The Exposure Status of Environmental Chemicals in South Korea: The Korean National Environmental Health Survey 2018–2020
Abstract
1. Introduction
2. Methods
2.1. The Korean National Environmental Health Survey (KoNEHS)
2.2. Sampling Design
2.2.1. Adults Survey
2.2.2. Preschoolers, Children, and Adolescents Survey
2.3. Participants Recruitment and Fieldwork
2.3.1. Participants Recruitment
2.3.2. Fieldwork
2.4. Laboratory Analysis
2.5. Statistical Analysis
2.6. Ethical Considerations
3. Results
3.1. Survey Participants
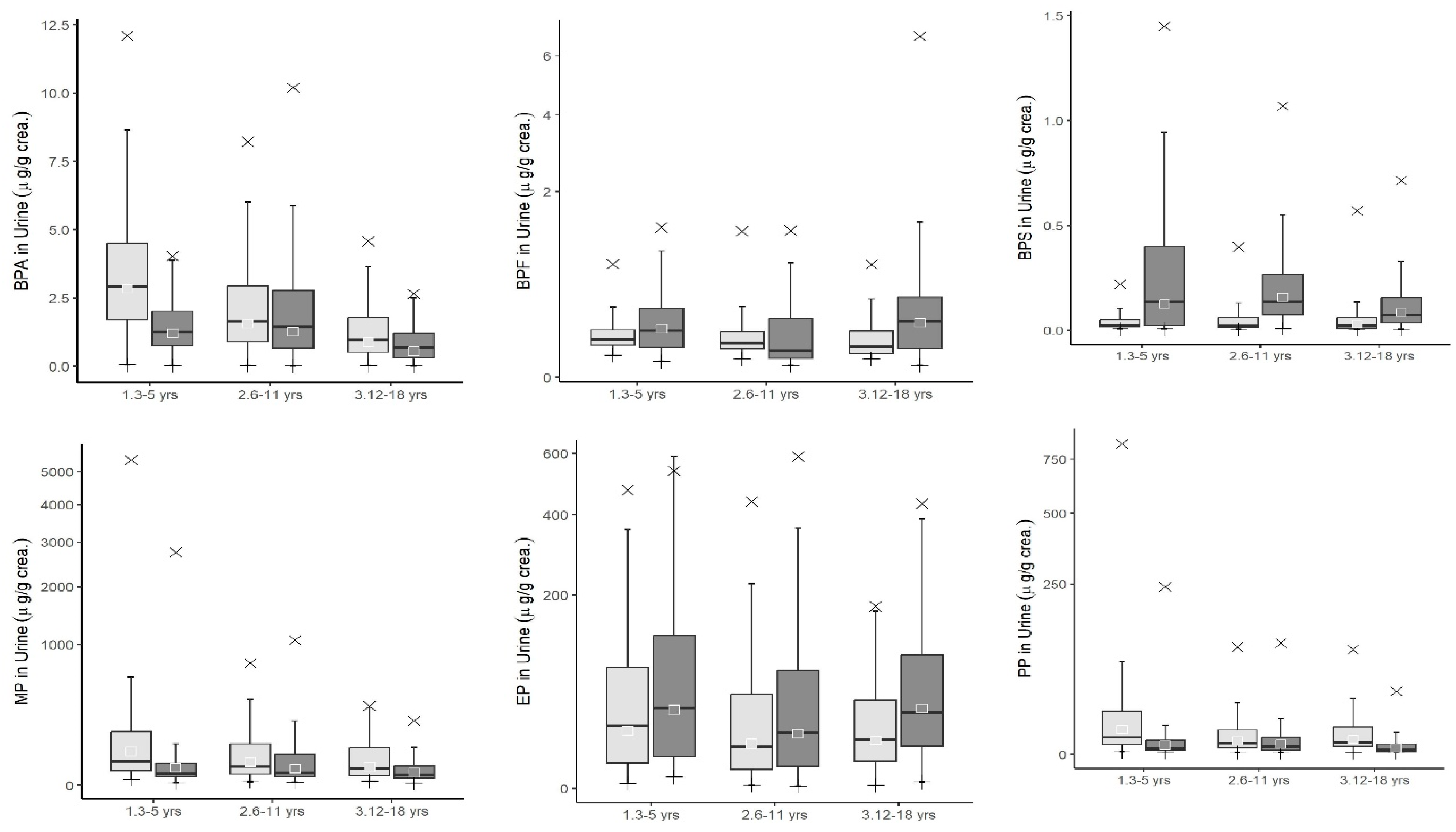
3.2. The Status of Exposure to Environmental Chemicals
3.3. Temporal Trends in Environmental Chemical Concentrations in KoNEHS
4. Discussion
4.1. Status of Exposure to Environmental Chemicals
4.2. Temporal Trends in Environmental Chemical Concentration in KoNEHS
5. Conclusions
Author Contributions
Funding
Institutional Review Board Statement
Informed Consent Statement
Data Availability Statement
Acknowledgments
Conflicts of Interest
Appendix A
| Environmental Chemical | KoNEHS 1 | KoNEHS 2 | KoNEHS 3 | KoNEHS 4 | KoNEHS 5 |
|---|---|---|---|---|---|
| Metals | |||||
| Lead Mercury Cadmium | ○ | ○ | ○ | ○ | ○ |
| Manganese Molybden Nickel Antimony Vanadium Chromuim | - | - | - | - | ○ |
| Volatile Organic Compound Metabolites | |||||
| t,t-Muconic acid | ○ | ○ | ○ | ○ | ○ |
| Benzylmercapturic acid | - | - | ○ | ○ | ○ |
| Hippuric acid | ○ | ○ | - | - | - |
| Methylhippuric acid | ○ | ○ | - | - | - |
| Mandelic acid | ○ | ○ | - | - | - |
| Phenylglyoxylic acid | ○ | ○ | - | - | - |
| Polycyclic Aromatic Hydrocarbon Metabolites | |||||
| 1-Hydroxypyrene | ○ | ○ | ○ | ○ | ○ |
| 2-Hydroxynaphthalene | ○ | ○ | ○ | ○ | ○ |
| 1-Hydroxyphenanthrene | - | ○ | ○ | ○ | ○ |
| 2-Hydroxyfluorene | - | ○ | ○ | ○ | ○ |
| Phthalate and Phthalate Alternatives Metabolites | |||||
| Mono-(2-ethyl-5-hydroxyhexyl) phthalate (MEHHP) | ○ | ○ | ○ | ○ | ○ |
| Mono-(2-ethyl-5-oxohexyl) phthalate (MEOHP) | ○ | ○ | ○ | ○ | ○ |
| Mono-(2-ethyl-5-carboxypentyl) phthalate (MECPP) | - | ○ | ○ | ○ | ○ |
| Mono-benzyl phthalate (MBzP) | - | ○ | ○ | ○ | ○ |
| Mono-(carboxyoctyl) phthalate (MCOP) | - | - | ○ | - | - |
| Mono-n-butyl phthalate (MnBP) | ○ | ○ | ○ | ○ | ○ |
| Mono-(3-carboxypropyl) phthalate (MCPP) | - | - | ○ | ○ | ○ |
| Mono-(carboxynonyl) phthalate (MCNP) | - | - | ○ | - | - |
| Mono methyl phthalate (MMP) | - | - | - | ○ | ○ |
| Mono ethyl phthalate (MEP) | - | - | - | ○ | ○ |
| Environmental phenols | |||||
| Bisphenol A | ○ | ○ | ○ | ○ | ○ |
| Bisphenol F | - | - | ○ | ○ | ○ |
| Bisphenol S | - | - | ○ | ○ | ○ |
| Triclosan | - | ○ | ○ | ○ | ○ |
| Methyl paraben | - | - | ○ | ○ | ○ |
| Ethyl paraben | - | - | ○ | ○ | ○ |
| n-Propyl paraben | - | - | ○ | ○ | ○ |
| Butyl paraben | - | - | - | ○ | ○ |
| Benzophenone-3 | - | - | - | ○ | ○ |
| Pyrethroid Insecticide Metabolites | |||||
| 3-Phenoxybenzoic acid | ○ | ○ | ○ | ○ | ○ |
| Nicotine Metabolite | |||||
| Cotinine | ○ | ○ | ○ | ○ | ○ |
| Perfluoroalkyl and Polyfluoroalkyl Substances | |||||
| PFOA, PFOS, PFHxS, PFDeA, PFNA | - | - | - | ○ | ○ |
| Polychlorinated biphenyls, PCBs | |||||
| 52, 56, 74, 101, 105, 118, 123, 126, 138, 153, 157, 167, 180, 187 | - | - | - | - | ○ |
| Organochlorine pesticide, OCPs | |||||
| p,p’-DDT, DDE, Hexachlorobenzene, β-HCH, γ-HCH | - | - | - | - | ○ |
| Polybrominated Diphenyl Ethers, PBDEs | |||||
| 28, 47, 99, 100, 153, 154 | - | - | - | - | ○ |
| Category | Chemicals | Analytical Technique |
|---|---|---|
| Metals | ||
| Lead | GF-AAS (AA-800, PerkinElmer) | |
| Mercury | DMA (DMA-80, Milestone) | |
