Macroplastic and Microparticle Pollution in Beach Sediments from Urias Coastal Lagoon (Northwest Mexico)
Abstract
1. Introduction
2. Materials and Methods
2.1. Sample Collection
2.2. Sample Treatment and Analysis
2.2.1. Macroplastic
2.2.2. Microparticles
2.3. Quality Control
2.4. Statistics
2.5. Impact Assessment
3. Results and Discussion
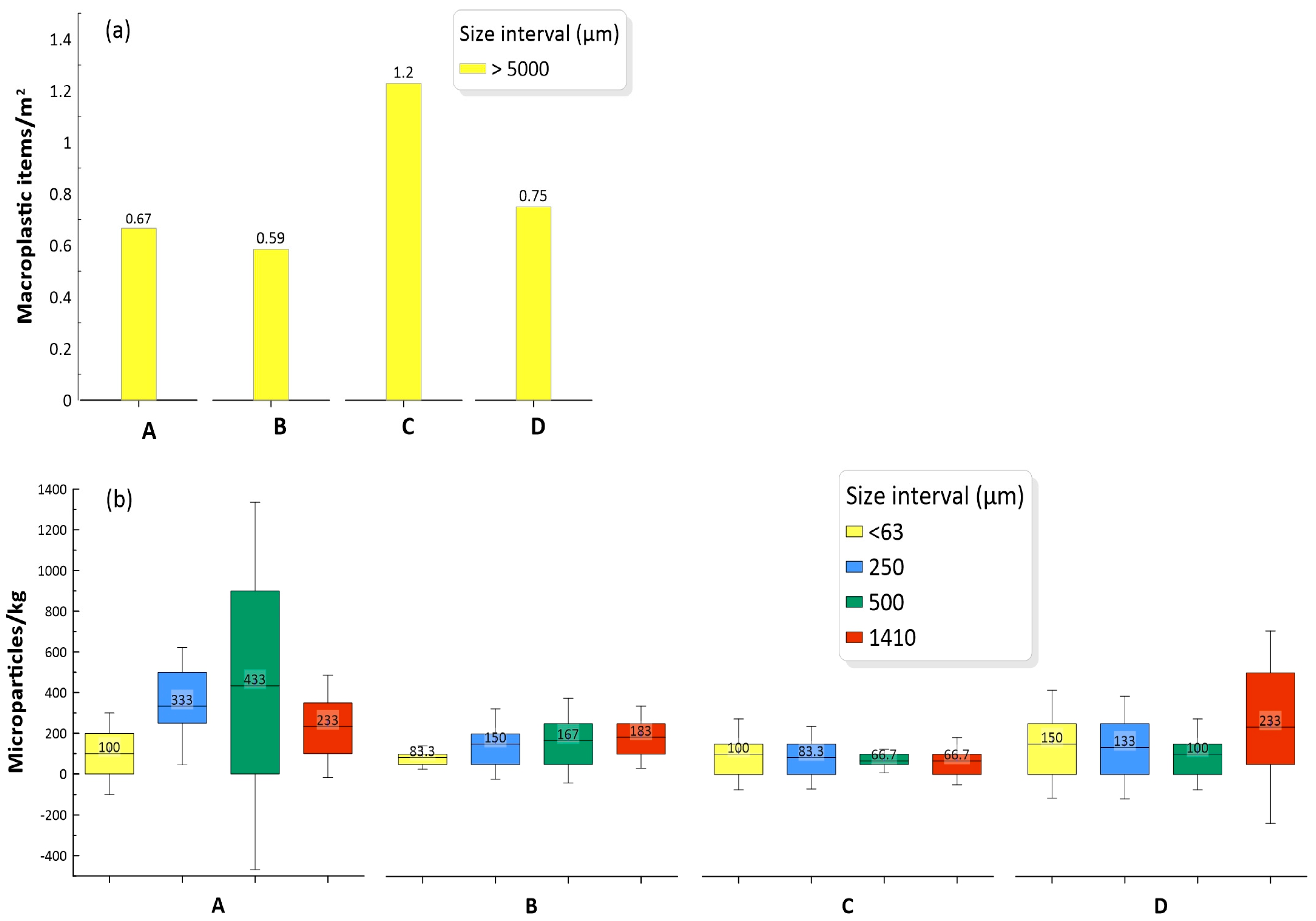
3.1. Macroplastic
3.2. Microparticles
4. Conclusions
Author Contributions
Funding
Institutional Review Board Statement
Informed Consent Statement
Data Availability Statement
Acknowledgments
Conflicts of Interest
References
- Kjerfve, B. Coastal Lagoon. In Elsevier Oceanography Series; Kjerfve, B., Ed.; Elsevier: Columbia, SC, USA, 1994; Volume 60, pp. 1–8. [Google Scholar]
- Pérez-Ruzafa, A.; Pérez-Ruzafa, I.M.; Newton, A.; Marcos, C. Coastal lagoons: Environmental variability, ecosystem complexity, and goods and services uniformity. In Coasts and Estuaries 2019; Elsevier: Amsterdam, The Netherlands, 2019; pp. 253–276. [Google Scholar]
- Nagarajan, V.M.; Yuvan, M.; Srinivasan, R.; Satagopan, N.R.; Asokan, A.; Anooja, A. Status of important coastal habitats of North Tamil Nadu: Diversity, current threats and approaches for conservation. Reg. Stud. Mar. Sci. 2022, 49, 102106. [Google Scholar] [CrossRef]
- Ragoobur, D.; Amode, N.S.; Somaroo, G.D.; Nazurally, N. Microplastics in estuarine water and sediment in Mauritius. Reg. Stud. Mar. Sci. 2023, 57, 102766. [Google Scholar] [CrossRef]
- Tlig, N.; Boye, M.; Hallek, T.; Burckel, P.; Gzam, M.; Tagorti, M.A. Sediment quality and environmental risk assessment in a Mediterranean coastal system using geochemical and multivariate statistical analyses: The case of Boughrara Lagoon (southeastern Tunisia). Environ. Monit. Assess 2023, 195, 422. [Google Scholar] [CrossRef] [PubMed]
- Camacho-Ibar, V.F.; Rivera-Monroy, V.H. Coastal lagoons and estuaries in Mexico: Processes and vulnerability. Estuaries Coasts 2014, 37, 1313–1318. [Google Scholar] [CrossRef]
- Thushari, G.G.N.; Senevirathna, J.D.M. Plastic pollution in the marine environment. Heliyon 2020, 6, e04709. [Google Scholar] [CrossRef] [PubMed]
- Chacón Abarca, S.; Chávez, V.; Silva, R.; Martínez, M.L.; Anfuso, G. Understanding the dynamics of a coastal lagoon: Drivers, exchanges, state of the environment, consequences and responses. Geosciences 2021, 11, 301. [Google Scholar] [CrossRef]
- United Nations Environment Programme. “Our Planet is Choking on Plastic”. Available online: https://www.unep.org/interactives/beat-plastic-pollution/ (accessed on 2 March 2024).
- Cressey, D. The plastic ocean. Nature 2016, 536, 263–265. [Google Scholar] [CrossRef] [PubMed]
