.; et al. Halogenated Flame Retardants in Mangrove Sediments from the Pearl River Estuary, South China: Comparison with Historical Data and Correlation with Microbial Community. Chemosphere 2019, 227, 315–322. [Google Scholar] [CrossRef]
- Lewis, M.; Pryor, R.; Wilking, L. Fate and Effects of Anthropogenic Chemicals in Mangrove Ecosystems: A Review. Environ. Pollut. 2011, 159, 2328–2346. [Google Scholar] [CrossRef]
- Zhu, H.; Wang, Y.; Wang, X.; Luan, T.; Tam, N.F.Y. Distribution and Accumulation of Polybrominated Diphenyl Ethers (PBDEs) in Hong Kong Mangrove Sediments. Sci. Total Environ. 2014, 468–469, 130–139. [Google Scholar] [CrossRef]
- Tokarz, J.A., III; Ahn, M.-Y.; Leng, J.; Filley, T.R.; Nies, L. Reductive Debromination of Polybrominated Diphenyl Ethers in Anaerobic Sediment and a Biomimetic System. Environ. Sci. Technol. 2008, 42, 1157–1164. [Google Scholar] [CrossRef]
- Wu, Q.; Liu, X.; Liang, C.; Leung, J.Y.S.; Li, H.; Chen, S.; Mai, B.; Miao, S.; Chen, Y.; Wu, Z.; et al. Historical Trends and Ecological Risks of Polybrominated Diphenyl Ethers (PBDEs) and Alternative Halogenated Flame Retardants (AHFRs) in a Mangrove in South China. Sci. Total Environ. 2017, 599–600, 181–187. [Google Scholar] [CrossRef]
- Huang, H.; Zhang, S.; Wang, S.; Lv, J. In Vitro Biotransformation of PBDEs by Root Crude Enzyme Extracts: Potential Role of Nitrate Reductase (NaR) and Glutathione S-Transferase (GST) in Their Debromination. Chemosphere 2013, 90, 1885–1892. [Google Scholar] [CrossRef]
- Wang, Y.; Zhu, H.; Tam, N.F.Y. Effect of a Polybrominated Diphenyl Ether Congener (BDE-47) on Growth and Antioxidative Enzymes of Two Mangrove Plant Species, Kandelia obovata and Avicennia marina, in South China. Mar. Pollut. Bull. 2014, 85, 376–384. [Google Scholar] [CrossRef] [PubMed]
- Henry, C.; John, G.P.; Pan, R.; Bartlett, M.K.; Fletcher, L.R.; Scoffoni, C.; Sack, L. A Stomatal Safety-Efficiency Trade-off Constrains Responses to Leaf Dehydration. Nat. Commun. 2019, 10, 3398. [Google Scholar] [CrossRef] [PubMed]
- Franks, P.J.; Leitch, I.J.; Ruszala, E.M.; Hetherington, A.M.; Beerling, D.J. Physiological Framework for Adaptation of Stomata to CO2 from Glacial to Future Concentrations. Philos. Trans. R. Soc. B Biol. Sci. 2012, 367, 537–546. [Google Scholar] [CrossRef]
- Lin, Y.-S.; Medlyn, B.E.; Duursma, R.A.; Prentice, I.C.; Wang, H.; Baig, S.; Eamus, D.; De Dios, V.R.; Mitchell, P.; Ellsworth, D.S.; et al. Optimal Stomatal Behaviour around the World. Nat. Clim. Chang. 2015, 5, 459–464. [Google Scholar] [CrossRef]
- Li, S.; Li, X.; Wei, Z.; Liu, F. ABA-Mediated Modulation of Elevated CO2 on Stomatal Response to Drought. Curr. Opin. Plant Biol. 2020, 56, 174–180. [Google Scholar] [CrossRef]
- Kiani-Pouya, A.; Rasouli, F.; Rabbi, B.; Falakboland, Z.; Yong, M.; Chen, Z.-H.; Zhou, M.; Shabala, S. Stomatal Traits as a Determinant of Superior Salinity Tolerance in Wild Barley. J. Plant Physiol. 2020, 245, 153108. [Google Scholar] [CrossRef]