| Cadmium | GF-AAS (PinAAcle 900z, PerkinElmer) | |
| Volatile Organic Compound Metabolites | ||
| t,t-Muconic acid | HPLC-MS/MS (API Triple Quad 5500, Sciex) | |
| Benzylmercapturic acid | ||
| Polycyclic Aromatic Hydrocarbon Metabolites | ||
| 1-Hydroxypyrene | GC-MS (7890A/5975C, Agilent) | |
| 2-Hydroxynaphthalene | ||
| 1-Hydroxyphenanthrene | ||
| 2-Hydroxyfluorene | ||
| Phthalate and Phthalate Alternatives Metabolites | ||
| Mono-(2-ethyl-5-hydroxyhexyl) phthalate (MEHHP) | HPLC-MS/MS (Agilent 6490) | |
| Mono-(2-ethyl-5-oxohexyl) phthalate (MEOHP) | ||
| Mono-(2-ethyl-5-carboxypentyl) phthalate (MECPP) | ||
| Mono-benzyl phthalate (MBzP) | ||
| Mono-carboxyoctyl phthalate (MCOP) | ||
| Mono-n-butyl phthalate (MnBP) | ||
| Mono-(3-carboxylpropyl) phthalate (MCPP) | ||
| Mono-carboxynonyl phthalate (MCNP) | ||
| Mono methyl phthalate (MMP) | ||
| Mono ethyl phthalate (MEP) | ||
| Environmental phenols | ||
| Bisphenol A | HPLC-MS/MS (API Triple Quad 5500, AB Sciex) | |
| Bisphenol F | ||
| Bisphenol S | ||
| Triclosan | ||
| Ethyl paraben | ||
| Methyl paraben | ||
| Propyl paraben | ||
| Butyl paraben | ||
| Benzophenone-3 | ||
| Pyrethroid Insecticide Metabolites | ||
| 3-Phenoxybenzoic acid | GC-MS (Clarus 600T, Perkin Elmer) | |
| Nicotine Metabolite | ||
| Cotinine | GC-MS (Clarus 600T, Perkin Elmer) | |
| Polyfluoroalkyl substances | ||
| Perfluorooctanoic acid (PFOA) | HPLC-MS/MS (Q-Sight Triple Quad, Perkin-Elmer) | |
| Perfluoro octane sulfonic acid (PFOS) | ||
| Perfluoro hexane sulfonic acid (PFHxS) | ||
| Perfluoro nonanoic acid (PFNA) | ||
| Perfluoro decanoic acid (PFDeA) | ||
| Spot urine adjusted | ||
| Creatinine | Rate-blanked Jaffé kinetic assay (ADVIA 1800 Auto Analyzer, Siemens) | |
References
- United Nations Environment Programme (UNEP). Available online: https://www.unep.org/resources/report/global-chemicals-outlook-ii-legacies-innovative-solutions (accessed on 26 September 2024).
- European Environment Agency (EEA). Available online: https://www.eea.europa.eu/airs/2018/environment-and-health/production-of-hazardous-chemicals#tab-relatedinteractive-charts (accessed on 3 December 2023).
- Istvan, P. The European Environment-State and Outlook 2020. Knowledge for Transition to a Sustainable Europe; European Environment Agency: Copenhagen, Denmark, 2020. [Google Scholar]
- World Health Organization (WHO). Human Biomonitoring: Facts and Figures; WHO Regional Office for Europe: Copenhagen, Denmark, 2015; pp. 15–16. [Google Scholar]
- World Health Organization (WHO). Human Biomonitoring. Basics: Educational Course; WHO Regional Office for Europe: Copenhagen, Denmark, 2023; p. 290. [Google Scholar]
- Angerer, J.; Ewers, U.; Wilhelm, M. Human biomonitoring: State of the art. Int. J. Hyg. Environ. Health 2007, 210, 201–228. [Google Scholar] [CrossRef] [PubMed]
- Ministry of Environment (ME). Study on the Concentration of Heavy Metals in the Blood of Korean; Ministry of Environment: Seoul, Republic of Korea, 2005; p. 151. (In Korean)
- Kehoe, R.A.; Thamann, F.; Cholak, J. Lead absorption and excretion in certain trades. J. Ind. Hyg. 1933, 15, 306–319. [Google Scholar]
- Yant, W.P.; Schrenk, H.H.; Sayers, R.R.; Howarth, A.A.; Reinhart, W.A. Urine sulfate determination as a measure of benzene exposure. J. Ind. Hyg. Toxicol. 1936, 18, 69. [Google Scholar]
- Australian Government, Environmental Health Standing Committee (enHealth). Strategic Plan 2016 to 2020. Available online: https://www.health.gov.au/resources/publications/environmental-health-standing-committee-enhealth-strategic-plan-2016-to-2020?language=en (accessed on 3 December 2023).