- Isobe, A.; Iwasaki, S. The fate of missing ocean plastics: Are they just a marine environmental problem? Sci. Total Environ. 2022, 825, 153935. [Google Scholar] [CrossRef] [PubMed]
- Silburn, B.; Bakir, A.; Binetti, U.; Russell, J.; Kohler, P.; Preston-Whyte, F.; Meakins, B.; van Hoytema, N.; Andrews, G.; Carrias, A.; et al. A baseline study of macro, meso and micro litter in the Belize River basin, from catchment to coast. ICES J. Mar. Sci. 2023, 80, 2183–2196. [Google Scholar] [CrossRef]
- Garrard, S.L.; Clark, J.R.; Martin, N.; Nelms, S.E.; Botterell, Z.L.; Cole, M.; Coppock, R.L.; Galloway, T.S.; Green, D.S.; Jones, M.; et al. Identifying potential high-risk zones for land-derived plastic litter to marine megafauna and key habitats within the North Atlantic. Sci. Total Environ. 2024, 922, 171282. [Google Scholar] [CrossRef]
- Shin, M.; Kim, H.; Kim, S.; Kim, H.J.; Oh, D.X.; Park, J. Biodegradation behavior of polyesters with various internal chemical structures and external environmental factors in real seawater. Polym. Test 2024, 132, 108357. [Google Scholar] [CrossRef]
- Thompson, R.C.; Olsen, Y.; Mitchell, R.P.; Davis, A.; Rowland, S.J.; John, A.W.; McGonigle, D.; Russell, A.E. Lost at sea: Where is all the plastic? Science 2004, 304, 838. [Google Scholar] [CrossRef]
- Ríos-Mendoza, L.M.; Ontiveros-Cuadras, J.F.; Leon-Vargas, D.; Ruiz-Fernández, A.C.; Rangel-García, M.; Pérez-Bernal, L.H.; Sanchez-Cabeza, J.A. Microplastic contamination and fluxes in a touristic area at the SE Gulf of California. Mar. Pollut. Bull. 2021, 170, 112638. [Google Scholar] [CrossRef] [PubMed]
- Alvarado-Zambrano, D.; Rivera-Hernández, J.R.; Green-Ruiz, C. First insight into microplastic groundwater pollution in Latin America: The case of a coastal aquifer in Northwest Mexico. Environ. Sci. Pollut. Res. 2023, 30, 73600–73611. [Google Scholar] [CrossRef] [PubMed]
- Huang, Y.; Zhu, Z.; Li, T.; Li, M.; Cai, Z.; Wang, X.; Gong, H.; Yan, M. Mangrove plants are promising bioindicator of coastal atmospheric microplastics pollution. J. Hazard. Mater. 2024, 465, 133473. [Google Scholar] [CrossRef] [PubMed]
- Liu, P.; Shao, L.; Guo, Z.; Zhang, Y.; Cao, Y.; Ma, X.; Morawska, L. Physicochemical characteristics of airborne microplastics of a typical coastal city in the Yangtze River Delta Region, China. J. Environ. Sci. 2025, 148, 602–613. [Google Scholar] [CrossRef]
- Tetu, S.G.; Sarker, I.; Moore, L.R. How will marine plastic pollution affect bacterial primary producers? Commun. Biol. 2020, 3, 55. [Google Scholar] [CrossRef]
