Influence of Organic Matter and Speciation on the Dynamics of Trace Metal Adsorption on Microplastics in Marine Conditions
Abstract
1. Introduction
2. Materials and Methods
2.1. Chemicals and Samples Preparation
2.2. Adsorption Experiment
2.3. Trace Metal Analysis
2.4. Speciation Modeling
2.5. Quality Assurance and Quality Control (QA/QC)
2.6. Statistical Analyses
3. Results and Discussion
3.1. Adsorption of TM on PE Pellets
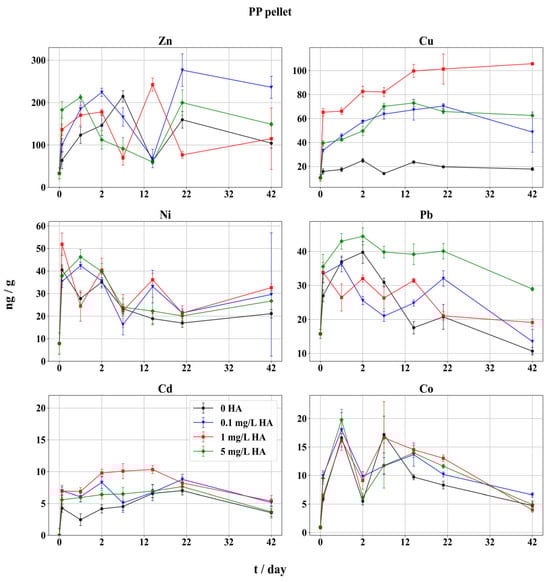
3.2. Adsorption on PP Pellets
3.3. Adsorption on PP Fibers
4. Conclusions
Supplementary Materials
Author Contributions
Funding
Institutional Review Board Statement
Informed Consent Statement
Data Availability Statement
Conflicts of Interest
References
- Parać, M.; Cuculić, V.; Cukrov, N.; Geček, S.; Lovrić, M. Microplastic Distribution through the Salinity Gradient in a Stratified Estuary. Water 2022, 14, 3255. [Google Scholar] [CrossRef]
- Nunes, B.Z.; Huang, Y.; Ribeiro, V.V.; Wu, S.; Holbech, H.; Moreira, L.B.; Xu, E.G.; Castro, I.B. Microplastic Contamination in Seawater Across Global Marine Protected Areas Boundaries. Environ. Pollut. 2023, 316, 120692. [Google Scholar] [CrossRef] [PubMed]
- Digka, N.; Tsangaris, C.; Kaberi, H.; Adamopoulou, A.; Zeri, C. Microplastic Abundance and Polymer Types in a Mediterranean Environment. In Proceedings of the International Conference on Microplastic Pollution in the Mediterranean Sea; Cocca, M., Di Pace, E., Errico, M.E., Gennaro, G., Montarsolo, A., Mossotti, R., Eds.; Springer: Cham, Switzerland, 2018; pp. 17–24. [Google Scholar]
- Suaria, G.; Avio, C.G.; Regoli, F.; Aliani, S. Sub-Basin Scale Heterogeneity in the Polymeric Composition of Floating Microplastics in the Mediterranean Sea. In Proceedings of the International Conference on Microplastic Pollution in the Mediterranean Sea; Cocca, M., Di Pace, E., Errico, M.E., Gennaro, G., Montarsolo, A., Mossotti, R., Eds.; Springer: Cham, Switzerland, 2018; pp. 1–7. [Google Scholar]
- Kolda, A.; Mucko, M.; Rapljenović, A.; Ljubešić, Z.; Pikelj, K.; Kwokal, Ž.; Fajković, H.; Cuculić, V. Beach wracks microbiome and its putative function in plastic polluted Mediterranean marine ecosystem. Mar. Environ. Res. 2024, 202, 106769. [Google Scholar] [CrossRef] [PubMed]
- Ashton, K.; Holmes, L.; Turner, A. Association of Metals with Plastic Production Pellets in the Marine Environment. Mar. Pollut. Bull. 2010, 60, 2050–2055. [Google Scholar] [CrossRef]
- Holmes, L.A.; Turner, A.; Thompson, R.C. Adsorption of Trace Metals to Plastic Resin Pellets in the Marine Environment. Environ. Pollut. 2012, 160, 42–48. [Google Scholar] [CrossRef]
- Holmes, L.A.; Turner, A.; Thompson, R.C. Interactions Between Trace Metals and Plastic Production Pellets Under Estuarine Conditions. Mar. Chem. 2014, 167, 25–32. [Google Scholar] [CrossRef]
- Rochman, C.M.; Hentschel, B.T.; Teh, S.J. Long-Term Sorption of Metals Is Similar Among Plastic Types: Implications for Plastic Debris in Aquatic Environments. PLoS ONE 2014, 9, e85433. [Google Scholar] [CrossRef]
