Biodegradation of the Antiretroviral Tenofovir Disoproxil by a Cyanobacteria/Bacterial Culture
Abstract
1. Introduction
2. Materials and Methods
2.1. Reagents and Chemicals
2.2. Microcystis novacekii Culture
2.3. Microcystis novacekii Culture Medium
2.4. TDF Biodegradation by M. novacekii
2.5. Extraction of TDF and Its Metabolites from Culture Medium
2.6. HPLC/Q-TOF-MS HPLC Analysis
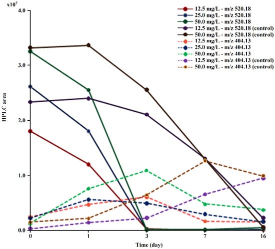
3. Results and Discussion
4. Conclusions
Author Contributions
Funding
Institutional Review Board Statement
Informed Consent Statement
Data Availability Statement
Acknowledgments
Conflicts of Interest
References
- Ortúzar, M.; Esterhuizen, M.; Olicón-Hernández, D.R.; González-López, J.J.; Ballesteros, E.A. Pharmaceutical Pollution in Aquatic Environments: A Concise Review of Environmental Impacts and Bioremediation Systems. Front. Microbiol. 2022, 26, 869332. [Google Scholar] [CrossRef] [PubMed]
- Mojiri, A.; Zhou, J.L.; Ratnaweera, H.; Rezania, S.; Nazari, M. Pharmaceuticals and personal care products in aquatic environments and their removal by algae-based systems. Chemosphere 2022, 288, 132580. [Google Scholar] [CrossRef]
- Wilkinson, J.L.; Boxall, A.B.A.; Kolpin, D.W.; Leung, K.M.; Lai, R.W.; Galbán-Malagón, C.; Teta, C. Pharmaceutical pollution of the world’s rivers. Proc. Natl. Acad. Sci. USA 2022, 19, e2113947119. [Google Scholar] [CrossRef]
- Agunbiade, F.O.; Moodley, B. Occurrence and distribution pattern of acidic pharmaceuticals in surface water, wastewater, and sediment of the Msunduzi River, Kwazulu-Natal, South Africa. Environ. Toxicol. Chem. 2016, 35, 36–46. [Google Scholar] [CrossRef]
- Rzymski, P.; Drewek, A.; Klimaszyk, P. Pharmaceutical pollution of aquatic environment: An emerging and enormous challenge. Limnol. Rev. 2017, 17, 97–107. [Google Scholar] [CrossRef]
- Mahmood, A.R.; Al-Haideri, H.H.; Hassan, F.M. Detection of Antibiotics in Drinking Water Treatment Plants in Baghdad City, Iraq. Adv. Public Health 2019, 2019, 7851354. [Google Scholar] [CrossRef]
- United Nations Programme on HIV/AIDS. Confronting Inequalities: Lessons for Pandemic Responses from 40 Years of AIDS; Report No.: UNAIDS/JC3020E. Global AIDS Update; Joint United Nations Programme on HIV/AIDS (UNAIDS): Geneva, Switzerland, 2021. [Google Scholar]
- Wood, T.P.; Duvenage, C.S.J.; Rohwer, E. The occurrence of anti-retroviral compounds used for HIV treatment in South African surface water. Environ. Pollut. 2015, 199, 235–243. [Google Scholar] [CrossRef]
- K’oreje, K.O.; Vergeynst, L.; Ombaka, D.; De Wispelaere, P.; Okoth, M.; Van Langenhove, H.; Demeestere, K. Occurrence patterns of pharmaceutical residues in wastewater, surface water and groundwater of Nairobi and Kisumu city, Kenya. Chemosphere 2016, 149, 238–244. [Google Scholar] [CrossRef]
- Bottoni, P.; Caroli, S. Presence of residues and metabolites of pharmaceuticals in environmental compartments, food commodities and workplaces: A review spanning the three-year period 2014–2016. Microchem. J. 2018, 136, 2–24. [Google Scholar] [CrossRef]
- Fekadu, S.; Alemayehu, E.; Dewil, R.; Van Der Bruggen, B. Pharmaceuticals in freshwater aquatic environments: A comparison of the African and European challenge. Sci. Total Environ. 2019, 654, 324–337. [Google Scholar] [CrossRef]
- Kearney, B.P.; Flaherty, J.F.; Shah, J. Tenofovir disoproxil fumarate: Clinical pharmacology and pharmacokinetics. Clin. Pharmacokinet. 2004, 43, 595–612. [Google Scholar] [CrossRef]