- Sacco, V.A.; Zuanazzi, N.R.; Selinger, A.; da Costa, J.H.A.; Lemunie, É.S.; Comelli, C.L.; Abilhoa, V.; de Sousa, F.C.; Fávaro, L.F.; Mendoza, L.M.R.; et al. What are the global patterns of microplastic ingestion by fish? A scientometric review. Environ. Pollut. 2024, 350, 123972. [Google Scholar] [CrossRef]
- Abidli, S.; Toumi, H.; Lahbib, Y.; Trigui El Menif, N. The first evaluation of microplastics in sediments from the complex lagoon-channel of Bizerte (Northern Tunisia). Water Air Soil Pollut. 2017, 228, 1–10. [Google Scholar] [CrossRef]
- Bayo, J.; Rojo, D.; Olmos, S. Abundance, morphology and chemical composition of microplastics in sand and sediments from a protected coastal area: The Mar Menor lagoon (SE Spain). Environ. Pollut. 2019, 252, 1357–1366. [Google Scholar] [CrossRef]
- Jayapala, H.P.S.; Jayasiri, H.B.; Ranatunga, R.R.M.K.; Perera, I.J.J.U.N.; Bellanthudawa, B.K.A. Ecological ramifications of marine debris in mangrove ecosystems: Estimation of substrate coverage and physical effects of marine debris on mangrove ecosystem in Negombo Lagoon, Sri Lanka. Mar. Pollut. Bull. 2024, 201, 116184. [Google Scholar] [CrossRef] [PubMed]
- Gimiliani, G.T.; Fornari, M.; Regígolo, M.M.; Vega-Bustillos, J.O.W.; de Souza-Abessa, D.M.; Faustino-Pires, M.A. Simple and cost-effective method for microplastic quantification in estuarine sediment: A case study of the Santos and São Vicente Estuarine System. Case Stud. Chem. Environ. Eng. 2020, 2, 100020. [Google Scholar] [CrossRef]
- Bouzekry, A.; Mghili, B.; Mancuso, M.; Bouadil, O.; Bottari, T.; Aksissou, M. Anthropogenic Microparticles Abundance in Sandy Beach Sediments along the Tetouan Coast (Morocco Mediterranean). Environments 2024, 11, 83. [Google Scholar] [CrossRef]
- Rangel-Buitrago, N.; Arroyo-Olarte, H.; Trilleras, J.; Arana, V.A.; Mantilla-Barbosa, E.; Gracia, C.A.; Velez Mendoza, A.; Neal, W.J.; Williams, A.T.; Micallef, A. Microplastics pollution on Colombian Central Caribbean beaches. Mar. Pollut. Bull. 2021, 170, 112685. [Google Scholar] [CrossRef] [PubMed]
- Cozzolino, L.; Nicastro, K.R.; Zardi, G.I.; de los Santos, C.B. Species-specific plastic accumulation in the sediment and canopy of coastal vegetated hábitats. Sci. Total Environ. 2020, 723, 138018. [Google Scholar] [CrossRef] [PubMed]
- Al-Tarshi, M.; Dobretsov, S.; Gallardo, W. Marine litter and microplastic pollution in mangrove sediments in the Sea of Oman. Mar. Pollut. Bull. 2024, 201, 116132. [Google Scholar] [CrossRef] [PubMed]
- Montaño-Ley, Y.; Peraza-Vizcarra, R.; Páez-Osuna, F. Tidal hydrodynamics and their implications for the dispersion of effluents in Mazatlán Harbor: An urbanized shallow coastal lagoon. Water Air Soil Pollut. 2008, 194, 343–357. [Google Scholar] [CrossRef]