- Turner, A.; Holmes, L.A. Adsorption of Trace Metals by Microplastic Pellets in Fresh Water. Environ. Chem. 2015, 12, 600–610. [Google Scholar] [CrossRef]
- Brennecke, D.; Duarte, B.; Paiva, F.; Caçador, I.; Canning-Clode, J. Microplastics as Vector for Heavy Metal Contamination from the Marine Environment. Estuar. Coast. Shelf Sci. 2016, 178, 189–195. [Google Scholar] [CrossRef]
- Godoy, V.; Blazquez, G.; Calero, M.; Quesada, L.; Martín-Lara, M.A. The Potential of Microplastics as Carriers of Metals. Environ. Pollut. 2019, 255, 113363. [Google Scholar] [CrossRef]
- Ahechti, M.; Benomar, M.; El Alami, M.; Mendiguchía, C. Metal Adsorption by Microplastics in Aquatic Environments Under Controlled Conditions: Exposure Time, pH and Salinity. Int. J. Environ. Anal. Chem. 2020, 102, 1118–1125. [Google Scholar] [CrossRef]
- Guan, J.; Qi, K.; Wang, J.; Wang, W.; Wang, Z.; Lu, N.; Qu, J. Microplastics as an Emerging Anthropogenic Vector of Trace Metals in Freshwater: Significance of Biofilms and Comparison with Natural Substrates. Water Res. 2020, 184, 116205. [Google Scholar] [CrossRef]
- Turner, A.; Holmes, L.; Thompson, R.C.; Fisher, A.S. Metals and Marine Microplastics: Adsorption from the Environment Versus Addition During Manufacture, Exemplified with Lead. Water Res. 2020, 173, 115577. [Google Scholar] [CrossRef] [PubMed]
- Zou, J.; Liu, X.; Zhang, D.; Yuan, X. Adsorption of Three Bivalent Metals by Four Chemically Distinct Microplastics. Chemosphere 2020, 248, 126064. [Google Scholar] [CrossRef] [PubMed]
- Barus, B.S.; Chen, K.; Cai, M.; Li, R.; Chen, H.; Li, C.; Wang, J.; Cheng, S.Y. Heavy Metal Adsorption and Release on Polystyrene Particles at Various Salinities. Front. Mar. Sci. 2021, 8, 671802. [Google Scholar] [CrossRef]
- Gao, L.; Fu, D.; Zhao, J.; Wu, W.; Wang, Z.; Su, Y.; Peng, L. Microplastics Aged in Various Environmental Media Exhibited Strong Sorption to Heavy Metals in Seawater. Mar. Pollut. Bull. 2021, 169, 112480. [Google Scholar] [CrossRef]
- Hildebrandt, L.; Nack, F.L.; Zimmermann, T.; Profrock, D. Microplastics as a Trojan Horse for Trace Metals. J. Hazard. Mater. Lett. 2021, 2, 100035. [Google Scholar] [CrossRef]
- Fajković, H.; Cukrov, N.; Frančišković-Bilinski, S.; Huljek, L.; Kostanjšek, I.; Kwokal, Ž.; Matekalo, R.; Pikelj, K.; Cuculić, V. Correlation of Metals and Degraded Marine (Micro)Plastic Litter in Geologically Similar Coastal Areas with Different Anthropogenic Characteristics. Mar. Pollut. Bull. 2022, 183, 114041. [Google Scholar] [CrossRef]
- Liu, Q.; Wu, H.; Chen, J.; Guo, B.; Zhao, X.; Lin, H.; Li, W.; Zhao, X.; Lv, S.; Huang, C. Adsorption Mechanism of Trace Heavy Metals on Microplastics and Simulating Their Effect on Microalgae in River. Environ. Res. 2022, 214, 113777. [Google Scholar] [CrossRef]
- Sunda, W. Feedback Interactions Between Trace Metal Nutrients and Phytoplankton in the Ocean. Front. Microbiol. 2012, 3, 204. [Google Scholar] [CrossRef]