- Fung, H.B.; Stone, E.A.; Piacenti, F.J. Tenofovir disoproxil fumarate: A nucleotide reverse transcriptase inhibitor for the treatment of HIV infection. Clin. Ther. 2002, 24, 1515–1548. [Google Scholar] [CrossRef] [PubMed]
- Leite, D.I.; Faria, J.V.; De Azevedo, L.D.; Figueiredo, Y.V.; Martins, W.A.; Maria Da Conceição, A.D.; Boechat, N. Tenofovir: Relação estrutura-atividade e métodos de síntese. Rev. Virtual Quím. 2015, 7, 2347–2376. [Google Scholar] [CrossRef]
- Agrahari, V.; Putty, S.; Mathes, C.; Murowchick, J.B.; Youan, B.B.C. Evaluation of degradation kinetics and physicochemical stability of tenofovir. Drug Test. Anal. 2015, 7, 207–213. [Google Scholar] [CrossRef] [PubMed]
- Chan, S.S.; Khoo, K.S.; Chew, K.W.; Ling, T.C.; Show, P.L. Recent advances biodegradation and biosorption of organic compounds from wastewater: Microalgae-bacteria consortium—A review. Bioresour. Technol. 2022, 344, 126159. [Google Scholar] [CrossRef]
- Gonçalves, A.L.; Pires, J.C.; Simões, M. A review on the use of microalgal consortia for wastewater treatment. Algal Res. 2017, 24, 403–415. [Google Scholar] [CrossRef]
- Touliabah, H.E.S.; El-Sheekh, M.M.; Ismail, M.M.; El-Kassas, H. A review of Microalgae- and Cyanobacteria-based biodegradation of organic pollutants. Molecules 2022, 27, 1141. [Google Scholar] [CrossRef]
- Abinandan, S.; Shanthakumar, S. Challenges and opportunities in application of microalgae (Chlorophyta) for wastewater treatment: A review. Renew. Sustain. Energy Rev. 2015, 52, 123–132. [Google Scholar] [CrossRef]
- Tolboom, S.N.; Carrillo-Nieves, D.; Rostro-Alanis, M.J.; Quiroz, R.C.; Barceló, D.; Iqbal, H.M.; Parra-Saldivar, R. Algal-based removal strategies for hazardous contaminants from the environment—A review. Sci. Total Environ. 2019, 665, 358–366. [Google Scholar] [CrossRef]
- Xiao, M.; Li, M.; Reynolds, C.S. Colony formation in the cyanobacterium Microcystis. Biol. Rev. 2018, 93, 1399–1420. [Google Scholar] [CrossRef]
- Zeng, J.; Yang, L.; Wang, W.X. Acclimation to and recovery from cadmium and zinc exposure by a freshwater cyanobacterium, Microcystis aeruginosa. Aquat. Toxicol. 2009, 93, 1–10. [Google Scholar] [CrossRef] [PubMed]
- Bicudo, C.E.; Menezes, M. Gêneros de Algas de Águas Continentais do Brasil. Chave para Identificação e Descrições, 2nd ed.; Rima: São Paulo, Brazil, 2006. [Google Scholar]
- Fioravante, I.A.; Albergaria, B.; Teodoro, T.S.; Magalhães, S.M.S.; Barbosa, F.; Augusti, R. Removal of 17α-ethinylestradiol from a sterile WC medium by the cyanobacteria Microcystis novacekii. J. Environ. Monit. 2012, 14, 2362–2366. [Google Scholar] [CrossRef]
- Campos, M.M.C.; Faria, V.H.F.; Teodoro, T.S.; Barbosa, F.A.R.; Magalhães, S.M.S. Evaluation of the capacity of the cyanobacterium Microcystis novacekii to remove atrazine from a culture medium. J. Environ. Sci. Health Part B 2013, 48, 101–107. [Google Scholar] [CrossRef]
- Lutzu, G.A.; Dunford, N.T. Interactions of microalgae and other microorganisms for enhanced production of high-value compounds. Front. Biosci. 2018, 23, 1487–1504. [Google Scholar] [CrossRef]
- Zheng, Q.; Wang, Y.; Xie, R.; Lang, A.S.; Liu, Y.; Lu, J.; Zhang, X.; Sun, J.; Suttle, C.A.; Jiao, N. Dynamics of heterotrophic bacterial assemblages within Synechococcus cultures. Appl. Environ. Microbiol. 2018, 84, e01517-17. [Google Scholar] [CrossRef]
- Ye, T.; Zhao, Z.; Bai, L.; Song, N.; Jiang, H. Characteristics and bacterial community dynamics during extracellular polymeric substance (EPS) degradation of cyanobacterial blooms. Sci. Total Environ. 2020, 748, 142309. [Google Scholar] [CrossRef] [PubMed]
