Abstract
Per- and Polyfluoroalkyl Substances (PFAS) bioaccumulate in the human body, presenting potential health risks and cellular toxicity. Their transport mechanisms and interactions with tissues and the circulatory system require further investigation. This study investigates the interaction mechanisms of six PFAS with Human Serum Albumin (HSA) using multi-spectroscopy, DFT and a molecular dynamics approach. Multi-spectral analysis shows that perfluorononanoic acid (PFNA) has the best binding capabilities with HSA. The order of binding constants (298 K) is as follows: “Perfluorononanoic Acid (PFNA, 7.81 × 106 L·mol−1) > Perfluoro-2,5-dimethyl-3,6-dioxanonanoic Acid (HFPO-TA, 3.70 × 106 L·mol−1) > Perfluorooctanoic Acid (PFOA, 2.27 × 105 L·mol−1) > Perfluoro-3,6,9-trioxadecanoic Acid (PFO3DA, 1.59 × 105 L·mol−1) > Perfluoroheptanoic Acid (PFHpA, 4.53 × 103 L·mol−1) > Dodecafluorosuberic Acid (DFSA, 1.52 × 103 L·mol−1)”. Thermodynamic analysis suggests that PFNA and PFO3DA’s interactions with HSA are exothermic, driven primarily by hydrogen bonds or van der Waals interactions. PFHpA, DFSA, PFOA, and HFPO-TA’s interactions with HSA, on the other hand, are endothermic processes primarily driven by hydrophobic interactions. Competitive probe results show that the main HSA–PFAS binding site is in the HSA structure’s subdomain IIA. These findings are also consistent with the findings of molecular docking. Molecular dynamics simulation (MD) analysis further shows that the lowest binding energy (−38.83 kcal/mol) is fund in the HSA–PFNA complex, indicating that PFNA binds more readily with HSA. Energy decomposition analysis also indicates that van der Waals and electrostatic interactions are the main forces for the HSA–PFAS complexes. Correlation analysis reveals that DFT quantum chemical descriptors related to electrostatic distribution and characteristics like ESP and ALIE are more representative in characterizing HSA–PFAS binding. This study sheds light on the interactions between HSA and PFAS. It guides health risk assessments and control strategies against PFAS, serving as a critical starting point for further public health research.
1. Introduction
Per- and Polyfluoroalkyl Substances (PFAS) are a class of compounds composed of fluorinated carbon chains with one or more functional groups [1,2]. These compounds have strong carbon–fluorine bonds, which provide high chemical stability and bio-accumulation potential, as well as an ultra-low surface energy [3,4]. Therefore, PFAS are widely used in industrial and commercial applications, including the production of firefighting foam, non-stick, and stain-resistant materials [5,6]. PFAS have a high hydrophobicity and acidity, allowing for them to persist in the environment for a long time while resisting biodegradation, photolysis and hydrolysis. This property of PFAS increases the possibility of bioaccumulation in the food chain and facilitates long-distance transport via air or water [5]. Currently, PFAS concentrations, ranging from 1 ppt to 1000 ppt, have been detected in a variety of environmental samples in water around the world [7]. According to a global study, the concentration of PFAS in China ranges from 20 to 300 ppt, while concentrations in the United States, the United Kingdom, and Germany range between 16 and 75 ppt in wastewater, surface water, groundwater, and drinking water [8,9].
Perfluorooctanoic Acid (PFOA) and Perfluorooctanesulfonic acid (PFOS) were the most extensively used PFAS and are now restricted. These two compounds have attracted widespread attention due to their frequent detection in environmental samples and the human body. Numerous scientific studies have revealed the phenomenon of PFAS bioaccumulating in humans [5]. PFAS have relatively long half-lives in the human body. According to a study on 19 PFAS, the average half-life of PFOA and PFOS was approximately 2.47 and 4.52 years, respectively [10]. Another research also reported that the average half-lives of PFOA and PFOS were 3.8 and 5.4 years, respectively [5]. PFAS are primarily known to accumulate in human blood, liver and kidney, indicating their high affinity for proteins. The prolonged presence of PFAS in the human body can lead to potential cytotoxicity and health risks. PFOS and PFOA have been linked to an increase in total serum cholesterol levels, lowered immunity, and the development of chronic diseases such as Chronic Kidney Disease (CKD), asthma, and Attention Deficit/Hyperactivity Disorder (ADHD) in children. The mechanisms of PFAS transport within the human body, as well as their interactions with human tissues and the blood system, remain subjects for further exploration [11].
Proteins serve as the fundamental building blocks for all forms of life in organisms [12]. As a ligand-binding protein, human serum albumin (HSA) is widely present throughout the blood system, accounting for 60% of protein content [13]. One of its primary functions is to transport endogenous and exogenous ligand compounds between tissues and organs [1]. According to research, HSA is the primary entity that binds to a variety of small molecule compounds, including PFAS [7], picloram [14], and noscapine [15].
PFAS primarily enter the human body through ingestion and inhalation and accumulate as enterohepatic circulation metabolites. This leads to a high concentration of PFAS in the blood, which may induce protein abnormalities, thereby causing physiological dysfunction [1]. As a result, it is critical to thoroughly investigate the interaction of PFAS and HSA in order to comprehend their distribution, metabolism, and toxicity mechanisms in human body [4].
Several PFAS, such as PFOA [7], PFOS [2], PFBS [16] and PFHxS [17], have been chosen as the focus for explorations of HSA–PFAS binding. PFAS with different carbon chain lengths or functional groups have varying binding behaviors with HSA [2]. Most of these studies, however, have primarily focused on traditional PFAS and frequently only involve the interaction of a single PFAS compound with HSA. Furthermore, current research usually employs techniques such as fluorescence spectroscopy and molecular docking [7], resulting in a lack of a comprehensive approach to investigate the binding characteristics of a variety of PFAS with HSA. This research gap has resulted in uncertainty about the key structural features that influence the binding affinity of PFAS under similar binding conditions. Therefore, more in-depth studies are urgently needed, not only to broaden the range of PFAS being studied, but also to employ a variety of analytical techniques to understand the complex interactions between these PFAS and HSA.
This study focuses on the binding interactions between HSA and six common PFAS compounds, as listed in Table 1. All six are perfluorocarboxylic acids, each with one or two carboxyl groups. Among them, two PFAS feature oxygen atoms as ether linkages (-O-) within the carbon chain, representing novel PFAS selected for their distinct structures. The binding characteristics, structural changes, and thermodynamic properties of these HSA–PFAS complexes will be thoroughly investigated using multispectral techniques. These techniques, such as fluorescence quenching, 3D-EEM and UV-visible spectroscopy, are used to not only quantify binding constants and sites, but also to reveal conformational changes in HSA. Furthermore, the electronic structures will be computed using Density Functional Theory (DFT), and molecular docking and kinetic simulations will be used to gain a better understanding of the nature of HSA–PFAS binding. These findings will provide critical scientific evidence for assessing the biological and environmental effects of PFAS.
Table 1.
Physico-chemical characteristics of six PFAS.
2. Chemical and Process
2.1. Chemicals
HSA (≥96%) and six PFAS were all purchased from Aladdin Chemicals (Shanghai, China), including Perfluorooctanoic Acid (PFOA, CAS:335-67-1), Perfluorononanoic Acid (PFNA, CAS:375-95-1), Perfluoro-2,5-dimethyl-3,6-dioxanonanoic Acid (HFPO-TA, CAS:13252-14-7), Perfluoro-3,6,9-trioxadecanoic Acid (PFO3DA, CAS:151772-59-7), Perfluoroheptanoic Acid (PFHpA, CAS:375-85-9) and Dodecafluorosuberic Acid (DFSA, CAS:678-45-5). Three probe substances, including warfarin (≥98%), ibuprofen (≥98%), and lidocaine (≥99%), were also obtained from the same company. PBS buffer (Sigma-Aldrich, St. Louis, MO, USA) was used to prepare HSA stock solution (1 × 10−6 mol·L−1) to ensure the maintenance of appropriate ionic strength (pH = 7.4) and biocompatibility. Six PFAS aqueous stock solutions were also prepared at a concentration of 1 × 10−6 mol·L−1 for subsequent binding experiments.
2.2. Fluorescence Quenching Experiments
Fluorescence quenching experiments greatly benefit studies on the interactions between ligands and proteins. Initially, 3 mL of HSA stock solution was put into a 10 mm square quartz cuvette. Following that, PFAS stock solution was gradually added to achieve various final concentrations, namely 0, 3, 6, 9, 12, 15, 18 × 10−6 mol·L−1. By incrementally increasing the molar ratio of PFAS vs. HSA up to 18, their binding characteristics can be better investigated.
A thermostat (TR-01A, Bishui Corp, Beijing, China) was used to precisely control the solution temperature, which was set at 298, 304, and 310 K. This device includes a temperature controller and a metal heating cuvette module in conjunction with a fluorometer. This thermostat has a temperature range of 20–60 °C (293–333 K) and an accuracy of 0.1 °C Celsius. This step is critical for keeping the experimental conditions stable. Following that, the samples were fluorescence-scanned with a fluorometer (Cary Eclipse, Agilent, CA, USA). The excitation wavelength was set at 275 nm to efficiently stimulate tryptophan (Trp) and tyrosine (Tyr) residues [18]. Additional test parameters include an emission of 275–500 nm, scanning rate of 1200 nm/min and PTV voltage of 700 v. Fluorescence quenching experiments were repeated three times, and the average values were taken for further calculation. It is worth noting that none of the six PFAS tested in this study exhibited significant fluorescence signals, indicating that the intrinsic fluorescence properties of PFAS do not interfere with the study of their binding to HSA.
Fluorescence internal filtration (IFE) refers to the phenomenon where the fluorescence intensity decreases during fluorescence measurement due to the absorption of excitation or emission light by sample components (small molecules or proteins) in solution [19,20]. This phenomenon is more obvious in the samples with a high concentration of adsorbent. A fluorescence correction formula was used in this study to correct the IFE effect on the data, as follows:
where Fcorr and Fobs are corrected and observed fluorescence emission intensities, respectively, Aex and Aem are UV-vis absorbances at the excitation and emission wavelengths [18].
2.3. Spectroscopic Scanning
A UV-vis spectrophotometer (Specord 50, Analytik Jena, Germany) was used with a wavelength of 190–600 nm and 1 nm increments. The UV-vis spectra of single PFAS were subtracted from the UV-vis data to remove the influence of the absorption peaks inherent in PFAS, allowing for a more distinct differentiation of HSA absorption features.
Synchronous fluorescence scanning was set with two wavelength differences of 15 nm and 60 nm at 298 K. Other scanning parameters included an excitation wavelength of 200–400 nm.
The 3D-EEM spectra were recorded using specific scanning parameters at the scanning rate of 2400 nm·min−1, an emission of 220–400 nm with 5 nm increments, and an emission of 280–550 nm with 2 nm increments. The concentrations of PFAS and HSA were set at 18 × 10−6 mol·L−1 and 1 × 10−6 mol·L−1, respectively.
2.4. Circular Dichroism (CD) Spectrum
CD measurements (190–260 nm) were taken before and after the addition of PFAS to HSA using a J-815 CD spectrometer equipped with a PMT detector (JASCO, Tokyo, Japan). The protein concentration was set at 1 × 10−6 mol/L, with a fixed HSA-to-PFAS concentration ratio of 1:18. The scanning rate was set to 100 nm/min with 0.5 nm increments, and the photometric mode of HT. Each sample was scanned three times. The blank buffer control was automatically subtracted during the scanning process. All tests were carried out at 298 K. The CONTIN analysis method from the DichroWeb [21] was employed to determine the contents of the protein’s secondary structure.
2.5. Competitive Probe Experiment
Competitive probe experiments are commonly used to identify specific binding sites in the structure of proteins. Three probe molecules known to bind to distinct binding sites on HSA were selected: warfarin (subdomain IIA), ibuprofen (subdomain IIIA), and lidocaine (subdomain IIB) [22,23]. These probe molecules would compete with PFAS for the same protein sites when binding with HSA. The potential binding sites can be inferred by monitoring and comparing changes in fluorescence intensity when probe molecules are present. The probe molecules were concentrated at 1 × 10−6 mol·L−1, with PFAS adding up to 18 × 10−6 mol·L−1.
2.6. Quantum Chemical Computation
Quantum chemical computations serve as a scientific tool, allowing for a thorough analysis of molecular structure and properties at the microscopic level. The molecular structures of six PFAS were acquired via ChemSpider. The Gaussian 16 [24] software suite was used to perform molecular structure optimization based on the m062x density functional at the 6–31+g(d,p) level, with water as the solvent, in a PCM model [25,26,27]. All optimized structures were further post-processed with MultiWFN 3.7 [28], and several quantum chemistry descriptors were also visualized with VMD 1.9.3 [29] software.
2.7. Molecular Docking Studies
Molecular docking of the HSA–PFAS complex was carried out to explore HSA–PFAS binding at the active site [30]. The 3D structure of HSA was acquired via the RSCB database (ID 7JWN). Autodock Vina 1.1.2 [31,32] was used to process HSA and PFAS, which involved removing water molecules, co-crystal ligands and adding polar hydrogens. The molecules were placed in a cubic grid space for molecular docking with a side length of 22.5 Å and set exhaustiveness of 32 for global search. The optimal conformations were analyzed and visualized using PyMol 2.5 [33]. The obtained docking conformations were utilized for subsequent molecular dynamics simulations.
2.8. Molecular Dynamics Simulation (MD)
AMBER 18.0 was employed to run a full-atom MD simulation based on the initial structures of HSA–PFAS complexes from the molecular docking presented above [34]. The force fields of GAFF2 and ff14SB were used in the pre-simulation processing to characterize PFAS and HSA, respectively [35,36]. The LEaP module is critical for supplementing the system with missing hydrogen atoms. A TIP3P solvent box was introduced to provide an appropriate solvation environment [37]. Furthermore, a proper amount of Na+/Cl− ions was also incorporated into the simulation framework to mimic the electrolytic environment and maintain electro-neutrality in the system.
MD simulations were performed in several steps, including energy minimization, heating, equilibration, production run and analysis. The process began with system energy optimization to achieve the system’s minimum energy state. NVT phylogenetic simulation of 500 ps at 298 K was performed to ensure a uniform distribution of solvent molecules within the solvent box. Under periodic boundary conditions, a 100 ns NPT simulation was conducted to understand the behavioral dynamics of the HSA–PFAS complexes under simulated biological conditions. Other process conditions were set as follows: a non-bond cutoff distance of 10 Å, PME method for long-range electrostatic interaction calculation [38], SHAKE method for hydrogen bond length constraints [39], and Langevin algorithm for temperature control [40]. During MD simulation, key indicators like root mean square deviation (RMSD) were monitored to track structural changes in HSA–PFAS complexes over time and determine whether the system had reached thermodynamic equilibrium.
The MM/GBSA method combines molecular mechanics energy components (MM) with the implicit solvent model (GBSA) to determine the binding free energy of HSA–PFAS binding [41,42,43], as shown in Equation (2):
ΔGcomplex, ΔGHSA, and ΔGPFAS indicate the free energy of complex, HSA, and PFAS, respectively. ΔEVDW, ΔEELE, ΔGGB, and ΔGSA refer to van der Waals, electrostatic, polar solvation and non-polar solvation-free energy [44]. ΔGGB was calculated using the GB model [45]. ΔGSA was also determined to reflect the interaction of the molecular surface’s non-polar portions with the solvent [46].
3. Results and Discussion
3.1. Fluorescence Quenching Mechanism
Figure 1 exhibits changes in the HSA spectrum with the continuous addition of PFAS. The fluorescence peak of HSA is located at 337 nm. The fluorescence intensity gradually decreases with PFAS concentration at 298 K, 304 K, 310 K, indicating the formation of complexes between PFAS and HSA [47]. Among the six PFAS, PFNA has the greatest effect on the fluorescence intensity. PFNA causes a 30.6% quenching of fluorescence intensity at a concentration of 1.8 × 10−5 mol·L−1, while HFPO-TA, PFOA, PFO3DA, PFHpA, and DFSA cause fluorescence quenching rates of 25.1%, 20.1%, 15.3%, 12.1%, and 9.7% at 298 K, respectively. This phenomenon suggests that PFNA has the greatest influence on HSA.
Figure 1.
Fluorescence spectra of the HSA–PFAS system at different temperatures. C[HSA] = 1 × 10−6 mol·L−1, C[PFAS] = 0, 3, 6, 9, 12, 15 and 18 × 10−6 mol·L−1, T = 298 K, 304 K, 310 K. (a1) HSA–PFNA–298 K (a2) HSA–PFNA–304 K (a3) HSA–PFNA–310 K (b1) HSA–HFPO-TA–298 K (b2) HSA–HFPO-TA–304 K (b3) HSA–HFPO-TA–310 K (c1) HSA–PFOA–298 K (c2) HSA–PFOA–304 K (c3) HSA–PFOA–310 K (d1) HSA–PFO3DA–298 K (d2) HSA–PFO3DA–304 K (d3) HSA–PFO3DA–310 K (e1) HSA–PFHpA–298 K (e2) HSA–PFHpA–304 K (e3) HSA–PFHpA–310 K (f1) HSA–DFSA–298 K (f2) HSA–DFSA–304 K (f3) HSA–DFSA–310 K.
Furthermore, Figure 1 shows that all six PFAS cause a blue shift in the fluorescence peak of HSA, indicating that PFAS have altered the polarity of the microenvironment near amino acid residues. The blue shift caused by the binding of three PFAS (PFNA, HFPO-TA, and PFOA) to HSA is the most significant compared to the others. The fluorescence peak shifts from 337 nm to 317 nm (PFNA), 315 nm (HFPO-TA), and 320 nm (PFOA) as the concentration of PFAS increases, indicating that they may have a greater influence on microenvironment hydrophobicity in HSA.
Fluorescence quenching is usually caused by a series of complex processes. Dynamic quenching, static quenching, and mixed-type quenching are the three types of quenching processes [48]. Static quenching is primarily manifested by organic small molecules forming ground state complexes with proteins via intermolecular forces, whereas dynamic quenching is typically associated with the collision between fluorescent groups and quenchers. Dynamic quenching depends on molecular diffusion, and its quenching constant increases with the rising temperature; however, static quenching is due to the fact that high temperatures promote the dissociation of complexes, resulting in a decrease in quenching constants [3]. The quenching constant can be calculated using the Stern–Volmer Equation (3). The results are shown in Table 2 and Figure 1:
where F0 and F refer to HSA fluorescence intensities without and with the quencher (PFAS solution); Kq is the biomacromolecule’s quenching rate constant; τ0 is the average fluorescence lifetime of the fluorescent molecule when the quencher PFAS is absent, usually taken as 10−8 s; [Q] is the PFAS concentration; Ksv is the Stern–Volmer quenching constant; F0/F is the vertical axis; the Stern–Volmer curves of this system are 298, 304, and 310 K.
Table 2.
Binding constant and thermodynamic parameters of HSA–PFAS binding.
The Ksv values decrease with temperature for HSA–PFNA, HSA–PFO3DA, HSA–PFHpA, and HSA–DFSA binding (Table 1), revealing that the quenching mechanism is primarily static. Furthermore, Kq values at 298 K range from 5.83 × 1011 to 2.50 × 1012 L·mol−1·s−1, which are much larger than the maximum dynamic diffusion quenching constant of the fluorescent agent for the fluorescent molecule (2.0 × 1010 L·mol−1·s−1). As a result, PFNA, PFO3DA, PFHpA, and DFSA can easily quench fluorescence groups by generating a complex, resulting in a static quenching process.
Furthermore, for the HSA–PFOA and HSA–HFPO-TA binding systems, Ksv values increase with temperature, implying a dynamic quenching process. However, at 298 K, the Kq values are 1.78 × 1012 L·mol−1·s−1 (HFPO-TA) and 1.39× 1012 L·mol−1·s−1 (PFOA). Both of the Kq values are greater than maximum dynamic diffusion quenching constant, implying the presence of a static quenching mechanism. Therefore, the fluorescence quenching mechanism of PFOA and HFPO-TA on HSA is a mixed quenching process that combines dynamic and static mechanisms.
3.2. Binding Constant and the Numbers of Binding Sites
The double logarithmic formula can be used to calculate the binding constants and binding site numbers of HSA–PFAS complexes [49]:
where F0 and F are parameters representing the initial fluorescence intensity and the fluorescence intensity after adding PFAS, respectively. The binding characteristics are represented by the binding constant, Kb, and the number of binding sites, n. The slope of the straight line is the number of binding sites, n, and the binding constant Kb is obtained from the exponent of the straight line’s intercept using the double logarithmic graph. Figure A2 and Table 2 show the calculation results.
In theory, the number of binding sites should be an integer because each represents a unique binding site on the protein. In practice, however, the value of “n” is typically derived by fitting binding models to the experimental data, which yields non-integer values. Table 2 shows that the n values range from 0.8757 to 2.0857, indicating that PFAS bind on over one site of HSA. Except for the HSA–HFPO-TA binding at 310 K (n = 2.09, all the derived binding constants are close to one, indicating the presence of a single binding site on the HSA–PFAS complex. The binding constants Kb values of the six PFAS at 298 K range from 1.52 × 103 to 7.81 × 106 L·mol−1. The binding constants are listed in the following order: PFNA (7.81 × 106 L·mol−1) > HFPO-TA (3.70 × 106 L·mol−1) > PFOA (2.27 × 105 L·mol−1) > PFO3DA (1.59 × 105 L·mol−1) > PFHpA (4.53 × 103 L·mol−1) > DFSA (1.52 × 103 L·mol−1), with PFNA having the largest binding constant. PFNA, PFOA, and PFHpA are structurally similar perfluoroalkyl carboxylic compounds with carbon chain lengths in the order PFNA (C9) > PFOA (C8) > PFHpA (C7). The binding constants of these three PFAS are positively correlated with their carbon chain lengths, i.e., the longer the carbon chain, the larger the binding constant. The results of the above analysis show that increasing the carbon chain length significantly increases the binding affinity of HSA–PFAS, which is consistent with previous research findings [7].
Furthermore, the Kb values for the HSA–PFHpA and HSA–DFSA binding systems (4.53 × 103 L·mol−1, 1.52 × 103 L·mol−1) are much lower than 105 L·mol−1. The Kb of PFHpA, DFSA and HSA is weaker than that of other PFAS. The lower binding constant increases the concentration of free PFHpA and DFSA in the blood system, slowing their metabolic process in the body and potentially increasing their toxicity to the biological blood system [5].
3.3. Thermodynamic Analysis of the Binding Process
The enthalpy change (∆H), entropy change (∆S), and free energy change (∆G) calculated from the Van’t Hoff equation [50] can be used to determine the type of interaction.
where R represents the ideal gas constant (8.314 J·mol−1·K−1).
When both ∆H and ∆S are positive, they indicate the interaction force of the hydrophobic interaction. When they are both negative, they indicate the interaction forces of hydrogen bonds or van der Waals forces. When ∆H is close to 0, and especially when it is less than 0, and ∆S is greater than 0, electrostatic interaction may be the dominant interaction force [12].
According to the results in Table 2, ∆H and ∆S for HSA–PFNA and HSA–PFO3DA binding are both negative, indicating the presence of hydrogen bonds or van der Waals forces. For the other four bindings (HSA–HFPO-TA, HSA–PFOA, HSA–PFHpA, and HSA–DFSA), both ∆H (146.68–412.15 kJ·mol−1) and ∆S (593.3–1508.3 J·mol−1·K−1) are positive, indicating the presence of hydrophobic interactions. Hydrogen bonding and hydrophobic interactions are two major types of molecular interactions that frequently coexist and influence molecular binding behavior. With its longer nine-carbon chain, PFNA may increase the van der Waals contact area with proteins, facilitating hydrogen bond formation at specific sites. However, PFOA and PFHpA have shorter carbon chains, with eight and seven carbon atoms, respectively. This shorter length may confer greater flexibility, allowing molecules to fit and embed more easily into the hydrophobic pockets of proteins, enhancing hydrophobic interactions. The ∆G results calculated from Equation (6) are all negative, ranging between −39.32 and −18.15 kJ·mol−1, indicating that six HSA–PFAS binding is a spontaneous process that is mainly driven by entropy.
3.4. Changes in HSA Conformation after Interaction with PFAS
3.4.1. UV-vis Absorption Spectroscopy
The UV–vis absorption spectrum is a rapid technique for exploring complex formation and changes in protein conformation [50]. Figure 2 depicts HSA UV-vis spectra with PFAS (0, 3, 6, 9, 12, 15, 18 × 10−6 mol·L−1) at 298 K. HSA displays a significant absorption peak at 210 nm. With the increase in PFAS concentration, the peak value of absorption gradually decreases, and the maximum absorption wavelength shifts from 210 nm to 213 nm. This phenomenon, known as a red shift, is due to the binding of PFAS and the base pairs of HSA to the π electrons, which reduces the energy and leads to a decrease in the energy of the π→π* transition [18]. An increase in the hydrophobicity and a decrease in the hydrophilicity of residues lead to polarity reduction in the microenvironment of HSA. UV-vis red shift reveals that the presence of PFAS altered the secondary structure of HSA [51].
Figure 2.
UV-vis absorption spectra of HSA–PFAS. C[HSA] = 1 × 10−6 mol·L−1, C[PFAS] = 0, 3, 6, 9, 12, 15 and 18 × 10−6 mol·L−1. (a) HSA–PFNA (b) HSA–HFPO-TA (c) HSA–PFOA (d) HSA–PFO3DA (e) HSA–PFHpA (f) HSA–DFSA.
3.4.2. Synchronous Fluorescence Spectroscopy
Figure 3 shows that the synchronous fluorescence peak in Δλ = 15 nm, which is associated with tyrosine (Tyr) residues, remains largely unchanged as PFAS concentrations increase. Notably, there is little change in peak shape and only a minor amount of fluorescence quenching for the six HSA–PFAS complexes, in the range of 3.2–17.0%.
Figure 3.
Synchronized fluorescence spectra of HSA–PFAS. C[HSA] = 1 × 10−6 mol·L−1, C[PFAS] = 0, 3, 6, 9, 12, 15 and 18 × 10−6 mol·L−1. Δλ(1) = 15 nm, Δλ(2) = 60 nm.
However, significant decreases were observed for the synchronous fluorescence peak of Δλ = 60 nm, regarding tryptophan (Trp) residues [52]. In this case, a 3.0 nm red shift in the fluorescence peak of Δλ = 60 nm is observed. This shift is accompanied by significant fluorescence quenching, as indicated by a decrease in the range of 16.1–37.0%. These changes indicate that PFAS increases its polarity around tryptophan (Trp) residues in HSA. As a result, their hydrophobicity is reduced, and HSA undergoes some conformational changes [52].
3.4.3. Three-Dimensional Fluorescence Spectra
Figure 4 depicts the 3D-EEM contour plots of the HSA–PFAS complex. Peak A (λex/λem = 280/337 nm) and peak B (λex/λem = 230/340 nm) refer to the characteristics of amino acid residues. Take PFNA, for example: peak A’s intensity was reduced by 37.8% after binding with HSA, while peak B’s intensity was reduced by 19.7%. The decrease in fluorescence intensity suggests that PFAS cause the partial unfolding of the HSA polypeptide chains, converting the initially hydrophobic regions to hydrophilic and initiating conformational changes within HSA [53].
Figure 4.
The 3D-EEM spectra of HSA–PFAS. C[HSA] = 1 × 10−6 mol·L−1, C[PFAS] = 1.8 × 10−5 mol·L−1. (a) HSA (b) HSA–PFNA (c) HSA–HFPO-TA (d) HSA–PFOA (e) HSA–PFO3DA (f) HSA–PFHpA (g) HSA–DFSA.
With the addition of PFAS, the positions of peak A and peak B are also shifted. In the HSA–PFAS mixed system, peak A transitioned from λex/λem = 280/337 nm to 280/331 nm, and peak B from λex/λem = 230/340 nm to 230/314 nm, leading to a blue shift. The presence of PFAS disrupts the molecular surface of HSA, causing depolymerization and reduced protein size. This leads to weaker fluorescence, indicating changes in HSA’s secondary structure.