- Jensen, E.; Maberly, S.; Gontero, B. Insights on the Functions and Ecophysiological Relevance of the Diverse Carbonic Anhydrases in Microalgae. Int. J. Mol. Sci. 2020, 21, 2922. [Google Scholar] [CrossRef] [PubMed]
- Xu, Y.; Morel, F. Cadmium in Marine Phytoplankton. In Cadmium: From Toxicity to Essentiality, Metal Ions in Life Sciences; Sigel, A., Sigel, H., Sigel, R., Eds.; Springer: Dordrecht, The Netherlands, 2012; Volume 11. [Google Scholar] [CrossRef]
- Botté, A.; Seguin, C.; Nahrgang, J.; Zaidi, M.; Guery, J.; Leignel, V. Lead in the Marine Environment: Concentrations and Effects on Invertebrates. Ecotoxicology 2022, 31, 194–207. [Google Scholar] [CrossRef] [PubMed]
- European Union. Directive 2008/105/EC of the European Parliament and of the Council on Environmental Quality Standards in the Field of Water Policy. Off. J. Eur. Union 2008, 348, 84–97. [Google Scholar]
- Mason, R. Trace Metals in Aquatic Systems; Wiley-Blackwell: Hoboken, NJ, USA, 2013. [Google Scholar]
- Luís, L.; Ferreira, P.; Fonte, E.; Oliveira, M.; Guilhermino, L. Does the Presence of Microplastics Influence the Acute Toxicity of Chromium(VI) to Early Juveniles of the Common Goby (Pomatoschistus microps)? A Study with Juveniles from Two Wild Estuarine Populations. Aquat. Toxicol. 2015, 164, 163–174. [Google Scholar] [CrossRef]
- Cao, Y.; Zhao, M.; Ma, X.; Song, Y.; Zuo, S.; Li, H.; Deng, W. A Critical Review on the Interactions of Microplastics with Heavy Metals: Mechanism and Their Combined Effect on Organisms and Humans. Sci. Total Environ. 2021, 788, 147620. [Google Scholar] [CrossRef]
- Tien, C.J.; Chen, C.S. Patterns of Metal Accumulation by Natural River Biofilms During Their Growth and Seasonal Succession. Arch. Environ. Contam. Toxicol. 2013, 64, 605–616. [Google Scholar] [CrossRef]
- Tang, S.; Lin, L.; Wang, X.; Yu, A.; Sun, X. Interfacial Interactions Between Collected Nylon Microplastics and Three Divalent Metal Ions (Cu(II), Ni(II), Zn(II)) in Aqueous Solutions. J. Hazard. Mater. 2021, 403, 123548. [Google Scholar] [CrossRef]
- Yang, R.; van den Berg, C.M.G. Metal Complexation by Humic Substances in Seawater. Environ. Sci. Technol. 2009, 43, 7192–7197. [Google Scholar] [CrossRef]
- Whitby, H.; Planquette, H.; Cassar, N.; Bucciarelli, E.; Osburn, C.L.; Janssen, D.J.; Cullen, J.T.; González, A.G.; Völker, C.; Sarthou, G. A Call for Refining the Role of Humic-Like Substances in the Oceanic Iron Cycle. Sci. Rep. 2020, 10, 6144. [Google Scholar] [CrossRef]
- de Melo, B.A.G.; Motta, F.L.; Santana, M.H.A. Humic Acids: Structural Properties and Multiple Functionalities for Novel Technological Developments. Mater. Sci. Eng. C 2016, 62, 967–974. [Google Scholar] [CrossRef]
- Tipping, E. WHAM—A Chemical Equilibrium Model and Computer Code for Waters, Sediments, and Soils Incorporating a Discrete Site/Electrostatic Model of Ion-Binding by Humic Substances. Comput. Geosci. 1994, 20, 973–1023. [Google Scholar] [CrossRef]
- Harvey, G.R.; Boran, D.A. Geochemistry of Humic Substances in Seawater. In Humic Substances in Soil, Sediment and Water: Geochemistry, Isolation and Characterization; Aiken, G.R., McKnight, D.M., Wershaw, R.L., MacCarthy, P., Eds.; Wiley: New York, NY, USA, 1985; pp. 233–247. [Google Scholar]