- Silva, S.B.; Pádua, R.M.; Barbosa, F.A.R.; Silva, M.A.N.; Azevedo, F.R.; Magalhães, S.M.S. Phytoplankton Cultures for Tannin Biodegradation. Water Air Soil Pollut. 2019, 230, 170. [Google Scholar] [CrossRef]
- Guillard, R.R.L.; Lorenzen, C.J. Yellow-green algae with chlorophyllide C1,2. J. Phycol. 1972, 8, 10–14. [Google Scholar]
- Andersen, R.A.; Berges, J.A.; Harrisons, P.J. Appendix A, Recipes for freshwater and seawater media. In Algal Culturing Techniques; Elsevier: Burlington, NJ, USA, 2005; pp. 429–474. [Google Scholar]
- Carmichael, W.W.; Gorham, P.R. An Improved Method for Obtaining Axenic Clones of Planktonic Blue-Green Algae. J. Phycol. 1974, 10, 238–240. [Google Scholar]
- Ma, J.; Lin, F.; Qin, W.; Wang, P. Differential response of four cyanobacterial and green algal species to triazophos, fentin acetate, and ethephon. Bull. Environ. Contam. Toxicol. 2004, 73, 890–897. [Google Scholar] [CrossRef]
- Organization for Economic Co-Operation and Development—OECD. Principles and Strategies Related to the Testing of Degradation of Organic Chemicals. Part 1; OECD: Paris, France, 2003. [Google Scholar]
- Kurmi, M.; Golla, V.M.; Kumar, S.; Sahu, A.; Singh, S. Stability behaviour of antiretroviral drugs and their combinations. 1: Characterization of tenofovir disoproxil fumarate degradation products by mass spectrometry. RSC Adv. 2015, 5, 96117–96129. [Google Scholar] [CrossRef]
- World Health Organization. Consultation Documents: The International Pharmacopoeia; WHO Drug Information: Geneva, Switzerland, 2019. [Google Scholar]
- Silva, J.P.A. Estudo de Estabilidade do Antirretroviral Tenofovir: Uma Abordagem Integrada para o Desenvolvimento de Medicamento. Master’s Thesis, Universidade Federal de Pernambuco, Recife, Brazil, 2014. [Google Scholar]
- Marsac, N.; Houmard, J. Adaptation of cyanobacteria to environmental stimuli: New steps towards molecular mechanisms. FEMS Microbiol. Lett. 1993, 10, 119–189. [Google Scholar] [CrossRef]
- Żyszka-Haberecht, B.; Niemczyk, E.; Lipok, J. Metabolic relation of cyanobacteria to aromatic compounds. Appl. Microbiol. Biotechnol. 2019, 103, 1167–1178. [Google Scholar] [CrossRef] [PubMed]
- Silva, S.R.; Barbosa, F.A.R.; Mol, M.P.G.; Magalhães, S.M.S. Toxicity for Aquatic Organisms of Antiretroviral Tenofovir Disoproxil. J. Environ. Prot. 2019, 10, 1565. [Google Scholar] [CrossRef]
- Igeño, M.I.; Becerra, G.; Guijo, M.I.; Merchán, F.; Blasco, R. Metabolic adaptation of Pseudomonas pseudoalcaligenes CECT5344 to cyanide: Role of malate–quinone oxidoreductases, aconitase and fumarase isoenzymes. Biochem. Soc. Trans. 2011, 39, 1849–1853. [Google Scholar] [CrossRef]
- Wallace, P.W.; Haernvall, K.; Ribitsch, D.; Zitzenbacher, S.; Schittmayer, M.; Steinkellner, G.; Birner-Gruenberger, R. PpEst is a novel PBAT degrading polyesterase identified by proteomic screening of Pseudomonas pseudoalcaligenes. Appl. Microbiol. Biotechnol. 2017, 101, 2291–2303. [Google Scholar] [CrossRef]
- Safari, M.; Yakhchali, B. Comprehensive genomic analysis of an indigenous Pseudomonas pseudoalcaligenes degrading phenolic compounds. Sci. Rep. 2019, 9, 12736. [Google Scholar] [CrossRef]
- Wang, Y.; Ho, S.H.; Cheng, C.L.; Guo, W.Q.; Nagarajan, D.; Ren, N.Q.; Lee, D.J.; Chang, J.S. Perspectives on the feasibility of using microalgae for industrial wastewater treatment. Bioresour. Technol. 2016, 222, 485–497. [Google Scholar] [CrossRef]