- Sorrentino, M.C.; Capozzi, F.; Amitrano, C.; De Tommaso, G.; Arena, C.; Iuliano, M.; Giordano, S.; Spagnuolo, V. Facing Metal Stress by Multiple Strategies: Morphophysiological Responses of Cardoon (Cynara cardunculus L.) Grown in Hydroponics. Environ. Sci. Pollut Res. Int. 2021, 28, 37616–37626. [Google Scholar] [CrossRef]
- Khan, A.; Jie, Z.; Wang, J.; Nepal, J.; Ullah, N.; Zhao, Z.-Y.; Wang, P.-Y.; Ahmad, W.; Khan, A.; Wang, W.; et al. Ecological Risks of Microplastics Contamination with Green Solutions and Future Perspectives. Sci. Total Environ. 2023, 899, 165688. [Google Scholar] [CrossRef]
- Sharma, P.; Tripathi, S.; Vadakedath, N.; Chandra, R. In-Situ Toxicity Assessment of Pulp and Paper Industry Wastewater on Trigonella Foenum-Graecum L: Potential Source of Cytotoxicity and Chromosomal Damage. Environ. Technol. Innov. 2021, 21, 101251. [Google Scholar] [CrossRef]
- Guo, S.; Wei, C.; Zhu, Y.; Zhang, Y. The Distribution and Retained Amount of Benzo[a]Pyrene at the Micro-Zones of Mangrove Leaf Cuticles: Results from a Novel Analytical Method. Environ. Pollut. 2021, 287, 117589. [Google Scholar] [CrossRef]
- Franks, P.J.; Beerling, D.J. Maximum Leaf Conductance Driven by CO2 Effects on Stomatal Size and Density over Geologic Time. Proc. Natl. Acad. Sci. USA 2009, 106, 10343–10347. [Google Scholar] [CrossRef]
- Dekker, J.P.; Boekema, E.J. Supramolecular Organization of Thylakoid Membrane Proteins in Green Plants. Biochim. Biophys. Acta Bioenerg. 2005, 1706, 12–39. [Google Scholar] [CrossRef]
- Chen, S.; Strasser, R.J.; Qiang, S. In Vivo Assessment of Effect of Phytotoxin Tenuazonic Acid on PSII Reaction Centers. Plant Physiol. Biochem. 2014, 84, 10–21. [Google Scholar] [CrossRef]
- Muller, R.; Schreiber, U.; Escher, B.I.; Quayle, P.; Nash, S.M.B.; Mueller, J.F. Rapid Exposure Assessment of PSII Herbicides in Surface Water Using a Novel Chlorophyll a Fluorescence Imaging Assay. Sci. Total Environ. 2008, 401, 51–59. [Google Scholar] [CrossRef]
- Zhang, H.; Liu, N.; Zhao, J.; Ge, F.; Xu, Y.; Chen, Y. Disturbance of Photosystem II-Oxygen Evolution Complex Induced the Oxidative Damage in Chlorella Vulgaris under the Stress of Cetyltrimethylammonium Chloride. Chemosphere 2019, 223, 659–667. [Google Scholar] [CrossRef]
- Xu, X.; Wen, B.; Huang, H.; Wang, S.; Han, R.; Zhang, S. Uptake, Translocation and Biotransformation Kinetics of BDE-47, 6-OH-BDE-47 and 6-MeO-BDE-47 in Maize (Zea mays L.). Environ. Pollut. 2016, 208, 714–722. [Google Scholar] [CrossRef]
- Zhou, H.; Tam, N.F.Y.; Cheung, S.G.; Wei, P.; Li, S.; Wu, Q. Contamination of Polybrominated Diphenyl Ethers (PBDEs) in Watershed Sediments and Plants Adjacent to e-Waste Sites. J. Hazard. Mater. 2019, 379, 120788. [Google Scholar] [CrossRef]
- Wang, Y.; Yu, Y.; Zhang, H.; Huo, Y.; Liu, X.; Che, Y.; Wang, J.; Sun, G.; Zhang, H. The Phytotoxicity of Exposure to Two Polybrominated Diphenyl Ethers (BDE47 and BDE209) on Photosynthesis and the Response of the Hormone Signaling and ROS Scavenging System in Tobacco Leaves. J. Hazard. Mater. 2022, 426, 128012. [Google Scholar] [CrossRef]