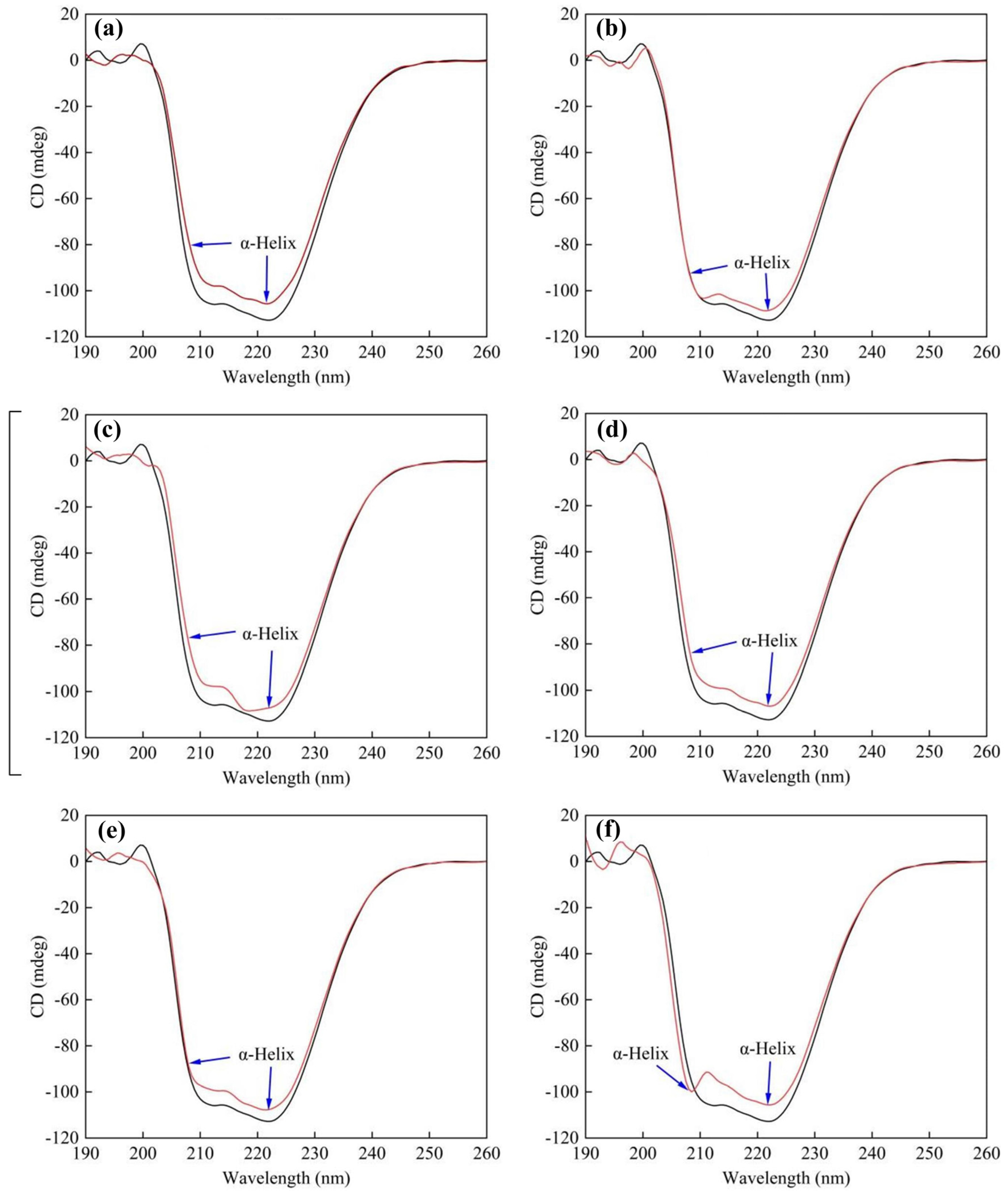
3.4.4. Circular Dichroism (CD) Spectral Analysis
Figure 5 demonstrates that HSA exhibits two prominent negative absorption bands at 208 nm and 222 nm, which are closely related to its α-helix structure [54]. HSA’s secondary structure is made up of 41.6% α-helix, 4.9% β-sheet, 16.9% β-turn, and 36.7% random coil. Changes in HSA’s secondary structure were observed with the addition of 18 × 10−6 mol/L PFAS, which manifested as a decrease in α-helix content and an increase in β-fold, β-turn, and random coil contents, except for DFSA. This may be due to the smallest binding constant occurring in HSA–DFSA, and the binding of DFSA to some extent stabilizes the α-helix structure of HSA. PFNA had the greatest influence on the CD spectrum of HSA. The α-helix content decreased from 41.6% to 36.2% when PFNA was added to the HSA solution, while the β-sheet content increased from 4.9% to 7.6%. Following that, the two compounds PFHpA and PFOA also reduced the α-helix content to 36.4% and 37.2%, respectively. The α-helix is usually formed by twisting and folding the polypeptide chain. The introduced PFAS interact with HSA, disrupting its hydrogen bonding and loosening the peptide chains [55]. As a result, HSA–PFAS binding leads to alterations in the protein’s secondary structure.
Figure 5.
The circular dichroism spectra of HSA interacting with six PFAS. C[HSA] = 1 × 10−6 mol·L−1, C[PFAS] = 18 × 10−6 mol·L−1, T = 298 K, pH = 7.4. (a) HSA–PFNA (b) HSA–HFPO-TA (c) HSA–PFOA (d) HSA–PFO3DA (e) HSA–PFHpA (f) HSA–DFSA.
3.5. Competition Binding of PFAS with HSA
In the presence of three probe substances (warfarin, ibuprofen, and lidocaine), the binding constants of the ternary system exhibit varying degrees of decrease, as calculated using Equation (7), and listed in Table 3.
where Kb and Kb’ are the binding constants of the HSA–PFAS complex with and without the probe, respectively.
Table 3.
Competition experiment data in the absence and presence of three different site probes. (φ is the rate of decrease in Kb).
Table 3 shows that the three competing probe substances have different effects on HSA–PFAS binding. The Kb values of six PFAS decreased in the presence of ibuprofen (subdomain IIIA) by 13.8–42.7%, whereas lidocaine (subdomain IB) decreased by 8.1–48.8%. This suggests that the effect of ibuprofen and lidocaine on HSA–PFAS binding is limited. There was no competitive binding between ibuprofen/lidocaine and PFAS. The decreases in the HSA–PFAS binding constants are primarily due to micro-structural changes in HSA after binding with ibuprofen or lidocaine, which further affect HSA–PFAS binding.
However, the presence of warfarin probe (subdomain IIA) leads to a significant reduction in the binding constants of HSA–PFAS complexes, with the value of φ ranging from 93.3% to 99.6%. The binding of HFPO-TA, in particular, showed a decrease in the Kb value of 99.6% from 2.70 × 106 to 1.48 × 104. This suggests that the binding region of the HSA–PFAS complex is primarily in subdomain IIA of HSA.
When warfarin is already bound to subdomain IIA of HSA, it creates a competitive environment for PFAS. Since warfarin occupies the subdomain IIA, PFAS are hindered or inhibited from binding to this same site, leading to a reduced binding affinity for PFAS on HSA. The conclusion was later validated by the molecular docking results. PFAS are frequently found in mixtures in environmental and biological systems. The primary focus of this research is on the binding properties of single PFAS with HSA, but understanding the competitive binding of mixed PFAS is also important. Different PFAS may compete for the same binding sites on HSA in mixtures. This type of competition can have an impact on the binding affinity and stability of each PFAS. Existing research [56] also revealed that multiple drugs in a mixture may exhibit synergistic binding behaviors in complex drug–protein systems, significantly enhancing the bioactivity and toxicological properties of individual drugs. Future research will explore various PFAS mixtures to gain a better understanding of their binding dynamics with HSA, providing an improved understanding of PFAS interactions.
3.6. Quantum Chemistry Structural Analysis of PFAS
3.6.1. Frontier Molecular Orbital (FMO) Analysis
HOMO and LUMO are the important descriptors that influence the electrical and optical properties of compounds. The HOMO often serves as an electron contributor, while the LUMO often acts as an electron acceptor in chemical reactions, as shown in Figure 6. Table A3 also shows the molecular structures of six PFAS, as well as their HOMO and LUMO electron densities and radical electron densities. Most of the electron densities of these six PFAS in orbitals are clearly observed on the carbonyl oxygen in the carboxyl (-COOH) group, revealing that the carboxyl group can undergo radical reactions. The charge of the HOMO orbital is primarily located on the carboxyl (-COOH) groups, the oxygen atoms connected to carboxyl groups, and the carbon–fluorine (C-F) bond. The orbital distribution of DFSA is obviously different from that of the other five PFAS due to the presence of two carboxyl groups in DFSA, as shown in Figure 6.
Figure 6.
The HOMO and LUMO orbitals of six PFAS. (a) PFNA (b) HFPO-TA (c) PFOA (d) PFO3DA (e) PFHpA (f) DFSA.
The energy gap (named ∆EHOMO-LUMO) can provide insights into a molecule’s stability, reactivity, and even some of its photophysical properties [57]. The ∆EHOMO-LUMO values of the six PFAS range from 0.3802 eV to 0.3970 eV, implying that these molecules are conducive to chemical reactions.
3.6.2. Molecular Surface Properties Approach (MSPA) Analysis
The MSPA technique is a powerful tool for analyzing molecular surface attributes such as the electrostatic potential (ESP) and average localized ionization energy (ALIE). These descriptors can depict the entire charge distribution [58], potentially aiding in a better understanding of the molecule’s chemical reactivity.
As shown in Figure 7 and Table A5, Table A6, Table A7, Table A8, Table A9, Table A10, Table A11, Table A12, Table A13, Table A14, Table A15 and Table A16, the total electron density profile is represented by a color gradient, making it easier to identify the most active sites for nucleophiles and electrophiles [26]. Electrophilic reactions are more likely to occur in regions with a higher negative electrostatic potential. The local minima for six PFAS were notably located proximal to the oxygen atom in six PFAS, with values of −32.34 kcal/mol (PFNA), −32.12 kcal/mol (HFPO-TA), −32.37 kcal/mol (PFOA), −32.98 kcal/mol (PFO3DA), −32.29 kcal/mol (PFHpA), and −32.47 kcal/mol (DFSA). This implies that electrophilic reagents can easily target the oxygen atom, highlighting its strong electro-positive character, resulting in an increase in the reactive activity at these sites in PFAS.
Figure 7.
ESP and ALIE maps of six PFAS. (a1) ESP map of PFNA (a2) ALIE map of PFNA (b1) ESP map of HFPO-TA (b2) ALIE map of HFPO-TA (c1) ESP map of PFOA (c2) ALIE map of PFOA (d1) ESP map of PFO3DA (d2) ALIE map of PFO3DA (e1) ESP map of PFHpA (e2) ALIE map of PFHpA (f1) ESP map of DFSA (f2) ALIE map of DFSA.
ALIE is an index for electron localization in molecules, which is used to identify electrophilic sites as an effective complement to ESP [26,59]. The blue region in the ALIE maps of PFAS, as shown in Figure 7 and Table A17, Table A18, Table A19, Table A20, Table A21, Table A22, Table A23, Table A24, Table A25, Table A26, Table A27 and Table A28, primarily hovers around the carboxyl group and its neighboring oxygen atoms. Using PFHpA as an example, the deepest blue was clearly seen adjacent to the O atom in the -COO group, representing the local minimum value of 295.52 kcal/mol. This indicates that the electron activity near the oxygen atom is stronger, making it more prone to undergoing electrophilic reactions.
3.6.3. Conceptual Density Functional Theory (CDFT) Analysis
CDFT, grounded in the study of electronic density, offers comprehensive qualitative and quantitative insights into the chemical reactivity of molecular systems. Typical CDFT descriptors, such as Fukui function and dual descriptor (DD, Δf(r)), can reveal the regions of molecules that are most vulnerable to electrophilic or nucleophilic attacks [60]. The results are shown in Figure 8 and Table A29, Table A30, Table A31, Table A32, Table A33 and Table A34.
Figure 8.
Visualization of CDFT descriptors: (1) nucleophilic Fukui function f+(r), (2) electrophilic Fukui function f−(r), (3) free radical Fukui function f0(r), and (4) condensed dual descriptors Δf(r) of PFAS. (a1) f⁺₍ᵣ₎ of PFNA (a2) f−₍ᵣ₎ of PFNA (a3) f0₍ᵣ₎ of PFNA (a4) ∆f₍ᵣ₎ of PFNA (b1) f⁺₍ᵣ₎ of HFPO-TA (b2) f−₍ᵣ₎ of HFPO-TA (b3) f0₍ᵣ₎ of HFPO-TA (b4) ∆f₍ᵣ₎ of HFPO-TA (c1) f⁺₍ᵣ₎ of PFOA (c2) f−₍ᵣ₎ of PFOA (c3) f0₍ᵣ₎ of PFOA (c4) ∆f₍ᵣ₎ of PFOA (d1) f⁺₍ᵣ₎ of PFO3DA (d2) f−₍ᵣ₎ of PFO3DA (d3) f0₍ᵣ₎ of PFO3DA (d4) ∆f₍ᵣ₎ of PFO3DA (e1) f⁺₍ᵣ₎ of PFHpA (e2) f−₍ᵣ₎ of PFHpA (e3) f0₍ᵣ₎ of PFHpA (e4) ∆f₍ᵣ₎ of PFHpA (f1) f⁺₍ᵣ₎ of DFSA (f2) f−₍ᵣ₎ of DFSA (f3) f0₍ᵣ₎ of DFSA (f4) ∆f₍ᵣ₎ of DFSA.
Higher Fukui function values for a given site often indicate an increased sensitivity to electrophilic attacks [61]. Notably, the DD index outperforms the Fukui function alone in predicting both electrophilic and nucleophilic reactive sites. That is, positive DD values indicate nucleophilic attack potential, whereas negative values represent electrophilic attack potential [62].
Using PFNA as an example, the Δf(r) value for the C28 atom in the carboxyl group is 0.0764. This not only highlights its extreme sensitivity to electrophilic attacks, but also its critical role in PFNA’s overall reactivity and the carboxyl group’s importance in electrophilic reactions. Furthermore, F13 and F14 in the PFNA structure both have the same significant Δf(r) values of 0.0371. The other five PFAS have the same distribution and nature of potential reactive sites as PFNA. This suggests that the structure–reactivity patterns of these compounds may be similar.
The calculated global reactivity descriptors of the PFAS are also listed in Table A29, Table A30, Table A31, Table A32, Table A33 and Table A34. As shown in Table A29, the chemical hardness (η) for PFNA is 6.8335 eV, while its chemical softness (s) is 0.1463 eV−1; these can be interpreted as indicators of intra-molecular charge transfer characteristics. The high hardness (η) and low softness (s) reveal that PFNA is a soft molecule. PFNA also has an electrophilicity index (ω) of 2.4383 eV, which classifies it as a “strong electrophile” (>1.50 eV) according to the organic classification criteria [57]. The electronegativity (χ) of PFNA is 5.7727 eV, a descriptor that quantifies an atom or molecular group’s ability to attract electrons.
3.6.4. Electron Localization Characteristic Analysis
The Electron Localization Function (ELF) and Localized Orbital Locator (LOL) serve as tools for delineating the electron localization characteristics of molecules. ELF is often used to examine the nature of chemical bonds and to identify electron distribution, while LOL is commonly used to identify electron orbitals like non-bonding and lone pairs [63]. The topological features of six PFAS were analyzed using MultiWFN software. Figure 9 depicts the ELF and LOL contour projections for these molecules, with a gradient from blue to red representing ELF and LOL values ranging from 0 to 1. Values between 0.5 and 1 represent localized bonding and non-bonding electrons, while values less than 0.5 represent delocalized electrons [64]. The LOL plot offers similar information to ELF, but might be more sensitive to electron delocalization features.
Figure 9.
ELF and LOL diagram of six PFAS. (a1) ELF map of PFNA (a2) LOL map of PFNA (b1) ELF map of HFPO-TA (b2) LOL map of HFPO-TA (c1) ELF map of PFOA (c2) LOL map of PFOA (d1) ELF map of PFO3DA (d2) LOL map of PFO3DA (e1) ELF map of PFHpA (e2) LOL map of PFHpA (f1) ELF map of DFSA (f2) LOL map of DFSA.
Areas around the C, F, and O atoms are highlighted in blue in the ELF plots of the six PFAS (Figure 9), indicating the presence of low ELF values (<0.5) and electron delocalization. On the other hand, areas surrounding the H atoms are depicted in rich reds with high ELF values, indicating a strong localization of both bonding and non-bonding electrons.
3.6.5. Interaction Region Indicator (IRI) Analysis
IRI analysis is a novel tool that can identify and reflect various interactions in chemical systems, particularly weak interactions [65]. Figure 10 shows the IRI isosurfaces of six PFAS, with blue representing a notable attraction of H-bond or chemical bonds, green representing van der Waals interactions, and orange and red representing notable repulsion, such as the steric hindrance effect [66].
Figure 10.
IRI diagram of six PFAS. (a) PFNA (b) HFPO-TA (c) PFOA (d) PFO3DA (e) PFHpA (f) DFSA.
Taking PFNA as an example, the Van der Waals interaction and steric effect (green and orange) are visible near the F and O atoms in the PFNA molecule (Figure 10a). The orange color near one end of the C–C bonds indicates steric hindrance. Furthermore, the isosurfaces near the O atoms are significantly larger than those near the F atoms, implying that the O atoms have stronger van der Waals interactions and steric hindrance. The other five PFAS have similar structural features.
3.7. Analysis of Molecular Docking
Molecular docking techniques were used to explore the binding characteristics of HSA–PFAS binding with the best conformation of HSA–PFAS complexes (Figure 11). The amino acid residues that significantly impact the binding are additionally listed near the PFAS binding sites in Figure 11.
Figure 11.
Binding modes of the HSA–PFAS interaction predicted by molecular docking.
As shown in Figure 11, the binding sites of the six PFAS with HSA are all located in subdomain IIA of HSA, a region known to have a high affinity for various small molecule ligands. This agrees with the findings of the competitive probe experiments (Section 3.3), providing additional support and validation for the molecular docking results. Table A4 also contains detailed docking results.
According to the results of molecular docking (Figure 11), PFAS bind to various amino acid residues on HSA through hydrogen bonds, van der Waals forces, and halogen bonds. In the case of PFNA–HSA binding, the polar end of the PFNA carboxyl group forms a hydrogen bond with the protein’s SER-192 residue, which is critical for the ligand–protein complex’s stability. This is consistent with the thermodynamic results indicating that hydrogen bonding is the primary binding force of PFNA with HSA. Additionally, the Fatom in PFNA is observed to form halogen bonds with positively charged parts of the GLN-196 and ARG-257 residues. Halogen bond is a non-covalent interaction, similar to hydrogen bonds. As the halogen atom of PFOA approaches the nucleophilic site of HSA, it forms a halogen bond, increasing the PFOA’s affinity to and specificity for HSA. PFO3DA docking results are comparable to PFNA.
The other four PFAS (HFPO-TA/PFOA/PFHpA/DFSA) interact with HSA in various ways, including hydrogen bonds, halogen bonds, and hydrophobic interactions. Thermodynamic studies show that the binding forces of these four PFAS with HSA are primarily due to hydrophobic interactions. For example, PFOA, a common perfluorinated compound, is hydrophobic and binds to the non-polar amino acid residue PHE-149, where hydrophobic interactions help to stabilize PFOA in the HSA binding pocket [67].
Molecular docking studies further revealed the binding energies of the six PFAS and HSA. A lower binding energy (more negative) indicates tighter binding between PFAS and HSA. The binding energies of HSA–PFNA, HSA–HFPO-TA, HSA–PFOA, HSA–PFO3DA, HSA–PFHpA, and HSA–DFSA were calculated to be −8.2, −7.9, −7.8, −7.8, −7.1, and −7.3 kcal/mol, respectively. HSA–PFNA has the lowest binding energy of −8.2 kcal/mol, indicating that PFNA more easily binds to HSA. This observation is consistent with the thermodynamic analysis (Section 3.3), which revealed that PFNA exhibits the highest binding constant (7.81 × 106 L·mol−1), indicating the strongest affinity between PFNA and HSA. The molecular docking results not only provide an important perspective for understanding the interaction mechanism between PFAS and HSA, but they also provide a scientific foundation for future pollutant removal strategies.
3.8. Analysis of MD Simulation Results
The MD simulation is helpful for investigating the complex interactions of small molecules and proteins, revealing the real-time structural dynamics of small molecule–protein complexes under different environmental conditions. The simulation process not only records spatial conformation changes within the complex but also evaluates the dynamic equilibrium and stability of small molecule–protein complexes by calculating dynamic parameters like root mean square deviation (RMSD), the radius of gyration (Rog), root mean square fluctuation (RMSF), and the number of hydrogen bonds.
3.8.1. RMSD
RMSD is an important indicator for determining whether a system has reached equilibrium, particularly when monitoring displacements of molecular backbone atoms [68]. A larger and more volatile RMSD indicates intense motion. As shown in Figure 12a, the RMSDs of six HSA–PFAS complexes varied between 2 and 4 Å. Among them, HSA–PFHpA and HSA–DFSA complexes have particularly high values and significant fluctuations (over 3.5 Å), indicating a less stable complex binding. HSA–PFNA and HSA–HFPO-TA, on the other hand, have smaller RMSDs (below 3.0 Å) with regular fluctuations during the simulation, indicating a more stable complex formation. All systems show stabilized fluctuations and a gradual reduction after 50 ns, indicating a transition to a new equilibrium state.
Figure 12.
Molecular dynamics simulation of six PFAS and HSA bindings. (a) RMSD (b) RMSF (c) ROG (d) SASA.
3.8.2. RMSF
RMSF reflects protein molecule flexibility during molecular dynamics simulations. Binding with small molecules typically reduces protein flexibility, resulting in protein structure stabilization [69]. Figure 12b shows that after binding with various PFAS, most regions of HSA, except the ends and some local areas, have an RMSF of less than 2.5 Å, indicating a relatively rigid core protein structure. The HSA protein exhibits even lower RMSFs (below 2.0 Å) when bound with PFNA and HFPO-TA, implying that these two small molecules can suppress the protein’s active states, potentially affecting protein function. In contrast, when PFHpA and PFOA bind, HSA exhibits higher RMSFs (above 2.5 Å) in several segments, indicating that these molecules have a less inhibitory effect on the protein.
3.8.3. Rog
Rog reflects the system’s compactness, and monitoring its variations allows for observations of the protein’s folding and unfolding processes [70]. Figure 12c depicts the evolution of Rog over time for six complex systems during MD simulation. All systems have a Rog that ranges between 26.7 Å and 28.5 Å, indicating structural compactness. The PFNA–HSA complex varies between 26.7 Å and 27.3 Å, with the smallest observed Rog values and a downward trend throughout the MD simulation. The low Rog values and minimal fluctuations imply that the system has an increased compactness, which could be attributed to specific interactions between the PFNA molecule and HSA binding sites, further enhancing the stability of the PFNA–HSA complex. Other PFAS–HSA complexes, on the other hand, have larger Rog values and fluctuations, indicating a looser structure.
3.8.4. Number of H-Bonds
The variation in the Number of H-bonds in HSA–PFAS complexes during MD simulation is depicted in Figure 13. As a strong non-covalent binding force, the H-bond is key to complex stability. The H-bond number in the MD simulation varies between 0 and 4, indicating dynamic interactions between PFAS and HSA. Specifically, the HSA–PFNA and HSA–HFPO-TA complexes have 2 stable H-bonds, compared to the 0–2 found in other complex systems, implying more stable interactions that help maintain the structure and function of the complexes.
Figure 13.
MD simulation of six PFAS binding with HSA. (a) HSA–DFSA (b) HSA–HFPO-TA (c) HSA–PFHpA (d) HSA–PFNA (e) HSA–PFO3DA (f) HSA–PFOA.
3.8.5. Binding Free Energy Calculation Results
As shown in Table 4, the binding free energy was calculated using the MM-GBSA method, which provides a more accurate assessment of the binding between PFAS and HSA [71]. Notably, all complexes have negative binding free energies, indicating that all six PFAS can form stable ligand–receptor complexes with HSA. The lowest binding energy (−38.83 kcal/mol) is found in the PFNA–HSA complex, indicating its high affinity for HSA, followed by the HSA–HFPO-TA complex (−35.20 kcal/mol). HSA–DFSA, on the other hand, has a lower affinity (−17.98 kcal/mol). Furthermore, energy decomposition analysis also indicates that van der Waals and electrostatic interactions are the primary driving forces for HSA–PFAS binding.
Table 4.
Binding free energies and energy components predicted by MM/GBSA (kcal/mol).
3.9. The Relationship between PFAS Structural Characteristics and Binding Behavior
Multiple factors influence protein–small molecule interactions, including small molecule structural characteristics, environmental variables, and affinity. The correlation analysis in Figure 14 reveals a significant interrelationship between binding constants, docking binding energies, and molecule structural properties. The binding constant (Y1), in particular, has a significant inverse relationship with Gibbs free energy (Y2, R = 0.79), docking binding energy (Y3, R = 0.75), and binding free energy (Y4, R = 0.90). This inverse relationship emphasizes the importance of binding energy in characterizing energy changes during the molecular binding process. A higher binding energy indicates a more powerful interaction between molecules, which promotes the formation of a stable binding state. Because of this improved interaction, molecules are more likely to aggregate and form stable binding complexes.
Figure 14.
The correlation analysis for the results from multispectral analysis, quantitative calculations, and molecular docking. Y1—Kb, Y2—ΔG, Y3—molecular docking binding energy, Y4—binding free energy,Y5—energy gap (ΔEHOMO-LUMO), Y6—highest ESP maximum, Y7—lowest ESP minimum, Y8—lowest ALIE minimum, Y9—f−(r) maximum, Y10—Δf(r) minimum, Y11—highest ALIE maximum, Y12—nucleophilicity index, Y13—electrophilicity index, Y14—Mulliken electronegativity, Y15—chemical potential.
Several quantum chemical descriptors, including the lowest ESP minimum (Y7, R = 0.37), highest ALIE maximum (Y11, R = 0.37), electrophilicity index (Y13, R = 0.36), and Mulliken electronegativity (Y14, R = 0.34), show a weak but noticeable positive correlation with the binding constant in this study. These descriptors mainly concern the electrostatic potential and distribution properties of small molecules. The reaction process is generally divided into two stages: the molecular approach (first step) and electronic structural rearrangement (second step). Long-range electrostatic interactions are frequently essential during the molecular approach phase. Only when the molecules are close to each other can the molecular electronic structure be rearranged. Binding reactions between small molecules and proteins are typically driven by weak forces; hence, descriptors related to electrostatic distribution and characteristics like ESP and ALIE are more representative when characterizing the binding. In contrast, descriptors usually used to describe electronic reaction characteristics, such as HOMO and LUMO, show no significant correlation with binding characteristics.
Furthermore, there are numerous quantum chemical descriptors that influence molecular structural features, but this study only considers a subset of them. The samples used in the study are limited to only six PFAS, resulting in a small sample size. To obtain more meaningful analytical results, a broader range of quantum chemical descriptors must be included, as well as an increased experimental data sample size.
3.10. Perspective and Application
The increase in binding affinity tends to increase the biological half-lives. As shown in Table 2, the binding constant of PFHpA (4.53 × 103 L·mol−1) is significantly lower than that of PFOA (2.27 × 105 L·mol−1). Similarly, the half-life of PFHpA (62–70 days) [72] is much shorter than that of PFOA (2.47–4.52 years). This correlation suggests that PFASs’ binding constants with HSA may influence their biochemical behaviors within the human body, affecting their bioaccumulative potential and internal half-lives, as previously observed [73].
Therefore, the binding behavior of PFAS with plasma proteins is key to understanding their bioavailability, toxicological properties, and bioaccumulative potential. Several studies have found significant variations in binding affinity among PFAS of various structures. Long-chain PFAS, such as certain perfluoroalkanoyl chlorides, for example, have a higher binding affinity, whereas binding decreases as the carbon chain length exceeds 11 [74].
The current study is a preliminary investigation into the interrelationship between binding constants and molecular structural properties. Quantum Structure–Activity Relationship (QSAR) models can also be used to predict and interpret their interactions in the future.
Researchers can predict the binding characteristics of new PFAS compounds by developing QSAR models that correlate the PFAS molecular structure with plasma protein binding affinity. For example, PFAS with specific functional groups may form more stable hydrogen or ionic bonds with protein amino acid residues. These models typically rely on experimental data from known compounds combined with statistical or machine learning methods.
Understanding the patterns of interaction between various PFAS and proteins allows for researchers to better predict their behavior in organisms, including their distribution, metabolism, and excretion pathways. This is critical not only for assessing the risk of individual PFAS, but also for understanding complex PFAS mixtures, and providing scientific evidence for risk assessments and environmental regulations.
4. Conclusions
This study investigates the interactions between six PFAS and HSA using multi-spectral techniques, Density Functional Theory (DFT), and molecular dynamics approaches.
Fluorescence quenching experiments revealed that four PFAS (PFNA, HFPO-TA, PFOA, and PFO3DA) have a high affinity for HSA, while the other two (PFHpA and DFSA) have a low affinity. PFNA, PFO3DA, PFHpA, and DFSA can easily quench fluorescence groups by generating a complex, resulting in a static quenching process, while the fluorescence quenching of PFOA and HFPO-TA on HSA is a mixed quenching process. The HSA–PFNA complex has the highest binding constant (7.81 × 106 L·mol−1) at 298 K, with the binding constants in the following order: PFNA (7.81 × 106 L·mol−1) > HFPO-TA (3.70 × 106 L·mol−1) > PFOA (2.27 × 105 L·mol−1) > PFO3DA (1.59 × 105 L·mol−1) > PFHpA (4.53 × 103 L·mol−1) > DFSA (1.52 × 103 L·mol−1).
Furthermore, synchronous fluorescence, 3D-EEM, and UV-vis spectroscopy show that HSA–PFAS binding changes the microenvironment around the amino acid residues, and causes structural changes in HSA. Molecular docking results show that the binding energy of HSA–PFNA is the lowest (−8.2 kcal·mol−1), indicating that PFNA is more likely to bind with HSA. The competitive probe results reveal that six HSA–PFAS binding sites are mainly located in HSA subdomain IIA, which further validates the findings of molecular docking. Molecular dynamics simulation (MD) analysis further shows the lowest binding free energy (−38.83 kcal/mol) in the HSA–PFNA complex, indicating that PFNA binds more readily with HSA.