- Park, C.H.; Hwang, M.; Kim, H.; Ryu, S.; Lee, K.; Choi, K.; Paek, D. Early snapshot on exposure to environmental chemicals among Korean adults-results of the first Korean National Environmental Health Survey (2009–2011). Int. J. Hyg. Environ. Health 2016, 219, 398–404. [Google Scholar] [CrossRef]
- Choi, W.; Kim, S.; Baek, Y.; Choi, K.; Lee, K.; Kim, S.; Yu, S.D.; Choi, K. Exposure to environmental chemicals among Korean adults-updates from the second Korean National Environmental Health Survey. Int. J. Hyg. Environ. Health 2017, 220, 29–35. [Google Scholar] [CrossRef]
- Jung, S.K.; Choi, W.; Kim, S.Y.; Hong, S.; Jeon, H.L.; Joo, Y.; Lee, C.; Choi, K.; Kim, S.; Lee, K. Profile of environmental chemicals in the Korean population—Results of the Korean national environmental health survey (KoNEHS) cycle 3, 2015–2017. Int. J. Hyg. Environ. Health 2022, 19, 626. [Google Scholar] [CrossRef]
- Statistics Korea. Korea National Census Registry. Available online: https://www.census.go.kr/main/ehpp/aa/ehppaa100m01?lang=en (accessed on 9 September 2024).
- Statistics Korea. Households and Housing Units 2018, Population by Census. Available online: https://kosis.kr/eng/search/searchList.do (accessed on 9 November 2020).
- Ministry of Education (MOE). Available online: https://e-childschoolinfo.moe.go.kr/main.do (accessed on 12 March 2018). (In Korean)
- Ministry of Education (MOE). Available online: https://schoolinfo.moe.go.kr/main.do (accessed on 12 March 2018). (In Korean)
- National Institute of Environmental Research (NIER). The 4th Comprehensive Evaluation and 5th Survey Planning of the Korean National Environmental Health Survey; National Institute of Environmental Research: Incheon, Republic of Korea, 2021. (In Korean)
- National Institute of Environmental Research (NIER). Planning and Methodology Development for the Korean National Environmental Health Survey (KoNEHS), Cycle 4; National Institute of Environmental Research: Incheon, Republic of Korea, 2018. (In Korean)
- Center for Disease of Health and Human Services (CDC). Improving the Collection and Management of Human Samples Used for Measuring Environmental Chemicals and Nutrition Indicators, Version 1.3; CDC: Atlanta, GA, USA, 2018. (In Korean)
- National Institute of Environmental Research (NIER). Guideline for Biological Specimens Management on Cycle 4 of the Korean National Environmental Health Survey; Korea Ministry of Environment, National Institute of Environmental Research, Environmental Health Research Division: Incheon, Republic of Korea, 2022. (In Korean)
- National Institute of Environmental Research (NIER). Manual for Laboratory Procedures on Cycle 4 of the Korean National Environmental Health Survey (Heavy Metals); Korea Ministry of Environment, National Institute of Environmental Research, Environmental Health Research Division: Incheon, Republic of Korea, 2022. (In Korean)
- National Institute of Environmental Research (NIER). Manual for Laboratory Procedures on Cycle 4 of the Korean National Environmental Health Survey (Organic Chemicals); Korea Ministry of Environment, National Institute of Environmental Research, Environmental Health Research Division: Incheon, Republic of Korea, 2022. (In Korean)
- Hornung, R.W.; Reed, L.D. Estimation of average concentration in the presence of nondetectable values. Appl. Occup. Environ. Hyg. 1990, 5, 46–51. [Google Scholar] [CrossRef]
- Barr, D.; Caudill, S.; Jones, R.; Pfeiffer, C.M.; Pirkle, J.L.; Wilder, L.C.; Needham, L.L. Urinary creatinine concentrations in the US population: Implications for urinary biologic monitoring measurements. Environ. Health Perspect. 2005, 113, A442–A443. [Google Scholar] [CrossRef]
- Carrieri, M.; Trevisan, A.; Vartolucci, G.B. Adjustment to concentration-dilution of spot urine samples: Correlation between specific gravity and creatinine. Int. Arch. Occup. Environ. Health 2001, 74, 63–67. [Google Scholar] [CrossRef]
- O’Brien, K.M.; Upson, K.; Buckley, J.P. Lipid and Creatinine Adjustment to Evaluate Health Effects of Environmental Exposures. Curr. Environ. Health Rep. 2017, 4, 44–50. [Google Scholar] [CrossRef]
- American Conference of Governmental Industrial Hygienists (ACGIH). TLVs and BEIs Based on the Documentation of the Threshold Limit Values for Chemical Substances and Physical Agents and Biological Exposure Indices; ACGIH: Cincinnati, OH, USA, 2010. [Google Scholar]
- Korean Statistical Information Service (KOSIS). Available online: https://kosis.kr/statHtml/statHtml.do?orgId=106&tblId=DT_106N_99_1100051&conn_path=I2&language=en01 (accessed on 25 June 2024).
- Umwelt Bundesamt. Available online: https://www.umweltbundesamt.de/en/topics/health/commissions-working-groups/human-biomonitoring-commission/reference-hbm-values (accessed on 18 October 2024).
- German Human Biomonitoring Commission. HBM-II-Werte für Perfluoroctansäure (PFOA) und Perfluoroctansulfonsäure (PFOS) in Blutplasma—Stellungnahme der Kommission Human-Biomonitoring des Umweltbundesamtes. Bundesgesundheitsbl 2020, 63, 356–360. [Google Scholar] [CrossRef] [PubMed]
- German Human Biomonitoring Commission. Ableitung von HBM-I-Werten für Perfluoroktansäur (PFOA) und Perfluoroktansulfonsäure (PFOS)—Stellungnahme der Kommission “Human biomonitoring” des Umweltbundesamts. Bundesgesundheitsbl 2018, 61, 474–487. [Google Scholar] [CrossRef] [PubMed]
- Lee, J.H.; Lee, C.K.; Suh, C.; Kang, H.; Hong, C.; Choi, S. Serum concentrations of per- and polyfluoroalkyl substances and factors associated with exposure in the general adult population in South Korea. Int. J. Hyg. Environ. Health 2017, 220, 1046–1054. [Google Scholar] [CrossRef] [PubMed]
- Seo, S.; Son, M.; Choi, S.; Lee, D.; Chang, Y. Influence of exposure to perfluoroalkyl substances (PFASs) on the Korean general population: 10-year trend and health effects. Environ. Int. 2018, 113, 149–161. [Google Scholar] [CrossRef]
- Huh, S.W.; Cho, S.; Yoon, S.; Kim, D.; Park, H.W.; Kang, J.; Kim, K.W. Relationship between crustacean consumption and serum perfluoroalkyl substances (PFAS): The Korean National Environmental Health Survey (KoNEHS) Cycle 4. Ann. Occup. Environ. Med. 2024, 36, e12. [Google Scholar] [CrossRef]
- Duffek, A.; Conrad, A.; Kolossa-Gehring, M.; Lange, R.; Rucic, E.; Schulte, C.; Wellmitz, J. Per-and polyfluoroalkyl substances in blood plasma—Results of the German Environmental Survey for children and adolescents 2014-2017 (GerES V). Int. J. Hyg. Environ. Health 2020, 228, 113549. [Google Scholar] [CrossRef]
- Center for Disease of Health and Human Services (CDC). Fourth National Report on Human Exposure to Environmental Chemicals, Updated Tables, March 2021; CDC: Atlanta, GA, USA, 2021.