- Li, Z.N.; Meng, F.P.; Zhao, S.S.; Yao, R.H. Acute Toxic Effects of 2,2′,4,4′-Tetrabromodiphenyl Ether (BDE-47) on Four Marine Microalgae. Asian J. Ecotoxicol. 2009, 4, 435–439. [Google Scholar]
- Baker, N.R. Chlorophyll Fluorescence: A Probe of Photosynthesis in Vivo. Annu. Rev. Plant Biol. 2008, 59, 89–113. [Google Scholar] [CrossRef]
- Marcelino, A.d.L.; Barbosa, D.; Fernandes, P.; da Silva, F.d.A.; de Albuquerque, F.; Dias, M.d.S.; da Silva, C.; Dos Santos, R. Gas Exchange and Osmotic Adjustment in Cotton Cultivars Subjected to Severe Salt Stress. Braz. J. Biol. 2023, 83, e274499. [Google Scholar] [CrossRef]
- Li, S.; Jiang, H.; Wang, J.; Wang, Y.; Pan, S.; Tian, H.; Duan, M.; Wang, S.; Tang, X.; Mo, Z. Responses of Plant Growth, Physiological, Gas Exchange Parameters of Super and Non-Super Rice to Rhizosphere Temperature at the Tillering Stage. Sci. Rep. 2019, 9, 10618. [Google Scholar] [CrossRef]
- Hamed, S.B.; Lefi, E.; Chaieb, M. Effect of Drought Stress and Subsequent Re-Watering on the Physiology and Nutrition of Pistacia Vera and Pistacia Atlantica. Funct. Plant Biol. 2023, 51, FP23097. [Google Scholar]
- Zhang, F.-Q.; Wang, Y.-S.; Lou, Z.-P.; Dong, J.-D. Effect of Heavy Metal Stress on Antioxidative Enzymes and Lipid Peroxidation in Leaves and Roots of Two Mangrove Plant Seedlings (Kandelia Candel and Bruguiera Gymnorrhiza). Chemosphere 2007, 67, 44–50. [Google Scholar] [CrossRef]
- Chai, M.; Li, R.; Shen, X.; Tam, N.F.Y.; Zan, Q.; Li, R. Does Ammonium Nitrogen Affect Accumulation, Subcellular Distribution and Chemical Forms of Cadmium in Kandelia obovata? Ecotoxicol. Environ. Saf. 2018, 162, 430–437. [Google Scholar] [CrossRef]
- Chai, M.; Li, R.; Shen, X.; Yu, L.; Han, J. Multiple Heavy Metals Affect Root Response, Iron Plaque Formation, and Metal Bioaccumulation of Kandelia obovata. Sci. Rep. 2022, 12, 14389. [Google Scholar] [CrossRef]
- Fei, J.; Wang, Y.-S.; Cheng, H.; Su, Y.-B.; Zhong, Y.-J.; Zheng, L. The Kandelia obovata Transcription Factor KoWRKY40 Enhances Cold Tolerance in Transgenic Arabidopsis. BMC Plant Biol. 2022, 22, 274. [Google Scholar] [CrossRef]
- Ma, L.; Yang, S. Growth and Physiological Response of Kandelia obovata and Bruguiera Sexangula Seedlings to Aluminum Stress. Environ. Sci. Pollut. Res. Int. 2022, 29, 43251–43266. [Google Scholar] [CrossRef]
- Liu, W.; Bai, S.; Zhao, N.; Jia, S.; Li, W.; Zhang, L.; Wang, J. Non-Target Site-Based Resistance to Tribenuron-Methyl and Essential Involved Genes in Myosoton aquaticum (L.). BMC Plant Biol. 2018, 18, 225. [Google Scholar] [CrossRef]
- Chen, J.; Zhou, H.C.; Wang, C.; Zhu, C.Q.; Tam, N.F.-Y. Short-Term Enhancement Effect of Nitrogen Addition on Microbial Degradation and Plant Uptake of Polybrominated Diphenyl Ethers (PBDEs) in Contaminated Mangrove Soil. J. Hazard. Mater. 2015, 300, 84–92. [Google Scholar] [CrossRef]