This study also looked into the quantum chemical descriptors of the six PFAS, such as HOMO, LUMO, ESP, ALIE, and CDFT. Correlation analysis reveals that DFT quantum chemical descriptors related to electrostatic distribution and characteristics, like ESP and ALIE, are more representative when characterizing HSA–PFAS binding. However, the descriptors usually used to describe electronic reaction characteristics, such as HOMO and LUMO, show no significant correlation with binding characteristics. The binding constant (Y1) has a particularly significant inverse relationship with Gibbs free energy (Y2, R = 0.79), docking binding energy (Y3, R = 0.75), and binding free energy (Y4, R = 0.90). A higher binding energy indicates a more powerful interaction between molecules when forming a stable binding state. These findings shed light on the experimental and theoretical mechanisms of HSA–PFAS binding. Researchers can predict the binding characteristics of new PFAS compounds by developing QSAR models that correlate the PFAS molecular structure with the protein binding affinity in the future. Understanding the interactions between various PFAS and proteins allows for researchers to better predict their behavior in organisms, including their distribution, metabolism, and excretion pathways. This is critical not only for assessing the risk of individual PFAS, but also for understanding complex PFAS mixtures, providing scientific evidence for risk assessments and environmental regulations.
Author Contributions
M.P.: writing—original draft, methodology. Y.X.: data curation, writing—review and editing. Y.W.: software, visualization. X.C.: data curation, visualization. W.Z.: software, visualization. E.D.: visualization, writing—review and editing. L.Z.: conceptualization, visualization. J.F.: methodology, visualization. All authors have read and agreed to the published version of the manuscript.
Funding
Thanks for the support from the Science and technology project of China Petroleum and Changzhou University Innovation Consortium (research on key supporting technologies for multi-element thermal fluid heavy oil production), the Science and Technology Program of Changzhou City (CE20225069) and carbon peak and carbon neutral technology innovation special project of Jiangsu province (BE2022426). This work was also funded by the Research and Practice Innovation Program for Graduate Students in Jiangsu Province (SJCX22_1369, KYCX22_3083, SJCX22_1373, SJCX23_1544, SJCX23_1547). We thank the High-Performance Computing Cluster System of Changzhou University (HPCCS-CCZU) for providing chemical calculation and software service.
Institutional Review Board Statement
Not applicable.
Informed Consent Statement
Not applicable.
Data Availability Statement
Data is contained within the article.
Acknowledgments
The authors would like to thank the anonymous reviewers for their valuable comments.
Conflicts of Interest
The authors declare no conflicts of interest.
Appendix A
Table A1.
Characteristic parameters of 3D-EEM of HSA–PFAS binding.
Table A1.
Characteristic parameters of 3D-EEM of HSA–PFAS binding.
| System | Peak A | Peak B | ||
|---|---|---|---|---|
| Position | Intensity F | Position | Intensity F | |
| λex/λem (nm/nm) | a.u. | λex/λem (nm/nm) | a.u. | |
| HSA | 280/338 | 673.66 | 230/340 | 996.906 |
| HSA–PFNA | 280/329 | 418.74 | 230/310 | 800.96 |
| HSA–HFPO-TA | 280/321 | 499.16 | 230/314 | 861.38 |
| HSA–PFOA | 280/336 | 476.59 | 230/327 | 812.58 |
| HSA–PFO3DA | 280/329 | 525.07 | 230/325 | 886.91 |
| HSA–PFHpA | 280/336 | 656.89 | 230/335 | 997.01 |
| HSA–DFSA | 280/336 | 629.75 | 230/330 | 839.38 |
Table A2.
Conformational changes in the secondary structure of HSA with and without six PFAS.
Table A2.
Conformational changes in the secondary structure of HSA with and without six PFAS.
| Sample | Secondary Structure (%) | |||
|---|---|---|---|---|
| α-Helix | β-Sheet | β-Turn | Random Coil | |
| HSA | 41.6 | 4.9 | 16.9 | 36.7 |
| HSA–PFNA | 36.2 | 7.6 | 15.1 | 41.2 |
| HSA–HFPO-TA | 40.6 | 5.1 | 15.8 | 38.5 |
| HSA–PFOA | 37.2 | 6.4 | 15.8 | 40.5 |
| HSA–PFO3DA | 36.4 | 5.8 | 17.3 | 40.6 |
| HSA–PFHpA | 39.6 | 5.5 | 15.5 | 39.4 |
| HSA–DFSA | 43.2 | 4.0 | 15.8 | 37.0 |
Table A3.
Calculation of electron density at the free radical front of six PFAS.
Table A3.
Calculation of electron density at the free radical front of six PFAS.
| Matter | Label | Atom | HOMO Electron Density (×100%) | LUMO Electron Density (×100%) | Radical Frontier Electron Densities (fr Values × 100%) |
|---|---|---|---|---|---|
| PFNA | 1 | F | 0.620 | 0.110 | 0.730 |
| 2 | F | 0.620 | 0.110 | 0.730 | |
| 3 | F | 0.348 | 0.046 | 0.394 | |
| 4 | F | 0.348 | 0.046 | 0.394 | |
| 5 | F | 1.077 | 0.426 | 1.503 | |
| 6 | F | 1.077 | 0.426 | 1.503 | |
| 7 | F | 0.180 | 0.015 | 0.195 | |
| 8 | F | 0.180 | 0.015 | 0.195 | |
| 9 | F | 2.164 | 1.172 | 3.336 | |
| 10 | F | 2.164 | 1.172 | 3.336 | |
| 11 | F | 0.087 | 0.006 | 0.093 | |
| 12 | F | 0.087 | 0.006 | 0.093 | |
| 13 | F | 4.285 | 5.750 | 10.035 | |
| 14 | F | 4.285 | 5.750 | 10.035 | |
| 15 | F | 0.047 | 0.001 | 0.047 | |
| 16 | F | 0.026 | 0.001 | 0.027 | |
| 17 | F | 0.026 | 0.001 | 0.027 | |
| 18 | O | 8.180 | 10.095 | 18.275 | |
| 19 | O | 45.244 | 25.077 | 70.321 | |
| 20 | C | 1.447 | 0.114 | 1.561 | |
| 21 | C | 0.853 | 0.044 | 0.897 | |
| 22 | C | 2.453 | 0.369 | 2.822 | |
| 23 | C | 0.471 | 0.015 | 0.486 | |
| 24 | C | 3.398 | 1.886 | 5.284 | |
| 25 | C | 0.241 | 0.005 | 0.246 | |
| 26 | C | 9.747 | 11.538 | 21.285 | |
| 27 | C | 0.093 | 0.002 | 0.095 | |
| 28 | C | 9.720 | 34.703 | 44.423 | |
| 29 | H | 0.533 | 1.097 | 1.630 | |
| HFPO-TA | 1 | F | 0.039 | 0.389 | 0.428 |
| 2 | F | 0.071 | 0.166 | 0.237 | |
| 3 | F | 0.280 | 1.528 | 1.808 | |
| 4 | F | 0.001 | 0.041 | 0.042 | |
| 5 | F | 0.001 | 0.035 | 0.036 | |
| 6 | F | 0.006 | 0.039 | 0.045 | |
| 7 | F | 0.125 | 0.573 | 0.698 | |
| 8 | F | 0.090 | 0.192 | 0.282 | |
| 9 | F | 0.001 | 0.020 | 0.020 | |
| 10 | F | 0.001 | 0.011 | 0.011 | |
| 11 | F | 4.392 | 1.647 | 6.039 | |
| 12 | F | 0.001 | 0.009 | 0.009 | |
| 13 | F | 0.001 | 0.004 | 0.004 | |
| 14 | F | 0.001 | 0.004 | 0.004 | |
| 15 | F | 0.920 | 2.075 | 2.995 | |
| 16 | F | 0.965 | 0.738 | 1.703 | |
| 17 | F | 0.133 | 1.095 | 1.228 | |
| 18 | O | 0.010 | 0.141 | 0.151 | |
| 19 | O | 3.743 | 3.386 | 7.129 | |
| 20 | O | 8.666 | 11.385 | 20.051 | |
| 21 | O | 56.118 | 24.429 | 80.547 | |
| 22 | C | 0.044 | 0.522 | 0.566 | |
| 23 | C | 0.491 | 0.901 | 1.392 | |
| 24 | C | 0.002 | 0.065 | 0.067 | |
| 25 | C | 0.070 | 0.252 | 0.322 | |
| 26 | C | 0.002 | 0.036 | 0.038 | |
| 27 | C | 10.506 | 9.091 | 19.597 | |
| 28 | C | 0.001 | 0.017 | 0.018 | |
| 29 | C | 1.743 | 4.328 | 6.071 | |
| 30 | C | 10.980 | 35.622 | 46.602 | |
| 31 | H | 0.601 | 1.258 | 1.859 | |
| PFOA | 1 | F | 0.569 | 0.110 | 0.679 |
| 2 | F | 0.569 | 0.110 | 0.679 | |
| 3 | F | 1.030 | 0.427 | 1.457 | |
| 4 | F | 1.030 | 0.427 | 1.457 | |
| 5 | F | 0.289 | 0.046 | 0.335 | |
| 6 | F | 0.289 | 0.046 | 0.335 | |
| 7 | F | 2.148 | 1.175 | 3.323 | |
| 8 | F | 2.148 | 1.175 | 3.323 | |
| 9 | F | 0.139 | 0.014 | 0.153 | |
| 10 | F | 0.139 | 0.014 | 0.153 | |
| 11 | F | 4.321 | 5.757 | 10.078 | |
| 12 | F | 4.321 | 5.757 | 10.078 | |
| 13 | F | 0.074 | 0.001 | 0.075 | |
| 14 | F | 0.041 | 0.004 | 0.045 | |
| 15 | F | 0.041 | 0.004 | 0.045 | |
| 16 | O | 8.269 | 10.095 | 18.364 | |
| 17 | O | 46.032 | 25.067 | 71.099 | |
| 18 | C | 1.341 | 0.114 | 1.455 | |
| 19 | C | 2.369 | 0.369 | 2.738 | |
| 20 | C | 0.746 | 0.044 | 0.790 | |
| 21 | C | 3.355 | 1.892 | 5.247 | |
| 22 | C | 0.381 | 0.014 | 0.395 | |
| 23 | C | 9.830 | 11.552 | 21.382 | |
| 24 | C | 0.147 | 0.005 | 0.152 | |
| 25 | C | 9.840 | 34.685 | 44.525 | |
| 26 | H | 0.540 | 1.096 | 1.636 | |
| PFO3DA | 1 | F | 0.069 | 0.041 | 0.110 |
| 2 | F | 0.069 | 0.041 | 0.110 | |
| 3 | F | 0.012 | 0.001 | 0.013 | |
| 4 | F | 0.012 | 0.001 | 0.013 | |
| 5 | F | 0.172 | 0.200 | 0.372 | |
| 6 | F | 0.172 | 0.200 | 0.372 | |
| 7 | F | 0.003 | 0.001 | 0.004 | |
| 8 | F | 0.003 | 0.001 | 0.004 | |
| 9 | F | 3.915 | 4.575 | 8.490 | |
| 10 | F | 3.915 | 4.575 | 8.490 | |
| 11 | F | 0.001 | 0.001 | 0.001 | |
| 12 | F | 0.001 | 0.001 | 0.001 | |
| 13 | F | 0.001 | 0.001 | 0.001 | |
| 14 | O | 0.066 | 0.004 | 0.070 | |
| 15 | O | 1.401 | 1.626 | 3.027 | |
| 16 | O | 0.003 | 0.001 | 0.003 | |
| 17 | O | 8.353 | 11.173 | 19.526 | |
| 18 | O | 60.506 | 27.230 | 87.736 | |
| 19 | C | 0.265 | 0.074 | 0.339 | |
| 20 | C | 0.026 | 0.002 | 0.028 | |
| 21 | C | 0.337 | 0.453 | 0.790 | |
| 22 | C | 0.012 | 0.001 | 0.013 | |
| 23 | C | 9.200 | 10.372 | 19.572 | |
| 24 | C | 0.001 | 0.001 | 0.001 | |
| 25 | C | 10.861 | 38.321 | 49.182 | |
| 26 | H | 0.624 | 1.105 | 1.729 | |
| PFHpA | 1 | F | 0.966 | 0.427 | 1.393 |
| 2 | F | 0.966 | 0.427 | 1.393 | |
| 3 | F | 0.484 | 0.108 | 0.592 | |
| 4 | F | 0.484 | 0.108 | 0.592 | |
| 5 | F | 2.103 | 1.174 | 3.277 | |
| 6 | F | 2.103 | 1.174 | 3.277 | |
| 7 | F | 0.229 | 0.043 | 0.272 | |
| 8 | F | 0.229 | 0.043 | 0.272 | |
| 9 | F | 4.362 | 5.756 | 10.118 | |
| 10 | F | 4.362 | 5.756 | 10.118 | |
| 11 | F | 0.118 | 0.001 | 0.119 | |
| 12 | F | 0.067 | 0.012 | 0.079 | |
| 13 | F | 0.067 | 0.012 | 0.079 | |
| 14 | O | 8.384 | 10.096 | 18.480 | |
| 15 | O | 47.038 | 25.084 | 72.122 | |
| 16 | C | 2.240 | 0.370 | 2.610 | |
| 17 | C | 1.195 | 0.113 | 1.308 | |
| 18 | C | 3.280 | 1.892 | 5.172 | |
| 19 | C | 0.617 | 0.042 | 0.659 | |
| 20 | C | 9.923 | 11.550 | 21.473 | |
| 21 | C | 0.238 | 0.013 | 0.251 | |
| 22 | C | 9.995 | 34.703 | 44.698 | |
| 23 | H | 0.550 | 1.095 | 1.645 | |
| DFSA | 1 | F | 1.125 | 0.403 | 1.528 |
| 2 | F | 1.125 | 0.403 | 1.528 | |
| 3 | F | 1.125 | 0.403 | 1.528 | |
| 4 | F | 1.125 | 0.403 | 1.528 | |
| 5 | F | 1.496 | 0.706 | 2.202 | |
| 6 | F | 1.496 | 0.706 | 2.202 | |
| 7 | F | 1.496 | 0.706 | 2.202 | |
| 8 | F | 1.496 | 0.706 | 2.202 | |
| 9 | F | 2.256 | 2.941 | 5.197 | |
| 10 | F | 2.256 | 2.941 | 5.197 | |
| 11 | F | 2.256 | 2.941 | 5.197 | |
| 12 | F | 2.256 | 2.941 | 5.197 | |
| 13 | O | 4.144 | 4.927 | 9.071 | |
| 14 | O | 4.144 | 4.927 | 9.071 | |
| 15 | O | 20.731 | 12.270 | 33.001 | |
| 16 | O | 20.731 | 12.270 | 33.001 | |
| 17 | C | 2.522 | 0.374 | 2.896 | |
| 18 | C | 2.522 | 0.374 | 2.896 | |
| 19 | C | 2.552 | 1.080 | 3.632 | |
| 20 | C | 2.552 | 1.080 | 3.632 | |
| 21 | C | 5.207 | 5.780 | 10.987 | |
| 22 | C | 5.207 | 5.780 | 10.987 | |
| 23 | C | 4.828 | 16.929 | 21.757 | |
| 24 | C | 4.828 | 16.929 | 21.757 | |
| 25 | H | 0.261 | 0.540 | 0.801 | |
| 26 | H | 0.261 | 0.540 | 0.801 |
Table A4.
Details of molecular docking results.
Table A4.
Details of molecular docking results.
| PFAS | Binding Site | Amino Acid Residue | Binding Affinity (kcal/mol) |
|---|---|---|---|
| PFNA | Sub-domain IIA | GLN-196, SER-192, LYS-195, ARC-157 | −8.2 |
| HFPO-TA | Sub-domain IIA | GLN-29, ASP-249, LYS-106, PHE-149 | −7.9 |
| PFOA | Sub-domain IIA | ARG-257, LYS-199, LEU-238 | −7.8 |
| PFO3DA | Sub-domain IIA | ASP-249, LYS-106, PHE-149 | −7.8 |
| PFHpA | Sub-domain IIA | ARG-257 | −7.1 |
| DFSA | Sub-domain IIA | ARG-257 | −7.3 |
Table A5 shows the minimum points for the ESP of PFNA. The points with a smaller ESP value are prone to the electrophilic reaction or electron loss reaction.
Table A5.
Detailed information of minima points on the ESP map of PFNA.
Table A5.
Detailed information of minima points on the ESP map of PFNA.
| Number | a.u. | eV | kcal/mol | X/Y/Z Coordinate (Angstrom) | ||
|---|---|---|---|---|---|---|
| 1 | −0.00256476 | −0.069791 | −1.609415 | −2.733042 | −4.399004 | −1.354155 |
| 2 | −0.0025635 | −0.069756 | −1.608622 | −2.71706 | −4.390909 | 1.432051 |
| 3 | −0.00310688 | −0.084543 | −1.949599 | −2.110511 | −2.418047 | −1.899939 |
| 4 | −0.00310165 | −0.0844 | −1.946316 | −2.056609 | −2.418278 | 1.952226 |
| 5 | −0.00182446 | −0.049646 | −1.144867 | −1.943003 | 0.229967 | −2.015871 |
| 6 | −0.00181719 | −0.049448 | −1.140304 | −2.012692 | 0.260418 | 1.957219 |
| 7 | 0.00172291 | 0.046883 | 1.081146 | −1.689175 | 2.734329 | −2.185543 |
| 8 | 0.00172172 | 0.046851 | 1.080399 | −1.673282 | 2.71025 | 2.206598 |
| 9 | −0.00072568 | −0.019747 | −0.455369 | −1.030583 | −1.098369 | −2.708088 |
| 10 | −0.00072528 | −0.019736 | −0.455118 | −1.033686 | −1.101005 | 2.708316 |
| 11 | −0.00018964 | −0.00516 | −0.119002 | −1.004442 | 1.183892 | −2.668494 |
| 12 | −0.0035917 | −0.097735 | −2.25383 | −0.718917 | −7.256671 | −1.034456 |
| 13 | −0.00359286 | −0.097767 | −2.254555 | −0.720813 | −7.258846 | 1.031159 |
| 14 | −0.00312285 | −0.084977 | −1.959619 | 1.252509 | −6.230336 | 2.216935 |
| 15 | −0.00311471 | −0.084756 | −1.95451 | 1.262496 | −6.208841 | −2.235629 |
| 16 | −0.00329991 | −0.089795 | −2.070729 | 1.927462 | −3.853978 | −1.890087 |
| 17 | −0.00331016 | −0.090074 | −2.077158 | 1.881056 | −3.874691 | 1.946601 |
| 18 | −0.005165 | −0.140547 | −3.241087 | 2.027359 | −1.079597 | −1.857081 |
| 19 | −0.00517123 | −0.140716 | −3.244997 | 2.089185 | −0.957638 | 1.844006 |
| 20 | −0.00284419 | −0.077394 | −1.78476 | 2.359588 | −5.984822 | 1.488193 |
| 21 | −0.05153992 | −1.402473 | −32.341817 | 3.204304 | 6.311526 | −0.041848 |
Table A6 shows the maximum points for the ESP of PFNA. The points with a higher ESP value are prone to the nucleophilic reaction.
Table A6.
Detailed information of maxima points on the ESP map of PFNA.
Table A6.
Detailed information of maxima points on the ESP map of PFNA.
| Number | a.u. | eV | kcal/mol | X/Y/Z Coordinate (Angstrom) | ||
|---|---|---|---|---|---|---|
| 1 | 0.00078408 | 0.021336 | 0.492018 | −2.198569 | −3.715034 | 2.395152 |
| 2 | 0.00174453 | 0.047471 | 1.094711 | −2.251314 | −0.98438 | −2.328944 |
| 3 | 0.00377408 | 0.102698 | 2.368272 | −2.226006 | 1.815523 | −2.299084 |
| 4 | 0.00375375 | 0.102145 | 2.355519 | −2.314512 | 1.830511 | 2.217806 |
| 5 | 0.1369104 | 3.725522 | 85.912647 | −2.261447 | 6.450843 | −0.057965 |
| 6 | 0.02009527 | 0.54682 | 12.609981 | −2.100253 | −4.932545 | −0.049461 |
| 7 | 0.00078732 | 0.021424 | 0.494052 | −2.185753 | −3.728205 | −2.40383 |
| 8 | 0.03619023 | 0.984786 | 22.709731 | −2.165058 | −2.386444 | −0.005823 |
| 9 | 0.00175421 | 0.047734 | 1.100782 | −2.172007 | −0.952454 | 2.386437 |
| 10 | 0.03670319 | 0.998745 | 23.031619 | −2.136952 | 0.294628 | 0.00346 |
| 11 | 0.04159386 | 1.131827 | 26.100565 | −2.099417 | 2.869966 | −0.048825 |
| 12 | −0.00037348 | −0.010163 | −0.234359 | −1.641064 | −7.163151 | −0.009394 |
| 13 | 0.02388422 | 0.649923 | 14.987588 | −0.611037 | −5.323351 | 1.745663 |
| 14 | 0.02387469 | 0.649663 | 14.981606 | −0.60944 | −5.322585 | −1.746802 |
| 15 | 0.01446999 | 0.393748 | 9.080064 | −0.346449 | −2.394971 | 2.126069 |
| 16 | 0.01394373 | 0.379428 | 8.74983 | −0.331086 | 0.246292 | −2.122432 |
| 17 | 0.01387798 | 0.377639 | 8.708568 | −0.317189 | 0.256435 | 2.126274 |
| 18 | 0.01542621 | 0.419768 | 9.680099 | −0.328018 | 2.894377 | −2.118471 |
| 19 | 0.01542283 | 0.419676 | 9.677978 | −0.323027 | 2.898299 | 2.11953 |
| 20 | 0.01422157 | 0.386989 | 8.924178 | −0.317852 | −2.396234 | −2.136735 |
| 21 | 0.01482924 | 0.403524 | 9.305495 | 0.199664 | −3.720799 | 2.113965 |
| 22 | 0.01378201 | 0.375028 | 8.648351 | 0.20886 | −1.063509 | 2.134037 |
| 23 | 0.05297924 | 1.441638 | 33.245 | 0.166545 | 5.38545 | −1.772435 |
| 24 | 0.05293733 | 1.440498 | 33.218701 | 0.151661 | 5.380913 | 1.774217 |
| 25 | 0.01475658 | 0.401547 | 9.259899 | 0.198373 | −3.731492 | −2.115702 |
| 26 | 0.01361038 | 0.370357 | 8.540647 | 0.183669 | −1.086309 | −2.142551 |
| 27 | 0.01188333 | 0.323362 | 7.456907 | 0.226042 | 1.555954 | −2.143905 |
| 28 | 0.01183968 | 0.322174 | 7.429516 | 0.235588 | 1.583181 | 2.142373 |
| 29 | 0.03807345 | 1.036031 | 23.891471 | 1.241083 | −6.547584 | −0.044599 |
| 30 | −0.00232106 | −0.063159 | −1.456485 | 1.902554 | −0.007932 | −2.489981 |
| 31 | −0.00011733 | −0.003193 | −0.073624 | 1.941951 | −5.170208 | −2.408493 |
| 32 | −0.00011468 | −0.003121 | −0.071961 | 1.951114 | −5.166276 | 2.402661 |
| 33 | 0.03890513 | 1.058662 | 24.413359 | 1.981638 | −3.748805 | −0.059062 |
| 34 | −0.00006139 | −0.001671 | −0.038525 | 2.038846 | −2.535183 | −2.391643 |
| 35 | −0.00005025 | −0.001367 | −0.03153 | 1.983586 | −2.438736 | 2.435133 |
| 36 | −0.00232134 | −0.063167 | −1.456666 | 1.922253 | 0.112879 | 2.492599 |
| 37 | 0.03352563 | 0.912279 | 21.03767 | 2.049706 | −1.078568 | −0.01805 |
| 38 | 0.02698529 | 0.734307 | 16.933537 | 2.085531 | 1.474341 | −0.001908 |
Table A7 shows the minimum points for the ESP of HFPO-TA. The points with a smaller ESP value are prone to the electrophilic reaction or electron loss reaction.
Table A7.
Detailed information of minima points on the ESP map of HFPO-TA.
Table A7.
Detailed information of minima points on the ESP map of HFPO-TA.
| Number | a.u. | eV | kcal/mol | X/Y/Z Coordinate (Angstrom) | ||
|---|---|---|---|---|---|---|
| 1 | −0.00461712 | −0.125638 | −2.897286 | −8.472543 | −0.593419 | 0.787227 |
| 2 | −0.00462201 | −0.125771 | −2.900359 | −8.011784 | −2.086933 | −0.893139 |
| 3 | −0.00390569 | −0.106279 | −2.45086 | −7.419505 | 1.725907 | 0.868959 |
| 4 | −0.00346531 | −0.094296 | −2.174514 | −6.965548 | −0.920238 | −2.959857 |
| 5 | −0.0038568 | −0.104949 | −2.420182 | −5.189791 | 2.287263 | 0.134567 |
| 6 | −0.00284789 | −0.077495 | −1.787078 | −4.343449 | −0.282693 | −2.840069 |
| 7 | −0.00861965 | −0.234553 | −5.408917 | −4.106831 | −3.279844 | 0.723678 |
| 8 | −0.00862762 | −0.234769 | −5.413916 | −4.167206 | −1.489338 | 2.647718 |
| 9 | −0.00410926 | −0.111819 | −2.578604 | −2.935282 | 2.44127 | −0.876268 |
| 10 | −0.00592527 | −0.161235 | −3.718166 | −2.529161 | 2.37292 | 1.130759 |
| 11 | −0.00403446 | −0.109783 | −2.531661 | −2.32427 | 0.557812 | −2.58368 |
| 12 | −0.00368895 | −0.100381 | −2.314854 | −2.25471 | 2.528925 | −1.079009 |
| 13 | −0.0074728 | −0.203345 | −4.689259 | −1.789279 | −1.255814 | −2.382837 |
| 14 | −0.00329602 | −0.089689 | −2.068284 | −1.306799 | 0.673228 | −2.537822 |
| 15 | −0.01346982 | −0.366532 | −8.452447 | −0.458952 | −4.00293 | 1.990259 |
| 16 | −0.00053431 | −0.014539 | −0.335285 | −0.36189 | 4.993083 | −0.823153 |
| 17 | −0.00398428 | −0.108418 | −2.500175 | −0.04823 | 1.802948 | −2.593018 |
| 18 | −0.00965328 | −0.262679 | −6.057532 | 0.442236 | −2.15081 | −1.230912 |
| 19 | −0.01784534 | −0.485596 | −11.198131 | 1.001009 | −0.841836 | 3.210719 |
| 20 | 0.00218419 | 0.059435 | 1.370604 | 2.148046 | 5.437683 | −0.695317 |
| 21 | 0.00096094 | 0.026149 | 0.603 | 2.184104 | 2.552594 | −2.980563 |
| 22 | −0.00387087 | −0.105332 | −2.42901 | 2.785979 | −2.275365 | −3.503317 |
| 23 | −0.05119253 | −1.393019 | −32.123822 | 3.17561 | −2.267743 | 3.401694 |
| 24 | 0.00348316 | 0.094782 | 2.185715 | 3.708534 | 2.48456 | −2.4331 |
| 25 | 0.00427689 | 0.11638 | 2.683792 | 3.711152 | 3.682457 | −1.121281 |
| 26 | −0.00293275 | −0.079804 | −1.840332 | 4.739925 | −4.43612 | −0.202382 |
| 27 | 0.0085342 | 0.232228 | 5.355299 | 5.388592 | 0.295737 | −2.451385 |
Table A8 shows the maximum points for the ESP of HFPO-TA. The points with a higher ESP value are prone to the nucleophilic reaction.
Table A8.
Detailed information of maxima points on the ESP map of HFPO-TA.
Table A8.