- Fillol, C.; Oleko, A.; Saoudi, A.; Zeghnoun, A.; Balicco, A.; Gane, J.; Rambaud, L.; Leblanc, A.; Gaudreau, É. Exposure of the French population to bisphenols, phthalates, parabens, glycol ethers, brominated flame retardants, and perfluorinated compounds in 2014–2016: Results from the Esteban study. Environ. Int. 2021, 147, 106340. [Google Scholar] [CrossRef]
- Health Canada. Per- and Polyfluoroalkyl Substances (PFAS) in Canadians. Ottawa. Available online: https://www.canada.ca/en/health-canada/services/environmental-workplace-health/reports-publications/environmental-contaminants/human-biomonitoring-resources/per-polyfluoroalkyl-substances-canadians.html (accessed on 16 November 2024).
- United Nations Environment Programme (UNEP). Report of the Conference of the Parties to the Stockholm Convention on Persistent Organic Pollutants on the Work of Its Ninth Meeting; UNEP: Geneva, Switzerland, 2019; UNEP/POPS/COP.9/30. [Google Scholar]
- Environmental Protection Agency (EPA). PFAS Laws and Regulation. Available online: https://www.epa.gov/laws-regulations (accessed on 11 January 2023).
- European Chemicals Agency (ECHA). Available online: https://echa.europa.eu/substances-restricted-under-reach (accessed on 11 January 2023).
- Enhesa. Available online: https://product.enhesa.com/643240/china-publishes-list-of-new-chemical-pollutants-subject-to-priority-control (accessed on 2 October 2024).
- Bennett, D.H.; Calafat, A.M.; Kato, K.; Strynar, M.; Andersen, E.; Moran, R.E.; Tancredi, D.J.; Tulve, N.S.; Hertz-Picciotto, I. Serum concentrations of perfluorinated compounds (PFC) among selected populations of children and adults in California. Environ. Res. 2015, 136, 264–273. [Google Scholar]
- Cserbik, D.; Redondo-Hasselerharm, P.; Farré, M.J.; Sanchís, J.; Bartolomé, A.; Paraian, A.; Herrera, E.M.; Caixach, J.; Villanueva, C.M.; Flores, C. Human exposure to per-and polyfluoroalkyl substances and other emerging contaminants in drinking water. NPJ Clean Water 2023, 6, 16. [Google Scholar] [CrossRef]
- Benskin, J.P.; Muir, D.C.G.; Scott, B.F.; Spencer, C.; De Silva, A.O.; Kylin, H.; Martin, J.W.; Morris, A.; Lohmann, R.; Tomy, G. Perfluoroalkyl acids in the Atlantic and Canadian Arctic Oceans. Environ. Sci. Technol. 2012, 46, 5815–5823. [Google Scholar] [CrossRef]
- Lee, J.; Lee, H.; Lim, J.; Moon, H. Legacy and emerging per-and polyfluoroalkyl substances (PFASs) in the coastal environment of Korea: Occurrence, spatial distribution, and bioaccumulation potential. Chemosphere 2020, 251, 126633. [Google Scholar] [CrossRef] [PubMed]
- Giesy, J.P.; Kannan, K. Global distribution of perfluorooctane sulfonate in wildlife. Environ. Sci. Technol. 2001, 35, 1339–1342. [Google Scholar] [CrossRef] [PubMed]
- Fromme, H.; Tittlemier, S.A.; Völkel, W.; Wilhelm, M.; Twardella, D. Perfluorinated compounds—Exposure assessment for the general population in Western countries. Int. J. Hyg. Environ. Health 2009, 212, 239–270. [Google Scholar] [CrossRef] [PubMed]
- Haug, L.S.; Huber, S.; Schlabach, M.; Becher, G.; Thomsen, C. Investigation on per- and polyfluorinated compounds in paired samples of house dust and indoor air from Norwegian homes. Environ. Sci. Technol. 2011, 45, 7991–7998. [Google Scholar] [CrossRef] [PubMed]
- Tittlemier, S.A.; Edwards, L.; Pepper, K. Concentrations of perfluorooctane sulfonamides in Canadian total diet study composite food samples collected between 1992 and 2004. J. Agric. Food Chem. 2006, 54, 8385–8389. [Google Scholar] [CrossRef]
- Ramírez Carnero, A.; Lestido-Cardama, A.; Vázquez Loureiro, P.; Barbosa-Pereira, L.; Rodríguez Bernaldo de Quirós, A.; Sendón, R. Presence of Perfluoroalkyl and Polyfluoroalkyl Substances (PFAS) in Food Contact Materials (FCM) and Its Migration to Food. Foods 2021, 10, 1443. [Google Scholar] [CrossRef]
- Kang, H.; Kyung, M.; Ko, A.; Park, J.; Hwang, M.; Kwon, J.; Suh, J.; Lee, H.; Moon, G.I.; Hong, J.; et al. Urinary concentrations of parabens and their association with demographic factors: A population-based cross-sectional study. Environ. Res. 2016, 146, 245–251. [Google Scholar] [CrossRef]
- Smalling, K.L.; Bradley, P.M. Per-and Polyfluoroalkyl Substances in Drinking Water—Disparities in Community Exposures Based on Race and Socioeconomic Status. Environ. Health Perspect. 2024, 132, 041302. [Google Scholar] [CrossRef]
- Ministry of Environment. On the Operation of Drinking Water Quality Monitoring Items, etc. Notified by the Ministry of Environment, Republic of Korea, No. 2019-81; Ministry of Environment: Sejong City, Republic of Korea, 2019.
- Ministry of Food and Drug Safety (MFDS). Standards and Specifications for Equipment and Container Packing notified by the Ministry of Food and Drug Safety, Republic of Korea, No. 2020-43; MFDS: Cheongju-si, Republic of Korea, 2020.
- Haug, L.S.; Thomsen, C.; Brantsæter, A.L.; Kvalem, H.E.; Haugen, M.; Becher, G.; Alexander, J.; Meltzer, H.M.; Knutsen, H.K. Diet and particularly seafood are major sources of perfluorinated compounds in humans. Environ. Int. 2010, 36, 772–778. [Google Scholar] [CrossRef]
- Zhang, W.; Zhang, Y.; Taniyasu, S.; Yeung, L.W.; Lam, P.K.; Wang, J.; Li, X.; Yamashita, N.; Dai, J. Distribution and fate of perfluoroalkyl substances in municipal wastewater treatment plants in economically developed areas of China. Environ. Pollut. 2013, 176, 10–17. [Google Scholar] [CrossRef]
- Jain, R.B. Time trends over 2003–2014 in the concentrations of selected perfluoroalkyl substances among US adults aged ≥20 years: Interpretational issues. Sci. Total Environ. 2018, 645, 946–957. [Google Scholar] [CrossRef] [PubMed]
- Giovanoulis, G.; Bui, T.; Xu, F.; Papadopoulou, E.; Padilla-Sanchez, J.A.; Covaci, A.; Haug, L.S.; Cousins, A.P.; Magner, J.; Cousins, I.T. Multi-pathway human exposure assessment of phthalate esters and DINCH. Environ. Int. 2018, 112, 115–126. [Google Scholar] [CrossRef] [PubMed]
- National Institute of Food and Drug Safety Evaluation (NIFDS). Study on the Aggregated Risk Assessment of Phthalates to Human Health; Ministry of Food and Drug Safety of the Republic of Korea: Osong, Republic of Korea, 2024; p. 163. (In Korean)
- National Institute of Chemical Safety (NICS). Available online: https://icis.me.go.kr/main.do;jsessionid=DVxVIYwrGiUExBGB697MvPU3.icis_ipotal21 (accessed on 17 October 2023). (In Korean)
- Health Canada. Available online: https://health-infobase.canada.ca/biomonitoring/-resources/ (accessed on 2 November 2024).