- Chen, J.; Le, X.C.; Zhu, L. Metabolomics and Transcriptomics Reveal Defense Mechanism of Rice (Oryza sativa) Grains under Stress of 2,2′,4,4′-Tetrabromodiphenyl Ether. Environ. Int. 2019, 133, 105154. [Google Scholar] [CrossRef] [PubMed]
- Li, R.-L.; Liu, B.-B.; Zhu, Y.-X.; Zhang, Y. Effects of Flooding and Aging on Phytoremediation of Typical Polycyclic Aromatic Hydrocarbons in Mangrove Sediments by Kandelia obovata Seedlings. Ecotoxicol. Environ. Saf. 2016, 128, 118–125. [Google Scholar] [CrossRef]
- Wu, Z.; Jiang, Z.; Li, Z.; Jiao, P.; Zhai, J.; Liu, S.; Han, X.; Zhang, S.; Sun, J.; Gai, Z.; et al. Multi-Omics Analysis Reveals Spatiotemporal Regulation and Function of Heteromorphic Leaves in Populus. Plant Physiol. 2023, 192, 188–204. [Google Scholar] [CrossRef]
- Zhao, J.; Li, H.; Zhang, C.; An, W.; Yin, Y.; Wang, Y.; Cao, Y. Physiological Response of Four Wolfberry (Lycium Linn.) Species under Drought Stress. J. Integr. Agric. 2018, 17, 603–612. [Google Scholar] [CrossRef]
- Wei, Z.; Zhang, H.; Fang, M.; Lin, S.; Zhu, M.; Li, Y.; Jiang, L.; Cui, T.; Cui, Y.; Kui, H.; et al. The Dof Transcription Factor COG1 Acts as a Key Regulator of Plant Biomass by Promoting Photosynthesis and Starch Accumulation. Mol. Plant 2023, 16, 1759–1772. [Google Scholar] [CrossRef]
- Zhou, K.; Ren, Y.; Lv, J.; Wang, Y.; Liu, F.; Zhou, F.; Zhao, S.; Chen, S.; Peng, C.; Zhang, X.; et al. Young Leaf Chlorosis 1, a Chloroplast-Localized Gene Required for Chlorophyll and Lutein Accumulation during Early Leaf Development in Rice. Planta 2013, 237, 279–292. [Google Scholar] [CrossRef]
- Song, S.; Wang, Y.; Ding, X.; Tian, Y.; Wu, Z.; Li, H.; Li, Q.; Wang, Y.; Zhou, S.; Dong, X.; et al. A Plastid RNA Polymerase-Associated Protein Is Involved in Early Chloroplast Development in Rice. Agronomy 2023, 13, 1424. [Google Scholar] [CrossRef]
- Demmig-Adams, B.; Adams, W.W., III; Barker, D.H.; Logan, B.A.; Bowling, D.R.; Verhoeven, A.S. Using Chlorophyll Fluorescence to Assess the Fraction of Absorbed Light Allocated to Thermal Dissipation of Excess Excitation. Physiol. Plant 1996, 98, 253–264. [Google Scholar] [CrossRef]
- Genty, B.; Briantais, J.-M.; Baker, N.R. The Relationship between the Quantum Yield of Photosynthetic Electron Transport and Quenching of Chlorophyll Fluorescence. Biochim. Biophys. Acta Gen. Subj. 1989, 990, 87–92. [Google Scholar] [CrossRef]
- Du, Z.; You, S.; Yang, D.; Tao, Y.; Zhu, Y.; Sun, W.; Chen, Z.; Li, J. Comprehensive Analysis of the NAC Transcription Factor Gene Family in Kandelia obovata Reveals Potential Members Related to Chilling Tolerance. Front. Plant Sci. 2022, 13, 1048822. [Google Scholar] [CrossRef]
- Anderegg, W.R.L.; Wolf, A.; Arango-Velez, A.; Choat, B.; Chmura, D.J.; Jansen, S.; Kolb, T.; Li, S.; Meinzer, F.; Pita, P.; et al. Plant Water Potential Improves Prediction of Empirical Stomatal Models. PLoS ONE 2017, 12, e0185481. [Google Scholar] [CrossRef]