Detailed information of maxima points on the ESP map of HFPO-TA.
| Number | a.u. | eV | kcal/mol | X/Y/Z Coordinate (Angstrom) | ||
|---|---|---|---|---|---|---|
| 1 | −0.00171219 | −0.046591 | −1.074415 | −8.396321 | −1.809999 | 0.326795 |
| 2 | 0.03810275 | 1.036829 | 23.909856 | −7.607055 | 0.495077 | −1.285127 |
| 3 | 0.02269288 | 0.617505 | 14.240009 | −6.697931 | 0.098194 | 1.38515 |
| 4 | −0.00068683 | −0.01869 | −0.430993 | −6.508742 | 2.580779 | 0.320673 |
| 5 | 0.01824909 | 0.496583 | 11.451486 | −6.227526 | −2.019959 | 0.991107 |
| 6 | 0.02322703 | 0.63204 | 14.575197 | −6.189733 | −2.003867 | −1.361603 |
| 7 | −0.00009279 | −0.002525 | −0.058226 | −5.848933 | −0.175032 | −3.411765 |
| 8 | −0.00280735 | −0.076392 | −1.76164 | −5.267418 | −0.375107 | 3.028558 |
| 9 | 0.01400506 | 0.381097 | 8.788318 | −5.042748 | 1.151653 | 1.244851 |
| 10 | −0.00272062 | −0.074032 | −1.707215 | −4.768302 | −3.540596 | −0.798403 |
| 11 | 0.03667451 | 0.997964 | 23.01362 | −4.775801 | 1.174763 | −1.407986 |
| 12 | 0.01454919 | 0.395904 | 9.129764 | −4.67502 | −1.525325 | −1.934116 |
| 13 | 0.00938778 | 0.255455 | 5.890927 | −3.842242 | −2.072009 | 1.38515 |
| 14 | −0.00093436 | −0.025425 | −0.586318 | −3.67684 | 2.787862 | 0.220557 |
| 15 | 0.01848978 | 0.503133 | 11.602522 | −3.551421 | 0.549293 | 1.703955 |
| 16 | −0.00055419 | −0.01508 | −0.347763 | −3.189026 | −0.433902 | −3.12563 |
| 17 | 0.02098005 | 0.570896 | 13.165192 | −2.899639 | −2.001149 | −0.850287 |
| 18 | −0.00778084 | −0.211728 | −4.882557 | −2.134889 | −3.872607 | 1.641206 |
| 19 | 0.01227945 | 0.334141 | 7.705479 | −2.188821 | −1.256771 | 2.443504 |
| 20 | 0.01628279 | 0.443077 | 10.217613 | −2.068557 | −2.493833 | −0.148523 |
| 21 | 0.00803789 | 0.218722 | 5.043855 | −1.981162 | 0.245841 | 2.191975 |
| 22 | 0.00088588 | 0.024106 | 0.555897 | −1.747176 | 1.950314 | −2.372383 |
| 23 | 0.00393749 | 0.107145 | 2.470813 | −1.593239 | 2.801703 | −0.070088 |
| 24 | −0.00044019 | −0.011978 | −0.276227 | −1.451576 | −0.026298 | −2.173926 |
| 25 | −0.0012484 | −0.033971 | −0.783385 | −1.491151 | 2.557142 | 2.256567 |
| 26 | 0.00145774 | 0.039667 | 0.914748 | −1.196356 | 4.256947 | −0.731559 |
| 27 | −0.00400782 | −0.109058 | −2.514949 | −0.667179 | −1.947917 | −2.380787 |
| 28 | −0.00644659 | −0.175421 | −4.045298 | −0.538395 | 0.326935 | 3.613938 |
| 29 | 0.01698084 | 0.462072 | 10.655645 | −0.413152 | −2.864575 | −0.089793 |
| 30 | 0.00273705 | 0.074479 | 1.717528 | −0.140324 | 2.881141 | −1.791041 |
| 31 | 0.0212631 | 0.578598 | 13.342806 | 0.266122 | −2.40343 | 2.704226 |
| 32 | 0.02232602 | 0.607522 | 14.009798 | 0.244535 | 0.203737 | −1.720492 |
| 33 | 0.01093347 | 0.297515 | 6.86086 | 0.457411 | 0.923757 | 1.980562 |
| 34 | 0.0418412 | 1.138557 | 26.25577 | 0.889847 | 4.682522 | 1.11228 |
| 35 | 0.01709159 | 0.465086 | 10.725142 | 1.289829 | 0.083739 | −1.679882 |
| 36 | 0.02898318 | 0.788672 | 18.187234 | 1.293071 | 3.802434 | −1.574311 |
| 37 | 0.00183059 | 0.049813 | 1.148716 | 1.42062 | 2.201627 | −3.291523 |
| 38 | 0.0008131 | 0.022125 | 0.510226 | 1.420245 | 2.996346 | 3.188492 |
| 39 | 0.01404789 | 0.382263 | 8.815191 | 1.58441 | 1.03329 | 1.778987 |
| 40 | 0.01626472 | 0.442586 | 10.206275 | 2.352581 | −1.364616 | −2.067066 |
| 41 | 0.01807087 | 0.491733 | 11.339649 | 2.375591 | 3.405552 | −1.738431 |
| 42 | 0.0180674 | 0.491639 | 11.337475 | 2.650086 | 3.280063 | −1.659148 |
| 43 | 0.02384751 | 0.648924 | 14.964554 | 3.00572 | 1.011513 | −2.235777 |
| 44 | 0.02835888 | 0.771684 | 17.795479 | 3.145662 | 3.131112 | 1.335447 |
| 45 | 0.02850928 | 0.775777 | 17.889858 | 3.607252 | 3.049681 | 0.874115 |
| 46 | 0.00714982 | 0.194557 | 4.486586 | 3.596452 | 4.747999 | −0.314997 |
| 47 | 0.03733294 | 1.015881 | 23.426796 | 3.799693 | −3.670415 | −2.118871 |
| 48 | 0.02545209 | 0.692587 | 15.971443 | 4.128417 | 0.098194 | −2.254152 |
| 49 | 0.00233111 | 0.063433 | 1.462793 | 4.340349 | −1.36692 | −3.935832 |
| 50 | 0.03548586 | 0.965619 | 22.267733 | 5.824356 | −1.752347 | −1.915001 |
| 51 | 0.13163069 | 3.581853 | 82.599572 | 7.092408 | 0.077673 | 0.579258 |
Table A9 shows the minimum points for the ESP of PFOA. The points with a smaller ESP value are prone to the electrophilic reaction or electron loss reaction.
Table A9.
Detailed information of minima points on the ESP map of PFOA.
Table A9.
Detailed information of minima points on the ESP map of PFOA.
| Number | a.u. | eV | kcal/mol | X/Y/Z Coordinate (Angstrom) | ||
|---|---|---|---|---|---|---|
| 1 | −0.00200987 | −0.054691 | −1.261211 | −1.775007 | −3.243 | 2.017137 |
| 2 | −0.00150071 | −0.040836 | −0.941708 | −1.798098 | −0.448829 | −2.05791 |
| 3 | −0.00199814 | −0.054372 | −1.253854 | −1.757805 | −3.197558 | −2.007395 |
| 4 | −0.00147032 | −0.040009 | −0.92264 | −1.761719 | −0.429531 | 2.083094 |
| 5 | −0.00275389 | −0.074937 | −1.728094 | −0.982346 | −5.463644 | 2.349377 |
| 6 | −0.00275111 | −0.074862 | −1.726352 | −0.942351 | −5.446859 | −2.361242 |
| 7 | −0.0005793 | −0.015764 | −0.363517 | −0.870278 | −1.767582 | −2.705951 |
| 8 | −0.00057836 | −0.015738 | −0.362929 | −0.875627 | −1.770956 | 2.706464 |
| 9 | −0.00007298 | −0.001986 | −0.045797 | −0.880745 | 0.621726 | 2.682915 |
| 10 | −0.00006483 | −0.001764 | −0.040684 | −0.835353 | 0.617191 | −2.675381 |
| 11 | −0.00404254 | −0.110003 | −2.536735 | 0.925566 | −6.522167 | 1.085761 |
| 12 | −0.00404479 | −0.110064 | −2.538148 | 1.003173 | −6.444512 | −1.140274 |
| 13 | −0.00634261 | −0.172591 | −3.980051 | 2.193822 | −1.6543 | −1.80503 |
| 14 | −0.00631394 | −0.171811 | −3.962058 | 2.242767 | −1.710627 | 1.741491 |
| 15 | −0.05158322 | −1.403651 | −32.368987 | 3.025666 | 5.819282 | −0.00821 |
Table A10 shows the maximum points for the ESP of PFOA. The points with a higher ESP value are prone to the nucleophilic reaction.
Table A10.
Detailed information of maxima points on the ESP map of PFOA.
Table A10.
Detailed information of maxima points on the ESP map of PFOA.
| Number | a.u. | eV | kcal/mol | X/Y/Z Coordinate (Angstrom) | ||
|---|---|---|---|---|---|---|
| 1 | 0.13704021. | 3.729054 | 85.994099 | −2.409296 | 5.66906 | −0.01039 |
| 2 | 0.00399517 | 0.108714 | 2.507011 | −2.266245 | 1.03407 | −2.253643 |
| 3 | 0.00397656 | 0.108208 | 2.495333 | −2.302952 | 1.017791 | 2.221555 |
| 4 | 0.00223006 | 0.060683 | 1.399384 | −2.105626 | −1.792344 | −2.342313 |
| 5 | 0.00223016 | 0.060686 | 1.399448 | −2.090838 | −1.784832 | 2.354018 |
| 6 | 0.03745099 | 1.019093 | 23.50087 | −2.056136 | −0.440313 | −0.038059 |
| 7 | 0.04206036 | 1.144521 | 26.393296 | −2.116933 | 2.119702 | 0.007295 |
| 8 | 0.00088143 | 0.023985 | 0.553106 | −1.986249 | −4.511536 | −2.35523 |
| 9 | 0.00088411 | 0.024058 | 0.554787 | −1.987409 | −4.512713 | 2.354018 |
| 10 | 0.04020066 | 1.093916 | 25.226319 | −1.962546 | −3.095515 | −0.063861 |
| 11 | 0.03834027 | 1.043292 | 24.058906 | −1.175123 | −5.922283 | −0.058935 |
| 12 | 0.01396082 | 0.379893 | 8.760554 | −0.298612 | −0.41894 | −2.115454 |
| 13 | 0.01395474 | 0.379728 | 8.756742 | −0.300182 | −0.420362 | 2.115262 |
| 14 | 0.01505192 | 0.409584 | 9.445231 | −0.278421 | 2.24216 | 2.139411 |
| 15 | 0.01464266 | 0.398447 | 9.188417 | −0.169049 | −3.066181 | −2.117336 |
| 16 | 0.01458243 | 0.396808 | 9.15062 | −0.162607 | −3.063081 | 2.119685 |
| 17 | 0.01515187 | 0.412303 | 9.507951 | −0.286165 | 2.227555 | −2.135413 |
| 18 | 0.05308007 | 1.444382 | 33.308274 | 0.059673 | 4.715223 | −1.774456 |
| 19 | 0.05303716 | 1.443214 | 33.281346 | 0.047179 | 4.711752 | 1.77596 |
| 20 | 0.01362351 | 0.370715 | 8.548892 | 0.365374 | −1.73894 | 2.123357 |
| 21 | 0.01187587 | 0.323159 | 7.452226 | 0.264205 | 0.808818 | −2.143989 |
| 22 | 0.01194745 | 0.325107 | 7.497144 | 0.261206 | 0.912525 | 2.141228 |
| 23 | 0.01353749 | 0.368374 | 8.49491 | 0.349799 | −1.757086 | −2.128792 |
| 24 | 0.0230319 | 0.62673 | 14.452746 | 0.620425 | −4.677041 | −1.759885 |
| 25 | 0.02333215 | 0.6349 | 14.64116 | 0.655067 | −4.670046 | 1.741323 |
| 26 | −0.00113078 | −0.03077 | −0.709576 | 1.656236 | −6.534042 | −0.028127 |
| 27 | −0.00273802 | −0.074505 | −1.718133 | 1.948824 | −0.550385 | 2.515762 |
| 28 | −0.00120364 | −0.032753 | −0.755296 | 2.061528 | −3.162191 | −2.488254 |
| 29 | −0.00121152 | −0.032967 | −0.760241 | 2.059468 | −3.198558 | 2.485496 |
| 30 | −0.0027402 | −0.074565 | −1.719503 | 1.945421 | −0.566356 | −2.515328 |
| 31 | 0.01851887 | 0.503924 | 11.620777 | 2.127305 | −4.273164 | 0.038497 |
| 32 | 0.03223493 | 0.877157 | 20.227741 | 2.174863 | −1.632658 | −0.038597 |
| 33 | 0.02692153 | 0.732572 | 16.893526 | 2.110263 | 0.921315 | −0.001946 |
Table A11 shows the minimum points for the ESP of PFO3DA. The points with a smaller ESP value are prone to the electrophilic reaction or electron loss reaction.
Table A11.
Detailed information of minima points on the ESP map of PFO3DA.
Table A11.
Detailed information of minima points on the ESP map of PFO3DA.
| Number | a.u. | eV | kcal/mol | X/Y/Z Coordinate (Angstrom) | ||
|---|---|---|---|---|---|---|
| 1 | −0.05255014 | −1.429962 | −32.975739 | −3.28716 | 6.026046 | 0.021618 |
| 2 | −0.00867225 | −0.235984 | −5.441922 | −2.481916 | −0.142559 | 1.842684 |
| 3 | −0.01618626 | −0.440451 | −10.157042 | −2.479661 | 2.203244 | 1.12404 |
| 4 | −0.0036853 | −0.100282 | −2.312562 | −2.356712 | −5.876054 | −0.042242 |
| 5 | −0.00868042 | −0.236206 | −5.447049 | −2.362591 | −0.193278 | −1.933953 |
| 6 | −0.016185 | −0.440416 | −10.15625 | −2.404831 | 2.255065 | −1.191848 |
| 7 | −0.00486167 | −0.132293 | −3.050747 | −2.207291 | −4.101209 | −0.040243 |
| 8 | −0.00236537 | −0.064365 | −1.484296 | 0.897472 | −6.315133 | 2.365862 |
| 9 | −0.00236089 | −0.064243 | −1.481481 | 0.910678 | −6.30216 | −2.375327 |
| 10 | −0.00128105 | −0.034859 | −0.803869 | 0.86914 | 1.592463 | −2.68179 |
| 11 | −0.00129021 | −0.035108 | −0.809617 | 0.927075 | 1.633614 | 2.690844 |
| 12 | −0.00093596 | −0.025469 | −0.587327 | 1.424469 | −0.510601 | 1.054795 |
| 13 | −0.0009282 | −0.025258 | −0.582456 | 1.415665 | −0.518863 | −1.066977 |
| 14 | −0.00434036 | −0.118107 | −2.723616 | 1.70143 | −3.963915 | −2.008507 |
| 15 | −0.00434557 | −0.118249 | −2.726887 | 1.65271 | −3.9711 | 2.040966 |
| 16 | −0.00103522 | −0.02817 | −0.649609 | 1.678634 | 2.789593 | −2.21551 |
| 17 | −0.00102747 | −0.027959 | −0.644747 | 1.836296 | 2.813763 | 2.121085 |
| 18 | −0.00296772 | −0.080756 | −1.862274 | 2.197432 | 0.429843 | −1.451889 |
| 19 | −0.00296614 | −0.080713 | −1.861282 | 2.200703 | 0.438037 | 1.465588 |
| 20 | −0.00226113 | −0.061529 | −1.418883 | 2.460531 | −5.930015 | −1.334035 |
| 21 | −0.00226313 | −0.061583 | −1.420139 | 2.466757 | −5.928676 | 1.308587 |
| 22 | −0.00362853 | −0.098737 | −2.276941 | 2.453526 | −1.846924 | 1.301792 |
| 23 | −0.00362255 | −0.098575 | −2.273187 | 2.404248 | −1.776566 | −1.33238 |
Table A12 shows the maximum points for the ESP of PFO3DA. The points with a higher ESP value are prone to the nucleophilic reaction.
Table A12.
Detailed information of maxima points on the ESP map of PFO3DA.
Table A12.
Detailed information of maxima points on the ESP map of PFO3DA.
| Number | a.u. | eV | kcal/mol | X/Y/Z Coordinate (Angstrom) | ||
|---|---|---|---|---|---|---|
| 1 | −0.00209324 | −0.05696 | −1.313526 | −2.290195 | −2.105296 | 2.43966 |
| 2 | 0.03835598 | 1.043719 | 24.068761 | −2.395495 | −0.365425 | 0.007326 |
| 3 | 0.01400367 | 0.381059 | 8.787441 | −2.26331 | −3.018514 | 0.007698 |
| 4 | −0.00208909 | −0.056847 | −1.310925 | −2.239982 | −2.081959 | −2.472816 |
| 5 | −0.00527126 | −0.143438 | −3.307765 | −2.025606 | 1.003208 | 2.56989 |
| 6 | 0.0000298 | 0.000811 | 0.018699 | −2.071707 | 2.260416 | −0.033438 |
| 7 | −0.0052645 | −0.143254 | −3.303524 | −1.965645 | 0.968004 | −2.595362 |
| 8 | 0.00046446 | 0.012639 | 0.291451 | −1.795879 | −7.271531 | −0.032173 |
| 9 | 0.03573752 | 0.972467 | 22.425652 | −0.800653 | −5.130576 | −1.562664 |
| 10 | 0.03573142 | 0.972301 | 22.421823 | −0.777324 | −5.118228 | 1.578095 |
| 11 | 0.02287684 | 0.622511 | 14.355449 | −0.527908 | −3.275863 | −1.819096 |
| 12 | 0.02296866 | 0.625009 | 14.413067 | −0.496951 | −3.222527 | 1.842684 |
| 13 | 0.02069547 | 0.563152 | 12.986615 | −0.310099 | 2.273284 | −1.864588 |
| 14 | 0.02074901 | 0.564609 | 13.020208 | −0.296783 | 2.395436 | 1.837612 |
| 15 | 0.05415975 | 1.473762 | 33.985783 | −0.199311 | 5.291297 | −1.772519 |
| 16 | 0.05407664 | 1.4715 | 33.933635 | −0.1424 | 5.362713 | 1.769917 |
| 17 | 0.02236054 | 0.608461 | 14.03146 | 0.091103 | −1.147538 | −1.803363 |
| 18 | 0.02263293 | 0.615873 | 14.202388 | 0.075628 | −1.185359 | 1.815253 |
| 19 | 0.0220277 | 0.599404 | 13.8226 | 0.116645 | 0.293412 | −1.829727 |
| 20 | 0.0219972 | 0.598574 | 13.803461 | 0.086237 | 0.290265 | 1.83966 |
| 21 | 0.03928685 | 1.06905 | 24.652894 | 1.017163 | −6.803091 | 0.022394 |
| 22 | 0.01609798 | 0.438048 | 10.101641 | 1.759392 | −1.363067 | −0.034657 |
| 23 | 0.01625055 | 0.4422 | 10.19738 | 1.801937 | 0.309962 | 0.008531 |
| 24 | 0.00029819 | 0.008114 | 0.187115 | 1.842666 | −5.52699 | −2.390734 |
| 25 | 0.00031242 | 0.008501 | 0.196045 | 1.892222 | −5.549442 | 2.352285 |
| 26 | 0.04334405 | 1.179452 | 27.198825 | 1.92845 | −4.096735 | −0.019594 |
| 27 | −0.00018058 | −0.004914 | −0.113317 | 1.943975 | −2.500349 | −2.392014 |
| 28 | −0.00018475 | −0.005027 | −0.115932 | 1.961573 | −2.491781 | 2.378834 |
| 29 | 0.00134848 | 0.036694 | 0.846183 | 2.074193 | 1.60188 | −2.40639 |
| 30 | 0.00135946 | 0.036993 | 0.853073 | 2.108653 | 1.619562 | 2.384041 |
| 31 | 0.04533888 | 1.233734 | 28.450602 | 2.154487 | 2.909843 | −0.041993 |
| 32 | 0.13674252 | 3.720953 | 85.807297 | 2.153761 | 6.613335 | −0.04369 |
Table A13 shows the minimum points for the ESP of PFHpA. The points with a smaller ESP value are prone to the electrophilic reaction or electron loss reaction.
Table A13.
Detailed information of minima points on the ESP map of PFHpA.
Table A13.
Detailed information of minima points on the ESP map of PFHpA.
| Number | a.u. | eV | kcal/mol | X/Y/Z Coordinate (Angstrom) | ||
|---|---|---|---|---|---|---|
| 1 | −0.05146101 | −1.400325 | −32.292301 | −3.215565 | 4.97726 | −0.025976 |
| 2 | −0.00392817 | −0.106891 | −2.464965 | −2.635794 | −4.098168 | −1.292152 |
| 3 | −0.00392906 | −0.106915 | −2.465525 | −2.635197 | −4.097572 | 1.295765 |
| 4 | −0.00498716 | −0.135708 | −3.129495 | −1.902204 | −2.436824 | −1.880561 |
| 5 | −0.00498896 | −0.135757 | −3.130625 | −1.899997 | −2.511592 | 1.881956 |
| 6 | −0.00383752 | −0.104424 | −2.40808 | −1.268736 | −4.957645 | −2.194388 |
| 7 | −0.00383647 | −0.104396 | −2.407422 | −1.235018 | −4.940963 | 2.218143 |
| 8 | −0.00395737 | −0.107685 | −2.483286 | 0.719027 | −6.008258 | 0.971913 |
| 9 | −0.0039506 | −0.107501 | −2.479044 | 0.774214 | −5.95461 | −1.031884 |
| 10 | −0.0014334 | −0.039005 | −0.899471 | 0.994792 | −2.310858 | −2.699431 |
| 11 | −0.00143781 | −0.039125 | −0.90224 | 1.110826 | −2.18313 | 2.701246 |
| 12 | 0.00171624 | 0.046701 | 1.076958 | 1.669358 | 1.399664 | 2.220892 |
| 13 | −0.0026688 | −0.072622 | −1.674701 | 2.068832 | −1.113368 | −1.943627 |
| 14 | −0.00267116 | −0.072686 | −1.676182 | 2.060152 | −1.116604 | 1.953071 |
| 15 | −0.00242298 | −0.065933 | −1.520444 | 2.616608 | −3.254111 | −1.491868 |
| 16 | −0.00242605 | −0.066016 | −1.522371 | 2.63958 | −3.230077 | 1.469629 |
Table A14 shows the maximum points for the ESP of PFHpA. The points with a higher ESP value are prone to the nucleophilic reaction.
Table A14.
Detailed information of maxima points on the ESP map of PFHpA.
Table A14.
Detailed information of maxima points on the ESP map of PFHpA.
| Number | a.u. | eV | kcal/mol | X/Y/Z Coordinate (Angstrom) | ||
|---|---|---|---|---|---|---|
| 1 | 0.02756815 | 0.750168 | 17.29929 | −2.049851 | 0.205485 | −0.038608 |
| 2 | −0.001146 | −0.031184 | −0.719129 | −1.911846 | −3.894457 | −2.414155 |
| 3 | −0.00114733 | −0.03122 | −0.719959 | −1.899997 | −3.891549 | 2.421932 |
| 4 | 0.03723575 | 1.013236 | 23.365802 | −1.968163 | −2.504478 | 0.004648 |
| 5 | −0.00226707 | −0.06169 | −1.422611 | −1.927799 | −1.258982 | −2.46218 |
| 6 | −0.00226296 | −0.061578 | −1.420028 | −1.899817 | −1.244902 | 2.479951 |
| 7 | 0.03752633 | 1.021143 | 23.548145 | −1.172053 | −5.280314 | −0.027178 |
| 8 | 0.01199426 | 0.32638 | 7.526517 | −0.294143 | 0.224963 | −2.118995 |
| 9 | 0.01202744 | 0.327283 | 7.547338 | −0.289415 | 0.228646 | 2.11961 |
| 10 | 0.0136875 | 0.372456 | 8.589041 | −0.165429 | −2.423117 | −2.122351 |
| 11 | 0.01340244 | 0.364699 | 8.410164 | −0.14398 | −2.408379 | 2.132516 |
| 12 | 0.05314232 | 1.446076 | 33.347335 | −0.197049 | 4.038304 | −1.775009 |
| 13 | 0.05310459 | 1.445049 | 33.323663 | −0.212549 | 4.034761 | 1.774666 |
| 14 | 0.01376027 | 0.374436 | 8.634706 | 0.370819 | −1.094589 | 2.120416 |
| 15 | 0.01548536 | 0.421378 | 9.717216 | 0.372062 | 1.551529 | −2.113872 |
| 16 | 0.01549804 | 0.421723 | 9.725178 | 0.367062 | 1.547726 | 2.114218 |
| 17 | 0.01366925 | 0.371959 | 8.577593 | 0.358264 | −1.110429 | −2.124776 |
| 18 | 0.02318658 | 0.630939 | 14.549808 | 0.614673 | −4.028331 | −1.755704 |
| 19 | 0.02341819 | 0.637241 | 14.695148 | 0.655774 | −4.023843 | 1.734827 |
| 20 | −0.0006096 | −0.016588 | −0.382533 | 1.667707 | −5.864591 | −0.021787 |
| 21 | 0.02008522 | 0.546547 | 12.603675 | 2.115326 | −3.62696 | −0.004001 |
| 22 | 0.00095343 | 0.025944 | 0.598289 | 2.221779 | −2.416539 | 2.386456 |
| 23 | 0.03635384 | 0.989238 | 22.8124 | 2.168346 | −0.990298 | −0.046647 |
| 24 | 0.04211295 | 1.145952 | 26.4263 | 2.110935 | 1.562847 | −0.001204 |
| 25 | 0.00095225 | 0.025912 | 0.597545 | 2.217118 | −2.432935 | −2.388912 |
| 26 | 0.00362541 | 0.098652 | 2.274981 | 2.312435 | 0.464503 | −2.255935 |
| 27 | 0.00362823 | 0.098729 | 2.276753 | 2.264312 | 0.537349 | 2.28501 |
| 28 | 0.13711331 | 3.731043 | 86.03997 | 2.246197 | 5.138156 | 0.001004 |
Table A15 shows the minimum points for the ESP of DFSA. The points with a smaller ESP value are prone to the electrophilic reaction or electron loss reaction.
Table A15.
Detailed information of minima points on the ESP map of DFSA.
Table A15.
Detailed information of minima points on the ESP map of DFSA.
| Number | a.u. | eV | kcal/mol | X/Y/Z Coordinate (Angstrom) | ||
|---|---|---|---|---|---|---|
| 1 | −0.05174925 | −1.408169 | −32.473173 | −5.546269 | −3.034893 | −0.020192 |
| 2 | −0.00193414 | −0.052631 | −1.213695 | −0.642844 | 2.51297 | −2.099547 |
| 3 | −0.00193249 | −0.052586 | −1.212659 | −0.65777 | 2.518375 | 2.091324 |
| 4 | −0.00192612 | −0.052412 | −1.208657 | 0.646666 | −2.538931 | −2.077621 |
| 5 | −0.00193105 | −0.052546 | −1.211751 | 0.667083 | −2.498787 | 2.106603 |
| 6 | −0.05174609 | −1.408083 | −32.47119 | 5.54625 | 3.039861 | −0.032836 |
Table A16 shows the maximum points for the ESP of DFSA. The points with a higher ESP value are prone to the nucleophilic reaction.
Table A16.
Detailed information of maxima points on the ESP map of DFSA.
Table A16.
Detailed information of maxima points on the ESP map of DFSA.
| Number | a.u. | eV | kcal/mol | X/Y/Z Coordinate (Angstrom) | ||
|---|---|---|---|---|---|---|
| 1 | 0.05131117 | 1.396248 | 32.198269 | −2.529019 | −3.710461 | −1.770272 |
| 2 | 0.0512158 | 1.393653 | 32.138424 | −2.409386 | −3.7152 | 1.785536 |
| 3 | 0.02659949 | 0.723809 | 16.691447 | −2.122023 | 0.548931 | −0.016167 |
| 4 | −0.00095645 | −0.026026 | −0.600179 | −1.328425 | 1.94552 | 2.337799 |
| 5 | −0.00094822 | −0.025802 | −0.595015 | −1.263867 | 1.983793 | −2.348268 |
| 6 | 0.13500128 | 3.673572 | 84.714654 | −0.936178 | −5.950881 | −0.028729 |
| 7 | 0.01272843 | 0.346358 | 7.987217 | −0.769774 | −1.82962 | 2.125084 |
| 8 | 0.01274119 | 0.346705 | 7.995224 | −0.791081 | −1.844413 | −2.128081 |
| 9 | 0.03726105 | 1.013925 | 23.38168 | −0.743958 | 2.819946 | −0.004554 |
| 10 | 0.00940433 | 0.255905 | 5.901312 | −0.530335 | −0.373605 | 2.139909 |
| 11 | 0.00937479 | 0.255101 | 5.882773 | −0.526195 | −0.393771 | −2.143381 |
| 12 | 0.0094777 | 0.257901 | 5.947349 | 0.562386 | 0.420292 | 2.137277 |
| 13 | 0.009386 | 0.255406 | 5.889808 | 0.528381 | 0.396458 | −2.143002 |
| 14 | 0.0371607 | 1.011194 | 23.318713 | 0.75833 | −2.791169 | −0.046819 |
| 15 | 0.01263291 | 0.343759 | 7.927275 | 0.830583 | 1.879797 | 2.136512 |
| 16 | 0.01259436 | 0.34271 | 7.903088 | 0.8238 | 1.856303 | −2.136389 |
| 17 | 0.13494306 | 3.671987 | 84.67812 | 0.953251 | 5.97564 | −0.021955 |
| 18 | −0.00095308 | −0.025935 | −0.598065 | 1.299757 | −1.995275 | 2.323033 |
| 19 | −0.00096143 | −0.026162 | −0.603305 | 1.321785 | −1.928345 | −2.35181 |
| 20 | 0.02658154 | 0.72332 | 16.680182 | 2.127916 | −0.537859 | −0.019122 |
| 21 | 0.05154275 | 1.40255 | 32.343594 | 2.495309 | 3.696712 | −1.773594 |
Table A17 shows the minimum points for the ALIE of PFNA. The points with a smaller ALIE value are prone to radical and electrophilic reactions.