- Páez-Osuna, F.; Ley, Y.M.; Leyva, H.B. Intercambio de agua, fósforo y material suspendido entre el sistema lagunar del Puerto de Mazatlán y las aguas costeras adyacentes. Rev. Int. Contam. Ambient. 1990, 6, 19–32. [Google Scholar]
- Martin, C.; Almahasheer, H.; Duarte, C.M. Mangrove forests as traps for marine litter. Environ. Pollut. 2019, 247, 499–508. [Google Scholar] [CrossRef]
- Fred-Ahmadu, O.H.; Ayejuyo, O.O.; Tenebe, I.T.; Benson, N.U. Occurrence and distribution of micro (meso) plastic-sorbed heavy metals and metalloids in sediments, Gulf of Guinea coast (SE Atlantic). Sci. Total Environ. 2022, 813, 152650. [Google Scholar] [CrossRef]
- Celis-Hernandez, O.; Ávila, E.; Rendón-von Osten, J.; Briceño-Vera, E.A.; Borges-Ramírez, M.M.; Gómez-Ponce, A.M.; Capparelli, V.M. Environmental risk of microplastics in a Mexican coastal lagoon ecosystem: Anthropogenic inputs and its possible human food risk. Sci. Total Environ. 2023, 879, 163095. [Google Scholar] [CrossRef] [PubMed]
- Garces-Ordoñez, O.; Saldarriaga-Velez, J.F.; Espinosa-Diaz, L.F.; Canals, M.; Sanchez-Vidal, A.; Thiel, M. A systematic review on microplastic pollution in water, sediments, and organisms from 50 coastal lagoons across the globe. Environ. Pollut. 2022, 315, 120366. [Google Scholar] [CrossRef] [PubMed]
- Van Cauwenberghe, L.; Devriese, L.; Galgani, F.; Robbens, J.; Janssen, C.R. Microplastics in sediments: A review of techniques, occurrence and effects. Mar. Environ. Res. 2015, 111, 5–17. [Google Scholar] [CrossRef] [PubMed]
- Daravi, M.; Majeed, H.; Diehl, A.; Norton, J.; Zhang, Y. A review of microplastics in aquatic sediments: Occurrence, fate, transport, and ecological impact. Curr. Pollut. Rep. 2021, 7, 40–53. [Google Scholar]
- Halstead, J.E.; Smith, J.A.; Carter, E.A.; Lay, P.A.; Johnston, E.L. Assessment tools for microplastics and natural fibres ingested by fish in an urbanised estuary. Environ. Pollut. 2018, 234, 552–561. [Google Scholar] [CrossRef] [PubMed]
- Lim, K.P.; Lim, P.E.; Yusoff, S.; Sun, C.; Ding, J.; Loh, K.H. A meta-analysis of the characterisations of plastic ingested by fish globally. Toxics 2022, 10, 186. [Google Scholar] [CrossRef] [PubMed]
- Sillanpää, M.; Sainio, P. Release of polyester and cotton fibers from textiles in machine washings. Environ. Sci. Pollut. Res. 2017, 24, 19313–19321. [Google Scholar] [CrossRef] [PubMed]
- Statista. “Global Textile Fiber Market Share by Type 2022”. 5 January 2024. Available online: https://www.statista.com/statistics/1250812/global-fiber-production-share-type/ (accessed on 14 May 2024).