- Bai, J.; Meng, Y.; Gou, R.; Dai, Z.; Zhu, X.; Lin, G. The Linkages between Stomatal Physiological Traits and Rapid Expansi 668 on of Exotic Mangrove Species (Laguncularia racemosa) in New Territories. Front. Mar. Sci. 2023, 10, 1136443. [Google Scholar] [CrossRef]
- McElwain, J.C.; Yiotis, C.; Lawson, T. Using Modern Plant Trait Relationships between Observed and Theoretical Maximum Stomatal Conductance and Vein Density to Examine Patterns of Plant Macroevolution. New Phytol. 2016, 209, 94–103. [Google Scholar] [CrossRef]
- Hacke, U.G.; Sperry, J.S.; Wheeler, J.K.; Castro, L. Scaling of Angiosperm Xylem Structure with Safety and Efficiency. Tree Physiol. 2006, 26, 689–701. [Google Scholar] [CrossRef]
- Yanhui, C.; Tongtong, Y.; Hongrui, W.; Xiaoqian, L.; Zhe, Z.; Zihan, W.; Hongbo, Z.; Ye, Y.; Guoqiang, H.; Guangyu, S.; et al. Abscisic Acid Plays a Key Role in the Mechanism of Photosynthetic and Physiological Response Effect of Tetrabromobisphenol A on Tobacco. J. Hazard. Mater. 2023, 447, 130792. [Google Scholar] [CrossRef]
- Soares, C.; Pereira, R.; Spormann, S.; Fidalgo, F. Is Soil Contamination by a Glyphosate Commercial Formulation Truly Harmless to Non-Target Plants?—Evaluation of Oxidative Damage and Antioxidant Responses in Tomato. Environ. Pollut. 2019, 247, 256–265. [Google Scholar] [CrossRef]
- Soares, C.; Carvalho, M.E.A.; Azevedo, R.A.; Fidalgo, F. Plants Facing Oxidative Challenges—A Little Help from the Antioxidant Networks. Environ. Exp. Bot. 2019, 161, 4–25. [Google Scholar] [CrossRef]
- Almeida, J.M.; Fidalgo, F.; Confraria, A.; Santos, A.; Pires, H.; Santos, I. Effect of Hydrogen Peroxide on Catalase Gene Expression, Isoform Activities and Levels in Leaves of Potato Sprayed with Homobrassinolide and Ultrastructural Changes in Mesophyll Cells. Funct. Plant Biol. 2005, 32, 707. [Google Scholar] [CrossRef]
- Van Wijk, K.J.; Kessler, F. Plastoglobuli: Plastid Microcompartments with Integrated Functions in Metabolism, Plastid Developmental Transitions, and Environmental Adaptation. Annu. Rev. Plant Biol. 2017, 68, 253–289. [Google Scholar] [CrossRef]
- Li, Y.; Xin, J.; Ge, W.; Tian, R. Tolerance Mechanism and Phytoremediation Potential of Pistia Stratiotes to Zinc and Cadmium Co-Contamination. Int. J. Phytorem. 2022, 24, 1259–1266. [Google Scholar] [CrossRef]
- Liu, D.; Liu, H.; Wang, S.; Chen, J.; Xia, Y. The Toxicity of Ionic Liquid 1-Decylpyridinium Bromide to the Algae Scenedesmus Obliquus: Growth Inhibition, Phototoxicity, and Oxidative Stress. Sci. Total Environ. 2018, 622–623, 1572–1580. [Google Scholar] [CrossRef]
- Lovyagina, E.R.; Semin, B.K. Mechanism of Inhibition and Decoupling of Oxygen Evolution from Electron Transfer in Photosystem II by Fluoride, Ammonia and Acetate. J. Photochem. Photobiol. B Biol. 2016, 158, 145–153. [Google Scholar] [CrossRef]
- Chalifour, A.; Tam, N.F.-Y. Tolerance of Cyanobacteria to the Toxicity of BDE-47 and Their Removal Ability. Chemosphere 2016, 164, 451–461. [Google Scholar] [CrossRef]