- Chen, W.; Ouyang, Z.Y.; Qian, C.; Yu, H.Q. Induced Structural Changes of Humic Acid by Exposure of Polystyrene Microplastics: A Spectroscopic Insight. Environ. Pollut. 2018, 233, 1–7. [Google Scholar] [CrossRef] [PubMed]
- Zhang, J.; Zhan, S.; Zhong, L.B.; Wang, X.; Qiu, Z.; Zheng, Y.M. Adsorption of Typical Natural Organic Matter on Microplastics in Aqueous Solution: Kinetics, Isotherm, Influence Factors and Mechanism. J. Hazard. Mater. 2023, 443, 130130. [Google Scholar] [CrossRef] [PubMed]
- Li, X.; Mei, Q.; Chen, L.; Zhang, H.; Dong, B.; Dai, X.; He, C.; Zhou, J. Enhancement in Adsorption Potential of Microplastics in Sewage Sludge for Metal Pollutants After the Wastewater Treatment Process. Water Res. 2019, 157, 228–237. [Google Scholar] [CrossRef]
- Zhang, Y.; Yang, R.; Wang, S.; Si, X.; Duan, X.; Zhou, J. Influence of Humic Substances on the Toxic Effects of Cadmium and SDBS to the Green Alga Scenedesmus obliquus. Environ. Toxicol. Pharmacol. 2019, 68, 94–100. [Google Scholar] [CrossRef]
- Shi, Z.; Xu, H.; Wang, Z.; Du, H.; Fu, X. Effects of Co-Exposure to Copper and Humic Acids on Microalga Chlorella vulgaris: Growth Inhibition, Oxidative Stress, and Extracellular Secretion. Environ. Pollut. Bioavailab. 2021, 33, 415–424. [Google Scholar] [CrossRef]
- Tang, G.; Zheng, X.; Li, B.; Chen, S.; Zhang, B.; Hu, S.; Qiao, H.; Liu, T.; Wang, Q. Trace Metal Complexation with Dissolved Organic Matter Stresses Microbial Metabolisms and Triggers Community Shifts: The Intercorrelations. Environ. Pollut. 2022, 314, 120221. [Google Scholar] [CrossRef]
- Wang, F.; Wong, C.S.; Chen, D.; Lu, X.; Wang, F.; Zeng, E.Y. Interaction of Toxic Chemicals with Microplastics: A Critical Review. Water Res. 2018, 139, 208–219. [Google Scholar] [CrossRef]
- Wang, Q.; Zhang, Y.; Chen, H.; Chen, S.; Wang, Y. Effects of Humic Acids on the Adsorption of Pb(II) Ions Onto Biofilm-Developed Microplastics in Aqueous Ecosystems. Sci. Total Environ. 2023, 882, 163466. [Google Scholar] [CrossRef]
- Qiao, R.; Lu, K.; Deng, Y.; Ren, H.; Zhang, Y. Combined Effects of Polystyrene Microplastics and Natural Organic Matter on the Accumulation and Toxicity of Copper in Zebrafish. Sci. Total Environ. 2019, 682, 128–137. [Google Scholar] [CrossRef]
- Lu, X.; Zeng, F.; Wei, S.; Gao, R.; Abdurahman, A.; Wang, H.; Weiqian, L. Effects of Humic Acid on Pb2+ Adsorption Onto Polystyrene Microplastics from Spectroscopic Analysis and Site Energy Distribution Analysis. Sci. Rep. 2022, 12, 8932. [Google Scholar] [CrossRef] [PubMed]
- Guo, X.; Hu, G.; Fan, X.; Jia, H. Sorption Properties of Cadmium on Microplastics: The Common Practice Experiment and a Two-Dimensional Correlation Spectroscopic Study. Ecotoxicol. Environ. Saf. 2020, 190, 110118. [Google Scholar] [CrossRef] [PubMed]
