Towards Cleaner Cities: Estimating Vehicle-Induced PM2.5 with Hybrid EBM-CMA-ES Modeling
Abstract
1. Introduction
- EBM is a Generalized Additive Model (GAM) that provides high interpretability by modeling feature effects independently. This aspect is crucial when assessing environmental risks such as PM2.5, as it enables clear identification of how variables like location, humidity, and temperature contribute to PM2.5 levels, providing actionable insights for policymakers and planners.
- To ensure optimal performance, the hyperparameters of EBM are fine-tuned using CMA-ES. CMA-ES is a robust evolutionary optimization algorithm known for efficiently navigating complex, high-dimensional search spaces [25]. Compared with traditional methods such as Grid Search or Random Search [26], CMA-ES is more adaptive and capable of handling non-linearities and interactions in the model, ensuring that EBM achieves its best possible performance on the PM2.5 dataset.
2. Related Work
3. Materials and Methods
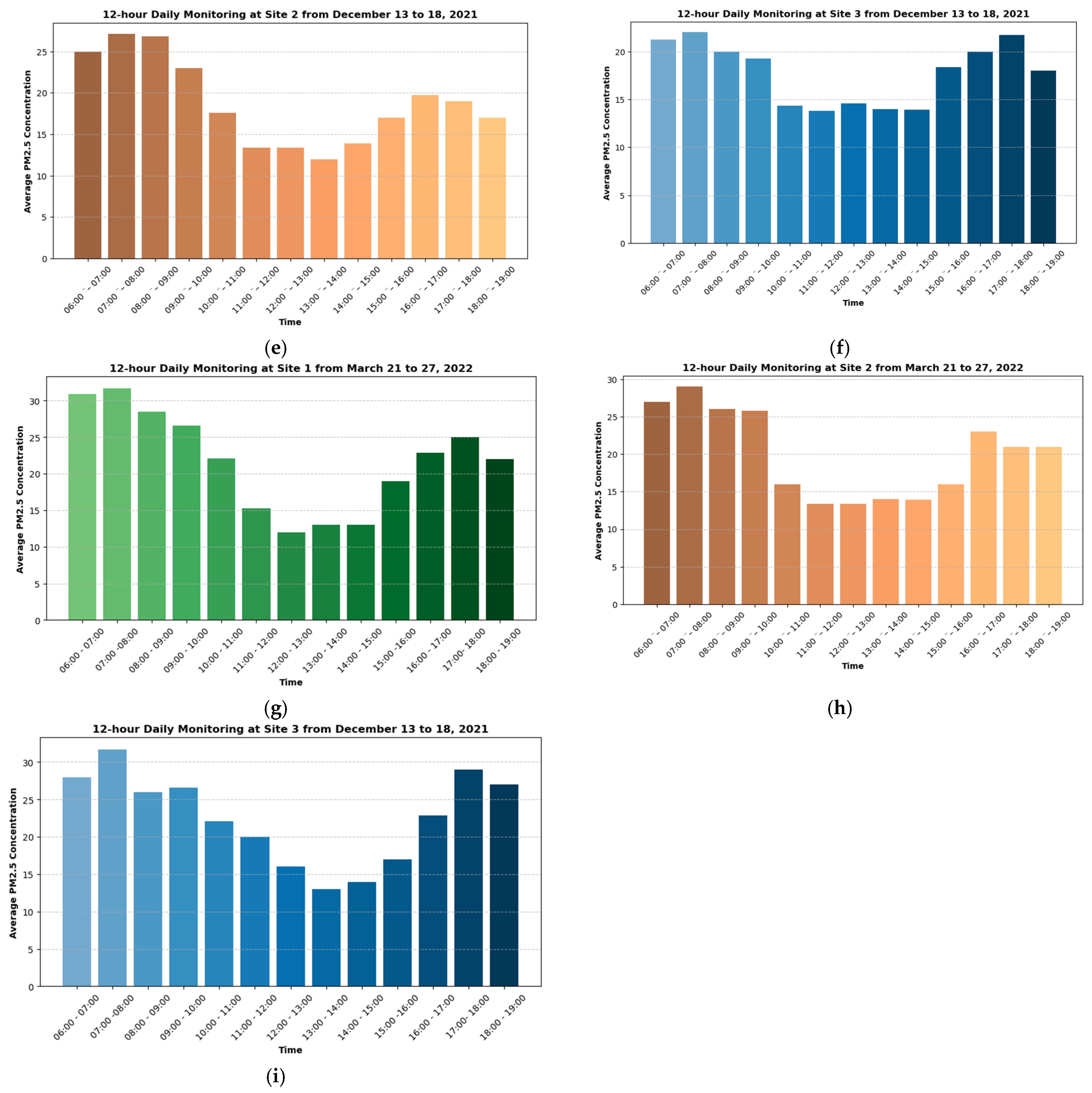
3.1. Study Location and Data
3.2. Hybrid EBM-CMA-ES Framework
3.2.1. Theoretical Overview of EBM
- is the predicted outcome.