- Murawski, A.; Tschersich, C.; Rucic, E.; Schwedler, G.; Moos, R.K.; Kasper-Sonnenberg, M.; Brüning, T.; Koch, H.M.; Kolossa-Gehring, M. Parabens in urine of children and adolescents in Germany–human biomonitoring results of the German environmental survey 2014–2017 (GerES V). Environ. Res. 2021, 194, 11502. [Google Scholar] [CrossRef] [PubMed]
- Petric, Z.; Ružić, J.; Žuntar, I. The controversies of parabens—An overview nowadays. Acta Pharm. 2021, 71, 17–32. [Google Scholar] [CrossRef]
- Fransway, A.F.; Fransway, P.J.; Belsito, D.V.; Yiannias, J.A. Paraben toxicology. Dermatitis 2019, 30, 32–45. [Google Scholar] [CrossRef]
- Lincho, J.; Martins, R.C.; Gomes, J. Paraben compounds—Part I: An overview of their characteristics, detection, and impacts. Appl. Sci. 2021, 11, 2307. [Google Scholar] [CrossRef]
- Kim, S.; Cho, S.Y.; Yoon, S.; Kim, D.; Park, H.W.; Kang, J.; Huh, S.W. Relationship between the use of hair products and urine benzophenone-3: The Korean National Environmental Health Survey (KoNEHS) cycle 4. Ann. Occup. Environ. Med. 2024, 36, e20. [Google Scholar] [CrossRef]
- Lermen, D.; Weber, T.; Göen, T.; Bartel-Steinbach, M.; Gwinner, F.; Mueller, S.C.; Conrad, A.; Rüther, M.; von Briesen, H.; Kolossa-Gehring, M. Long-term time trend of lead exposure in young German adults–evaluation of more than 35 years of data of the German Environmental Specimen Bank. Int. J. Hyg. Environ. 2021, 231, 113665. [Google Scholar] [CrossRef]
- Li, Y.; Chen, J.; Bu, S.; Wang, S.; Geng, X.; Guan, G.; Zhao, Q.; Ao, L.; Qu, W.; Zheng, Y.; et al. Blood lead levels and their associated risk factors in Chinese adults from 1980 to 2018. Ecotoxicol. Environ. Saf. 2021, 218, 112294. [Google Scholar] [CrossRef]
- Wang, T.; Zhou, Y.P.; Sun, Y.; Zheng, Y.X. Trends in blood lead levels in the US from 1999 to 2016. Am. J. Prev. Med. 2021, 60, e179–e187. [Google Scholar] [CrossRef]
- Ahn, J.; Kim, N.S.; Lee, B.K.; Oh, I.; Kim, Y. Changes of Atmospheric and Blood Concentrations of Lead and Cadmium in the General Population of South Korea from 2008 to 2017. Int. J. Environ. Res. Public Health 2019, 16, 2096. [Google Scholar] [CrossRef] [PubMed] [PubMed Central]
- Lyu, Y.; Chen, J.; Li, Z.; Ding, L.; Zhao, F.; Qu, Y.; Zheng, X.; Zhang, Z.; Hu, X.; Ji, S.; et al. Declines in Blood Lead Levels Among General Population—China, 2000–2018. China CDC Wkly. 2022, 4, 1117–1122. [Google Scholar] [CrossRef] [PubMed]
- Kim, S.A.; Kwon, Y.; Kim, S.; Joung, H. Assessment of Dietary Mercury Intake and Blood Mercury Levels in the Korean Population: Results from the Korean National Environmental Health Survey 2012–2014. Int. J. Environ. Res. Public Health 2016, 13, 877. [Google Scholar] [CrossRef] [PubMed] [PubMed Central]
- Kim, S.W.; Jung, S.W.; Lee, J.G.; Joo, J.H.; Lee, J.H.; Lee, K.J. The exposure level of environmental harmful substances related to the secondhand smoke in Korean non-smoker adults: Data from the second Korean National Environmental Health Survey (KoNEHS 2012-2014): A cross-sectional study. Ann. Occup. Environ. Med. 2019, 31, e30. [Google Scholar] [CrossRef] [PubMed]
- Basu, N.; Horvat, M.; Evers, D.C.; Zastenskaya, I.; Weihe, P.; Tempowski, J. A state-of-the-science review of mercury biomarkers in human populations worldwide between 2000 and 2018. Environ. Health Perspect. 2018, 126, 106001. [Google Scholar] [CrossRef]
- Schwedler, G.; Rucic, E.; Lange, R.; Conrad, A.; Koch, H.M.; Pälmke, C.; Kolossa-Gehring, M. Phthalate metabolites in urine of children and adolescents in Germany. Human biomonitoring results of the German Environmental Survey GerES V, 2014–2017. J. Hyg. Environ. 2020, 225, 113444. [Google Scholar] [CrossRef]
- European Commission, Directorate-General for Environment, Support for the Evaluation of Directive 2011/65/EU on the Restriction of the Use of Certain Hazardous Substances in Electrical and Electronic Equipment—Final Report, Publications Office. 2021. Available online: https://data.europa.eu/doi/10.2779/89335 (accessed on 16 October 2024).
- Health Canada. Performance Measurement Evaluation for Risk Management of Bis(2-ethylhexyl) phthalate (DEHP), Health Component; Government of Canada: Ottawa, Canada, 2021.