- Browne, M.A.; Crump, P.; Niven, S.J.; Teuten, E.; Tonkin, A.; Galloway, T.; Thompson, R. Accumulation of microplastic on shorelines woldwide: Sources and sinks. Environ. Sci. Tech. 2011, 45, 9175–9179. [Google Scholar] [CrossRef] [PubMed]
- Sharma, J.; Sharma, S.; Soni, V. Classification and impact of synthetic textile dyes on Aquatic Flora: A review. Reg. Stud. Mar. Sci. 2021, 45, 101802. [Google Scholar] [CrossRef]
- Hemashenpagam, N.; Selvajeyanthi, S. Textile Dyes and Their Effect on Human Beings. In Nanohybrid Materials for Treatment of Textiles Dyes; Springer Nature: Singapore, 2023; pp. 41–60. [Google Scholar]
- Dutta, S.; Adhikary, S.; Bhattacharya, S.; Roy, D.; Chatterjee, S.; Chakraborty, A.; Banerjee, D.; Ganguly, A.; Nanda, S.; Rajak, P. Contamination of textile dyes in aquatic environment: Adverse impacts on aquatic ecosystem and human health, and its management using bioremediation. J. Environ. Manag. 2024, 353, 120103. [Google Scholar] [CrossRef]
- Abelouah, M.R.; Ben-Haddad, M.; Rangel-Buitrago, N.; Hajji, S.; El Alem, N.; Alla, A.A. Microplastics pollution along the central Atlantic coastline of Morocco. Mar. Pollut. Bull. 2022, 174, 113190. [Google Scholar] [CrossRef] [PubMed]
- Ben-Haddad, M.; Abelouah, M.R.; Hajji, S.; Rangel-Buitrago, N.; Hamadi, F.; Alla, A.A. Microplastics pollution in sediments of Moroccan urban beaches: The Taghazout coast as a case study. Mar. Pollut. Bull. 2022, 180, 113765. [Google Scholar] [CrossRef] [PubMed]
- Arias, A.H.; Alvarez, G.; Pozo, K.; Pribylova, P.; Klanova, J.; Rodríguez Pirani, L.S.; Picone, A.L.; Alvarez, M.; Tombesi, N. Beached microplastics at the Bahia Blanca Estuary (Argentina): Plastic pellets as potential vectors of environmental pollution by POPs. Mar. Pollut. Bull. 2023, 187, 114520. [Google Scholar] [CrossRef] [PubMed]





| Sampling Sites | ||||
|---|---|---|---|---|
| A | B | C | D | |
| Geographical coordinates | 23°10′10.1″ N | 23°10′35.1″ N | 23°11′3.9″ N | 23°12′31.3″ N |
| 106°20′30″ W | 106°20′28″ W | 106°21′4.2″ W | 106°23′52.9″ W | |
| Sampling transects | 45 m | 70 m | 35 m | 40 m |
| Replicate | Each 15 m | Each 10 m | Each 10 m | Each 25 m |
| Surrounding activities |
|
|
|
|
| General characteristics |
|
|
|
|
| Category | Use | Sampling Sites | Relative Abundance | Polymer * | |||
|---|---|---|---|---|---|---|---|
| A | B | C | D | ||||
| Bags | Chips, candies, rice, garbage, cookies, and groceries | 5 | 11 | 12 | 7 | 24.3 | PET, PP, and PE |
| Styrofoam | 0 | 13 | 13 | 0 | 18.1 | PS | |
| Caps | Water, soda, and yogurt | 6 | 7 | 3 | 6 | 15.3 | PET, PP, and PE |
| Bottles | Water and soda | 4 | 3 | 1 | 4 | 8.3 | PET, PP, and PE |
| Foam | 4 | 4 | 0 | 0 | 5.6 | PU | |
| Pipelines | 0 | 0 | 6 | 1 | 4.9 | PVC | |
| Sacks | 2 | 1 | 0 | 3 | 4.2 | PP | |
| Nets | 0 | 0 | 0 | 6 | 4.2 | Nylon 6 | |
| Strips | 3 | 0 | 1 | 1 | 3.5 | PP and PE | |
| Wires | 0 | 0 | 4 | 0 | 2.8 | DAP | |
| Ropes | 1 | 0 | 1 | 0 | 1.4 | PP and PE | |
| Spoons | 1 | 1 | 0 | 0 | 1.4 | PE | |
| Cups | 1 | 0 | 1 | 0 | 1.4 | PP and PE | |
| Clothespins | 0 | 0 | 0 | 1 | 0.7 | PP | |
| Other | 3 | 1 | 1 | 1 | 4.2 | PP and PE | |