- is the intercept.
- are the shape functions for each feature .
- is the error term.
- is the initial prediction.
- is the mean of the target variable.
- is the residual at iteration .
- is the actual target value.
- is the prediction from the previous iteration.
- is the updated shape function for feature .
- is the learning rate, controlling the step size of the update.
- is the updated prediction at iteration .
- captures the contributions from each individual feature.
- captures the contributions from interactions between pairs of features.
3.2.2. Interpretation of EBM
3.2.3. Covariance Matrix Adaptation Evolution Strategy (CMA-ES)
3.3. Competitive Machine Learning Models
3.4. Performance Measures
- n is the number of data points.
- is the actual value.
- is the predicted value.
- is the mean of the actual values .
4. Results and Discussion
4.1. Fine-Tuning of Hyperparameters via CMA-ES
4.2. Prediction Results and Comparative Analysis
4.3. Uncertainty Analysis
4.4. EBM Interpretation
4.4.1. EBM Global Interpretation
4.4.2. EBM Local Interpretation
5. Conclusions and Recommendations
- The EBM-CMA-ES model was the best-performing model, achieving an MAE of 2.033 and an R2 of 0.843 on the testing set, significantly outperforming alternative models like XGBoost, RF, and MLR.
- The MLR model performed the worst, with an MAE of 7.226 and an R2 of 0.438, indicating its limitations in capturing the complex relationships between environmental factors and PM2.5 levels.
- Based on the EBM global interpretation results, location was identified as the most critical factor influencing PM2.5 concentrations, with areas near the Westlands roundabout showing the highest levels, likely due to traffic congestion.
- Humidity was found to have a strong positive effect on PM2.5 levels, with medium to high humidity linked to increased particle concentrations. Elevated humidity promotes hygroscopic growth, enabling fine particles to absorb water, increasing their size and mass, which elevates PM2.5 concentrations. Humidity also enhances aerosol acidity, facilitating secondary aerosol formation. These processes make humidity a critical factor in increasing PM2.5 levels [54]. Temperature showed an inverse relationship with PM2.5 concentrations, where higher temperatures were associated with reduced PM2.5 levels, likely due to enhanced atmospheric mixing.
- The interaction between humidity and traffic volume was significant, demonstrating that high traffic volume combined with increased humidity results in higher PM2.5 concentrations, highlighting the need for targeted interventions in such conditions.