- Manzoor, M.F.; Tariq, T.; Fatima, B.; Sahar, A.; Tariq, F.; Munir, S.; Khan, S.; Nawaz Ranjha, M.M.; Sameen, A.; Zeng, X.A.; et al. An insight into bisphenol A, food exposure and its adverse effects on health: A review. Front. Nutr. 2022, 9, 1047827. [Google Scholar] [CrossRef]
- Lehmler, H.J.; Liu, B.; Gadogbe, M.; Bao, W. Exposure to Bisphenol A, Bisphenol F, and Bisphenol S in U.S. Adults and Children: The National Health and Nutrition Examination Survey 2013–2014. ACS Omega 2018, 3, 6523–6532. [Google Scholar] [CrossRef] [PubMed] [PubMed Central]
- Chen, D.; Kannan, K.; Tan, H.; Zheng, Z.; Feng, Y.L.; Wu, Y.; Widelka, M. Bisphenol analogs other than BPA: Environmental occurrence, human exposure, and toxicity—A review. Environ. Sci. Technol. 2016, 50, 5438–5453. [Google Scholar] [CrossRef]
- Zaborowska, M.; Wyszkowska, J.; Borowik, A.; Kucharski, J. Bisphenols-A Threat to the Natural Environment. Materials 2023, 16, 6500. [Google Scholar] [CrossRef] [PubMed] [PubMed Central]
- Gu, J.; Zhu, Y.; Guo, M.; Yin, X.; Liang, M.; Lou, X.; Chen, J.; Zhou, L.; Fan, D.; Shi, L.; et al. The potential mechanism of BPF-induced neurotoxicity in adult zebrafish: Correlation between untargeted metabolomics and gut microbiota. Sci. Total Environ. 2022, 839, 156221. [Google Scholar] [CrossRef] [PubMed]
- Maertens, A.; Golden, E.; Hartung, T. Avoiding Regrettable Substitutions: Green Toxicology for Sustainable Chemistry. ACS Sustain. Chem. Eng. 2021, 9, 7749–7758. [Google Scholar] [CrossRef] [PubMed] [PubMed Central]
- Pollock, T.; Karthikeyan, S.; Walker, M.; Werry, K.; St-Amand, A. Trends in environmental chemical concentrations in the Canadian population: Biomonitoring data from the Canadian Health Measures Survey 2007–2017. Environ. Int. 2021, 155, 106678. [Google Scholar] [CrossRef] [PubMed]
- Koch, H.M.; Bolt, H.M.; Angerer, J. Di(2-ethylhexyl) phthalate (DEHP) metabolites in human urine and serum after a single oral dose of deuterium-labeled DEHP. Arch. Toxicol. 2024, 78, 123–130. [Google Scholar] [CrossRef]
- Sandborgh-Englund, G.; Adolfsson-Erici, M.; Odham, G.; Ekstrand, J. Pharmacokinetics of triclosan following oral ingestion in humans. J. Toxicol. Environ. Health 2006, 69, 1861–1873. [Google Scholar] [CrossRef]
- Shin, M.Y.; Shin, C.; Choi, J.W.; Lee, J.; Lee, S.; Kim, S. Pharmacokinetic profile of propyl paraben in humans after oral administration. Environ. Int. 2019, 130, 104917. [Google Scholar] [CrossRef]
- Völkel, W.; Colnot, T.; Csanády, G.A.; Filser, J.G.; Dekant, W. Metabolism and kinetics of bisphenol A in humans at low doses following oral administration. Chem. Res. Toxicol. 2002, 15, 1281–1287. [Google Scholar] [CrossRef]



| Characteristics | N (Weighted %) or Median (Min~Max) | |||
| Adults (≥Aged 19 Years) | Adolescents (Aged 12–18 Years) | Children (Aged 6–11 Years) | Preschoolers (Aged 3–5 Years) | |
| N | 4239 | 828 | 736 | 578 |
| Sex | ||||
| Male | 1889 (49.8) | 385 (51.8) | 348 (51.4) | 291 (51.2) |
| Female | 2350 (50.2) | 443 (48.2) | 388 (48.6) | 287 (48.8) |
| Age (years) | 47.5 (19.0–82.0) | 14.5 (12.0–17.0) | 8.5 (6.0–11.0) | 4.0 (3.0–5.0) |
| Study area 1 | ||||
| Urban | 2854 (74.7) | 662 (84.8) | 562 (77.3) | 438 (85.7) |
| Rural | 805 (10.2) | 166 (15.2) | 174 (22.7) | 140 (14.3) |
| Coastal areas | 213 (14.6) | - | - | - |
| Area near air monitoring station | 367 (0.47) | - | - | - |
| Body Mass Index (kg/m2) | ||||
| Underweight (<18.5) | 96 (2.9) | 110 (13.7) | 426 (58.3) | 505 (87.6) |
| Normal (18.5–24.9) | 2203 (53.0) | 545 (64.8) | 260 (34.9) | 70 (12.1) |
| Obese (≥25.0) | 1940 (44.1) | 173 (21.5) | 50 (6.8) | 3 (0.45) |
| Monthly household income (US $) 2 | ||||
| Do not know | 36 (1.2) | 47 (5.9) | 26 (3.3) | 15 (2.7) |
| <2350 | 1223 (22.6) | 54 (6.5) | 40 (5.4) | 25 (4.0) |
| 2350 to 5875 | 1845 (46.7) | 377 (44.5) | 358 (50.3) | 264 (44.8) |
| 5875 to 8225 | 682 (18.0) | 203 (25.6) | 206 (27.5) | 166 (28.8) |
| >8225 | 453 (11.6) | 147 (17.5) | 106 (13.4) | 108 (19.7) |
| Smoking status 3 | ||||
| Non-smoker | 2231 (63.3) | 778 (93.2) | 209 (27.6) | 194 (32.3) |
| Former smoker | 817 (18.0) | 24 (3.3) | 208 (24.7) | 150 (27.3) |
| Current smoker | 691 (18.7) | 26 (3.5) | 319 (44.7) | 234 (40.4) |
| Drinking water | ||||
| Tap water | 1055 (22.2) | 174 (21.4) | 139 (18.4) | 97 (16.8) |
| Use a water purifier | 2032 (50.7) | 499 (61.3) | 486 (66.5) | 387 (67.3) |
| Bottled water | 973 (24.0) | 144 (16.4) | 106 (14.4) | 89 (15.3) |
| Mineral spring water | 179 (3.2) | 11 (1.0) | 5 (0.7) | 5 (0.6) |
| Use of nonstick kitchen tools | ||||
| No use | 116 (2.4) | 17 (2.2) | 18 (2.3) | 26 (4.0) |
| Less than once a week | 232 (3.9) | 35 (4.2) | 25 (3.4) | 13 (2.1) |
| Once a week and more | 2328 (53.6) | 482 (58.0) | 420 (56.8) | 308 (53.3) |
| Once a day and more | 1563 (40.0) | 294 (35.5) | 273 (37.5) | 231 (40.6) |
| Consumption of Shellfish | ||||
| Not eating | 1627 (50.5) | 281 (34.4) | 304 (41.7) | 232 (39.7) |
| Once a month and more | 1128 (41.3) | 435 (53.0) | 340 (46.0) | 270 (48.0) |