- Maza-Márquez, P.; González-Martínez, A.; Martínez-Toledo, M.V.; Fenice, M.; Lasserrot, A.; González-López, J. Biotreatment of industrial olive washing water by synergetic association of microalgal-bacterial consortia in a photobioreactor. Environ. Sci. Pollut. Res. 2017, 24, 527–538. [Google Scholar] [CrossRef]
- Rodrigues, D.A.S.; Da Cunha, C.C.R.F.; Freitas, M.G.; De Barros, A.L.C.; e Castro, P.B.N.; Pereira, A.R.; Silva, S.Q.; Santiago, A.F.; Afonso, R.J.D.C.F. Biodegradation of Sulfamethoxazole by microalgae-bacteria consortium in wastewater treatment plant effluents. Sci. Total Environ. 2020, 749, 141441. [Google Scholar] [CrossRef]
- Wang, Y.; He, Y.; Li, X.; Nagarajan, D.; Chang, J.S. Enhanced biodegradation of chlortetracycline via a microalgae-bacteria consortium. Bioresour. Technol. 2022, 343, 126149. [Google Scholar] [CrossRef]
- Wiśniewska, K.; Śliwińska-Wilczewska, S.; Lewandowska, A.; Konik, M. The effect of abiotic factors on abundance and photosynthetic performance of airborne cyanobacteria and microalgae isolated from the southern Baltic Sea region. Cells 2021, 10, 103. [Google Scholar] [CrossRef]
- Pugnetti, A.; Armeni, M.; Camatti, E.; Crevatin, E.; Dell’anno, A.; Del Negro, P.; Danovaro, R. Imbalance between phytoplankton production and bacterial carbon demand in relation to mucilage formation in the Northern Adriatic Sea. Sci. Total Environ. 2005, 353, 162–177. [Google Scholar] [CrossRef]
- Leppard, G.G. The characterization of algal and microbial mucilages and their aggregates in aquatic ecosystems. Sci. Total Environ. 1995, 165, 103–131. [Google Scholar] [CrossRef]
- Shen, H.; Niu, Y.; Xie, P.; Tao, M.I.N.; Yang, X.I. Morphological and physiological changes in Microcystis aeruginosa as a result of interactions with heterotrophic bacteria. Freshw. Biol. 2011, 56, 1065–1080. [Google Scholar] [CrossRef]
- Omar, H.H. Algal decolorization and degradation of monoazo and diazo dyes. Pak. J. Biol. Sci. 2008, 11, 1310–1316. [Google Scholar] [CrossRef]
- El-Sheekh, M.M.; Abou-El-Souod, G.; El-Asrag, H. Biodegradation of some dyes by the green Alga Chlorella vulgaris and the Cyanobacterium Aphanocapsa elachista. Egypt. J. Bot. 2018, 58, 311–320. [Google Scholar] [CrossRef]
- Kumar, R.; Ghosh, A.K.; Pal, P. Synergy of biofuel production with waste remediation along with value-added co-products recovery through microalgae cultivation: A review of membrane-integrated green approach. Sci. Total Environ. 2020, 698, 134169. [Google Scholar] [CrossRef]
- Panda, T.; Gowrishankar, B.S. Production and applications of esterases. Appl. Microbiol. Biotechnol. 2005, 67, 160–169. [Google Scholar] [CrossRef]
- Khan, M.I.; Shin, J.H.; Kim, J.D. The promising future of microalgae: Current status, challenges, and optimization of a sustainable and renewable industry for biofuels, feed, and other products. Microb. Cell Fact. 2018, 17, 36. [Google Scholar] [CrossRef]
- Ren, L.; Wang, P.; Wang, C.; Chen, J.; Hou, J.; Qian, J. Algal growth and utilization of phosphorus studied by combined mono-culture and co-culture experiments. Environ. Pollut. 2017, 22, 274–285. [Google Scholar] [CrossRef]
- Bilal, M.; Rasheed, T.; Sosa-Hernandez, J.E.; Raza, A.; Nabeel, F.; Iqbal, H.M.N. Biosorption: An Interplay between Marine Algae and Potentially Toxic Elements—A Review. Mar. Drugs 2018, 16, 65. [Google Scholar] [CrossRef]
- Chekroun, K.B.; Sánchez, E.; Baghour, M. The role of algae in bioremediation of organic pollutants. Int. Res. J. Public Environ. Health 2014, 1, 19–32. [Google Scholar]