- Ciglenečki, I.; Vilibić, I.; Dautović, J.; Vojvodić, V.; Ćosović, B.; Zemunik, P.; Dunić, N.; Mihanović, H. Dissolved Organic Carbon and Surface Active Substances in the Northern Adriatic Sea: Long-Term Trends, Variability and Drivers. Sci. Total Environ. 2020, 730, 139104. [Google Scholar] [CrossRef] [PubMed]
- Cuculić, V.; Cukrov, N.; Kwokal, Ž.; Mlakar, M. Natural and Anthropogenic Sources of Hg, Cd, Pb, Cu and Zn in Seawater and Sediment of Mljet National Park, Croatia. Estuar. Coast. Shelf Sci. 2009, 81, 311–320. [Google Scholar] [CrossRef]
- Cuculić, V.; Cukrov, N.; Kwokal, Ž.; Mlakar, M. Distribution of Trace Metals in Anchialine Caves of Adriatic Sea, Croatia. Estuar. Coast. Shelf Sci. 2011, 95, 253–263. [Google Scholar] [CrossRef]
- Omanović, D.; Branica, M. Automation of Voltammetric Measurements by Polarographic Analyser PAR 384B. Croat. Chem. Acta 1998, 71, 421–433. [Google Scholar]
- Gustafsson, J.P. Modeling the Acid–Base Properties and Metal Complexation of Humic Substances with the Stockholm Humic Model. J. Colloid Interface Sci. 2001, 244, 102–112. [Google Scholar] [CrossRef]
- Bronk, D.A.; Sipler, R.E. Dynamics of Dissolved Organic Nitrogen. In Biogeochemistry of Marine Dissolved Organic Matter; Hansell, D.A., Carlson, C.A., Eds.; Academic Press: London, UK, 2014; pp. 127–232. [Google Scholar]
- StatSoft. Statistica, Data Analysis Software System, Version 6; Informer Technologies, Inc.: Los Angeles, CA, USA, 2001.
- Reimann, C.; Filzmoser, P.; Garrett, R. Background and Threshold: Critical Comparison of Methods of Determination. Sci. Total Environ. 2005, 346, 1–16. [Google Scholar] [CrossRef]
- Tukey, J. Exploratory Data Analysis; Addison-Wesley: Reading, MA, USA, 1977. [Google Scholar]
- Chatterjee, S.; Simonoff, J.S. Handbook of Regression Analysis; Wiley: Hoboken, NJ, USA, 2012. [Google Scholar] [CrossRef]
- Rapljenović, A.; Kwokal, Ž.; Purgar, M.; Viskić, M.; Cuculić, V. Adsorption of Trace Metals onto Different Plastics During Long-Term Exposure in an Estuarine Environment: Influence of Time, Stratified Water Column, and Specific Surface Area. Mar. Chem. 2024, 265–266, 104431. [Google Scholar] [CrossRef]
- Mantoura, R.F.C. Organo-Metallic Interactions in Natural Waters. In Marine Organic Chemistry; Duursma, E.K., Dawson, R., Eds.; Elsevier: Amsterdam, The Netherlands, 1981; pp. 179–223. [Google Scholar]
- Engel, D.W.; Fowler, B.A. Factors Influencing Cadmium Accumulation and Its Toxicity to Marine Organisms. Environ. Health Perspect. 1979, 28, 81–88. [Google Scholar] [CrossRef]
- Wang, F.; Yang, W.; Cheng, P.; Zhang, S.; Zhang, S.; Jiao, W.; Sun, Y. Adsorption Characteristics of Cadmium Onto Microplastics from Aqueous Solutions. Chemosphere 2019, 235, 1073–1080. [Google Scholar] [CrossRef] [PubMed]
- Bruland, K.W. Complexation of Cadmium by Natural Organic Ligands in the Central North Pacific. Limnol. Oceanogr. 1992, 37, 1008–1017. [Google Scholar] [CrossRef]
- Kozelka, P.B.; Bruland, K. Chemical Speciation of Dissolved Cu, Zn, Cd, Pb in Narragansett Bay, Rhode Island. Mar. Chem. 1998, 60, 267–282. [Google Scholar] [CrossRef]