| Once a week and more | 240 (8.2) | 112 (12.6) | 92 (12.3) | 76 (12.3) |
| Environmental Chemical | Age Group (Years) | N | % > LOD 1 | GM | (95% CI) | CHMS 2 | Esteban 3 | GerES 4 | NHANES 5 |
|---|---|---|---|---|---|---|---|---|---|
| Polyfluoroalkyl Substances (µg/L) | |||||||||
| PFOA | 12–18 | 825 | 100 | 3.66 | (3.44, 3.89) | 0.96 | 1.56 | 0.994 | 1.18 |
| ≥19 | 2993 | 100 | 6.43 | (6.16, 6.71) | 1.0 | 2.08 | - | 1.45 | |
| PFOS | 12–18 | 825 | 100 | 7.97 | (7.42, 8.56) | 1.6 | 2.22 | 2.602 | 2.68 |
| ≥19 | 2993 | 100 | 15.1 | (13.9, 16.4) | 2.3 | 4.03 | - | 4.50 | |
| PFHxS | 12–18 | 825 | 99.7 | 2.52 | (2.17, 2.92) | 0.53 | 0.79 | 0.365 | 0.866 |
| ≥19 | 2993 | 99.8 | 4.17 | (3.88, 4.49) | 0.70 | 1.37 | - | 1.11 | |
| PFNA | 12–18 | 825 | 100 | 0.921 | (0.867, 0.978) | 0.34 | 0.61 | <LOQ | 0.348 |
| ≥19 | 2993 | 100 | 2.06 | (1.96, 2.17) | 0.37 | 0.80 | - | 0.419 | |
| PFDeA | 12–18 | 825 | 100 | 0.447 | (0.426, 0.469) | NC | 0.24 | <LOQ | 0.153 |
| ≥19 | 2993 | 100 | 0.907 | (0.864, 0.953) | 0.11 | 0.34 | - | 0.199 | |
| Phthalate Metabolites (µg/g creatinine) | |||||||||
| MMP | 3–5 | 541 | 97.6 | 5.05 | (4.65, 5.48) | 6.2 | - | 8.3 | - |
| 6–11 | 721 | 100 | 3.40 | (3.14, 3.68) | 4.0 | 5.2 | 6.8 | - | |
| 12–18 | 736 | 96.4 | 2.27 | (1.97, 2.61) | 2.2 | 3.6 | - | ||
| ≥19 | 3796 | 95.2 | 3.14 | (2.89, 3.41) | 1.7 | 3.6 | - | - | |
| MEP | 3–5 | 541 | 63.7 | 1.11 | (0.899, 1.37) | 19.0 | - | 25.3 | 38.4 |
| 6–11 | 721 | 100 | 5.87 | (5.25, 6.56) | 19.0 | 51.2 | 20.4 | 24.7 | |
| 12–18 | 736 | 90.5 | 4.26 | (3.49, 5.19) | 16.0 | 23.1 | 24.2 | ||
| ≥19 | 3796 | 87.2 | 4.28 | (3.62, 5.05) | 16.0 | 71.4 | - | 28.9 | |
| Environmental Phenols (µg/g creatinine) | |||||||||
| Butyl paraben | 3–5 | 541 | 100 | 0.666 | (0.625, 0.711) | NC | - | NC | NC |
| 6–11 | 721 | 91.6 | 0.483 | (0.414, 0.564) | NC | NC | NC | NC | |
| 12–18 | 737 | 98.9 | 0.474 | (0.444, 0.506) | NC | NC | NC | ||
| ≥19 | 3796 | 99.3 | 1.16 | (1.09, 1.22) | NC | NC | - | NC | |
| Benzophenone-3 (Oxybenzone) | 3–5 | 541 | 88.1 | 0.676 | (0.578, 0.791) | 44.0 | - | 2.306 | 39.7 |
| 6–11 | 721 | 85.9 | 0.790 | (0.669, 0.934) | 32.0 | - | 1.721 | 25.8 | |
| 12–18 | 737 | 89.6 | 0.537 | (0.462, 0.624) | 16.0 | - | 1.888 | 12.7 | |
| ≥19 | 3796 | 80.0 | 0.820 | (0.746, 0.902) | 17.0 | - | - | 20.1 | |
| ≥19 Years | ||||||||||
|---|---|---|---|---|---|---|---|---|---|---|
| N | PFOA | PFOS | PFHxS | |||||||
| GM | (95% CI) | GM | (95% CI) | GM | (95% CI) | |||||
| Sex | ||||||||||
| Male | 1298 | 6.73 | (6.38, 7.11) | ** | 16.0 | (14.6, 17.6) | ** | 4.77 | (4.41, 5.16) | ** |
| Female | 1695 | 6.14 | (5.83, 6.47) | 14.2 | (13.0, 15.4) | 3.65 | (3.36, 3.97) | |||
| Study area | ||||||||||
| Urban | 2143 | 6.05 | (5.79, 6.33) | ** | 13.7 | (13.0, 14.4) | ** | 4.19 | (3.91, 4.49) | ** |
| Rural | 447 | 6.32 | (5.48, 7.28) | 17.5 | (15.2, 20.1) | 3.92 | (3.39, 4.54) | |||
| Costal | 133 | 9.11 | (8.49, 9.77) | 23.3 | (15.4, 35.3) | 4.20 | (2.93, 6.03) | |||
| Air monitoring area | 270 | 6.10 | (5.32, 6.99) | 13.3 | (11.6, 15.2) | 4.42 | (3.03, 6.45) | |||
| Body Mass Index | ||||||||||
| Underweight | 52 | 4.16 | (3.43, 5.03) | ** | 9.13 | (6.83,12.2) | ** | 2.87 | (2.26,3.64) | * |
| Normal | 1489 | 6.22 | (5.92, 6.54) | 14.5 | (13.3,15.7) | 3.94 | (3.59,4.30) | |||
| Obese | 1452 | 6.78 | (6.43,7.15) | 16.1 | (14.5,17.8) | 4.50 | (4.19,4.84) | |||
| Monthly household income (US $) | ||||||||||
| Do not know | 3 | 13.4 | (13.2, 13.6) | ** | 33.8 | (33.7, 34) | ** | 7.24 | (7.14, 7.34) | ** |
| <2350 | 873 | 7.63 | (7.06, 8.24) | 20.5 | (17.3, 24.2) | 5.09 | (4.55, 5.70) | |||
| 2350 to 5875 | 1280 | 6.31 | (6.04, 6.59) | 14.3 | (13.1, 15.7) | 4.26 | (3.98, 4.56) | |||
| 5875 to 8225 | 512 | 5.71 | (5.26, 6.20) | 13.2 | (12.3, 14.2) | 3.43 | (3.09, 3.80) | |||
| >8225 | 325 | 6.04 | (5.34, 6.83) | 12.8 | (11.4, 14.3) | 3.65 | (3.05, 4.36) | |||
| Smoking habits | ||||||||||
| Never smoker | 1930 | 6.07 | (5.76, 6.40) | * | 14.3 | (13.1, 15.6) | ** | 3.71 | (3.45, 3.98) | * |
| Former smoker | 597 | 7.59 | (7.02, 8.20) | 18.5 | (16.5, 20.7) | 5.36 | (4.82, 5.97) | |||
| Current smoker | 466 | 6.63 | (6.18, 7.12) | 14.8 | (13.3, 16.6) | 4.84 | (4.24, 5.52) | |||
| Drinking water | ||||||||||
| Tap water | 825 | 6.93 | (6.45, 7.46) | * | 17.9 | (15.1, 21.2) | ** | 4.63 | (4.17, 5.15) | * |
| Use a water purifier | 1414 | 6.07 | (5.78, 6.38) | 14.0 | (13.0, 15.0) | 3.86 | (3.57, 4.18) | |||
| Bottled water | 622 | 6.43 | (5.82, 7.10) | 14.0 | (12.8, 15.3) | 4.27 | (3.73, 4.89) | |||
| Mineral spring water | 132 | 8.65 | (7.06, 10.6) | 20.0 | (17.3, 23.2) | 5.19 | (4.34, 6.20) | |||
| Use of nonstick kitchen tools | ||||||||||
| No use | 83 | 5.29 | (4.10, 6.83) | * | 13.8 | (11.1, 17.1) | ** | 3.21 | (2.54, 4.05) | * |
| Less than once a week | 116 | 6.33 | (5.50, 7.27) | 15.1 | (12.5, 18.4) | 4.27 | (3.52, 5.19) | |||
| Once a week and more | 1621 | 6.70 | (6.38, 7.04) | 15.6 | (14.6, 16.6) | 4.35 | (4.05, 4.68) | |||