5.1. Limitations of Study
5.2. Future Recommendations
Author Contributions
Funding
Institutional Review Board Statement
Informed Consent Statement
Data Availability Statement
Acknowledgments
Conflicts of Interest
References
- McMichael, A.J. The urban environment and health in a world of increasing globalization: Issues for developing countries. Bull. World Health Organ. 2000, 78, 1117–1126. [Google Scholar] [PubMed]
- Qing, W. Urbanization and global health: The role of air pollution. Iran. J. Public Health 2018, 47, 1644. [Google Scholar]
- Southerland, V.A.; Brauer, M.; Mohegh, A.; Hammer, M.S.; Van Donkelaar, A.; Martin, R.V.; Apte, J.S.; Anenberg, S.C. Global urban temporal trends in fine particulate matter (PM2·5) and attributable health burdens: Estimates from global datasets. Lancet Planet. Health 2022, 6, e139–e146. [Google Scholar] [CrossRef]
- Giannadaki, D.; Lelieveld, J.; Pozzer, A. Implementing the US air quality standard for PM 2.5 worldwide can prevent millions of premature deaths per year. Environ. Health 2016, 15, 88. [Google Scholar] [CrossRef] [PubMed]
- Lippmann, M. Toxicological and epidemiological studies of cardiovascular effects of ambient air fine particulate matter (PM2.5) and its chemical components: Coherence and public health implications. Crit. Rev. Toxicol. 2014, 44, 299–347. [Google Scholar] [CrossRef]
- Thangavel, P.; Park, D.; Lee, Y.-C. Recent insights into particulate matter (PM2.5)-mediated toxicity in humans: An overview. Int. J. Environ. Res. Public Health 2022, 19, 7511. [Google Scholar] [CrossRef]
- Meng, X.; Zhang, Y.; Yang, K.-Q.; Yang, Y.-K.; Zhou, X.-L. Potential harmful effects of PM2.5 on occurrence and progression of acute coronary syndrome: Epidemiology, mechanisms, and prevention measures. Int. J. Environ. Res. Public Health 2016, 13, 748. [Google Scholar] [CrossRef]
- Wan Mahiyuddin, W.R.; Ismail, R.; Mohammad Sham, N.; Ahmad, N.I.; Nik Hassan, N.M.N. Cardiovascular and respiratory health effects of fine particulate matters (PM2.5): A review on time series studies. Atmosphere 2023, 14, 856. [Google Scholar] [CrossRef]
- Tang, Z.; Jia, J. The Association between the Burden of PM2.5-Related Neonatal Preterm Birth and Socio-Demographic Index from 1990 to 2019: A Global Burden Study. Int. J. Environ. Res. Public Health 2022, 19, 10068. [Google Scholar] [CrossRef]
- Anwar, M.N.; Shabbir, M.; Tahir, E.; Iftikhar, M.; Saif, H.; Tahir, A.; Murtaza, M.A.; Khokhar, M.F.; Rehan, M.; Aghbashlo, M. Emerging challenges of air pollution and particulate matter in China, India, and Pakistan and mitigating solutions. J. Hazard. Mater. 2021, 416, 125851. [Google Scholar] [CrossRef]
- Alhakbani, A. Battery Blueprint: Saudi Arabia’s Strategic Foray into the Battery Value Chain; Massachusetts Institute of Technology: Cambridge, MA, USA, 2024; Available online: https://dspace.mit.edu/handle/1721.1/156985 (accessed on 7 October 2024).
- Boadi, K.; Kuitunen, M.; Raheem, K.; Hanninen, K. Urbanisation without development: Environmental and health implications in African cities. Environ. Dev. Sustain. 2005, 7, 465–500. [Google Scholar] [CrossRef]
- Sadiq, A.A. Effect of Particulate Emissions from Road Transportation Vehicles on Health of Communities in Urban and Rural Areas, Kano State, Nigeria; Université Claude Bernard-Lyon I: Villeurbanne, France, 2022; Available online: https://theses.hal.science/tel-03963351 (accessed on 7 October 2024).
- Kinney, P.L.; Gichuru, M.G.; Volavka-Close, N.; Ngo, N.; Ndiba, P.K.; Law, A.; Gachanja, A.; Gaita, S.M.; Chillrud, S.N.; Sclar, E. Traffic impacts on PM2.5 air quality in Nairobi, Kenya. Environ. Sci. Policy 2011, 14, 369–378. [Google Scholar] [CrossRef] [PubMed]