- Qiu, N.; Wang, R.; Sun, Y.; Wang, X.; Jiang, D.; Meng, Y.; Zhou, F. Toxic Effects and Mechanism of 2,2′,4,4′-Tetrabromodiphenyl Ether (BDE-47) on Lemna Minor. Chemosphere 2018, 193, 711–719. [Google Scholar] [CrossRef]
- Sun, X.; Singla-Rastogi, M.; Wang, J.; Zhao, C.; Wang, X.; Li, P. The uS10c-BPG2 Module Mediates Ribosomal RNA Processing in Chloroplast Nucleoids. Nucleic Acids Res. 2024, gkae339. [Google Scholar] [CrossRef]
- Zhao, Y.; Tang, X.; Lv, M.; Liu, Q.; Li, J.; Zhang, B.; Li, L.; Zhang, X.; Zhao, Y. The Molecular Response Mechanisms of a Diatom Thalassiosira pseudonana to the Toxicity of BDE-47 Based on Whole Transcriptome Analysis. Aquat. Toxicol. 2020, 229, 105669. [Google Scholar] [CrossRef]
- Qiu, N.W.; Zhang, W.R.; Yan, X.H.; Wang, R.J.; Tian, L.; Han, G.L.; Zhou, F. The Toxicity of BDE-47 to the Photosystem of Lemna Minor Fronds. Biol. Plant 2020, 64, 591–597. [Google Scholar] [CrossRef]
- Lempiäinen, T.; Rintamäki, E.; Aro, E.-M.; Tikkanen, M. Plants Acclimate to Photosystem I Photoinhibition by Readjusting the Photosynthetic Machinery. Plant Cell Environ. 2022, 45, 2954–2971. [Google Scholar] [CrossRef]







Disclaimer/Publisher’s Note: The statements, opinions and data contained in all publications are solely those of the individual author(s) and contributor(s) and not of MDPI and/or the editor(s). MDPI and/or the editor(s) disclaim responsibility for any injury to people or property resulting from any ideas, methods, instructions or products referred to in the content. |
© 2024 by the authors. Licensee MDPI, Basel, Switzerland. This article is an open access article distributed under the terms and conditions of the Creative Commons Attribution (CC BY) license (https://creativecommons.org/licenses/by/4.0/).
Share and Cite
Xue, M.; Shi, Y.; Xiang, J.; Zhang, Y.; Qiu, H.; Chen, W.; Zhang, J. 2,2′,4,4′-Tetrabromodiphenyl Ether (BDE-47) at Environmental Levels Influenced Photosynthesis in the Mangrove Species Kandelia obovata. Toxics 2024, 12, 456. https://doi.org/10.3390/toxics12070456
Xue M, Shi Y, Xiang J, Zhang Y, Qiu H, Chen W, Zhang J. 2,2′,4,4′-Tetrabromodiphenyl Ether (BDE-47) at Environmental Levels Influenced Photosynthesis in the Mangrove Species Kandelia obovata. Toxics. 2024; 12(7):456. https://doi.org/10.3390/toxics12070456
Chicago/Turabian StyleXue, Meijing, Yajun Shi, Jing Xiang, Yan Zhang, Hanxun Qiu, Wenming Chen, and Jiliang Zhang. 2024. "2,2′,4,4′-Tetrabromodiphenyl Ether (BDE-47) at Environmental Levels Influenced Photosynthesis in the Mangrove Species Kandelia obovata" Toxics 12, no. 7: 456. https://doi.org/10.3390/toxics12070456
APA StyleXue, M., Shi, Y., Xiang, J., Zhang, Y., Qiu, H., Chen, W., & Zhang, J. (2024). 2,2′,4,4′-Tetrabromodiphenyl Ether (BDE-47) at Environmental Levels Influenced Photosynthesis in the Mangrove Species Kandelia obovata. Toxics, 12(7), 456. https://doi.org/10.3390/toxics12070456