Table A17.
Detailed information of minima points on the ALIE map of PFNA.
Table A17.
Detailed information of minima points on the ALIE map of PFNA.
| Number | a.u. | eV | kcal/mol | X/Y/Z Coordinate (Angstrom) | ||
|---|---|---|---|---|---|---|
| 1 | 0.63811477 | 17.363986 | 400.423402 | −2.55843 | −2.677464 | −0.635749 |
| 2 | 0.63808464 | 17.363166 | 400.404492 | −2.577773 | −2.739161 | 0.572579 |
| 3 | 0.6396982 | 17.407073 | 401.417018 | −2.532831 | −2.04712 | −0.64876 |
| 4 | 0.63964377 | 17.405592 | 401.382862 | −2.562024 | −1.982565 | 0.613311 |
| 5 | 0.63970201 | 17.407177 | 401.419409 | −2.55091 | −0.137414 | −0.551044 |
| 6 | 0.63821974 | 17.366842 | 400.489271 | −2.55103 | 0.701961 | −0.554743 |
| 7 | 0.63826734 | 17.368138 | 400.51914 | −2.581924 | 0.749257 | 0.568427 |
| 8 | 0.63199197 | 17.197376 | 396.58128 | −2.554764 | 3.345582 | 0.608968 |
| 9 | 0.63976704 | 17.408947 | 401.460218 | −2.50661 | −0.024462 | 0.635682 |
| 10 | 0.63202524 | 17.198281 | 396.602159 | −2.507 | 3.255412 | −0.6251 |
| 11 | 0.63364731 | 17.24242 | 397.620026 | −2.110344 | −5.147755 | −0.962784 |
| 12 | 0.63359919 | 17.241111 | 397.589826 | −2.060921 | −5.185703 | 0.967948 |
| 13 | 0.63916777 | 17.392639 | 401.084165 | −0.100328 | −4.697804 | −2.270744 |
| 14 | 0.63917806 | 17.39292 | 401.090627 | −0.08186 | −4.708989 | 2.283808 |
| 15 | 0.63891857 | 17.385859 | 400.927794 | −0.13124 | −3.735819 | −2.329117 |
| 16 | 0.63892489 | 17.38603 | 400.93176 | −0.127794 | −3.652858 | 2.327643 |
| 17 | 0.63987728 | 17.411946 | 401.529392 | −0.087898 | −1.091609 | 2.324723 |
| 18 | 0.63989072 | 17.412312 | 401.537826 | −0.084971 | −0.980827 | −2.321999 |
| 19 | 0.6402458 | 17.421974 | 401.760642 | −0.023857 | −2.489012 | −2.329117 |
| 20 | 0.64024553 | 17.421967 | 401.760474 | −0.025784 | −2.489951 | 2.327643 |
| 21 | 0.63924233 | 17.394668 | 401.130952 | 0.017447 | 0.284139 | −2.332338 |
| 22 | 0.63340835 | 17.235918 | 397.470072 | −0.081896 | 3.881805 | −2.334194 |
| 23 | 0.63338188 | 17.235198 | 397.453465 | −0.07375 | 3.890861 | 2.329989 |
| 24 | 0.52951056 | 14.408715 | 332.273172 | 0.044294 | 7.313668 | 1.629395 |
| 25 | 0.52951825 | 14.408924 | 332.277999 | 0.023057 | 7.383718 | −1.596969 |
| 26 | 0.63928124 | 17.395727 | 401.155372 | 0.029438 | 0.394551 | 2.33419 |
| 27 | 0.63283746 | 17.220383 | 397.111832 | 0.566526 | −7.232226 | 0.006243 |
| 28 | 0.63447313 | 17.264892 | 398.138233 | 1.765984 | −6.544735 | −0.741585 |
| 29 | 0.63449262 | 17.265422 | 398.150465 | 1.750912 | −6.553793 | 0.751793 |
| 30 | 0.52474424 | 14.279017 | 329.282261 | 1.898895 | 4.933473 | −1.738557 |
| 31 | 0.52471748 | 14.278289 | 329.265465 | 1.875457 | 4.942688 | 1.74491 |
| 32 | 0.47201831 | 12.844271 | 296.19621 | 2.053809 | 7.192063 | 0.015796 |
| 33 | 0.64281673 | 17.491933 | 403.373929 | 2.341666 | −4.056278 | −0.643588 |
| 34 | 0.6428381 | 17.492514 | 403.387335 | 2.336142 | −4.057804 | 0.621558 |
| 35 | 0.64080132 | 17.437091 | 402.109239 | 2.421843 | −3.312477 | −0.545307 |
| 36 | 0.64081347 | 17.437421 | 402.116861 | 2.458191 | −3.268825 | 0.572093 |
| 37 | 0.6401218 | 17.4186 | 401.68283 | 2.448593 | −1.516157 | −0.536483 |
| 38 | 0.64004808 | 17.416594 | 401.63657 | 2.458191 | −1.513274 | 0.569333 |
| 39 | 0.63909448 | 17.390645 | 401.038177 | 2.458191 | −0.723357 | 0.57751 |
| 40 | 0.63917065 | 17.392718 | 401.085974 | 2.498923 | −0.666591 | −0.595017 |
| 41 | 0.63498488 | 17.278817 | 398.459361 | 2.525802 | 1.979295 | −0.546146 |
| 42 | 0.63502037 | 17.279783 | 398.481633 | 2.519509 | 1.979295 | 0.52844 |
| 43 | 0.52953213 | 14.409302 | 332.286705 | 2.767683 | 3.907992 | 0.011061 |
Table A18 shows the maximum points for the ALIE of PFNA. The points with a higher ALIE value are prone to the nucleophilic reaction.
Table A18.
Detailed information of maxima points on the ALIE map of PFNA.
Table A18.
Detailed information of maxima points on the ALIE map of PFNA.
| Number | a.u. | eV | kcal/mol | X/Y/Z Coordinate (Angstrom) | ||
|---|---|---|---|---|---|---|
| 1 | 0.64931641 | 17.668798 | 407.452541 | −2.6765 | −3.790408 | −0.000737 |
| 2 | 0.64914569 | 17.664153 | 407.345412 | −2.64822 | −1.096307 | −0.017431 |
| 3 | 0.64775662 | 17.626354 | 406.473759 | −2.612828 | 1.562766 | 0.004908 |
| 4 | 0.64298368 | 17.496476 | 403.478689 | −2.580699 | 4.413511 | 0.019389 |
| 5 | 0.73017977 | 19.869202 | 458.195109 | −2.183294 | −3.719198 | −2.405607 |
| 6 | 0.65606121 | 17.852333 | 411.68497 | −2.112417 | −4.906367 | −0.014373 |
| 7 | 0.73012172 | 19.867622 | 458.158683 | −2.141914 | −3.654847 | 2.433479 |
| 8 | 0.66906278 | 18.206124 | 419.843585 | −2.163046 | −2.333538 | 0.021076 |
| 9 | 0.73158381 | 19.907408 | 459.076154 | −2.161313 | −1.071378 | −2.397696 |
| 10 | 0.66757232 | 18.165567 | 418.908308 | −2.136961 | 0.274651 | −0.029032 |
| 11 | 0.66509259 | 18.09809 | 417.352249 | −2.103068 | 2.822754 | −0.007142 |
| 12 | 0.72295878 | 19.672709 | 453.663866 | −2.112764 | 4.297447 | −2.382754 |
| 13 | 0.72301374 | 19.674204 | 453.698353 | −2.092734 | 4.290379 | 2.397625 |
| 14 | 0.64349459 | 17.510378 | 403.799288 | −2.190657 | 5.266733 | −0.000778 |
| 15 | 0.73137403 | 19.901699 | 458.944517 | −2.078817 | −1.086347 | 2.451609 |
| 16 | 0.72993457 | 19.86253 | 458.041241 | −2.078636 | 1.564446 | −2.429991 |
| 17 | 0.72995444 | 19.86307 | 458.05371 | −2.080714 | 1.563577 | 2.428408 |
| 18 | 0.72868242 | 19.828457 | 457.255504 | −1.621744 | −7.180741 | 0.023202 |
| 19 | 0.72563762 | 19.745604 | 455.34486 | −1.654193 | 7.584075 | 0.00717 |
| 20 | 0.66234078 | 18.023209 | 415.625464 | −0.611037 | −5.413587 | 1.720721 |
| 21 | 0.66231819 | 18.022594 | 415.611287 | −0.631927 | −5.3317 | −1.732716 |
| 22 | 0.65083292 | 17.710064 | 408.404164 | −0.503545 | −2.36004 | −2.117788 |
| 23 | 0.65081857 | 17.709674 | 408.395163 | −0.497966 | −2.359336 | 2.116954 |
| 24 | 0.65611006 | 17.853663 | 411.715622 | −0.293531 | −6.010774 | 1.746055 |
| 25 | 0.65966301 | 17.950343 | 413.945133 | 0.023975 | 5.260194 | −1.838522 |
| 26 | 0.65948548 | 17.945512 | 413.833731 | 0.129811 | 5.09681 | −1.857489 |
| 27 | 0.65986383 | 17.955808 | 414.071154 | 0.069973 | 5.200356 | 1.844463 |
| 28 | 0.65073148 | 17.707304 | 408.340509 | 0.352335 | −3.726423 | −2.102522 |
| 29 | 0.65785599 | 17.901172 | 412.811213 | 0.341482 | 4.679287 | −1.85167 |
| 30 | 0.65067958 | 17.705892 | 408.307942 | 0.404656 | −3.672645 | 2.115972 |
| 31 | 0.65778089 | 17.899128 | 412.764089 | 0.396816 | 4.519346 | −1.850441 |
| 32 | 0.65801088 | 17.905386 | 412.908404 | 0.387909 | 4.565774 | 1.844894 |
| 33 | 0.67187868 | 18.282749 | 421.610593 | 1.228644 | −6.552897 | 0.018911 |
| 34 | 0.73185368 | 19.914751 | 459.2455 | 1.972466 | −5.090666 | −2.3915 |
| 35 | 0.73181299 | 19.913644 | 459.219972 | 1.983478 | −5.137788 | 2.382108 |
| 36 | 0.67185545 | 18.282117 | 421.596016 | 1.977301 | −3.735819 | 0.024162 |
| 37 | 0.73183192 | 19.914159 | 459.231851 | 2.034849 | −2.448918 | −2.400566 |
| 38 | 0.7318272 | 19.914031 | 459.228885 | 1.987029 | −2.383759 | 2.433479 |
| 39 | 0.73105145 | 19.892922 | 458.742094 | 2.029975 | 0.178716 | 2.431281 |
| 40 | 0.66882953 | 18.199777 | 419.697221 | 2.049305 | −1.078826 | 0.008414 |
| 41 | 0.73111002 | 19.894515 | 458.77885 | 2.046257 | 0.182642 | −2.420491 |
| 42 | 0.6664559 | 18.135187 | 418.207742 | 2.082993 | 1.498262 | 0.024057 |
| 43 | 0.72704863 | 19.783999 | 456.230283 | 2.059803 | 2.838483 | −2.434952 |
| 44 | 0.72703296 | 19.783573 | 456.220451 | 2.052489 | 2.836585 | 2.439711 |
| 45 | 0.64977231 | 17.681204 | 407.738624 | 2.526325 | −2.475734 | −0.02377 |
| 46 | 0.6486946 | 17.651878 | 407.062351 | 2.565942 | 0.2916 | 0.000361 |
| 47 | 0.59709501 | 16.247781 | 374.683088 | 3.423349 | 5.269825 | 0.007179 |
Table A19 shows the minimum points for the ALIE of HFPO-TA. The points with a smaller ALIE value are prone to radical and electrophilic reactions.
Table A19.
Detailed information of minima points on the ALIE map of HFPO-TA.
Table A19.
Detailed information of minima points on the ALIE map of HFPO-TA.
| Number | a.u. | eV | kcal/mol | X/Y/Z Coordinate (Angstrom) | ||
|---|---|---|---|---|---|---|
| 1 | 0.6333077 | 17.233179 | 397.406913 | −8.333313 | −0.060559 | −0.960434 |
| 2 | 0.63466419 | 17.270091 | 398.258124 | −7.701657 | 1.315301 | −0.992569 |
| 3 | 0.6346918 | 17.270842 | 398.275452 | −7.600871 | 1.421137 | −1.103453 |
| 4 | 0.63527194 | 17.286629 | 398.639494 | −7.440647 | 0.519488 | −2.213255 |
| 5 | 0.63316307 | 17.229243 | 397.316157 | −6.447362 | −1.501489 | 1.725164 |
| 6 | 0.63384709 | 17.247856 | 397.745384 | −6.251494 | −2.690639 | 0.343999 |
| 7 | 0.63824827 | 17.367619 | 400.507173 | −5.535609 | 0.947175 | 1.652036 |
| 8 | 0.63980342 | 17.409936 | 401.483046 | −5.536107 | −1.860095 | −2.005135 |
| 9 | 0.64442064 | 17.535577 | 404.380397 | −5.2186 | 1.845017 | −1.156596 |
| 10 | 0.6381751 | 17.365628 | 400.461256 | −5.002271 | 1.000949 | 1.707067 |
| 11 | 0.64417485 | 17.528889 | 404.226161 | −5.076194 | 1.139705 | −2.087889 |
| 12 | 0.63812101 | 17.364156 | 400.427314 | −4.873095 | −2.049037 | −1.858623 |
| 13 | 0.64257173 | 17.485266 | 403.220187 | −4.3135 | 1.738643 | −1.414488 |
| 14 | 0.64660402 | 17.59499 | 405.750492 | −4.214853 | 0.997795 | −2.162525 |
| 15 | 0.63775469 | 17.354188 | 400.197446 | −3.948078 | 1.103631 | 1.656233 |
| 16 | 0.5716844 | 15.556324 | 358.737675 | −2.756053 | −2.457001 | 0.03069 |
| 17 | 0.57245093 | 15.577182 | 359.21868 | −2.764373 | 0.058836 | 2.151515 |
| 18 | 0.62720704 | 17.067171 | 393.578689 | −1.883788 | −2.653029 | −0.731559 |
| 19 | 0.6527038 | 17.760974 | 409.578164 | −1.891303 | 2.737063 | −0.579823 |
| 20 | 0.64915598 | 17.664432 | 407.351867 | −1.897566 | 2.796998 | 0.366433 |
| 21 | 0.63394443 | 17.250505 | 397.806469 | −1.433296 | −3.137988 | −0.03304 |
| 22 | 0.63502281 | 17.279849 | 398.483165 | −0.735781 | −0.129162 | −2.213255 |
| 23 | 0.63184846 | 17.193471 | 396.491226 | −0.244205 | −3.235323 | 2.760887 |
| 24 | 0.63784205 | 17.356565 | 400.252263 | 0.073669 | 4.968668 | 0.805099 |
| 25 | 0.6374577 | 17.346106 | 400.011084 | 0.294019 | 3.219392 | −1.998434 |
| 26 | 0.63667636 | 17.324845 | 399.52078 | 0.391176 | −2.438952 | −0.64347 |
| 27 | 0.63386549 | 17.248357 | 397.756936 | 0.384533 | −1.852851 | 3.390872 |
| 28 | 0.63776082 | 17.354354 | 400.201291 | 0.814518 | 4.53183 | 1.955792 |
| 29 | 0.57181289 | 15.55982 | 358.818308 | 1.050783 | −0.436873 | −1.319544 |
| 30 | 0.58051864 | 15.796716 | 364.281252 | 1.262137 | 0.578007 | 1.814092 |
| 31 | 0.63810377 | 17.363687 | 400.416499 | 1.669839 | 5.247383 | 0.864014 |
| 32 | 0.64341402 | 17.508186 | 403.748734 | 2.083176 | 3.984283 | −1.686326 |
| 33 | 0.53213377 | 14.480096 | 333.919262 | 2.237788 | −0.378066 | 2.020162 |
| 34 | 0.63812007 | 17.36413 | 400.426722 | 2.456964 | 3.169419 | −2.052505 |
| 35 | 0.64905827 | 17.661774 | 407.290558 | 2.770924 | 3.377543 | 2.071531 |
| 36 | 0.63389466 | 17.249151 | 397.775237 | 2.909109 | −3.986744 | −1.913834 |
| 37 | 0.55939092 | 15.221801 | 351.023398 | 2.924089 | 0.14781 | −2.436845 |
| 38 | 0.64829867 | 17.641104 | 406.813901 | 3.409863 | 3.537846 | 1.122938 |
| 39 | 0.63177937 | 17.191591 | 396.447873 | 3.86791 | −3.473011 | −2.959336 |
| 40 | 0.65227968 | 17.749433 | 409.31202 | 3.803126 | 2.910267 | 1.19797 |
| 41 | 0.47101112 | 12.816864 | 295.564189 | 4.323911 | −1.735453 | 3.426719 |
| 42 | 0.63475947 | 17.272684 | 398.317914 | 4.603439 | −4.19931 | −1.913718 |
| 43 | 0.63333201 | 17.233841 | 397.422172 | 5.035427 | −0.172304 | −2.551443 |
| 44 | 0.63775572 | 17.354216 | 400.198091 | 5.252497 | 1.842364 | 0.004282 |
| 45 | 0.53083409 | 14.44473 | 333.103702 | 5.396771 | 0.586829 | 2.788918 |
| 46 | 0.63707292 | 17.335636 | 399.769631 | 6.418906 | −1.523692 | −0.827429 |
| 47 | 0.52837158 | 14.377722 | 331.55845 | 6.529632 | −2.314714 | 1.896897 |
Table A20 shows the maximum points for the ALIE of HFPO-TA. The points with a higher ALIE value are prone to the nucleophilic reaction.
Table A20.
Detailed information of maxima points on the ALIE map of HFPO-TA.
Table A20.
Detailed information of maxima points on the ALIE map of HFPO-TA.
| Number | a.u. | eV | kcal/mol | X/Y/Z Coordinate (Angstrom) | ||
|---|---|---|---|---|---|---|
| 1 | 0.72975386 | 19.857612 | 457.927845 | −8.367108 | −1.842346 | 0.339354 |
| 2 | 0.67262773 | 18.303131 | 422.080629 | −7.631417 | 0.477485 | −1.252149 |
| 3 | 0.66270485 | 18.033116 | 415.853921 | −6.805635 | 0.127112 | 1.335006 |
| 4 | 0.73194701 | 19.917291 | 459.30407 | −6.478527 | 2.5845 | 0.320548 |
| 5 | 0.66349887 | 18.054722 | 416.352175 | −6.288071 | −1.969792 | −1.377563 |
| 6 | 0.6578525 | 17.901077 | 412.809021 | −6.13171 | −2.032521 | 1.067643 |
| 7 | 0.73196148 | 19.917685 | 459.31315 | −5.763158 | −0.27797 | −3.401445 |
| 8 | 0.64821268 | 17.638764 | 406.759941 | −5.238111 | −2.435688 | 1.490985 |
| 9 | 0.72959443 | 19.853274 | 457.827801 | −5.236772 | −0.490229 | 3.050362 |
| 10 | 0.65045725 | 17.699842 | 408.168432 | −4.990459 | 1.230674 | 1.181184 |
| 11 | 0.66774167 | 18.170175 | 419.014576 | −4.789553 | 1.111908 | −1.477294 |
| 12 | 0.72917234 | 19.841788 | 457.562933 | −4.66375 | −3.610048 | −0.576807 |
| 13 | 0.64779458 | 17.627387 | 406.497576 | −4.686761 | −2.389105 | 1.597722 |
| 14 | 0.65193 | 17.739917 | 409.092595 | −4.586467 | −1.438158 | −2.004347 |
| 15 | 0.6476009 | 17.622117 | 406.376038 | −4.159748 | −2.243485 | 1.490985 |
| 16 | 0.72806717 | 19.811715 | 456.869429 | −3.757625 | 2.764529 | 0.319871 |
| 17 | 0.64574316 | 17.571565 | 405.21029 | −3.686761 | 0.624099 | 1.702656 |
| 18 | 0.73183048 | 19.91412 | 459.230946 | −3.01989 | −0.49174 | −3.096074 |
| 19 | 0.72879253 | 19.831453 | 457.324598 | −2.059031 | −3.903288 | 1.798666 |
| 20 | 0.65455432 | 17.811329 | 410.739384 | −2.04304 | −1.56279 | 2.717836 |
| 21 | 0.6545918 | 17.812349 | 410.7629 | −2.123485 | −1.423786 | 2.564884 |
| 22 | 0.63935328 | 17.397688 | 401.200578 | −1.848529 | −2.643087 | −0.139023 |
| 23 | 0.73390661 | 19.970615 | 460.533739 | −1.747124 | 1.950314 | −2.37232 |
| 24 | 0.7303634 | 19.874199 | 458.310334 | −1.600196 | 2.393373 | 2.341695 |
| 25 | 0.73485359 | 19.996383 | 461.127978 | −1.254568 | 4.172859 | −0.683936 |
| 26 | 0.72348531 | 19.687036 | 453.994267 | −0.564174 | −1.997717 | −2.33129 |
| 27 | 0.72985913 | 19.860477 | 457.993902 | −0.46485 | 0.132424 | 3.769161 |
| 28 | 0.66206673 | 18.015752 | 415.453495 | −0.329417 | −2.878498 | −0.056928 |
| 29 | 0.6694424 | 18.216454 | 420.081803 | 0.28534 | −2.448062 | 2.655175 |
| 30 | 0.6750326 | 18.368571 | 423.589709 | 0.924239 | 4.706368 | 1.070747 |
| 31 | 0.73488123 | 19.997135 | 461.145319 | 1.123343 | 2.687266 | 3.170694 |
| 32 | 0.6517687 | 17.735528 | 408.991377 | 1.231419 | −0.485872 | 2.121306 |
| 33 | 0.72544786 | 19.74044 | 455.225787 | 1.225918 | 2.156336 | −3.291585 |
| 34 | 0.6657158 | 18.115048 | 417.743323 | 1.268414 | 3.88437 | −1.538247 |
| 35 | 0.72805369 | 19.811348 | 456.860972 | 1.505267 | −3.468053 | −0.425463 |
| 36 | 0.65384515 | 17.792031 | 410.294372 | 2.253827 | −1.648091 | −2.124549 |
| 37 | 0.64017466 | 17.420038 | 401.716003 | 2.931227 | 1.403258 | −2.362091 |
| 38 | 0.66161351 | 18.003419 | 415.169096 | 3.007259 | 3.210544 | 1.482423 |
| 39 | 0.73583373 | 20.023054 | 461.743027 | 3.455855 | 4.912726 | −0.404503 |
| 40 | 0.73495108 | 19.999036 | 461.189154 | 3.688994 | 1.324272 | 2.658312 |
| 41 | 0.65330247 | 17.777264 | 409.953834 | 3.859439 | −3.976471 | −0.031695 |
| 42 | 0.67018738 | 18.236726 | 420.54928 | 3.83047 | −3.712241 | −2.054861 |
| 43 | 0.65896484 | 17.931345 | 413.507027 | 3.862962 | 2.960255 | 0.701723 |
| 44 | 0.72841812 | 19.821265 | 457.089657 | 3.994297 | −1.529609 | −4.015827 |
| 45 | 0.63972236 | 17.407731 | 401.432178 | 4.35751 | −0.060559 | −2.374504 |
| 46 | 0.72776367 | 19.803457 | 456.678981 | 4.785849 | 2.991948 | −1.684078 |
| 47 | 0.65676408 | 17.87146 | 412.126031 | 5.012207 | 1.201793 | 0.411743 |
| 48 | 0.55772347 | 15.176427 | 349.977056 | 5.155523 | −1.326582 | 3.295731 |
| 49 | 0.66068248 | 17.978084 | 414.584861 | 5.765548 | −1.760622 | −2.018923 |
| 50 | 0.72998749 | 19.86397 | 458.074449 | 6.247707 | −3.870636 | −0.484307 |
| 51 | 0.64085816 | 17.438637 | 402.144905 | 6.247095 | −1.727455 | −0.394266 |
| 52 | 0.72092281 | 19.617307 | 452.386276 | 6.689096 | 0.416411 | −1.366572 |
| 53 | 0.72506515 | 19.730026 | 454.985635 | 7.219034 | −0.071063 | 1.56644 |
Table A21 shows the minimum points for the ALIE of PFOA. The points with a smaller ALIE value are prone to radical and electrophilic reactions.
Table A21.
Detailed information of minima points on the ALIE map of PFOA.
Table A21.
Detailed information of minima points on the ALIE map of PFOA.
| Number | a.u. | eV | kcal/mol | X/Y/Z Coordinate (Angstrom) | ||
|---|---|---|---|---|---|---|
| 1 | 0.63840523 | 17.37189 | 400.605667 | −2.498296 | −0.015889 | 0.522351 |
| 2 | 0.63191734 | 17.195345 | 396.534448 | −2.565444 | 2.546935 | −0.621485 |
| 3 | 0.63196923 | 17.196757 | 396.567009 | −2.57339 | 2.546368 | 0.649549 |
| 4 | 0.64060539 | 17.431759 | 401.986285 | −2.444421 | −2.614197 | −0.529998 |
| 5 | 0.6406248 | 17.432287 | 401.998467 | −2.452198 | −2.621974 | 0.565555 |
| 6 | 0.63989404 | 17.412402 | 401.53991 | −2.449946 | −0.85997 | −0.596384 |
| 7 | 0.63989524 | 17.412435 | 401.540664 | −2.443072 | −0.85997 | 0.574681 |
| 8 | 0.63841808 | 17.372239 | 400.613728 | −2.473511 | −0.110845 | −0.625857 |
| 9 | 0.63442079 | 17.263468 | 398.105388 | −1.725215 | −5.90634 | −0.725319 |
| 10 | 0.63441388 | 17.26328 | 398.101056 | −1.728271 | −5.91105 | 0.754973 |
| 11 | 0.63276202 | 17.21833 | 397.064497 | −0.51987 | −6.582752 | −0.02779 |
| 12 | 0.52953856 | 14.409477 | 332.290744 | −0.185783 | 6.654347 | −1.635733 |
| 13 | 0.63339042 | 17.23543 | 397.458822 | −0.136438 | 3.283199 | 2.336571 |
| 14 | 0.63339171 | 17.235465 | 397.459629 | −0.134031 | 3.283676 | −2.334735 |
| 15 | 0.52952468 | 14.409099 | 332.282033 | −0.132763 | 6.669561 | 1.622856 |
| 16 | 0.64005585 | 17.416806 | 401.641449 | 0.04265 | −1.814712 | 2.323701 |
| 17 | 0.64006734 | 17.417118 | 401.648656 | 0.046689 | −1.808874 | −2.320693 |
| 18 | 0.63915853 | 17.392388 | 401.078369 | 0.15649 | −4.161611 | −2.263432 |
| 19 | 0.63912533 | 17.391485 | 401.057538 | 0.112342 | −4.056271 | 2.283411 |
| 20 | 0.63879646 | 17.382536 | 400.851165 | 0.152836 | −2.977661 | −2.331017 |
| 21 | 0.6393189 | 17.396752 | 401.179002 | 0.076808 | −0.314574 | −2.319353 |
| 22 | 0.63932308 | 17.396866 | 401.181628 | 0.079041 | −0.314913 | 2.320817 |
| 23 | 0.63881424 | 17.383019 | 400.862322 | 0.16715 | −3.079718 | 2.34017 |
| 24 | 0.52475504 | 14.279311 | 329.289033 | 1.797567 | 4.379513 | −1.746478 |
| 25 | 0.52475588 | 14.279334 | 329.289562 | 1.797952 | 4.379898 | 1.746477 |
| 26 | 0.47184942 | 12.839676 | 296.090232 | 1.900766 | 6.59942 | 0.024485 |
| 27 | 0.63351971 | 17.238948 | 397.539956 | 2.061528 | −4.537855 | −1.046724 |
| 28 | 0.63354396 | 17.239608 | 397.555169 | 2.163986 | −4.465516 | 0.95161 |
| 29 | 0.63792671 | 17.358869 | 400.305391 | 2.584485 | −2.02585 | −0.640319 |
| 30 | 0.63795253 | 17.359571 | 400.321591 | 2.585746 | −2.025469 | 0.646271 |
| 31 | 0.63901426 | 17.388462 | 400.987837 | 2.542515 | −1.331502 | −0.578188 |
| 32 | 0.63902398 | 17.388727 | 400.993939 | 2.590705 | −1.243499 | 0.56817 |
| 33 | 0.63513877 | 17.283005 | 398.55593 | 2.556135 | 1.457816 | −0.54711 |
| 34 | 0.63514101 | 17.283066 | 398.557337 | 2.555206 | 1.46841 | 0.528356 |
| 35 | 0.52970865 | 14.414105 | 332.397475 | 2.721702 | 3.364539 | 0.011467 |
Table A22 shows the maximum points for the ALIE of PFOA. The points with a higher ALIE value are prone to the nucleophilic reaction.
Table A22.
Detailed information of maxima points on the ALIE map of PFOA.
Table A22.