- Zhou, Y.; Yang, Y.; Liu, G.; He, G.; Liu, W. Adsorption Mechanism of Cadmium on Microplastics and Their Desorption Behavior in Sediment and Gut Environments: The Roles of Water pH, Lead Ions, Natural Organic Matter and Phenanthrene. Water Res. 2020, 184, 116209. [Google Scholar] [CrossRef] [PubMed]
- Shank, G.C.; Skrabal, S.A.; Whitehead, R.F.; Kieber, R.J. Strong Copper Complexation in an Organic-Rich Estuary: The Importance of Allochthonous Dissolved Organic Matter. Mar. Chem. 2004, 88, 21–39. [Google Scholar] [CrossRef]
- Whitby, H.; van den Berg, C.M.G. Evidence for Copper-Binding Humic Substances in Seawater. Mar. Chem. 2015, 173, 282–290. [Google Scholar] [CrossRef]
- Klučáková, M.; Kolajová, R. Dissociation Ability of Humic Acids: Spectroscopic Determination of pKa and Comparison with Multi-Step Mechanism. React. Funct. Polym. 2014, 78, 1–6. [Google Scholar] [CrossRef]
- Liu, S.; Shi, J.; Wang, J.; Dai, Y.; Li, H.; Li, J.; Liu, X.; Chen, X.; Wang, Z.; Zhang, P. Interactions Between Microplastics and Heavy Metals in Aquatic Environments: A Review. Front. Microbiol. 2021, 12, 652520. [Google Scholar] [CrossRef]
- Tipping, E. Humic Ion-Binding Model VI: An Improved Description of the Interaction of Protons and Metal Ions with Humic Substances. Aquat. Geochem. 1998, 4, 3–48. [Google Scholar] [CrossRef]
- Jian, M.; Niu, J.; Li, W.; Huang, Y.; Yu, H.; Lai, Z.; Liu, S.; Xu, E.G. How Do Microplastics Adsorb Metals? A Preliminary Study Under Simulated Wetland Conditions. Chemosphere 2022, 309, 136547. [Google Scholar] [CrossRef]
- Burba, P. Labile/Inert Metal Species in Aquatic Humic Substances: An Ion-Exchange Study. Fresenius J. Anal. Chem. 1994, 348, 301–311. [Google Scholar] [CrossRef]
- Rocha, J.C.; Toscano, I.A.S.; Cardoso, A.A. Relative Lability of Trace Metals Complexed in Aquatic Humic Substances Using Ion-Exchanger Cellulose-Hyphan. J. Braz. Chem. Soc. 1997, 8, 239–243. [Google Scholar] [CrossRef]
- Rate, A.W.; McLaren, R.G.; Swift, R.S. Response of Copper(II)–Humic Acid Dissociation Kinetics to Factors Influencing Complex Stability and Macromolecular Conformation. Environ. Sci. Technol. 1993, 27, 1408–1414. [Google Scholar] [CrossRef]
- Chakrabarti, C.L.; Lu, Y.; Grégoire, D.C.; Back, M.H.; Schroeder, W.H. Kinetic Studies of Metal Speciation Using Chelex Cation Exchange Resin: Application to Cadmium, Copper, and Lead Speciation in River Water and Snow. Environ. Sci. Technol. 1994, 28, 1957–1967. [Google Scholar] [CrossRef]
- Bonifazi, M.; Pant, B.C.; Langford, C.H. Kinetic Study of the Speciation of Copper(II) Bound to Humic Acid. Environ. Technol. 1996, 17, 885–890. [Google Scholar] [CrossRef][Green Version]
- Davranche, M.; Veclin, C.; Pierson-Wickmann, A.C.; El Hadri, H.; Grassl, B.; Rowenczyk, L.; Dia, A.; Ter Halle, A.; Blancho, F.; Reynaud, S.; et al. Are Nanoplastics Able to Bind Significant Amount of Metals? The Lead Example. Environ. Pollut. 2019, 249, 940–948. [Google Scholar] [CrossRef]