- Kebe, M.; Traore, A.; Manousakas, M.I.; Vasilatou, V.; Ndao, A.S.; Wague, A.; Eleftheriadis, K. Source apportionment and assessment of air quality index of PM2.5–10 and PM2.5 in at two different sites in urban background area in Senegal. Atmosphere 2021, 12, 182. [Google Scholar] [CrossRef]
- Chen, Z.; Chen, D.; Zhao, C.; Kwan, M.-p.; Cai, J.; Zhuang, Y.; Zhao, B.; Wang, X.; Chen, B.; Yang, J. Influence of meteorological conditions on PM2.5 concentrations across China: A review of methodology and mechanism. Environ. Int. 2020, 139, 105558. [Google Scholar] [CrossRef]
- Karimian, H.; Li, Q.; Li, C.; Chen, G.; Mo, Y.; Wu, C.; Fan, J. Spatio-temporal variation of wind influence on distribution of fine particulate matter and its precursor gases. Atmos. Pollut. Res. 2019, 10, 53–64. [Google Scholar] [CrossRef]
- Tong, R.; Liu, J.; Wang, W.; Fang, Y. Health effects of PM2.5 emissions from on-road vehicles during weekdays and weekends in Beijing, China. Atmos. Environ. 2020, 223, 117258. [Google Scholar] [CrossRef]
- Nori, H.; Jenkins, S.; Koch, P.; Caruana, R. Interpretml: A unified framework for machine learning interpretability. arXiv 2019, arXiv:1909.09223. [Google Scholar]
- Jȩdrzejewski-Szmek, Z.; Abrahao, K.P.; Jȩdrzejewska-Szmek, J.; Lovinger, D.M.; Blackwell, K.T. Parameter optimization using covariance matrix adaptation—Evolutionary strategy (CMA-ES), an approach to investigate differences in channel properties between neuron subtypes. Front. Neuroinform. 2018, 12, 47. [Google Scholar] [CrossRef]
- Chen, Z.; Tan, S.; Nori, H.; Inkpen, K.; Lou, Y.; Caruana, R. Using explainable boosting machines (ebms) to detect common flaws in data. In Proceedings of the Joint European Conference on Machine Learning and Knowledge Discovery in Databases, Bilbao, Spain, 13–17 September 2021; pp. 534–551. [Google Scholar]
- Liu, G.; Sun, B. Concrete compressive strength prediction using an explainable boosting machine model. Case Stud. Constr. Mater. 2023, 18, e01845. [Google Scholar] [CrossRef]
- Maxwell, A.E.; Sharma, M.; Donaldson, K.A. Explainable boosting machines for slope failure spatial predictive modeling. Remote Sens. 2021, 13, 4991. [Google Scholar] [CrossRef]
- Khattak, A.; Chan, P.-w.; Chen, F.; Peng, H. Assessing wind field characteristics along the airport runway glide slope: An explainable boosting machine-assisted wind tunnel study. Sci. Rep. 2023, 13, 10939. [Google Scholar] [CrossRef] [PubMed]
- Bajer, L.; Pitra, Z.; Repický, J.; Holeňa, M. Gaussian process surrogate models for the CMA evolution strategy. Evol. Comput. 2019, 27, 665–697. [Google Scholar] [CrossRef] [PubMed]
- Anggoro, D.A.; Mukti, S.S. Performance Comparison of Grid Search and Random Search Methods for Hyperparameter Tuning in Extreme Gradient Boosting Algorithm to Predict Chronic Kidney Failure. Int. J. Intell. Eng. Syst. 2021, 14, 198–207. [Google Scholar]
- Deng, Y.; Wang, J.; Sun, L.; Wang, Y.; Chen, J.; Zhao, Z.; Wang, T.; Xiang, Y.; Wang, Y.; Chen, J. Effects of ambient O3 on respiratory mortality, especially the combined effects of PM2.5 and O3. Toxics 2023, 11, 892. [Google Scholar] [CrossRef]
- Hoy, A.; Mohan, G.; Nolan, A. An investigation of inequalities in exposure to PM2.5 air pollution across small areas in Ireland. Int. J. Health Geogr. 2024, 23, 17. [Google Scholar] [CrossRef]
- Marsha, A.; Larkin, N.K. A statistical model for predicting PM2.5 for the western United States. J. Air Waste Manag. Assoc. 2019, 69, 1215–1229. [Google Scholar] [CrossRef]