Detailed information of maxima points on the ALIE map of PFOA.
| Number | a.u. | eV | kcal/mol | X/Y/Z Coordinate (Angstrom) | ||
|---|---|---|---|---|---|---|
| 1 | 0.64298177 | 17.496424 | 403.477489 | −2.66271 | 3.614336 | 0.022803 |
| 2 | 0.64960833 | 17.676741 | 407.63572 | −2.509567 | −1.922931 | −0.013639 |
| 3 | 0.64796246 | 17.631955 | 406.602923 | −2.584721 | 0.841246 | 0.005706 |
| 4 | 0.64350538 | 17.510672 | 403.806062 | −2.281822 | 4.5579 | 0.01084 |
| 5 | 0.7228963 | 19.671009 | 453.624656 | −2.190399 | 3.575726 | −2.379031 |
| 6 | 0.72299463 | 19.673684 | 453.686362 | −2.17189 | 3.565329 | 2.392815 |
| 7 | 0.66558043 | 18.111364 | 417.658373 | −2.115909 | 2.159404 | −0.026584 |
| 8 | 0.73164572 | 19.909093 | 459.115008 | −1.960219 | −4.433655 | 2.376786 |
| 9 | 0.73168005 | 19.910027 | 459.13655 | −2.029705 | −1.794461 | −2.398687 |
| 10 | 0.66804193 | 18.178345 | 419.202994 | −2.059281 | −0.53924 | −0.001778 |
| 11 | 0.73002283 | 19.864932 | 458.096629 | −2.05105 | 0.84235 | −2.429732 |
| 12 | 0.73002932 | 19.865108 | 458.1007 | −2.050598 | 0.84187 | 2.429911 |
| 13 | 0.73171104 | 19.91087 | 459.155996 | −1.92604 | −4.441356 | −2.400857 |
| 14 | 0.67155779 | 18.274017 | 421.409232 | −1.957816 | −3.079489 | 0.001391 |
| 15 | 0.73143506 | 19.90336 | 458.982816 | −1.944459 | −1.808313 | 2.453932 |
| 16 | 0.72568945 | 19.747014 | 455.377388 | −1.846182 | 6.863406 | 0.003347 |
| 17 | 0.67174428 | 18.279092 | 421.526256 | −1.190503 | −5.911203 | 0.013512 |
| 18 | 0.65053138 | 17.701859 | 408.214947 | −0.383846 | −3.087853 | 2.113169 |
| 19 | 0.65059214 | 17.703512 | 408.253072 | −0.371364 | −3.079094 | −2.110074 |
| 20 | 0.65987646 | 17.956152 | 414.07908 | −0.055181 | 4.537638 | −1.856845 |
| 21 | 0.65980206 | 17.954127 | 414.03239 | −0.027704 | 4.555208 | 1.835734 |
| 22 | 0.65792107 | 17.902943 | 412.852051 | 0.262325 | 4.00846 | −1.851845 |
| 23 | 0.65810042 | 17.907823 | 412.964596 | 0.303259 | 3.943559 | 1.839316 |
| 24 | 0.65048546 | 17.70061 | 408.186133 | 0.572187 | −1.710075 | −2.130974 |
| 25 | 0.65044142 | 17.699411 | 408.158497 | 0.488838 | −1.700872 | 2.115124 |
| 26 | 0.66222742 | 18.020124 | 415.554326 | 0.623304 | −4.752495 | 1.736019 |
| 27 | 0.66228936 | 18.02181 | 415.593197 | 0.675944 | −4.685845 | −1.726329 |
| 28 | 0.72844702 | 19.822051 | 457.107789 | 1.739489 | −6.455609 | 0.006019 |
| 29 | 0.72689611 | 19.779849 | 456.134579 | 2.049003 | 2.205796 | 2.427619 |
| 30 | 0.72694801 | 19.781261 | 456.167146 | 2.055465 | 2.214034 | −2.423235 |
| 31 | 0.655932 | 17.848817 | 411.603887 | 2.167363 | −4.203289 | 0.020154 |
| 32 | 0.72993114 | 19.862436 | 458.03909 | 2.164737 | −2.977376 | 2.432196 |
| 33 | 0.73093965 | 19.889879 | 458.671937 | 2.091694 | −0.419341 | −2.44113 |
| 34 | 0.73106134 | 19.893191 | 458.748302 | 2.151306 | −0.339279 | 2.401074 |
| 35 | 0.66673682 | 18.142832 | 418.384022 | 2.108379 | 0.939232 | 0.023362 |
| 36 | 0.7299505 | 19.862963 | 458.05124 | 2.175157 | −2.974636 | −2.425208 |
| 37 | 0.66902814 | 18.205181 | 419.821846 | 2.17008 | −1.704662 | 0.000878 |
| 38 | 0.64919848 | 17.665589 | 407.37854 | 2.693988 | −3.168615 | 0.005919 |
| 39 | 0.64867543 | 17.651356 | 407.05032 | 2.645917 | −0.381416 | −0.02532 |
| 40 | 0.59696002 | 16.244108 | 374.598385 | 3.308064 | 4.63723 | −0.015481 |
Table A23 shows the minimum points for the ALIE of PFO3DA. The points with a smaller ALIE value are prone to radical and electrophilic reactions.
Table A23.
Detailed information of minima points on the ALIE map of PFO3DA.
Table A23.
Detailed information of minima points on the ALIE map of PFO3DA.
| Number | a.u. | eV | kcal/mol | X/Y/Z Coordinate (Angstrom) | ||
|---|---|---|---|---|---|---|
| 1 | 0.63691676 | 17.331386 | 399.671634 | −2.898749 | −0.91548 | −0.565905 |
| 2 | 0.63694208 | 17.332075 | 399.687525 | −2.907297 | −0.949033 | 0.53654 |
| 3 | 0.63640414 | 17.317437 | 399.349962 | −2.893576 | 0.202298 | −0.609969 |
| 4 | 0.6363292 | 17.315398 | 399.302936 | −2.884345 | 0.213927 | 0.561437 |
| 5 | 0.50289722 | 13.684529 | 315.573032 | −2.387982 | 3.547339 | 0.112889 |
| 6 | 0.47093756 | 12.814863 | 295.518031 | −2.229194 | 7.01214 | 0.043477 |
| 7 | 0.50109997 | 13.635624 | 314.445241 | −2.073625 | 3.791768 | −1.050226 |
| 8 | 0.5011294 | 13.636424 | 314.463709 | −2.105888 | 3.741207 | 0.969541 |
| 9 | 0.63974606 | 17.408375 | 401.447047 | −1.417052 | −5.678731 | −1.464674 |
| 10 | 0.63978301 | 17.409381 | 401.470238 | −1.481837 | −5.68911 | 1.433934 |
| 11 | 0.5653333 | 15.383501 | 354.752297 | −1.18715 | −4.018122 | −1.64388 |
| 12 | 0.56532478 | 15.383269 | 354.74695 | −1.205382 | −4.02098 | 1.635067 |
| 13 | 0.561448 | 15.277777 | 352.314236 | −1.106218 | 3.158002 | −1.573369 |
| 14 | 0.56143176 | 15.277335 | 352.304046 | −1.049156 | 3.160017 | 1.604554 |
| 15 | 0.63524285 | 17.285837 | 398.621242 | −0.358698 | −1.58109 | −2.271804 |
| 16 | 0.63783056 | 17.356252 | 400.245052 | −0.252863 | −5.115933 | 2.194718 |
| 17 | 0.6352119 | 17.284995 | 398.601821 | −0.333162 | −1.587138 | 2.251711 |
| 18 | 0.63487838 | 17.275919 | 398.392531 | −0.252863 | 0.774628 | −2.262532 |
| 19 | 0.52892098 | 14.392672 | 331.903204 | −0.263476 | 7.384357 | 1.59136 |
| 20 | 0.63781219 | 17.355752 | 400.233529 | −0.242389 | −5.08793 | −2.200817 |
| 21 | 0.6350606 | 17.280878 | 398.506876 | −0.140732 | −2.872876 | 2.249933 |
| 22 | 0.63490174 | 17.276555 | 398.407188 | −0.238957 | 0.735189 | 2.244975 |
| 23 | 0.52885101 | 14.390768 | 331.859298 | −0.202229 | 7.338233 | −1.625712 |
| 24 | 0.63509192 | 17.28173 | 398.526529 | −0.112547 | −2.856156 | −2.276878 |
| 25 | 0.63414012 | 17.25583 | 397.929265 | 0.007865 | 1.889992 | −2.262301 |
| 26 | 0.63416594 | 17.256533 | 397.945472 | 0.011699 | 1.995827 | 2.239567 |
| 27 | 0.63123719 | 17.176837 | 396.10765 | 0.121894 | 4.089249 | −2.254108 |
| 28 | 0.63122061 | 17.176386 | 396.097248 | 0.170479 | 4.059014 | 2.29188 |
| 29 | 0.63989533 | 17.412437 | 401.540717 | 0.32039 | −7.379452 | −0.044738 |
| 30 | 0.5701646 | 15.514968 | 357.783991 | 0.651586 | −0.462609 | −1.676345 |
| 31 | 0.57022753 | 15.51668 | 357.823478 | 0.675885 | −0.450027 | 1.666115 |
| 32 | 0.63831025 | 17.369305 | 400.546067 | 1.54634 | −6.840396 | −0.723826 |
| 33 | 0.638329 | 17.369815 | 400.557831 | 1.54634 | −6.842228 | 0.733434 |
| 34 | 0.641745 | 17.46277 | 402.701406 | 2.347911 | −4.468637 | −0.644264 |
| 35 | 0.64174452 | 17.462757 | 402.701106 | 2.352162 | −4.47721 | 0.642649 |
| 36 | 0.63692801 | 17.331693 | 399.678698 | 2.456664 | −3.401781 | −0.530183 |
| 37 | 0.63691236 | 17.331267 | 399.668875 | 2.46207 | −3.401781 | 0.546199 |
| 38 | 0.63528606 | 17.287013 | 398.648358 | 2.636757 | 2.336225 | 0.562661 |
| 39 | 0.63529762 | 17.287327 | 398.655608 | 2.61221 | 2.423963 | −0.615152 |
| 40 | 0.62921902 | 17.12192 | 394.841229 | 2.678548 | 3.477524 | −0.632012 |
| 41 | 0.62923063 | 17.122236 | 394.848511 | 2.678892 | 3.477524 | 0.633643 |
Table A24 shows the maximum points for the ALIE of PFO3DA. The points with a higher ALIE value are prone to the nucleophilic reaction.
Table A24.
Detailed information of maxima points on the ALIE map of PFO3DA.
Table A24.
Detailed information of maxima points on the ALIE map of PFO3DA.
| Number | a.u. | eV | kcal/mol | X/Y/Z Coordinate (Angstrom) | ||
|---|---|---|---|---|---|---|
| 1 | 0.59606914 | 16.219866 | 374.039348 | −3.406011 | 4.97501 | 0.030687 |
| 2 | 0.65168328 | 17.733204 | 408.937776 | −2.404956 | −2.879598 | −0.006436 |
| 3 | 0.72685866 | 19.77883 | 456.111076 | −2.440884 | −1.903436 | −2.38267 |
| 4 | 0.72684388 | 19.778428 | 456.101806 | −2.459067 | −1.917844 | 2.367614 |
| 5 | 0.67104139 | 18.259965 | 421.08518 | −2.398103 | −0.33903 | −0.000883 |
| 6 | 0.7263825 | 19.765873 | 455.812282 | −2.36791 | 1.15698 | 2.360939 |
| 7 | 0.65037646 | 17.697643 | 408.117731 | −2.367745 | 1.994922 | 0.025523 |
| 8 | 0.72638734 | 19.766005 | 455.815317 | −2.334722 | 1.167668 | −2.382344 |
| 9 | 0.73686518 | 20.051121 | 462.390269 | −1.855831 | −7.215043 | 0.006821 |
| 10 | 0.55631377 | 15.138067 | 349.092452 | −1.449249 | 7.499271 | 0.211367 |
| 11 | 0.66391746 | 18.066113 | 416.614845 | −0.793099 | −5.204562 | −1.575364 |
| 12 | 0.66401261 | 18.068702 | 416.674553 | −0.79234 | −5.216215 | 1.578035 |
| 13 | 0.64244389 | 17.481787 | 403.139964 | −0.515351 | −2.978439 | −1.938834 |
| 14 | 0.64225882 | 17.476751 | 403.023831 | −0.502296 | −3.016202 | 1.92206 |
| 15 | 0.64140354 | 17.453478 | 402.487135 | −0.374211 | 2.101663 | −1.922064 |
| 16 | 0.64147062 | 17.455303 | 402.529228 | −0.358698 | 2.037726 | 1.963959 |
| 17 | 0.6582239 | 17.911183 | 413.042079 | −0.379424 | 4.312985 | −1.719687 |
| 18 | 0.65829363 | 17.913081 | 413.085835 | −0.366456 | 4.335255 | 1.732003 |
| 19 | 0.6573612 | 17.887708 | 412.500726 | −0.252863 | −6.471009 | 1.647817 |
| 20 | 0.65742373 | 17.88941 | 412.539966 | −0.200967 | −6.524949 | −1.62445 |
| 21 | 0.66020908 | 17.965203 | 414.287801 | −0.062983 | 5.170891 | −1.837287 |
| 22 | 0.64261897 | 17.486551 | 403.24983 | 0.064644 | −1.437482 | −1.934591 |
| 23 | 0.64260727 | 17.486233 | 403.242486 | 0.042471 | −1.395358 | 1.914595 |
| 24 | 0.64203046 | 17.470537 | 402.880533 | 0.064644 | 0.492472 | −1.943435 |
| 25 | 0.64200344 | 17.469802 | 402.86358 | 0.064644 | 0.453922 | 1.92206 |
| 26 | 0.65989553 | 17.95667 | 414.091042 | −0.036142 | 5.274066 | 1.813079 |
| 27 | 0.65524256 | 17.830057 | 411.171258 | 0.39762 | −7.00858 | 0.975774 |
| 28 | 0.67419123 | 18.345676 | 423.061739 | 1.003125 | −6.807623 | 0.012569 |
| 29 | 0.72661784 | 19.772277 | 455.959961 | 1.466889 | 7.721221 | 0.032951 |
| 30 | 0.73098579 | 19.891135 | 458.70089 | 1.863846 | −5.501247 | −2.380239 |
| 31 | 0.73100362 | 19.89162 | 458.712084 | 1.879136 | −5.503299 | 2.369452 |
| 32 | 0.67224615 | 18.292748 | 421.841181 | 1.921157 | −4.04799 | −0.013272 |
| 33 | 0.72595192 | 19.754156 | 455.542092 | 1.969682 | −2.534455 | −2.378138 |
| 34 | 0.72586426 | 19.751771 | 455.487081 | 1.921616 | −2.472254 | 2.403171 |
| 35 | 0.65113927 | 17.718401 | 408.596406 | 1.929641 | −1.536783 | −0.002951 |
| 36 | 0.64982749 | 17.682705 | 407.773248 | 2.028343 | 0.514131 | −0.006277 |
| 37 | 0.7246019 | 19.71742 | 454.69494 | 2.065575 | 1.477981 | −2.399331 |
| 38 | 0.72463689 | 19.718373 | 454.716897 | 2.05638 | 1.45655 | 2.402057 |
| 39 | 0.66645412 | 18.135139 | 418.206624 | 2.149364 | 2.940585 | −0.003015 |
| 40 | 0.71795485 | 19.536545 | 450.523846 | 2.181353 | 4.55567 | −2.381249 |
| 41 | 0.71797024 | 19.536964 | 450.533507 | 2.2482 | 4.523806 | 2.338611 |
| 42 | 0.64732857 | 17.614706 | 406.20515 | 2.275749 | 5.379919 | 0.009344 |
| 43 | 0.655114 | 17.826558 | 411.090584 | 2.374878 | −5.417472 | 0.005656 |
Table A25 shows the minimum points for the ALIE of PFHpA. The points with a smaller ALIE value are prone to radical and electrophilic reactions.
Table A25.
Detailed information of minima points on the ALIE map of PFHpA.
Table A25.
Detailed information of minima points on the ALIE map of PFHpA.
| Number | a.u. | eV | kcal/mol | X/Y/Z Coordinate (Angstrom) | ||
|---|---|---|---|---|---|---|
| 1 | 0.52970838 | 14.414098 | 332.397306 | −2.764695 | 2.572858 | 0.016782 |
| 2 | 0.63540866 | 17.290349 | 398.725286 | −2.486323 | 0.63169 | 0.525609 |
| 3 | 0.63541346 | 17.29048 | 398.728302 | −2.536889 | 0.71717 | −0.529897 |
| 4 | 0.64006655 | 17.417097 | 401.64816 | −2.41535 | −2.028974 | −0.538874 |
| 5 | 0.64005189 | 17.416698 | 401.638961 | −2.44483 | −1.986814 | 0.54715 |
| 6 | 0.47191765 | 12.841532 | 296.133047 | −2.146681 | 5.840994 | 0.01329 |
| 7 | 0.5248336 | 14.281449 | 329.338334 | −1.90068 | 3.648544 | −1.747687 |
| 8 | 0.52488749 | 14.282915 | 329.372148 | −1.872719 | 3.691128 | 1.75988 |
| 9 | 0.63430798 | 17.260398 | 398.034602 | −1.788782 | −5.235571 | −0.741568 |
| 10 | 0.63427294 | 17.259444 | 398.012613 | −1.724986 | −5.269619 | 0.754121 |
| 11 | 0.63261253 | 17.214262 | 396.97069 | −0.492151 | −5.972199 | −0.012232 |
| 12 | 0.52959508 | 14.411015 | 332.326208 | −0.060915 | 6.030524 | −1.616159 |
| 13 | 0.52962982 | 14.41196 | 332.34801 | −0.027746 | 6.044434 | 1.613447 |
| 14 | 0.63959238 | 17.404194 | 401.350613 | 0.05022 | −1.159251 | −2.312514 |
| 15 | 0.63956083 | 17.403335 | 401.330819 | 0.041035 | −1.064918 | 2.319297 |
| 16 | 0.63903248 | 17.388958 | 400.999274 | 0.116696 | −3.388831 | −2.270362 |
| 17 | 0.63902568 | 17.388773 | 400.995002 | 0.112212 | −3.413709 | 2.276079 |
| 18 | 0.63863486 | 17.378138 | 400.749762 | 0.149403 | −2.334359 | −2.336194 |
| 19 | 0.6386565 | 17.378727 | 400.763338 | 0.15734 | −2.324394 | 2.341751 |
| 20 | 0.63353656 | 17.239406 | 397.550526 | 0.076282 | 2.548124 | −2.322396 |
| 21 | 0.6335366 | 17.239408 | 397.550554 | 0.07678 | 2.546825 | 2.32255 |
| 22 | 0.63329682 | 17.232883 | 397.400086 | 2.014745 | −3.918008 | −1.059074 |
| 23 | 0.63327483 | 17.232284 | 397.38629 | 2.060574 | −3.893981 | 0.964358 |
| 24 | 0.63783332 | 17.356327 | 400.246789 | 2.578423 | −1.383905 | −0.647438 |
| 25 | 0.63782418 | 17.356079 | 400.241053 | 2.567673 | −1.383919 | 0.612871 |
| 26 | 0.6383078 | 17.369239 | 400.544528 | 2.533538 | −0.70158 | −0.594368 |
| 27 | 0.63833989 | 17.370112 | 400.564662 | 2.598009 | −0.584283 | 0.581284 |
| 28 | 0.63213879 | 17.201371 | 396.673411 | 2.534902 | 2.008777 | −0.593004 |
| 29 | 0.63214852 | 17.201636 | 396.679516 | 2.547343 | 2.008777 | 0.634293 |
Table A26 shows the maximum points for the ALIE of PFHpA. The points with a higher ALIE value are prone to the nucleophilic reaction.
Table A26.
Detailed information of maxima points on the ALIE map of PFHpA.
Table A26.
Detailed information of maxima points on the ALIE map of PFHpA.
| Number | a.u. | eV | kcal/mol | X/Y/Z Coordinate (Angstrom) | ||
|---|---|---|---|---|---|---|
| 1 | 0.59715342 | 16.249371 | 374.719742 | −3.428364 | 3.918411 | 0.003175 |
| 2 | 0.6492129 | 17.665981 | 407.387584 | −2.500813 | −1.382014 | −0.012644 |
| 3 | 0.73099165 | 19.891294 | 458.704573 | −2.05875 | −1.166286 | 2.382994 |
| 4 | 0.73165524 | 19.909352 | 459.12098 | −1.975392 | −3.823955 | −2.374379 |
| 5 | 0.73172501 | 19.91125 | 459.164764 | −1.952915 | −3.834467 | 2.389865 |
| 6 | 0.6714057 | 18.269878 | 421.313789 | −1.966177 | −2.439367 | −0.00911 |
| 7 | 0.73118091 | 19.896444 | 458.823331 | −2.028661 | −1.151378 | −2.404846 |
| 8 | 0.66701893 | 18.150508 | 418.561046 | −2.051435 | 0.224843 | 0.013517 |
| 9 | 0.72716429 | 19.787147 | 456.302866 | −2.048263 | 1.48583 | −2.431227 |
| 10 | 0.72716268 | 19.787103 | 456.301855 | −2.061268 | 1.480324 | 2.422164 |
| 11 | 0.67171522 | 18.278301 | 421.50802 | −1.194763 | −5.267825 | 0.015083 |
| 12 | 0.65029982 | 17.695558 | 408.069641 | −0.384088 | −2.440533 | 2.110947 |
| 13 | 0.65821004 | 17.910806 | 413.033382 | −0.382218 | 3.269777 | −1.843628 |
| 14 | 0.65816586 | 17.909604 | 413.00566 | −0.365383 | 3.323582 | 1.843263 |
| 15 | 0.65034832 | 17.696878 | 408.100074 | −0.362171 | −2.435279 | −2.106316 |
| 16 | 0.66005934 | 17.961128 | 414.193836 | −0.06651 | 3.902984 | −1.84118 |
| 17 | 0.66001415 | 17.959898 | 414.165482 | −0.047877 | 3.89384 | 1.854771 |
| 18 | 0.64998859 | 17.687089 | 407.874343 | 0.493927 | −1.054444 | −2.116793 |
| 19 | 0.64997276 | 17.686658 | 407.864407 | 0.487746 | −1.060008 | 2.115687 |
| 20 | 0.66216958 | 18.018551 | 415.518035 | 0.622436 | −4.110785 | 1.727948 |
| 21 | 0.6620053 | 18.01408 | 415.414945 | 0.667845 | −4.029418 | −1.72764 |
| 22 | 0.72851032 | 19.823774 | 457.147512 | 1.64549 | −5.884708 | 0.021551 |
| 23 | 0.72567013 | 19.746488 | 455.365264 | 1.667083 | 6.251435 | 0.012727 |
| 24 | 0.72299946 | 19.673816 | 453.689393 | 2.055819 | 2.957937 | 2.427444 |
| 25 | 0.72306953 | 19.675722 | 453.733358 | 2.062794 | 2.967046 | −2.422204 |
| 26 | 0.65569305 | 17.842315 | 411.453944 | 2.129523 | −3.600502 | −0.022781 |
| 27 | 0.72980387 | 19.858973 | 457.959229 | 2.167999 | −2.431724 | −2.4227 |
| 28 | 0.72978442 | 19.858444 | 457.947022 | 2.161868 | −2.333872 | 2.427567 |
| 29 | 0.66869619 | 18.196149 | 419.613548 | 2.163415 | −1.067258 | −0.00883 |
| 30 | 0.72990976 | 19.861855 | 458.025676 | 2.174668 | 0.261503 | −2.383007 |
| 31 | 0.72999485 | 19.86417 | 458.079067 | 2.155863 | 0.305392 | 2.395445 |
| 32 | 0.66558203 | 18.111408 | 417.659382 | 2.111743 | 1.618309 | 0.026886 |
| 33 | 0.6436586 | 17.514841 | 403.902211 | 2.157216 | 4.014776 | −0.012264 |
| 34 | 0.64319389 | 17.502196 | 403.610599 | 2.590003 | 3.065286 | −0.005716 |
| 35 | 0.64895598 | 17.65899 | 407.226368 | 2.681329 | −2.548404 | −0.014505 |
| 36 | 0.64801125 | 17.633283 | 406.633541 | 2.638546 | 0.345437 | 0.025021 |
Table A27 shows the minimum points for the ALIE of DFSA. The points with a smaller ALIE value are prone to radical and electrophilic reactions.
Table A27.
Detailed information of minima points on the ALIE map of DFSA.
Table A27.
Detailed information of minima points on the ALIE map of DFSA.
| Number | a.u. | eV | kcal/mol | X/Y/Z Coordinate (Angstrom) | ||
|---|---|---|---|---|---|---|
| 1 | 0.47176366 | 12.837342 | 296.036412 | −5.036839 | −4.321914 | 0.021566 |
| 2 | 0.53009117 | 14.424514 | 332.637511 | −4.021707 | −1.185442 | 0.001255 |
| 3 | 0.52473329 | 14.278719 | 329.275389 | −3.720042 | −2.473581 | −1.733779 |
| 4 | 0.52467758 | 14.277203 | 329.240427 | −3.705399 | −2.514063 | 1.74569 |
| 5 | 0.52944867 | 14.407031 | 332.234334 | −3.395921 | −5.532939 | −1.591188 |
| 6 | 0.52944138 | 14.406833 | 332.229759 | −3.354809 | −5.497441 | 1.61987 |
| 7 | 0.63467498 | 17.270384 | 398.264896 | −2.75288 | 0.363996 | −0.543653 |
| 8 | 0.63469973 | 17.271058 | 398.280426 | −2.75288 | 0.358646 | 0.528432 |
| 9 | 0.63699964 | 17.333642 | 399.723646 | −2.278623 | 1.056586 | −0.584843 |
| 10 | 0.63700462 | 17.333777 | 399.726767 | −2.277601 | 1.08321 | 0.580368 |
| 11 | 0.63320976 | 17.230514 | 397.345456 | −1.474252 | −2.559816 | −2.317118 |
| 12 | 0.63321737 | 17.230721 | 397.350231 | −1.477265 | −2.570835 | 2.32056 |
| 13 | 0.63181548 | 17.192573 | 396.470531 | −0.923937 | 3.382336 | −0.615125 |
| 14 | 0.63182928 | 17.192949 | 396.479191 | −0.911791 | 3.380737 | 0.570318 |
| 15 | 0.63184326 | 17.193329 | 396.487964 | 0.932393 | −3.312837 | −0.646613 |
| 16 | 0.63183267 | 17.193041 | 396.481317 | 0.924468 | −3.31443 | 0.615627 |
| 17 | 0.63327755 | 17.232358 | 397.387992 | 1.489392 | 2.626725 | 2.340562 |
| 18 | 0.63326542 | 17.232028 | 397.380385 | 1.485633 | 2.614857 | −2.336818 |
| 19 | 0.6370273 | 17.334394 | 399.741003 | 2.295757 | −0.987586 | −0.65379 |
| 20 | 0.63471394 | 17.271445 | 398.289345 | 2.766061 | −0.349628 | −0.524442 |
| 21 | 0.63472602 | 17.271773 | 398.296927 | 2.754966 | −0.355913 | 0.524926 |
| 22 | 0.52949863 | 14.408391 | 332.265687 | 3.279741 | 5.476363 | −1.652922 |
| 23 | 0.52943753 | 14.406728 | 332.227343 | 3.324275 | 5.496099 | 1.631321 |
| 24 | 0.52473811 | 14.27885 | 329.278409 | 3.677734 | 2.51297 | 1.746642 |
| 25 | 0.5247035 | 14.277908 | 329.256693 | 3.725943 | 2.557571 | −1.755348 |
| 26 | 0.52943072 | 14.406543 | 332.223073 | 3.93625 | 1.163988 | 0.016325 |
| 27 | 0.47180249 | 12.838399 | 296.060779 | 5.051765 | 4.306327 | −0.018835 |
Table A28 shows the maximum points for the ALIE of DFSA. The points with a higher ALIE value are prone to the nucleophilic reaction.
Table A28.
Detailed information of maxima points on the ALIE map of DFSA.
Table A28.