- Donat, J.R.; Dryden, C. Transition Metals and Heavy Metal Speciation. In Marine Chemistry Geochemistry A Derivative of the Encyclopedia of Ocean Sciences; Steele, J.H., Turekian, K.K., Thorpe, S.A., Eds.; Academic Press: Cambridge, UK, 2009; pp. 72–80. [Google Scholar]
- Fu, Q.; Hu, B.; Zhou, X.; Hu, Q.; Sheng, J. Impact of Key Geochemical Parameters on the Attenuation of Pb(II) from Water Using a Novel Magnetic Nanocomposite: Fulvic Acid-Coated Magnetite Nanoparticles. Desalin. Water Treat. 2016, 57, 26063–26072. [Google Scholar] [CrossRef]
- Gunatilake, S.K. Methods of Removing Heavy Metals from Industrial Waste Water. J. Multidiscip. Eng. Sci. Stud. 2015, 1, 13–18. [Google Scholar]
- Karimi, H. Effect of pH and Initial Pb(II) Concentration on the Lead Removal Efficiency from Industrial Wastewater Using Ca(OH)2. Int. J. Water Wastewater Treat. 2017, 3. [Google Scholar] [CrossRef]
- Marx, G.; Heumann, K. Mass Spectrometric Investigations of the Kinetic Stability of Chromium and Copper Complexes with Humic Substances by Isotope-Labelling Experiments. Fresenius J. Anal. Chem. 1999, 364, 489–494. [Google Scholar] [CrossRef]
- Lu, K.; Qiao, R.; An, H.; Zhang, Y. Influence of Microplastics on the Accumulation and Chronic Toxic Effects of Cadmium in Zebrafish (Danio rerio). Chemosphere 2018, 202, 514–520. [Google Scholar] [CrossRef] [PubMed]
- Wen, B.; Jin, S.R.; Chen, Z.Z.; Gao, J.Z.; Liu, Y.N.; Liu, J.H.; Feng, X.S. Single and Combined Effects of Microplastics and Cadmium on the Cadmium Accumulation, Antioxidant Defense, and Innate Immunity of the Discus Fish (Symphysodon aequifasciatus). Environ. Pollut. 2018, 243, 462–471. [Google Scholar] [CrossRef] [PubMed]
- Zuo, Z.; Wang, Q.; Zhang, C.; Zou, J. Single and Combined Effects of Microplastics and Cadmium on Juvenile Grass Carp (Ctenopharyngodon idellus). Comp. Biochem. Physiol. C Toxicol. Pharmacol. 2022, 261, 109424. [Google Scholar] [CrossRef] [PubMed]
- Jinhui, S.; Sudong, X.; Yan, N.; Xia, P.; Jiahao, Q.; Yongjian, X. Effects of Microplastics and Attached Heavy Metals on Growth, Immunity, and Heavy Metal Accumulation in the Yellow Seahorse, Hippocampus kuda Bleeker. Mar. Pollut. Bull. 2019, 149, 110510. [Google Scholar] [CrossRef]




| Sample | γ (HA), mg/L | pH | Salinity, ‰ |
|---|---|---|---|
| Seawater (Ploče), before pellets experiment | - | 8.0 | 39 |
| Seawater (Ploče), at the end of pellets experiment | |||
| Blank | 0 | 7.6–7.9 | 39 |
| I | 0.1 | ||
| II | 1 | ||
| III | 5 | ||
| Seawater (Medveja Bay), before fiber experiment | - | 8.1 | 36 |
| Seawater (Medveja Bay), at the end of fiber experiment | |||
| Blank | 0 | 7.7–7.9 | 36 |
| I | 0.1 | ||
| II | 1 | ||
| III | 5 | ||
| conc. HATOT/mg/L | 0 | 0.1 | 1 | 5 | |
|---|---|---|---|---|---|
| TM | % TM Species of Dissolved Metal Concentration | TM Species | |||
| Co | 75.30 | 75.28 | 75.14 | 74.44 | Co+2 |
| 5.04 | 5.04 | 5.03 | 4.99 | CoCl+ | |
| 15.42 | 15.42 | 15.39 | 15.25 | CoSO4 (aq) | |
| 2.62 | 2.62 | 2.61 | 2.59 | CoHCO3+ | |
| - | 0.02 | 0.22 | 1.13 | Co-HA | |
| Cd | 3.44 | 3.43 | 3.41 | 3.32 | Cd+2 |