| Study Area | N | Abundance | Polymers * | Reference |
|---|---|---|---|---|
| Lagoon of Bizerte, Northern Tunisia | 12 | Min–max: 3.4 ± 0.2–18 ± 2.0 particles/g DW Average: 7.96 ± 6.84 particles/g DW | Not available | [22] |
| Mar Menor, Spain | 17 | Min–max: 8.2 ± 0.6–166.6 ± 1.7 particles/kg DW Average: 53.1 ± 7.6 particles/kg DW | LDPE, HDPE, PVE, PP, PS, Nylon, and PES | [23] |
| Lagos Lagoon, Southwest Nigeria | 80 | Min–max: not available Average: 43 ± 6.6 MPs/m2 | PE and PP | [33] |
| Laguna de Términos, Southern Gulf of Mexico, Mexico | 9 | Min–max: 22.7–513.9 particles/g DW Average: not available | PE, POD, PET, SBR, PEO, and PVC | [34] |
| Four estuaries across Mauritius Island | 36 | Min–max: 0.0–734 particles/kg DW Average: 74–235 particles/kg DW | Cotton-PA, PE, PVA, PP, EVA, PET, and Nylon | [4] |
| Urias coastal lagoon, Mexico | 12 | Min–max: 317 ± 153–1100 ± 750 particles/kg DW Average: 654 ± 326 particles/kg DW | Cotton and PES | This study |
| Site | AMPI (MPs/m2) | Abundance | CAMI | Impact |
|---|---|---|---|---|
| A | 352 * | Very high abundance | 0.97 * | Extreme impact |
| 128 | Very high abundance | 0.92 | Extreme impact | |
| B | 187 * | Very high abundance | 1.00 * | Extreme impact |
| 53 | Very high abundance | 1.00 | Extreme impact | |
| C | 101 * | Very high abundance | 1.00 * | Extreme impact |
| 47 | Very high abundance | 1.00 | Extreme impact | |
| D | 197 * | Very high abundance | 1.00 * | Extreme impact |
| 80 | Very high abundance | 1.00 | Extreme impact |
Disclaimer/Publisher’s Note: The statements, opinions and data contained in all publications are solely those of the individual author(s) and contributor(s) and not of MDPI and/or the editor(s). MDPI and/or the editor(s) disclaim responsibility for any injury to people or property resulting from any ideas, methods, instructions or products referred to in the content. |
© 2024 by the authors. Licensee MDPI, Basel, Switzerland. This article is an open access article distributed under the terms and conditions of the Creative Commons Attribution (CC BY) license (https://creativecommons.org/licenses/by/4.0/).
Share and Cite
Alvarado-Zambrano, D.; Rivera-Hernández, J.R.; Green-Ruiz, C. Macroplastic and Microparticle Pollution in Beach Sediments from Urias Coastal Lagoon (Northwest Mexico). Toxics 2024, 12, 439. https://doi.org/10.3390/toxics12060439
Alvarado-Zambrano D, Rivera-Hernández JR, Green-Ruiz C. Macroplastic and Microparticle Pollution in Beach Sediments from Urias Coastal Lagoon (Northwest Mexico). Toxics. 2024; 12(6):439. https://doi.org/10.3390/toxics12060439
Chicago/Turabian StyleAlvarado-Zambrano, Daniela, José R. Rivera-Hernández, and Carlos Green-Ruiz. 2024. "Macroplastic and Microparticle Pollution in Beach Sediments from Urias Coastal Lagoon (Northwest Mexico)" Toxics 12, no. 6: 439. https://doi.org/10.3390/toxics12060439
APA StyleAlvarado-Zambrano, D., Rivera-Hernández, J. R., & Green-Ruiz, C. (2024). Macroplastic and Microparticle Pollution in Beach Sediments from Urias Coastal Lagoon (Northwest Mexico). Toxics, 12(6), 439. https://doi.org/10.3390/toxics12060439