Detailed information of maxima points on the ALIE map of DFSA.
| Number | a.u. | eV | kcal/mol | X/Y/Z Coordinate (Angstrom) | ||
|---|---|---|---|---|---|---|
| 1 | 0.59711237 | 16.248254 | 374.693983 | −5.187095 | −1.981966 | −0.025987 |
| 2 | 0.7264121 | 19.766678 | 455.830855 | −2.820207 | −0.556258 | −2.396453 |
| 3 | 0.72640508 | 19.766487 | 455.826449 | −2.752067 | −0.556244 | 2.434979 |
| 4 | 0.6598242 | 17.95473 | 414.046286 | −2.274018 | −3.649702 | −1.850264 |
| 5 | 0.65978989 | 17.953796 | 414.024755 | −2.275824 | −3.625486 | 1.852171 |
| 6 | 0.65767439 | 17.89623 | 412.697259 | −2.268402 | −3.220391 | 1.859593 |
| 7 | 0.65784526 | 17.90088 | 412.804476 | −2.241119 | −2.999618 | −1.846282 |
| 8 | 0.65781093 | 17.899946 | 412.78294 | −2.223702 | −2.939755 | 1.849175 |
| 9 | 0.6653816 | 18.105954 | 417.533608 | −2.117867 | 0.558208 | −0.023806 |
| 10 | 0.7255519 | 19.743271 | 455.291076 | −2.012349 | −6.583775 | 0.00033 |
| 11 | 0.64699701 | 17.605684 | 405.997093 | −1.890447 | 1.889491 | 0.001947 |
| 12 | 0.72891381 | 19.834753 | 457.400704 | −1.444764 | 1.687977 | −2.39687 |
| 13 | 0.72895773 | 19.835949 | 457.428268 | −1.422839 | 1.620466 | 2.43347 |
| 14 | 0.6640284 | 18.069132 | 416.684463 | −0.802896 | 2.724641 | 0.020874 |
| 15 | 0.6433462 | 17.50634 | 403.706174 | −0.422229 | −4.892435 | 0.003014 |
| 16 | 0.64293787 | 17.495229 | 403.449946 | −0.417325 | 4.309077 | 0.002483 |
| 17 | 0.72280347 | 19.668483 | 453.566405 | −0.055239 | 3.994666 | −2.383206 |
| 18 | 0.72277604 | 19.667736 | 453.549195 | −0.004075 | 3.964412 | 2.423623 |
| 19 | 0.72279749 | 19.66832 | 453.56265 | 0.048779 | −3.998891 | −2.385024 |
| 20 | 0.72279027 | 19.668123 | 453.558122 | 0.083254 | −3.955321 | 2.383002 |
| 21 | 0.64321202 | 17.502689 | 403.621974 | 0.422184 | 4.893617 | −0.026803 |
| 22 | 0.64285102 | 17.492866 | 403.395444 | 0.454331 | −4.260499 | 0.015737 |
| 23 | 0.66478446 | 18.089705 | 417.158899 | 0.760175 | −2.778802 | 0.009666 |
| 24 | 0.72893059 | 19.83521 | 457.411235 | 1.423671 | −1.614612 | −2.434961 |
| 25 | 0.72897096 | 19.836309 | 457.436566 | 1.446935 | −1.619244 | 2.419962 |
| 26 | 0.64693379 | 17.603964 | 405.957425 | 1.920346 | −1.836894 | 0.004695 |
| 27 | 0.7255505 | 19.743233 | 455.290197 | 2.009716 | 6.582976 | 0.023207 |
| 28 | 0.66563329 | 18.112803 | 417.691545 | 2.117738 | −0.555104 | −0.000577 |
| 29 | 0.6577282 | 17.897695 | 412.731024 | 2.221386 | 2.914058 | −1.84743 |
| 30 | 0.65789796 | 17.902314 | 412.837551 | 2.252868 | 2.95276 | 1.829939 |
| 31 | 0.65761273 | 17.894552 | 412.658564 | 2.274245 | 3.200842 | −1.852924 |
| 32 | 0.65976438 | 17.953102 | 414.008745 | 2.271587 | 3.621525 | −1.855583 |
| 33 | 0.65982781 | 17.954828 | 414.04855 | 2.27337 | 3.651266 | 1.850441 |
| 34 | 0.72661688 | 19.772251 | 455.95936 | 2.766534 | 0.592119 | −2.439673 |
| 35 | 0.72662377 | 19.772438 | 455.96368 | 2.775212 | 0.614054 | 2.442536 |
| 36 | 0.59708799 | 16.24759 | 374.678683 | 5.193966 | 1.991242 | 0.001022 |
Table A29 shows the detailed CDFT descriptors, indicating the possible reactive sites of the PFNA molecule.
Table A29.
Detailed information of CDFT descriptors of PFNA.
Table A29.
Detailed information of CDFT descriptors of PFNA.
| Atom | q(N) | q(N + 1) | q(N − 1) | f(r)− | f(r)+ | f(r)0 | Δf(r) | Electrophilicity | Nucleophilicity | s− | s+ | s0 | s+/s− | s−/s+ |
|---|---|---|---|---|---|---|---|---|---|---|---|---|---|---|
| 1(F) | −0.0911 | −0.097 | −0.0837 | 0.0074 | 0.0059 | 0.0067 | −0.0015 | 0.01445 | −0.01245 | 0.0295 | 0.0236 | 0.0265 | 0.8007 | 1.2489 |
| 2(F) | −0.0911 | −0.097 | −0.0837 | 0.0074 | 0.0059 | 0.0067 | −0.0015 | 0.01445 | −0.01245 | 0.0295 | 0.0236 | 0.0265 | 0.8007 | 1.2489 |
| 3(F) | −0.0907 | −0.0937 | −0.087 | 0.0037 | 0.003 | 0.0034 | −0.0007 | 0.00729 | −0.00626 | 0.0148 | 0.0119 | 0.0134 | 0.804 | 1.2438 |
| 4(F) | −0.0907 | −0.0937 | −0.087 | 0.0037 | 0.003 | 0.0034 | −0.0007 | 0.00729 | −0.00626 | 0.0148 | 0.0119 | 0.0134 | 0.804 | 1.2438 |
| 5(F) | −0.0923 | −0.1032 | −0.0777 | 0.0145 | 0.0109 | 0.0127 | −0.0036 | 0.02658 | −0.02445 | 0.0579 | 0.0434 | 0.0506 | 0.7501 | 1.3332 |
| 6(F) | −0.0923 | −0.1032 | −0.0777 | 0.0145 | 0.0109 | 0.0127 | −0.0036 | 0.02658 | −0.02445 | 0.0579 | 0.0434 | 0.0506 | 0.7501 | 1.3332 |
| 7(F) | −0.0907 | −0.0923 | −0.0888 | 0.0019 | 0.0016 | 0.0017 | −0.0003 | 0.00386 | −0.00322 | 0.0076 | 0.0063 | 0.007 | 0.8286 | 1.2069 |
| 8(F) | −0.0907 | −0.0923 | −0.0888 | 0.0019 | 0.0016 | 0.0017 | −0.0003 | 0.00386 | −0.00322 | 0.0076 | 0.0063 | 0.007 | 0.8286 | 1.2069 |
| 9(F) | −0.0924 | −0.119 | −0.0639 | 0.0285 | 0.0266 | 0.0276 | −0.0019 | 0.06494 | −0.04792 | 0.1134 | 0.1061 | 0.1097 | 0.935 | 1.0695 |
| 10(F) | −0.0924 | −0.119 | −0.0639 | 0.0285 | 0.0266 | 0.0276 | −0.0019 | 0.06494 | −0.04792 | 0.1134 | 0.1061 | 0.1097 | 0.935 | 1.0695 |
| 11(F) | −0.0917 | −0.0925 | −0.0906 | 0.001 | 0.0009 | 0.001 | −0.0002 | 0.00211 | −0.00177 | 0.0042 | 0.0034 | 0.0038 | 0.8231 | 1.2148 |
| 12(F) | −0.0917 | −0.0925 | −0.0906 | 0.001 | 0.0009 | 0.001 | −0.0002 | 0.00211 | −0.00177 | 0.0042 | 0.0034 | 0.0038 | 0.8231 | 1.2148 |
| 13(F) | −0.095 | −0.2159 | −0.0112 | 0.0838 | 0.1209 | 0.1023 | 0.0371 | 0.29473 | −0.14092 | 0.3336 | 0.4813 | 0.4074 | 1.443 | 0.693 |
| 14(F) | −0.095 | −0.2159 | −0.0112 | 0.0838 | 0.1209 | 0.1023 | 0.0371 | 0.29473 | −0.14092 | 0.3336 | 0.4813 | 0.4074 | 1.443 | 0.693 |
| 15(F) | −0.0919 | −0.0927 | −0.091 | 0.0009 | 0.0008 | 0.0009 | −0.0001 | 0.00192 | −0.00157 | 0.0037 | 0.0031 | 0.0034 | 0.848 | 1.1792 |
| 16(F) | −0.0914 | −0.0919 | −0.0909 | 0.0006 | 0.0005 | 0.0005 | −0.0001 | 0.00121 | −0.00096 | 0.0023 | 0.002 | 0.0021 | 0.8698 | 1.1497 |
| 17(F) | −0.0914 | −0.0919 | −0.0909 | 0.0006 | 0.0005 | 0.0005 | −0.0001 | 0.00121 | −0.00096 | 0.0023 | 0.002 | 0.0021 | 0.8698 | 1.1497 |
| 18(O) | −0.1486 | −0.2676 | −0.0096 | 0.1391 | 0.119 | 0.129 | −0.0201 | 0.29012 | −0.23394 | 0.5538 | 0.4738 | 0.5138 | 0.8557 | 1.1687 |
| 19(O) | −0.2623 | −0.4745 | 0.0507 | 0.313 | 0.2122 | 0.2626 | −0.1008 | 0.5174 | −0.52659 | 1.2464 | 0.845 | 1.0457 | 0.6779 | 1.4751 |
| 20(C) | 0.1816 | 0.1791 | 0.1851 | 0.0035 | 0.0025 | 0.003 | −0.001 | 0.00611 | −0.00591 | 0.014 | 0.01 | 0.012 | 0.7131 | 1.4022 |
| 21(C) | 0.1818 | 0.1805 | 0.1835 | 0.0017 | 0.0013 | 0.0015 | −0.0004 | 0.00314 | −0.0028 | 0.0066 | 0.0051 | 0.0059 | 0.7727 | 1.2942 |
| 22(C) | 0.1808 | 0.1781 | 0.1876 | 0.0068 | 0.0027 | 0.0048 | −0.0041 | 0.00664 | −0.01148 | 0.0272 | 0.0108 | 0.019 | 0.3991 | 2.5056 |
| 23(C) | 0.1814 | 0.1807 | 0.1822 | 0.0009 | 0.0007 | 0.0008 | −0.0001 | 0.00179 | −0.00144 | 0.0034 | 0.0029 | 0.0032 | 0.8598 | 1.163 |
| 24(C) | 0.1817 | 0.1778 | 0.1917 | 0.01 | 0.0039 | 0.0069 | −0.0062 | 0.00944 | −0.01687 | 0.0399 | 0.0154 | 0.0277 | 0.3863 | 2.5887 |
| 25(C) | 0.1772 | 0.1768 | 0.1776 | 0.0005 | 0.0004 | 0.0004 | −0.0001 | 0.00097 | −0.0008 | 0.0019 | 0.0016 | 0.0017 | 0.8366 | 1.1953 |
| 26(C) | 0.1909 | 0.1221 | 0.2521 | 0.0612 | 0.0688 | 0.065 | 0.0076 | 0.16772 | −0.10296 | 0.2437 | 0.2739 | 0.2588 | 1.124 | 0.8897 |
| 27(C) | 0.279 | 0.2786 | 0.2794 | 0.0004 | 0.0004 | 0.0004 | −0.0001 | 0.00088 | −0.00074 | 0.0017 | 0.0014 | 0.0016 | 0.8272 | 1.2089 |
| 28(C) | 0.2117 | 0.0226 | 0.3244 | 0.1127 | 0.1891 | 0.1509 | 0.0764 | 0.46115 | −0.18962 | 0.4488 | 0.7531 | 0.601 | 1.678 | 0.596 |
| 29(H) | 0.2095 | 0.1525 | 0.2757 | 0.0662 | 0.057 | 0.0616 | −0.0092 | 0.13893 | −0.11136 | 0.2636 | 0.2269 | 0.2452 | 0.8608 | 1.1617 |
Note: q(N): Hirshfeld charges in neutral state; q(N+1): Hirshfeld charges in a positive charge state; q(N−1): Hirshfeld charges in a negative charge state; f(r)−: electrophilic Fukui function; f(r)+: nucleophilic Fukui function; f(r)0: radical Fukui function; Δf(r): condensed dual descriptors; electrophilicity: reduced local electrophilic index; nucleophilicity: reduced local nucleophilic index; s−: reduced local softness; s+: relative electrophilic index; s0: relative nucleophilic index; E(N): −2190.661502 Hartree; E(N+1): −2190.748081 Hartree; E(N−1): −2190.323797 Hartree; E_HOMO(N): −0.397022 Hartree, −10.8035 eV; E_HOMO(N+1): −0.165714 Hartree, −4.5093 eV; E_HOMO(N−1): −0.43199 Hartree, −11.755 eV; vertical IP: 0.225392 Hartree, 6.1332 eV; vertical EA: 0.071224 Hartree, 1.9381 eV; Mulliken electronegativity: 0.212142 Hartree, 5.7727 eV; chemical potential:−0.212142 Hartree, −5.7727 eV; hardness (=fundamental gap):0.251126 Hartree, 6.8335 eV; Softness: 3.982066 Hartree−1, 0.1463 eV−1; electrophilicity index: 0.089605 Hartree, 2.4383 eV; nucleophilicity index: −0.061824 Hartree, −1.6823 eV.
Table A30 shows the detailed CDFT descriptors, indicating the possible reactive sites of the HFPO-TA molecule.
Table A30.
Detailed information of CDFT descriptors of HFPO-TA.
Table A30.
Detailed information of CDFT descriptors of HFPO-TA.
| Atom | q(N) | q(N + 1) | q(N − 1) | f(r)− | f(r)+ | f(r)0 | Δf(r) | Electrophilicity | Nucleophilicity | s− | s+ | s0 | s+/s− | s−/s+ |
|---|---|---|---|---|---|---|---|---|---|---|---|---|---|---|
| 1(F) | −0.0961 | −0.1258 | −0.0865 | 0.0096 | 0.0298 | 0.0197 | 0.0202 | 0.10554 | −0.01764 | 0.0454 | 0.1412 | 0.0933 | 3.1109 | 0.3214 |
| 2(F) | −0.0974 | −0.2034 | −0.0627 | 0.0346 | 0.106 | 0.0703 | 0.0714 | 0.37604 | −0.06384 | 0.1643 | 0.5031 | 0.3337 | 3.0624 | 0.3265 |
| 3(F) | −0.0836 | −0.1895 | −0.067 | 0.0166 | 0.1058 | 0.0612 | 0.0892 | 0.37532 | −0.03064 | 0.0789 | 0.5021 | 0.2905 | 6.3679 | 0.157 |
| 4(F) | −0.091 | −0.1044 | −0.0867 | 0.0042 | 0.0134 | 0.0088 | 0.0092 | 0.04755 | −0.00779 | 0.02 | 0.0636 | 0.0418 | 3.1751 | 0.3149 |
| 5(F) | −0.0973 | −0.1082 | −0.0927 | 0.0046 | 0.0109 | 0.0077 | 0.0063 | 0.03867 | −0.00845 | 0.0218 | 0.0517 | 0.0367 | 2.3785 | 0.4204 |
| 6(F) | −0.0913 | −0.1123 | −0.0786 | 0.0127 | 0.021 | 0.0168 | 0.0083 | 0.07443 | −0.02338 | 0.0602 | 0.0996 | 0.0799 | 1.655 | 0.6042 |
| 7(F) | −0.0906 | −0.1016 | −0.0888 | 0.0019 | 0.0109 | 0.0064 | 0.009 | 0.03867 | −0.00346 | 0.0089 | 0.0517 | 0.0303 | 5.8174 | 0.1719 |
| 8(F) | −0.0913 | −0.1061 | −0.0861 | 0.0053 | 0.0148 | 0.01 | 0.0095 | 0.05239 | −0.0097 | 0.025 | 0.0701 | 0.0475 | 2.8072 | 0.3562 |
| 9(F) | −0.0906 | −0.0967 | −0.088 | 0.0026 | 0.0061 | 0.0043 | 0.0036 | 0.02175 | −0.00472 | 0.0121 | 0.0291 | 0.0206 | 2.3963 | 0.4173 |
| 10(F) | −0.0913 | −0.0978 | −0.0886 | 0.0026 | 0.0065 | 0.0046 | 0.0039 | 0.0231 | −0.00482 | 0.0124 | 0.0309 | 0.0216 | 2.493 | 0.4011 |
| 11(F) | −0.0873 | −0.0671 | −0.0028 | 0.0844 | −0.0201 | 0.0321 | −0.1046 | −0.07145 | −0.15561 | 0.4005 | −0.0956 | 0.1524 | −0.2387 | −4.1892 |
| 12(F) | −0.0907 | −0.0954 | −0.0888 | 0.002 | 0.0046 | 0.0033 | 0.0027 | 0.01638 | −0.0036 | 0.0093 | 0.0219 | 0.0156 | 2.3647 | 0.4229 |
| 13(F) | −0.0912 | −0.0946 | −0.0906 | 0.0007 | 0.0034 | 0.002 | 0.0027 | 0.01209 | −0.00123 | 0.0032 | 0.0162 | 0.0097 | 5.1031 | 0.196 |
| 14(F) | −0.0914 | −0.0939 | −0.0899 | 0.0015 | 0.0024 | 0.002 | 0.001 | 0.00868 | −0.00269 | 0.0069 | 0.0116 | 0.0093 | 1.6761 | 0.5966 |
| 15(F) | −0.0899 | −0.1063 | −0.056 | 0.0339 | 0.0164 | 0.0252 | −0.0175 | 0.05823 | −0.06259 | 0.1611 | 0.0779 | 0.1195 | 0.4837 | 2.0675 |
| 16(F) | −0.0881 | −0.1081 | −0.0604 | 0.0277 | 0.02 | 0.0239 | −0.0077 | 0.07103 | −0.05116 | 0.1317 | 0.095 | 0.1133 | 0.7218 | 1.3854 |
| 17(F) | −0.0903 | −0.1191 | −0.0636 | 0.0267 | 0.0288 | 0.0278 | 0.0021 | 0.10217 | −0.04929 | 0.1269 | 0.1367 | 0.1318 | 1.0775 | 0.9281 |
| 18(O) | −0.1405 | −0.1526 | −0.1352 | 0.0053 | 0.0121 | 0.0087 | 0.0067 | 0.04286 | −0.00984 | 0.0253 | 0.0573 | 0.0413 | 2.2651 | 0.4415 |
| 19(O) | −0.137 | −0.4135 | −0.0844 | 0.0526 | 0.2765 | 0.1646 | 0.2239 | 0.98059 | −0.09701 | 0.2496 | 1.3118 | 0.7807 | 5.2551 | 0.1903 |
| 20(O) | −0.1471 | −0.1935 | −0.0139 | 0.1332 | 0.0463 | 0.0898 | −0.0869 | 0.16434 | −0.24555 | 0.6319 | 0.2199 | 0.4259 | 0.3479 | 2.8742 |
| 21(O) | −0.2681 | −0.317 | −0.0092 | 0.2589 | 0.0489 | 0.1539 | −0.21 | 0.17338 | −0.47727 | 1.2282 | 0.2319 | 0.7301 | 0.1888 | 5.2952 |
| 22(C) | 0.1574 | 0.144 | 0.1606 | 0.0032 | 0.0134 | 0.0083 | 0.0103 | 0.04758 | −0.00583 | 0.015 | 0.0636 | 0.0393 | 4.2432 | 0.2357 |
| 23(C) | 0.2541 | 0.1833 | 0.27 | 0.0159 | 0.0708 | 0.0433 | 0.0549 | 0.25092 | −0.02929 | 0.0754 | 0.3357 | 0.2055 | 4.4537 | 0.2245 |
| 24(C) | 0.257 | 0.2524 | 0.2584 | 0.0015 | 0.0046 | 0.003 | 0.0031 | 0.0163 | −0.00268 | 0.0069 | 0.0218 | 0.0144 | 3.1586 | 0.3166 |
| 25(C) | 0.281 | 0.2751 | 0.2842 | 0.0032 | 0.0059 | 0.0045 | 0.0028 | 0.021 | −0.00582 | 0.015 | 0.0281 | 0.0215 | 1.8755 | 0.5332 |
| 26(C) | 0.1759 | 0.1724 | 0.1775 | 0.0016 | 0.0034 | 0.0025 | 0.0018 | 0.01222 | −0.00302 | 0.0078 | 0.0163 | 0.0121 | 2.101 | 0.476 |
| 27(C) | 0.1612 | 0.1118 | 0.2238 | 0.0626 | 0.0494 | 0.056 | −0.0132 | 0.17514 | −0.11545 | 0.2971 | 0.2343 | 0.2657 | 0.7886 | 1.268 |
| 28(C) | 0.2795 | 0.2775 | 0.2801 | 0.0006 | 0.002 | 0.0013 | 0.0014 | 0.00725 | −0.00117 | 0.003 | 0.0097 | 0.0064 | 3.2262 | 0.31 |
| 29(C) | 0.2842 | 0.2819 | 0.3033 | 0.0191 | 0.0023 | 0.0107 | −0.0168 | 0.00804 | −0.03523 | 0.0907 | 0.0108 | 0.0507 | 0.1186 | 8.4287 |
| 30(C) | 0.1929 | 0.1789 | 0.3019 | 0.109 | 0.014 | 0.0615 | −0.0949 | 0.04977 | −0.2009 | 0.517 | 0.0666 | 0.2918 | 0.1288 | 7.7651 |
| 31(H) | 0.2006 | 0.1315 | 0.2625 | 0.0619 | 0.0691 | 0.0655 | 0.0072 | 0.24509 | −0.11407 | 0.2935 | 0.3279 | 0.3107 | 1.117 | 0.8952 |
Note: q(N): Hirshfeld charges in neutral state; q(N+1): Hirshfeld charges in a positive charge state; q(N−1): Hirshfeld charges in a negative charge state; f(r)−: electrophilic Fukui function; f(r)+: nucleophilic Fukui function; f(r)0: radical Fukui function; Δf: condensed dual descriptors; electrophilicity: reduced local electrophilic index; nucleophilicity: reduced local nucleophilic index; s−: reduced local softness; s+: relative electrophilic index; s0: relative nucleophilic index; E(N): −1383.391208 Hartree; E(N+1): −1383.487614 Hartree; E(N−1): −1383.166034 Hartree; E_HOMO(N): −0.40295 Hartree, −10.9648 eV; E_HOMO(N+1):−0.314238 Hartree, −8.5509 eV; E_HOMO(N−1): −0.453262 Hartree,−12.3339 eV; vertical IP: 0.33978 Hartree, 9.2459 eV; vertical EA:0.129003 Hartree, 3.5103 eV; Mulliken electronegativity: 0.234392 Hartree, 6.3781 eV; chemical potential: −0.234392 Hartree, −6.3781 eV; hardness (=fundamental gap): 0.210778 Hartree, 5.7356 eV; softness: 4.744334 Hartree−1, 0.1744 eV−1; electrophilicity index: 0.130325 Hartree, 3.5463 eV; nucleophilicity index: −0.067752 Hartree, −1.8436 eV.
Table A31 shows the detailed CDFT descriptors, indicating the possible reactive sites of the PFOA molecule.
Table A31.
Detailed information of CDFT descriptors of PFOA.
Table A31.
Detailed information of CDFT descriptors of PFOA.
| Atom | q(N) | q(N + 1) | q(N − 1) | f(r)− | f(r)+ | f(r)0 | Δf(r) | Electrophilicity | Nucleophilicity | s− | s+ | s0 | s+/s− | s−/s+ |
|---|---|---|---|---|---|---|---|---|---|---|---|---|---|---|
| 1(F) | −0.0909 | −0.0969 | −0.0836 | 0.0074 | 0.0059 | 0.0066 | −0.0015 | 0.0144 | −0.01243 | 0.0293 | 0.0235 | 0.0264 | 0.8016 | 1.2476 |
| 2(F) | −0.0909 | −0.0969 | −0.0836 | 0.0074 | 0.0059 | 0.0066 | −0.0015 | 0.0144 | −0.01243 | 0.0293 | 0.0235 | 0.0264 | 0.8016 | 1.2476 |
| 3(F) | −0.0922 | −0.1031 | −0.0777 | 0.0145 | 0.011 | 0.0127 | −0.0035 | 0.0267 | −0.02439 | 0.0576 | 0.0436 | 0.0506 | 0.7571 | 1.3209 |
| 4(F) | −0.0922 | −0.1031 | −0.0777 | 0.0145 | 0.011 | 0.0127 | −0.0035 | 0.0267 | −0.02439 | 0.0576 | 0.0436 | 0.0506 | 0.7571 | 1.3209 |
| 5(F) | −0.0909 | −0.0939 | −0.0872 | 0.0037 | 0.003 | 0.0034 | −0.0007 | 0.00733 | −0.00624 | 0.0147 | 0.012 | 0.0134 | 0.8131 | 1.2298 |
| 6(F) | −0.0909 | −0.0939 | −0.0872 | 0.0037 | 0.003 | 0.0034 | −0.0007 | 0.00733 | −0.00624 | 0.0147 | 0.012 | 0.0134 | 0.8131 | 1.2298 |
| 7(F) | −0.0924 | −0.119 | −0.064 | 0.0284 | 0.0266 | 0.0275 | −0.0017 | 0.06497 | −0.04787 | 0.113 | 0.1061 | 0.1096 | 0.9387 | 1.0653 |
| 8(F) | −0.0924 | −0.119 | −0.064 | 0.0284 | 0.0266 | 0.0275 | −0.0017 | 0.06497 | −0.04787 | 0.113 | 0.1061 | 0.1096 | 0.9387 | 1.0653 |
| 9(F) | −0.0917 | −0.0934 | −0.0897 | 0.002 | 0.0017 | 0.0018 | −0.0003 | 0.00407 | −0.00339 | 0.008 | 0.0066 | 0.0073 | 0.8293 | 1.2058 |
| 10(F) | −0.0917 | −0.0934 | −0.0897 | 0.002 | 0.0017 | 0.0018 | −0.0003 | 0.00407 | −0.00339 | 0.008 | 0.0066 | 0.0073 | 0.8293 | 1.2058 |
| 11(F) | −0.095 | −0.216 | −0.0117 | 0.0834 | 0.121 | 0.1022 | 0.0377 | 0.29504 | −0.14055 | 0.3319 | 0.4819 | 0.4069 | 1.4519 | 0.6888 |
| 12(F) | −0.095 | −0.216 | −0.0117 | 0.0834 | 0.121 | 0.1022 | 0.0377 | 0.29504 | −0.14055 | 0.3319 | 0.4819 | 0.4069 | 1.4519 | 0.6888 |
| 13(F) | −0.092 | −0.0934 | −0.0903 | 0.0017 | 0.0014 | 0.0016 | −0.0003 | 0.00349 | −0.00286 | 0.0068 | 0.0057 | 0.0062 | 0.845 | 1.1834 |
| 14(F) | −0.0915 | −0.0924 | −0.0904 | 0.0011 | 0.0009 | 0.001 | −0.0002 | 0.0022 | −0.00183 | 0.0043 | 0.0036 | 0.004 | 0.8336 | 1.1996 |
| 15(F) | −0.0915 | −0.0924 | −0.0904 | 0.0011 | 0.0009 | 0.001 | −0.0002 | 0.0022 | −0.00183 | 0.0043 | 0.0036 | 0.004 | 0.8336 | 1.1996 |
| 16(O) | −0.1485 | −0.2674 | −0.0093 | 0.1392 | 0.1189 | 0.129 | −0.0203 | 0.28986 | −0.2347 | 0.5542 | 0.4734 | 0.5138 | 0.8542 | 1.1707 |
| 17(O) | −0.2623 | −0.4741 | 0.0529 | 0.3152 | 0.2118 | 0.2635 | −0.1034 | 0.51631 | −0.53152 | 1.2551 | 0.8433 | 1.0492 | 0.6719 | 1.4884 |
| 18(C) | 0.1818 | 0.1792 | 0.1853 | 0.0035 | 0.0026 | 0.003 | −0.001 | 0.00624 | −0.00596 | 0.0141 | 0.0102 | 0.0121 | 0.724 | 1.3812 |
| 19(C) | 0.1809 | 0.1781 | 0.1876 | 0.0067 | 0.0027 | 0.0047 | −0.004 | 0.0067 | −0.01138 | 0.0269 | 0.0109 | 0.0189 | 0.4074 | 2.4544 |
| 20(C) | 0.1813 | 0.18 | 0.1829 | 0.0016 | 0.0013 | 0.0015 | −0.0003 | 0.00318 | −0.00274 | 0.0065 | 0.0052 | 0.0058 | 0.8031 | 1.2452 |
| 21(C) | 0.1817 | 0.1778 | 0.1917 | 0.01 | 0.0039 | 0.0069 | −0.0061 | 0.00946 | −0.01685 | 0.0398 | 0.0155 | 0.0276 | 0.3884 | 2.5748 |
| 22(C) | 0.1772 | 0.1764 | 0.1781 | 0.0009 | 0.0008 | 0.0009 | −0.0002 | 0.0019 | −0.00158 | 0.0037 | 0.0031 | 0.0034 | 0.8333 | 1.2001 |
| 23(C) | 0.191 | 0.122 | 0.2517 | 0.0607 | 0.069 | 0.0648 | 0.0083 | 0.16819 | −0.10236 | 0.2417 | 0.2747 | 0.2582 | 1.1365 | 0.8799 |
| 24(C) | 0.2789 | 0.2783 | 0.2798 | 0.0008 | 0.0007 | 0.0007 | −0.0001 | 0.00167 | −0.00137 | 0.0032 | 0.0027 | 0.003 | 0.838 | 1.1933 |
| 25(C) | 0.2117 | 0.0227 | 0.3243 | 0.1126 | 0.189 | 0.1508 | 0.0764 | 0.46068 | −0.18988 | 0.4484 | 0.7524 | 0.6004 | 1.6781 | 0.5959 |
| 26(H) | 0.2095 | 0.1525 | 0.2753 | 0.0658 | 0.0569 | 0.0614 | −0.0089 | 0.1388 | −0.11096 | 0.262 | 0.2267 | 0.2444 | 0.8652 | 1.1558 |
Note: q(N): Hirshfeld charges in neutral state; q(N+1): Hirshfeld charges in a positive charge state; q(N−1): Hirshfeld charges in a negative charge state; f(r)−: electrophilic Fukui function; f(r)+: nucleophilic Fukui function; f(r)0: radical Fukui function; Δf(r): condensed dual descriptors; electrophilicity: reduced local electrophilic index; nucleophilicity: reduced local nucleophilic index; s−: reduced local softness; s+: relative electrophilic index; s0: relative nucleophilic index; E(N): −1952.944666 Hartree; E(N+1): −1953.031224 Hartree; E(N−1): −1952.606956 Hartree; E_HOMO(N): −0.397162 Hartree, −10.8073 eV; E_HOMO(N+1): −0.165717 Hartree, −4.5094 eV; E_HOMO(N−1): −0.437355 Hartree, −11.901 eV; vertical IP: 0.33771 Hartree, 9.1896 eV; vertical EA: 0.086558 Hartree, 2.3554 eV; Mulliken electronegativity: 0.212134 Hartree, 5.7725 eV; chemical potential: −0.212134 Hartree, −5.7725 eV; hardness (=fundamental gap): 0.251152 Hartree, 6.8342 eV; softness: 3.981655 Hartree−1, 0.1463 eV−1; electrophilicity index: 0.089589 Hartree, 2.4378 eV; nucleophilicity index: −0.061964 Hartree, −1.6861 eV.