| 49.18 | 49.15 | 48.87 | 47.51 | CdCl+ | |
| 46.28 | 46.25 | 45.99 | 44.71 | CdCl2 (aq) | |
| - | 0.06 | 0.64 | 3.41 | Cd-HA | |
| Cu | 13.49 | 11.86 | 2.93 | 0.04 | Cu+2 |
| 9.19 | 8.08 | 1.99 | 0.03 | CuOH+ | |
| 3.90 | 3.43 | 0.85 | 0.01 | CuCl+ | |
| 3.13 | 2.75 | 0.68 | 0.01 | CuSO4 (aq) | |
| 67.11 | 59.03 | 14.56 | 0.22 | CuCO3 (aq) | |
| - | 12.05 | 78.30 | 99.68 | Cu-HA | |
| Ni | 74.04 | 73.99 | 73.51 | 71.28 | Ni+2 |
| 4.12 | 4.12 | 4.09 | 3.97 | NiCl+ | |
| 15.20 | 15.19 | 15.09 | 14.63 | NiSO4 (aq) | |
| 2.32 | 2.32 | 2.31 | 2.24 | NiCO3 (aq) | |
| 4.08 | 4.08 | 4.05 | 3.93 | NiHCO3+ | |
| - | 0.07 | 0.72 | 3.72 | Ni-HA | |
| Pb | 6.76 | 6.65 | 5.75 | 3.14 | Pb+2 |
| 3.91 | 3.85 | 3.32 | 1.81 | PbOH+ | |
| 35.45 | 34.90 | 30.15 | 16.46 | PbCl+ | |
| 17.44 | 17.17 | 14.84 | 8.10 | PbCl2 (aq) | |
| 7.77 | 7.65 | 6.61 | 3.61 | PbCl3− | |
| 2.47 | 2.43 | 2.10 | 1.15 | PbCl4−2 | |
| 3.51 | 3.46 | 2.99 | 1.63 | PbSO4 (aq) | |
| 19.34 | 19.04 | 16.45 | 8.98 | PbCO3 (aq) | |
| 2.41 | 2.37 | 2.05 | 1.12 | PbHCO3+ | |
| - | 1.56 | 14.95 | 53.58 | Pb-HA | |
| Zn | 51.98 | 51.55 | 47.58 | 30.78 | Zn+2 |
| 22.06 | 21.88 | 20.19 | 13.06 | ZnCl+ | |
| 4.18 | 4.15 | 3.83 | 2.48 | ZnCl2 (aq) | |
| 11.67 | 11.58 | 10.68 | 6.91 | ZnSO4 (aq) | |
| 2.53 | 2.51 | 2.31 | 1.50 | ZnCO3 (aq) | |
| - | 0.81 | 8.47 | 40.77 | Zn-HA | |
Disclaimer/Publisher’s Note: The statements, opinions and data contained in all publications are solely those of the individual author(s) and contributor(s) and not of MDPI and/or the editor(s). MDPI and/or the editor(s) disclaim responsibility for any injury to people or property resulting from any ideas, methods, instructions or products referred to in the content. |
© 2024 by the authors. Licensee MDPI, Basel, Switzerland. This article is an open access article distributed under the terms and conditions of the Creative Commons Attribution (CC BY) license (https://creativecommons.org/licenses/by/4.0/).
Share and Cite
Rapljenović, A.; Viskić, M.; Frančišković-Bilinski, S.; Cuculić, V. Influence of Organic Matter and Speciation on the Dynamics of Trace Metal Adsorption on Microplastics in Marine Conditions. Toxics 2024, 12, 820. https://doi.org/10.3390/toxics12110820
Rapljenović A, Viskić M, Frančišković-Bilinski S, Cuculić V. Influence of Organic Matter and Speciation on the Dynamics of Trace Metal Adsorption on Microplastics in Marine Conditions. Toxics. 2024; 12(11):820. https://doi.org/10.3390/toxics12110820
Chicago/Turabian StyleRapljenović, Ana, Marko Viskić, Stanislav Frančišković-Bilinski, and Vlado Cuculić. 2024. "Influence of Organic Matter and Speciation on the Dynamics of Trace Metal Adsorption on Microplastics in Marine Conditions" Toxics 12, no. 11: 820. https://doi.org/10.3390/toxics12110820
APA StyleRapljenović, A., Viskić, M., Frančišković-Bilinski, S., & Cuculić, V. (2024). Influence of Organic Matter and Speciation on the Dynamics of Trace Metal Adsorption on Microplastics in Marine Conditions. Toxics, 12(11), 820. https://doi.org/10.3390/toxics12110820