- Murray, N.L.; Holmes, H.A.; Liu, Y.; Chang, H.H. A Bayesian ensemble approach to combine PM2.5 estimates from statistical models using satellite imagery and numerical model simulation. Environ. Res. 2019, 178, 108601. [Google Scholar] [CrossRef]
- Ameen, M.H.; Jumaah, H.J.; Kalantar, B.; Ueda, N.; Halin, A.A.; Tais, A.S.; Jumaah, S.J. Evaluation of PM2.5 particulate matter and noise pollution in Tikrit University based on GIS and statistical modeling. Sustainability 2021, 13, 9571. [Google Scholar] [CrossRef]
- Poursabzi-Sangdeh, F.; Goldstein, D.G.; Hofman, J.M.; Wortman Vaughan, J.W.; Wallach, H. Manipulating and measuring model interpretability. In Proceedings of the 2021 CHI Conference on Human Factors in Computing Systems, Yokohama, Japan, 8–13 May 2021; pp. 1–52. [Google Scholar]
- Wei, W.; Ramalho, O.; Malingre, L.; Sivanantham, S.; Little, J.C.; Mandin, C. Machine learning and statistical models for predicting indoor air quality. Indoor Air 2019, 29, 704–726. [Google Scholar] [CrossRef]
- Matara, C.; Osano, S.; Yusuf, A.O.; Aketch, E.O. Prediction of Vehicle-induced Air Pollution based on Advanced Machine Learning Models. Eng. Technol. Appl. Sci. Res. 2024, 14, 12837–12843. [Google Scholar] [CrossRef]
- Khanzode, K.C.A.; Sarode, R.D. Advantages and disadvantages of artificial intelligence and machine learning: A literature review. Int. J. Libr. Inf. Sci. (IJLIS) 2020, 9, 3. [Google Scholar]
- Chang, F.-J.; Chang, L.-C.; Kang, C.-C.; Wang, Y.-S.; Huang, A. Explore spatio-temporal PM2.5 features in northern Taiwan using machine learning techniques. Sci. Total Environ. 2020, 736, 139656. [Google Scholar] [CrossRef]
- Chen, G.; Li, S.; Knibbs, L.D.; Hamm, N.A.; Cao, W.; Li, T.; Guo, J.; Ren, H.; Abramson, M.J.; Guo, Y. A machine learning method to estimate PM2.5 concentrations across China with remote sensing, meteorological and land use information. Sci. Total Environ. 2018, 636, 52–60. [Google Scholar] [CrossRef]
- Xiao, Q.; Chang, H.H.; Geng, G.; Liu, Y. An ensemble machine-learning model to predict historical PM2.5 concentrations in China from satellite data. Environ. Sci. Technol. 2018, 52, 13260–13269. [Google Scholar] [CrossRef]
- Peng, J.; Han, H.; Yi, Y.; Huang, H.; Xie, L. Machine learning and deep learning modeling and simulation for predicting PM2.5 concentrations. Chemosphere 2022, 308, 136353. [Google Scholar] [CrossRef]
- Zaman, N.A.F.K.; Kanniah, K.D.; Kaskaoutis, D.G.; Latif, M.T. Evaluation of machine learning models for estimating PM2.5 concentrations across Malaysia. Appl. Sci. 2021, 11, 7326. [Google Scholar] [CrossRef]
- Xiao, F.; Yang, M.; Fan, H.; Fan, G.; Al-Qaness, M.A. An improved deep learning model for predicting daily PM2.5 concentration. Sci. Rep. 2020, 10, 20988. [Google Scholar] [CrossRef] [PubMed]
- Sun, K.; Tang, L.; Qian, J.; Wang, G.; Lou, C. A deep learning-based PM2.5 concentration estimator. Displays 2021, 69, 102072. [Google Scholar] [CrossRef]
- Kristiani, E.; Lin, H.; Lin, J.-R.; Chuang, Y.-H.; Huang, C.-Y.; Yang, C.-T. Short-term prediction of PM2.5 using LSTM deep learning methods. Sustainability 2022, 14, 2068. [Google Scholar] [CrossRef]
- Khattak, A.; Zhang, J.; Chan, P.-W.; Chen, F.; Almujibah, H. Explainable Boosting Machine: A Contemporary Glass-Box Strategy for the Assessment of Wind Shear Severity in the Runway Vicinity Based on the Doppler Light Detection and Ranging Data. Atmosphere 2023, 15, 20. [Google Scholar] [CrossRef]