- Kuritz, T.; Wolk, C.P. Use of Filamentous Cyanobacteria for Biodegradation of Organic Pollutants. Appl. Environ. Microbiol. 1995, 61, 234–238. [Google Scholar] [CrossRef]
- Govind, R.; Gao, G.; Lai, L.; Tabak, H.H. Continuous automated and simultaneous measurement of oxygen uptake and carbon dioxide evolution in biological systems. Water Environ. Res. 1997, 69, 73–80. [Google Scholar] [CrossRef]
- Strotmann, U.; Thouand, G.; Pagga, U.; Gartiser, S.; Heipieper, H.J. Toward the future of OECD/ISO biodegradability testing-new approaches and developments. Appl. Microbiol. Biotechnol. 2023, 107, 2073–2095. [Google Scholar] [CrossRef]
- Strotmann, U.; Durand, M.J.; Thouand, G.; Eberlein, C.; Heipieper, H.J.; Gartiser, S.; Pagga, U. Microbiological toxicity tests using standardized ISO/OECD methods—Current state and outlook. Appl. Microbiol. Biotechnol. 2024, 108, 454. [Google Scholar] [CrossRef]
- Strotmann, U.J.; Schwarz, H.; Pagga, U. The combined CO2/DOC test—A new method to determine the biodegradability of organic compounds. Chemosphere 1995, 30, 525–538. [Google Scholar] [CrossRef]
- Brooks, K.M.; Ibrahim, M.E.; Castillo-Mancilla, J.R.; MaWhinney, S.; Alexander, K.; Tilden, S.; Kerr, B.J.; Ellison, L.; McHugh, C.; Bushman, L.R.; et al. Pharmacokinetics of tenofovir monoester and association with intracellular tenofovir diphosphate following single-dose tenofovir disoproxil fumarate. J. Antimicrob. Chemother. 2019, 74, 2352–2359. [Google Scholar] [CrossRef]




Disclaimer/Publisher’s Note: The statements, opinions and data contained in all publications are solely those of the individual author(s) and contributor(s) and not of MDPI and/or the editor(s). MDPI and/or the editor(s) disclaim responsibility for any injury to people or property resulting from any ideas, methods, instructions or products referred to in the content. |
© 2024 by the authors. Licensee MDPI, Basel, Switzerland. This article is an open access article distributed under the terms and conditions of the Creative Commons Attribution (CC BY) license (https://creativecommons.org/licenses/by/4.0/).
Share and Cite
Silva, S.R.; Souza-Silva, G.; Moreira, C.P.d.S.; Vasconcelos, O.M.d.S.R.; Silveira, M.R.; Barbosa, F.A.R.; Magalhães, S.M.S.; Mol, M.P.G. Biodegradation of the Antiretroviral Tenofovir Disoproxil by a Cyanobacteria/Bacterial Culture. Toxics 2024, 12, 729. https://doi.org/10.3390/toxics12100729
Silva SR, Souza-Silva G, Moreira CPdS, Vasconcelos OMdSR, Silveira MR, Barbosa FAR, Magalhães SMS, Mol MPG. Biodegradation of the Antiretroviral Tenofovir Disoproxil by a Cyanobacteria/Bacterial Culture. Toxics. 2024; 12(10):729. https://doi.org/10.3390/toxics12100729
Chicago/Turabian StyleSilva, Sandra Regina, Gabriel Souza-Silva, Carolina Paula de Souza Moreira, Olívia Maria de Sousa Ribeiro Vasconcelos, Micheline Rosa Silveira, Francisco Antonio Rodrigues Barbosa, Sergia Maria Starling Magalhães, and Marcos Paulo Gomes Mol. 2024. "Biodegradation of the Antiretroviral Tenofovir Disoproxil by a Cyanobacteria/Bacterial Culture" Toxics 12, no. 10: 729. https://doi.org/10.3390/toxics12100729
APA StyleSilva, S. R., Souza-Silva, G., Moreira, C. P. d. S., Vasconcelos, O. M. d. S. R., Silveira, M. R., Barbosa, F. A. R., Magalhães, S. M. S., & Mol, M. P. G. (2024). Biodegradation of the Antiretroviral Tenofovir Disoproxil by a Cyanobacteria/Bacterial Culture. Toxics, 12(10), 729. https://doi.org/10.3390/toxics12100729