| Once a day and more | 1173 | 6.19 | (5.64, 6.80) | 14.6 | (12.7, 16.7) | 4.01 | (3.50, 4.60) | |||
| Consumption of Shellfish | ||||||||||
| Not eating | 1625 | 6.18 | (5.87, 6.50) | ** | 15.3 | (14.1, 16.6) | ** | 4.24 | (3.95, 1.56) | ** |
| Once a month and more | 1128 | 6.47 | (6.11, 6.86) | 14.5 | (13.2, 15.9) | 3.94 | (3.54, 4.39) | |||
| Once a week and more | 240 | 7.91 | (6.95, 9.01) | 16.5 | (13.9, 19.5) | 4.94 | (3.96, 6.18) | |||
| 12–18 years | ||||||||||
| N | PFOA | PFOS | PFHxS | |||||||
| GM | (95% CI) | GM | (95% CI) | GM | (95% CI) | |||||
| Sex | ||||||||||
| Male | 383 | 3.92 | (3.66, 4.19) | ** | 8.37 | (7.70, 9.10) | * | 2.84 | (2.47, 3.27) | ** |
| Female | 442 | 3.40 | (3.18, 3.64) | 7.56 | (7.01, 8.16) | 2.21 | (1.85, 2.64) | |||
| Study area | ||||||||||
| Urban | 660 | 3.70 | (3.46, 3.95) | 8.02 | (7.40, 8.68) | 2.55 | (2.18, 3.00) | |||
| Rural | 165 | 3.44 | (2.97, 4.00) | 7.71 | (6.58, 9.03) | 2.33 | (1.56, 3.47) | |||
| Costal | - | - | - | - | - | - | ||||
| Air monitoring area | - | - | - | - | - | - | ||||
| Body Mass Index | ||||||||||
| Underweight | 109 | 3.81 | (3.48, 4.16) | 3.81 | (3.48, 4.16) | 3.03 | (2.33, 3.93) | |||
| Normal | 544 | 3.60 | (3.38, 3.84) | 3.60 | (3.38, 3.84) | 2.43 | (2.11, 2.79) | |||
| Obese | 172 | 3.73 | (3.36, 4.14) | 3.73 | (3.36, 4.14) | 2.50 | (2.07, 3.02) | |||
| Monthly household income (US $) | ||||||||||
| Do not know | 47 | 3.79 | (3.33, 4.32) | 6.82 | (5.81, 8.01) | 2.42 | (1.97, 2.97) | |||
| <2350 | 54 | 3.63 | (3.04, 4.34) | 7.64 | (6.42, 9.09) | 2.18 | (1.50, 3.17) | |||
| 2350 to 5875 | 377 | 3.59 | (3.32, 3.87) | 8.17 | (7.42, 8.99) | 2.58 | (2.21, 3.01) | |||
| 5875 to 8225 | 200 | 3.72 | (3.45, 4.02) | 8.00 | (7.27, 8.80) | 2.62 | (2.22, 3.09) | |||
| >8225 | 147 | 3.71 | (3.40, 4.04) | 7.97 | (7.10, 8.93) | 2.40 | (1.99, 2.88) | |||
| Smoking habits | ||||||||||
| Never smoker | 775 | 3.65 | (3.43, 3.88) | 7.94 | (7.40, 8.52) | 2.51 | (2.17, 2.91) | |||
| Former smoker | 24 | 3.89 | (3.15, 4.80) | 8.29 | (6.82, 10.1) | 3.16 | (2.26, 4.42) | |||
| Current smoker | 26 | 3.73 | (3.16, 4.39) | 8.47 | (6.57, 10.9) | 2.20 | (1.63, 2.96) | |||
| Drinking water | ||||||||||
| Tap water | 173 | 3.96 | (3.54, 4.43) | 7.84 | (7.12, 8.64) | 2.72 | (2.16, 3.43) | |||
| Use a water purifier | 497 | 3.58 | (3.37, 3.81) | 8.01 | (7.40, 8.67) | 2.44 | (2.12, 2.81) | |||
| Bottled water | 144 | 3.53 | (3.25, 3.84) | 7.99 | (7.12, 8.97) | 2.60 | (2.06, 3.28) | |||
| Mineral spring water | 11 | 4.11 | (3.05, 5.54) | 7.89 | (6.76, 9.21) | 1.97 | (1.45, 2.67) | |||
| Use of nonstick kitchen tools | ||||||||||
| No use | 17 | 3.65 | (3.00, 4.43) | * | 6.93 | (5.66, 8.48) | 2.53 | (1.87, 3.42) | * | |
| Less than once a week | 35 | 3.13 | (2.83, 3.46) | 6.52 | (5.75, 7.38) | 2.11 | (1.41, 3.16) | |||
| Once a week and more | 480 | 3.63 | (3.41, 3.86) | 7.96 | (7.37, 8.61) | 2.47 | (2.14, 2.86) | |||
| Once a day and more | 293 | 3.78 | (3.50, 4.08) | 8.25 | (7.59, 8.96) | 2.65 | (2.21, 3.17) | |||
| Consumption of Shellfish | ||||||||||
| Not eating | 279 | 3.38 | (3.15, 3.63) | * | 7.85 | (7.19, 8.56) | * | 2.60 | (2.24, 3.01) | * |
| Once a month and more | 434 | 3.70 | (3.44, 3.98) | 8.00 | (7.31, 8.76) | 2.41 | (1.99, 2.91) | |||
| Once a week and more | 112 | 4.27 | (3.90, 4.68) | 8.12 | (7.38, 8.92) | 2.75 | (2.31, 3.28) | |||
Disclaimer/Publisher’s Note: The statements, opinions and data contained in all publications are solely those of the individual author(s) and contributor(s) and not of MDPI and/or the editor(s). MDPI and/or the editor(s) disclaim responsibility for any injury to people or property resulting from any ideas, methods, instructions or products referred to in the content. |
© 2024 by the authors. Licensee MDPI, Basel, Switzerland. This article is an open access article distributed under the terms and conditions of the Creative Commons Attribution (CC BY) license (https://creativecommons.org/licenses/by/4.0/).
Share and Cite
Hong, S.; Kim, O.-J.; Jung, S.K.; Jeon, H.L.; Kim, S.; Kil, J. The Exposure Status of Environmental Chemicals in South Korea: The Korean National Environmental Health Survey 2018–2020. Toxics 2024, 12, 829. https://doi.org/10.3390/toxics12110829
Hong S, Kim O-J, Jung SK, Jeon HL, Kim S, Kil J. The Exposure Status of Environmental Chemicals in South Korea: The Korean National Environmental Health Survey 2018–2020. Toxics. 2024; 12(11):829. https://doi.org/10.3390/toxics12110829
Chicago/Turabian StyleHong, Sooyeon, Ok-Jin Kim, Sun Kyoung Jung, Hye Li Jeon, Suejin Kim, and Jihyon Kil. 2024. "The Exposure Status of Environmental Chemicals in South Korea: The Korean National Environmental Health Survey 2018–2020" Toxics 12, no. 11: 829. https://doi.org/10.3390/toxics12110829
APA StyleHong, S., Kim, O.-J., Jung, S. K., Jeon, H. L., Kim, S., & Kil, J. (2024). The Exposure Status of Environmental Chemicals in South Korea: The Korean National Environmental Health Survey 2018–2020. Toxics, 12(11), 829. https://doi.org/10.3390/toxics12110829