- Pujianto, U.; Wibawa, A.P.; Akbar, M.I. K-nearest neighbor (k-NN) based missing data imputation. In Proceedings of the 2019 5th International Conference on Science in Information Technology (ICSITech), Yogyakarta, Indonesia, 23–24 October 2019; pp. 83–88. [Google Scholar]
- Zamani Joharestani, M.; Cao, C.; Ni, X.; Bashir, B.; Talebiesfandarani, S. PM2.5 prediction based on random forest, XGBoost, and deep learning using multisource remote sensing data. Atmosphere 2019, 10, 373. [Google Scholar] [CrossRef]
- Ma, J.; Yu, Z.; Qu, Y.; Xu, J.; Cao, Y. Application of the XGBoost machine learning method in PM2.5 prediction: A case study of Shanghai. Aerosol Air Qual. Res. 2020, 20, 128–138. [Google Scholar] [CrossRef]
- Zhong, J.; Zhang, X.; Gui, K.; Wang, Y.; Che, H.; Shen, X.; Zhang, L.; Zhang, Y.; Sun, J.; Zhang, W. Robust prediction of hourly PM2.5 from meteorological data using LightGBM. Natl. Sci. Rev. 2021, 8, nwaa307. [Google Scholar] [CrossRef]
- Zhao, Y.; Hasan, Y.A. Comparison of three classification algorithms for predicting PM2.5 in Hong Kong rural area. J. Asian Sci. Res. 2013, 3, 715–728. [Google Scholar]
- Zhao, R.; Gu, X.; Xue, B.; Zhang, J.; Ren, W. Short period PM2.5 prediction based on multivariate linear regression model. PLoS ONE 2018, 13, e0201011. [Google Scholar] [CrossRef]
- Loshchilov, I.; Hutter, F. CMA-ES for hyperparameter optimization of deep neural networks. arXiv 2016, arXiv:1604.07269. [Google Scholar]
- Wei, Y.; Tian, X.; Huang, J.; Wang, Z.; Huang, B.; Liu, J.; Gao, J.; Liang, D.; Yu, H.; Feng, Y. New insights into the formation of ammonium nitrate from a physical and chemical level perspective. Front. Environ. Sci. Eng. 2023, 17, 137. [Google Scholar] [CrossRef]
- Tanatachalert, T.; Jumlongkul, A. Correlation Between Relative Humidity and Particulate Matter During the Ongoing of Pandemic: A Systematic Review. Aerosol Sci. Eng. 2023, 7, 295–302. [Google Scholar] [CrossRef]
- Ding, J.; Zhao, P.; Su, J.; Dong, Q.; Du, X.; Zhang, Y. Aerosol pH and its driving factors in Beijing. Atmos. Chem. Phys. 2019, 19, 7939–7954. [Google Scholar] [CrossRef]














| Sites | Description | Latitude | Longitude |
|---|---|---|---|
| Westlands roundabout (Site 1) | Located on Waiyaki Way, this is a three-lane highway in each direction adjacent to the Westlands roundabout. The area experiences a high proportion of personal vehicles and buses due to its central location and proximity to residential neighborhoods | −1.26551 | 36.80268 |
| Nyayo roundabout (Site 2) | Situated in Bellevue, this is a three-lane highway in each direction. It is a busy urban route with a balanced mix of personal and commercial vehicles. Although congestion levels here are generally lower than at Westlands, it experiences similar types of traffic. | −1.31940 | 36.83854 |
| City Cabanas (Site 3) | Positioned near the Airport North Road and Mombasa Road interchange, this site has a three-lane highway in each direction. Given its proximity to the airport and industrial areas, it sees a high volume of heavy vehicles, including goods transport and delivery trucks. | −1.33573 | 36.89217 |
| Model | Acronym | Key Features | Primary Applications |
|---|---|---|---|
| Extreme Gradient Boosting | XGBoost |
| Regression and classification tasks, especially with structured/tabular data |
| Random Forest | RF |
| Broad use in classification and regression, especially for feature importance analysis |
| Light Gradient Boosting Machine | LightGBM |
| High-dimensional data in classification and regression, effective with large datasets |
| Adaptive Boosting | AdaBoost |
| Binary classification and situations requiring model interpretability |
| Factors | Descriptive Statistics | |||
|---|---|---|---|---|
| Mean | Standard Deviation | Min | Max | |
| Humidity (%) | 37.52 | 14.95 | 15.33 | 70.16 |
| Temperature (°C) | 28.75 | 6.53 | 18.86 | 44.07 |
| Average Traffic Volume (veh/hr) | 1379.05 | 655.16 | 342 | 3213 |
| Average Vehicle Speed (km/hr) | 46.41 | 9.71 | 24.7 | 62.18 |
| Wind Speed (m/s) | 6.61 | 3.83 | 2.95 | 11.75 |
| Location | 0.94 | 0.79 | 0 | 2 |
| Models | Hyperparameters | Range | Optimal Values |
|---|---|---|---|
| EBM | n_estimators | [100, 500] | 140 |
| max_bins | [120, 250] | 185 | |
| max_interaction_bins | [30, 120] | 70 | |
| learning_rate | [0.01, 0.1] | 0.08 | |
| XGBoost | learning_rate | [0.01, 0.15] | 0.08 |
| n_estimators | [50, 1000] | 600.0 | |
| RF | n_estimators | [50, 1000] | 420.0 |
| max_depth | [2, 12] | 7.0 | |
| LightGBM | learning_rate | [0.01, 0.15] | 0.13 |
| n_estimators | [50, 1000] | 800.0 | |
| AdaBoost | learning_rate | [0.01, 0.15] | 0.06 |
| n_estimators | [50, 1000] | 180.0 |
| Models | Training Dataset | Testing Dataset | ||||||
|---|---|---|---|---|---|---|---|---|
| MAE | MSE | RMSE | R2 | MAE | MSE | RMSE | R2 | |
| EBM | 1.61 | 15.53 | 3.94 | 0.90 | 2.03 | 28.13 | 5.30 | 0.84 |
| XGBoost | 3.58 | 31.56 | 5.62 | 0.81 | 3.84 | 34.58 | 5.88 | 0.78 |
| RF | 4.26 | 38.29 | 6.19 | 0.77 | 4.52 | 40.79 | 6.39 | 0.74 |
| LightGBM | 4.13 | 33.68 | 5.8 | 0.80 | 4.27 | 34.4 | 5.87 | 0.78 |
| AdaBoost | 7.01 | 74.39 | 8.63 | 0.55 | 6.75 | 68.18 | 8.26 | 0.57 |
| MLR | 7.55 | 97.98 | 9.95 | 0.41 | 7.23 | 89.12 | 9.44 | 0.43 |
| Models | Mean | Standard Deviation |
|---|---|---|
| EBM | 1.0024 | 0.178 |
| XGBoost | 0.942 | 0.195 |
| RF | 0.926 | 0.221 |
| LightGBM | 0.934 | 0.199 |
| AdaBoost | 0.786 | 0.304 |
| MLR | 0.772 | 0.313 |
Disclaimer/Publisher’s Note: The statements, opinions and data contained in all publications are solely those of the individual author(s) and contributor(s) and not of MDPI and/or the editor(s). MDPI and/or the editor(s) disclaim responsibility for any injury to people or property resulting from any ideas, methods, instructions or products referred to in the content. |
© 2024 by the authors. Licensee MDPI, Basel, Switzerland. This article is an open access article distributed under the terms and conditions of the Creative Commons Attribution (CC BY) license (https://creativecommons.org/licenses/by/4.0/).
Share and Cite
Alotaibi, S.; Almujibah, H.; Mohamed, K.A.A.; Elhassan, A.A.M.; Alsulami, B.T.; Alsaluli, A.; Khattak, A. Towards Cleaner Cities: Estimating Vehicle-Induced PM2.5 with Hybrid EBM-CMA-ES Modeling. Toxics 2024, 12, 827. https://doi.org/10.3390/toxics12110827
Alotaibi S, Almujibah H, Mohamed KAA, Elhassan AAM, Alsulami BT, Alsaluli A, Khattak A. Towards Cleaner Cities: Estimating Vehicle-Induced PM2.5 with Hybrid EBM-CMA-ES Modeling. Toxics. 2024; 12(11):827. https://doi.org/10.3390/toxics12110827
Chicago/Turabian StyleAlotaibi, Saleh, Hamad Almujibah, Khalaf Alla Adam Mohamed, Adil A. M. Elhassan, Badr T. Alsulami, Abdullah Alsaluli, and Afaq Khattak. 2024. "Towards Cleaner Cities: Estimating Vehicle-Induced PM2.5 with Hybrid EBM-CMA-ES Modeling" Toxics 12, no. 11: 827. https://doi.org/10.3390/toxics12110827
APA StyleAlotaibi, S., Almujibah, H., Mohamed, K. A. A., Elhassan, A. A. M., Alsulami, B. T., Alsaluli, A., & Khattak, A. (2024). Towards Cleaner Cities: Estimating Vehicle-Induced PM2.5 with Hybrid EBM-CMA-ES Modeling. Toxics, 12(11), 827. https://doi.org/10.3390/toxics12110827