Table A32 shows the detailed CDFT descriptors, indicating the possible reactive sites of the PFO3DA molecule.
Table A32.
Detailed information of CDFT descriptors of PFO3DA.
Table A32.
Detailed information of CDFT descriptors of PFO3DA.
| Atom | q(N) | q(N + 1) | q(N − 1) | f(r)− | f(r)+ | f(r)0 | Δf(r) | Electrophilicity | Nucleophilicity | s− | s+ | s0 | s+/s− | s−/s+ |
|---|---|---|---|---|---|---|---|---|---|---|---|---|---|---|
| 1(F) | −0.0955 | −0.1015 | −0.0898 | 0.0056 | 0.006 | 0.0058 | 0.0004 | 0.01387 | −0.01054 | 0.0219 | 0.0233 | 0.0226 | 1.0662 | 0.9379 |
| 2(F) | −0.0955 | −0.1015 | −0.0898 | 0.0056 | 0.006 | 0.0058 | 0.0004 | 0.01387 | −0.01054 | 0.0219 | 0.0233 | 0.0226 | 1.0662 | 0.9379 |
| 3(F) | −0.0952 | −0.098 | −0.0924 | 0.0028 | 0.0028 | 0.0028 | 0 | 0.00656 | −0.00529 | 0.011 | 0.011 | 0.011 | 1.0057 | 0.9943 |
| 4(F) | −0.0952 | −0.098 | −0.0924 | 0.0028 | 0.0028 | 0.0028 | 0 | 0.00656 | −0.00529 | 0.011 | 0.011 | 0.011 | 1.0057 | 0.9943 |
| 5(F) | −0.0971 | −0.1159 | −0.079 | 0.018 | 0.0188 | 0.0184 | 0.0007 | 0.04334 | −0.03376 | 0.0701 | 0.0729 | 0.0715 | 1.0398 | 0.9617 |
| 6(F) | −0.0971 | −0.1159 | −0.079 | 0.018 | 0.0188 | 0.0184 | 0.0007 | 0.04334 | −0.03376 | 0.0701 | 0.0729 | 0.0715 | 1.0398 | 0.9617 |
| 7(F) | −0.0965 | −0.0973 | −0.0957 | 0.0008 | 0.0008 | 0.0008 | 0 | 0.00186 | −0.00144 | 0.003 | 0.0031 | 0.0031 | 1.046 | 0.9561 |
| 8(F) | −0.0965 | −0.0973 | −0.0957 | 0.0008 | 0.0008 | 0.0008 | 0 | 0.00186 | −0.00144 | 0.003 | 0.0031 | 0.0031 | 1.046 | 0.9561 |
| 9(F) | −0.1022 | −0.2002 | −0.049 | 0.0532 | 0.098 | 0.0756 | 0.0448 | 0.22628 | −0.09947 | 0.2066 | 0.3808 | 0.2937 | 1.8431 | 0.5426 |
| 10(F) | −0.1022 | −0.2002 | −0.049 | 0.0532 | 0.098 | 0.0756 | 0.0448 | 0.22628 | −0.09947 | 0.2066 | 0.3808 | 0.2937 | 1.8431 | 0.5426 |
| 11(F) | −0.0861 | −0.0868 | −0.0856 | 0.0006 | 0.0006 | 0.0006 | 0.0001 | 0.00144 | −0.00104 | 0.0022 | 0.0024 | 0.0023 | 1.1242 | 0.8895 |
| 12(F) | −0.0961 | −0.0966 | −0.0956 | 0.0005 | 0.0005 | 0.0005 | 0 | 0.0011 | −0.00097 | 0.002 | 0.0019 | 0.0019 | 0.9244 | 1.0818 |
| 13(F) | −0.0961 | −0.0966 | −0.0956 | 0.0005 | 0.0005 | 0.0005 | 0 | 0.0011 | −0.00097 | 0.002 | 0.0019 | 0.0019 | 0.9244 | 1.0818 |
| 14(O) | −0.1423 | −0.1448 | −0.1398 | 0.0025 | 0.0025 | 0.0025 | 0.0001 | 0.00585 | −0.00462 | 0.0096 | 0.0099 | 0.0097 | 1.0256 | 0.975 |
| 15(O) | −0.1362 | −0.1491 | −0.1267 | 0.0095 | 0.0129 | 0.0112 | 0.0034 | 0.02976 | −0.01771 | 0.0368 | 0.0501 | 0.0434 | 1.3614 | 0.7345 |
| 16(O) | −0.1464 | −0.1469 | −0.146 | 0.0004 | 0.0005 | 0.0004 | 0.0001 | 0.0011 | −0.00074 | 0.0015 | 0.0019 | 0.0017 | 1.2134 | 0.8241 |
| 17(O) | −0.1496 | −0.2779 | 0 | 0.1496 | 0.1283 | 0.139 | −0.0212 | 0.29633 | −0.27981 | 0.5812 | 0.4987 | 0.5399 | 0.858 | 1.1655 |
| 18(O) | −0.265 | −0.5089 | 0.1535 | 0.4185 | 0.2438 | 0.3312 | −0.1747 | 0.56303 | −0.78292 | 1.6262 | 0.9475 | 1.2868 | 0.5826 | 1.7163 |
| 19(C) | 0.2595 | 0.2558 | 0.263 | 0.0035 | 0.0037 | 0.0036 | 0.0002 | 0.00854 | −0.00651 | 0.0135 | 0.0144 | 0.0139 | 1.0628 | 0.9409 |
| 20(C) | 0.2598 | 0.258 | 0.2617 | 0.0019 | 0.0018 | 0.0018 | −0.0001 | 0.00418 | −0.00352 | 0.0073 | 0.007 | 0.0072 | 0.9608 | 1.0408 |
| 21(C) | 0.2585 | 0.2484 | 0.2698 | 0.0113 | 0.0101 | 0.0107 | −0.0011 | 0.02338 | −0.02105 | 0.0437 | 0.0393 | 0.0415 | 0.8998 | 1.1114 |
| 22(C) | 0.258 | 0.2575 | 0.2584 | 0.0005 | 0.0005 | 0.0005 | 0 | 0.00116 | −0.00088 | 0.0018 | 0.002 | 0.0019 | 1.0662 | 0.9379 |
| 23(C) | 0.2721 | 0.2138 | 0.3125 | 0.0405 | 0.0582 | 0.0494 | 0.0178 | 0.13448 | −0.07572 | 0.1573 | 0.2263 | 0.1918 | 1.4388 | 0.695 |
| 24(C) | 0.3609 | 0.3605 | 0.3614 | 0.0004 | 0.0004 | 0.0004 | 0 | 0.00094 | −0.00079 | 0.0016 | 0.0016 | 0.0016 | 0.957 | 1.0449 |
| 25(C) | 0.2138 | −0.0088 | 0.3366 | 0.1228 | 0.2226 | 0.1727 | 0.0998 | 0.514 | −0.22967 | 0.477 | 0.865 | 0.671 | 1.8132 | 0.5515 |
| 26(H) | 0.2094 | 0.15 | 0.2857 | 0.0763 | 0.0594 | 0.0678 | −0.0169 | 0.13707 | −0.14275 | 0.2965 | 0.2307 | 0.2636 | 0.778 | 1.2854 |
Note: q(N): Hirshfeld charges in neutral state; q(N+1): Hirshfeld charges in a positive charge state; q(N−1): Hirshfeld charges in a negative charge state; f(r)−: electrophilic Fukui function; f(r)+: nucleophilic Fukui function; f(r)0: radical Fukui function; Δf(r): condensed dual descriptors; electrophilicity: reduced local electrophilic index; nucleophilicity: reduced local nucleophilic index; s−: reduced local softness; s+: relative electrophilic index; s0: relative nucleophilic index; E(N): −1940.870842 Hartree; E(N+1): −1940.951158 Hartree; E(N−1): −1940.53318 Hartree; E_HOMO(N): −0.403948 Hartree, −10.992 eV; E_HOMO(N+1): −0.157532 Hartree, −4.2867 eV; E_HOMO(N−1): −0.480193 Hartree, −13.0667 eV; vertical IP: 0.337662 Hartree, 9.1883 eV; vertical EA: 0.080315 Hartree, 2.1855 eV; Mulliken electronegativity: 0.208989 Hartree, 5.6869 eV; chemical potential: −0.208989 Hartree, −5.6869 eV; hardness (=fundamental gap): 0.257347 Hartree, 7.0028 eV; softness: 3.885805 Hartree−1, 0.1428 eV−1; electrophilicity index: 0.084859 Hartree, 2.3091 eV; nucleophilicity index: −0.06875 Hartree, −1.8708 eV.
Table A33 shows the detailed CDFT descriptors, indicating the possible reactive sites of the PFHpA molecule.
Table A33.
Detailed information of CDFT descriptors of PFHpA.
Table A33.
Detailed information of CDFT descriptors of PFHpA.
| Atom | q(N) | q(N + 1) | q(N − 1) | f(r)− | f(r)+ | f(r)0 | Δf(r) | Electrophilicity | Nucleophilicity | s− | s+ | s0 | s+/s− | s−/s+ |
|---|---|---|---|---|---|---|---|---|---|---|---|---|---|---|
| 1(F) | −0.092 | −0.1029 | −0.0775 | 0.0144 | 0.0109 | 0.0127 | −0.0035 | 0.02664 | −0.02451 | 0.0575 | 0.0435 | 0.0505 | 0.7554 | 1.3238 |
| 2(F) | −0.092 | −0.1029 | −0.0775 | 0.0144 | 0.0109 | 0.0127 | −0.0035 | 0.02664 | −0.02451 | 0.0575 | 0.0435 | 0.0505 | 0.7554 | 1.3238 |
| 3(F) | −0.0912 | −0.0971 | −0.0838 | 0.0073 | 0.006 | 0.0067 | −0.0014 | 0.01455 | −0.01245 | 0.0292 | 0.0237 | 0.0265 | 0.8123 | 1.231 |
| 4(F) | −0.0912 | −0.0971 | −0.0838 | 0.0073 | 0.006 | 0.0067 | −0.0014 | 0.01455 | −0.01245 | 0.0292 | 0.0237 | 0.0265 | 0.8123 | 1.231 |
| 5(F) | −0.0923 | −0.1189 | −0.064 | 0.0283 | 0.0267 | 0.0275 | −0.0017 | 0.06507 | −0.04802 | 0.1127 | 0.1061 | 0.1094 | 0.9416 | 1.062 |
| 6(F) | −0.0923 | −0.1189 | −0.064 | 0.0283 | 0.0267 | 0.0275 | −0.0017 | 0.06507 | −0.04802 | 0.1127 | 0.1061 | 0.1094 | 0.9416 | 1.062 |
| 7(F) | −0.0919 | −0.0951 | −0.0881 | 0.0039 | 0.0032 | 0.0035 | −0.0007 | 0.0078 | −0.00656 | 0.0154 | 0.0127 | 0.0141 | 0.8257 | 1.2111 |
| 8(F) | −0.0919 | −0.0951 | −0.0881 | 0.0039 | 0.0032 | 0.0035 | −0.0007 | 0.0078 | −0.00656 | 0.0154 | 0.0127 | 0.0141 | 0.8257 | 1.2111 |
| 9(F) | −0.0949 | −0.2159 | −0.0116 | 0.0833 | 0.121 | 0.1022 | 0.0376 | 0.2953 | −0.14136 | 0.3319 | 0.4817 | 0.4068 | 1.4516 | 0.6889 |
| 10(F) | −0.0949 | −0.2159 | −0.0116 | 0.0833 | 0.121 | 0.1022 | 0.0376 | 0.2953 | −0.14136 | 0.3319 | 0.4817 | 0.4068 | 1.4516 | 0.6889 |
| 11(F) | −0.0921 | −0.0948 | −0.0889 | 0.0032 | 0.0027 | 0.0029 | −0.0005 | 0.00657 | −0.00543 | 0.0128 | 0.0107 | 0.0117 | 0.8405 | 1.1898 |
| 12(F) | −0.0916 | −0.0933 | −0.0895 | 0.0021 | 0.0018 | 0.0019 | −0.0003 | 0.0043 | −0.00355 | 0.0083 | 0.007 | 0.0077 | 0.8417 | 1.188 |
| 13(F) | −0.0916 | −0.0933 | −0.0895 | 0.0021 | 0.0018 | 0.0019 | −0.0003 | 0.0043 | −0.00355 | 0.0083 | 0.007 | 0.0077 | 0.8417 | 1.188 |
| 14(O) | −0.1486 | −0.2675 | −0.0093 | 0.1393 | 0.119 | 0.1291 | −0.0203 | 0.2904 | −0.2362 | 0.5545 | 0.4737 | 0.5141 | 0.8543 | 1.1705 |
| 15(O) | −0.2623 | −0.4743 | 0.0527 | 0.3149 | 0.212 | 0.2635 | −0.1029 | 0.51754 | −0.5342 | 1.2541 | 0.8443 | 1.0492 | 0.6732 | 1.4854 |
| 16(C) | 0.1811 | 0.1783 | 0.1879 | 0.0068 | 0.0028 | 0.0048 | −0.004 | 0.00683 | −0.01156 | 0.0271 | 0.0111 | 0.0191 | 0.4107 | 2.4349 |
| 17(C) | 0.1812 | 0.1787 | 0.1847 | 0.0035 | 0.0026 | 0.003 | −0.0009 | 0.00624 | −0.00588 | 0.0138 | 0.0102 | 0.012 | 0.737 | 1.3568 |
| 18(C) | 0.1818 | 0.1779 | 0.1917 | 0.0099 | 0.0039 | 0.0069 | −0.0061 | 0.00946 | −0.01686 | 0.0396 | 0.0154 | 0.0275 | 0.3901 | 2.5633 |
| 19(C) | 0.1771 | 0.1756 | 0.1788 | 0.0018 | 0.0014 | 0.0016 | −0.0003 | 0.00348 | −0.00297 | 0.007 | 0.0057 | 0.0063 | 0.8129 | 1.2301 |
| 20(C) | 0.1909 | 0.1221 | 0.2518 | 0.0609 | 0.0689 | 0.0649 | 0.008 | 0.16812 | −0.10327 | 0.2424 | 0.2743 | 0.2583 | 1.1313 | 0.884 |
| 21(C) | 0.2789 | 0.2776 | 0.2804 | 0.0015 | 0.0013 | 0.0014 | −0.0002 | 0.00314 | −0.00259 | 0.0061 | 0.0051 | 0.0056 | 0.8442 | 1.1846 |
| 22(C) | 0.2117 | 0.0228 | 0.3246 | 0.1129 | 0.1889 | 0.1509 | 0.076 | 0.46115 | −0.19145 | 0.4495 | 0.7523 | 0.6009 | 1.6738 | 0.5975 |
| 23(H) | 0.2095 | 0.1526 | 0.2759 | 0.0664 | 0.057 | 0.0617 | −0.0094 | 0.13902 | −0.11256 | 0.2642 | 0.2268 | 0.2455 | 0.8582 | 1.1652 |
Note: q(N): Hirshfeld charges in neutral state; q(N+1): Hirshfeld charges in a positive charge state; q(N−1): Hirshfeld charges in a negative charge state; f(r)−: electrophilic Fukui function; f(r)+: nucleophilic Fukui function; f(r)0: radical Fukui function; Δf(r): condensed dual descriptors; electrophilicity: reduced local electrophilic index; nucleophilicity: reduced local nucleophilic index; s−: reduced local softness; s+: relative electrophilic index; s0: relative nucleophilic index; E(N): −1715.227813 Hartree; E(N+1): −1715.314508 Hartree; E(N−1): −1714.889987 Hartree; E_HOMO(N): −0.397531 Hartree, −10.8174 eV; E_HOMO(N+1):−0.165856 Hartree, −4.5132 eV; E_HOMO(N−1): −0.444055 Hartree, −12.0834 eV; vertical IP: 0.337826 Hartree, 9.1927 eV; Vertical EA: 0.086695 Hartree, 2.3591 eV; Mulliken electronegativity: 0.21226 Hartree, 5.7759 eV; chemical potential: −0.21226 Hartree, −5.7759 eV; hardness (=fundamental gap): 0.251131 Hartree, 6.8336 eV; softness: 3.981982 Hartree−1, 0.1463 eV−1; electrophilicity index: 0.089703 Hartree, 2.4409 eV; nucleophilicity index: −0.062333 Hartree, −1.6962 eV.
Table A34 shows detailed CDFT descriptors, indicating the possible reactive sites of the DFSA molecule.
Table A34.
Detailed information of CDFT descriptors of DFSA.
Table A34.
Detailed information of CDFT descriptors of DFSA.
| Atom | q(N) | q(N + 1) | q(N − 1) | f(r)− | f(r)+ | f(r)0 | Δf(r) | Electrophilicity | Nucleophilicity | s− | s+ | s0 | s+/s− | s−/s+ |
|---|---|---|---|---|---|---|---|---|---|---|---|---|---|---|
| 1(F) | −0.0929 | −0.1018 | −0.0715 | 0.0214 | 0.0089 | 0.0152 | −0.0125 | 0.01727 | −0.03423 | 0.0715 | 0.0298 | 0.0506 | 0.4174 | 2.3959 |
| 2(F) | −0.0929 | −0.1018 | −0.0715 | 0.0214 | 0.0089 | 0.0152 | −0.0125 | 0.01727 | −0.03423 | 0.0715 | 0.0298 | 0.0506 | 0.4174 | 2.3959 |
| 3(F) | −0.0929 | −0.1018 | −0.0715 | 0.0214 | 0.0089 | 0.0152 | −0.0125 | 0.01727 | −0.03423 | 0.0715 | 0.0298 | 0.0506 | 0.4174 | 2.3959 |
| 4(F) | −0.0929 | −0.1018 | −0.0715 | 0.0214 | 0.0089 | 0.0152 | −0.0125 | 0.01727 | −0.03423 | 0.0715 | 0.0298 | 0.0506 | 0.4174 | 2.3959 |
| 5(F) | −0.0928 | −0.1075 | −0.0674 | 0.0254 | 0.0147 | 0.0201 | −0.0107 | 0.02848 | −0.04068 | 0.0849 | 0.0492 | 0.067 | 0.5792 | 1.7265 |
| 6(F) | −0.0928 | −0.1075 | −0.0674 | 0.0254 | 0.0147 | 0.0201 | −0.0107 | 0.02848 | −0.04068 | 0.0849 | 0.0492 | 0.067 | 0.5792 | 1.7265 |
| 7(F) | −0.0928 | −0.1075 | −0.0674 | 0.0254 | 0.0147 | 0.0201 | −0.0107 | 0.02848 | −0.04068 | 0.0849 | 0.0492 | 0.067 | 0.5792 | 1.7265 |
| 8(F) | −0.0928 | −0.1075 | −0.0674 | 0.0254 | 0.0147 | 0.0201 | −0.0107 | 0.02848 | −0.04068 | 0.0849 | 0.0492 | 0.067 | 0.5792 | 1.7265 |
| 9(F) | −0.0951 | −0.1467 | −0.055 | 0.0402 | 0.0515 | 0.0459 | 0.0113 | 0.09964 | −0.06429 | 0.1342 | 0.1721 | 0.1531 | 1.2824 | 0.7798 |
| 10(F) | −0.0951 | −0.1467 | −0.055 | 0.0402 | 0.0515 | 0.0459 | 0.0113 | 0.09964 | −0.06429 | 0.1342 | 0.1721 | 0.1531 | 1.2824 | 0.7798 |
| 11(F) | −0.0951 | −0.1467 | −0.055 | 0.0402 | 0.0515 | 0.0459 | 0.0113 | 0.09964 | −0.06429 | 0.1342 | 0.1721 | 0.1531 | 1.2824 | 0.7798 |
| 12(F) | −0.0951 | −0.1467 | −0.055 | 0.0402 | 0.0515 | 0.0459 | 0.0113 | 0.09964 | −0.06429 | 0.1342 | 0.1721 | 0.1531 | 1.2824 | 0.7798 |
| 13(O) | −0.1488 | −0.2127 | −0.084 | 0.0648 | 0.0639 | 0.0643 | −0.0008 | 0.12358 | −0.10359 | 0.2162 | 0.2134 | 0.2148 | 0.987 | 1.0131 |
| 14(O) | −0.1488 | −0.2127 | −0.084 | 0.0648 | 0.0639 | 0.0643 | −0.0008 | 0.12358 | −0.10359 | 0.2162 | 0.2134 | 0.2148 | 0.987 | 1.0131 |
| 15(O) | −0.2624 | −0.3758 | −0.1248 | 0.1376 | 0.1134 | 0.1255 | −0.0242 | 0.21928 | −0.2201 | 0.4595 | 0.3787 | 0.4191 | 0.8243 | 1.2132 |
| 16(O) | −0.2624 | −0.3758 | −0.1248 | 0.1376 | 0.1134 | 0.1255 | −0.0242 | 0.21928 | −0.2201 | 0.4595 | 0.3787 | 0.4191 | 0.8243 | 1.2132 |
| 17(C) | 0.1805 | 0.1772 | 0.1904 | 0.0099 | 0.0033 | 0.0066 | −0.0067 | 0.00633 | −0.0159 | 0.0332 | 0.0109 | 0.0221 | 0.3293 | 3.0368 |
| 18(C) | 0.1805 | 0.1772 | 0.1904 | 0.0099 | 0.0033 | 0.0066 | −0.0067 | 0.00633 | −0.0159 | 0.0332 | 0.0109 | 0.0221 | 0.3293 | 3.0368 |
| 19(C) | 0.1814 | 0.1778 | 0.1904 | 0.009 | 0.0036 | 0.0063 | −0.0054 | 0.00695 | −0.0144 | 0.0301 | 0.012 | 0.021 | 0.3991 | 2.5055 |
| 20(C) | 0.1814 | 0.1778 | 0.1904 | 0.009 | 0.0036 | 0.0063 | −0.0054 | 0.00695 | −0.0144 | 0.0301 | 0.012 | 0.021 | 0.3991 | 2.5055 |
| 21(C) | 0.1908 | 0.1604 | 0.2148 | 0.024 | 0.0304 | 0.0272 | 0.0064 | 0.05874 | −0.03836 | 0.0801 | 0.1015 | 0.0908 | 1.2671 | 0.7892 |
| 22(C) | 0.1908 | 0.1604 | 0.2148 | 0.024 | 0.0304 | 0.0272 | 0.0064 | 0.05874 | −0.03836 | 0.0801 | 0.1015 | 0.0908 | 1.2671 | 0.7892 |
| 23(C) | 0.2116 | 0.1077 | 0.2627 | 0.051 | 0.1039 | 0.0775 | 0.0529 | 0.20088 | −0.08163 | 0.1704 | 0.3469 | 0.2587 | 2.036 | 0.4912 |
| 24(C) | 0.2116 | 0.1077 | 0.2627 | 0.051 | 0.1039 | 0.0775 | 0.0529 | 0.20088 | −0.08163 | 0.1704 | 0.3469 | 0.2587 | 2.036 | 0.4912 |
| 25(H) | 0.2093 | 0.1789 | 0.2389 | 0.0297 | 0.0304 | 0.03 | 0.0008 | 0.05882 | −0.04743 | 0.099 | 0.1016 | 0.1003 | 1.026 | 0.9747 |
| 26(H) | 0.2093 | 0.1789 | 0.2389 | 0.0297 | 0.0304 | 0.03 | 0.0008 | 0.05882 | −0.04743 | 0.099 | 0.1016 | 0.1003 | 1.026 | 0.9747 |
Note: q(N): Hirshfeld charges in neutral state; q(N+1): Hirshfeld charges in a positive charge state; q(N−1): Hirshfeld charges in a negative charge state; f(r)−: electrophilic Fukui function; f(r)+: nucleophilic Fukui function; f(r)0: radical Fukui function; Δf(r): condensed dual descriptors; electrophilicity: reduced local electrophilic index; nucleophilicity: reduced local nucleophilic index; s−: reduced local softness; s+: relative electrophilic index; s0: relative nucleophilic index; E(N): −1804.507374 Hartree; E(N+1): −1804.563939 Hartree; E(N−1): −1804.151354 Hartree; E_HOMO(N): −0.393987 Hartree, −10.7209 eV; E_HOMO(N+1): −0.101246 Hartree, −2.755 eV; E_HOMO(N−1): −0.364223 Hartree, −9.911 eV; vertical IP: 0.35602 Hartree, 9.6878 eV; vertical EA: 0.056566 Hartree, 1.5392 eV; Mulliken electronegativity: 0.206293 Hartree, 5.6135 eV; chemical potential: −0.206293 Hartree, −5.6135 eV; hardness (=fundamental gap): 0.299454 Hartree, 8.1486 eV; softness: 3.339412 Hartree−1, 0.1227 eV−1; electrophilicity index: 0.071057 Hartree, 1.9336 eV; nucleophilicity index: −0.058789 Hartree, −1.5997 eV.
Figure A1.
Stern–Volmer plots for quenching of HSA with PFAS at different temperatures. C[HSA] = 1 × 10−6 mol·L−1, C[PFAS] = 0, 3, 6, 9, 12, 15, and 18 × 10−6 mol·L−1, T = 298 K, 304 K, 310 K. (a) HSA–PFNA (b) HSA–HFPO-TA (c) HSA–PFOA (d) HSA–PFO3DA (e) HSA–PFHpA (f) HSA–DFSA.
Figure A1.
Stern–Volmer plots for quenching of HSA with PFAS at different temperatures. C[HSA] = 1 × 10−6 mol·L−1, C[PFAS] = 0, 3, 6, 9, 12, 15, and 18 × 10−6 mol·L−1, T = 298 K, 304 K, 310 K. (a) HSA–PFNA (b) HSA–HFPO-TA (c) HSA–PFOA (d) HSA–PFO3DA (e) HSA–PFHpA (f) HSA–DFSA.

Figure A2.
Double-logarithm plots of HSA–PFAS system at different temperatures. C[HSA] = 1 × 10−6 mol·L−1, C[PFAS] = 0, 3, 6, 9, 12, 15, and 18 × 10−6 mol·L−1, T = 298 K, 304 K, 310 K. (a) HSA–PFNA (b) HSA–HFPO-TA (c) HSA–PFOA (d) HSA–PFO3DA (e) HSA–PFHpA (f) HSA–DFSA.
Figure A2.
Double-logarithm plots of HSA–PFAS system at different temperatures. C[HSA] = 1 × 10−6 mol·L−1, C[PFAS] = 0, 3, 6, 9, 12, 15, and 18 × 10−6 mol·L−1, T = 298 K, 304 K, 310 K. (a) HSA–PFNA (b) HSA–HFPO-TA (c) HSA–PFOA (d) HSA–PFO3DA (e) HSA–PFHpA (f) HSA–DFSA.

References
- Gao, K.; Zhuang, T.; Liu, X.; Fu, J.; Zhang, J.; Fu, J.; Wang, L.; Zhang, A.; Liang, Y.; Song, M.; et al. Prenatal Exposure to Per- and Polyfluoroalkyl Substances (PFASs) and Association between the Placental Transfer Efficiencies and Dissociation Constant of Serum Proteins–PFAS Complexes. Environ. Sci. Technol. 2019, 53, 6529–6538. [Google Scholar] [CrossRef] [PubMed]
- Lu, Y.; Meng, L.; Ma, D.; Cao, H.; Liang, Y.; Liu, H.; Wang, Y.; Jiang, G. The occurrence of PFAS in human placenta and their binding abilities to human serum albumin and organic anion transporter 4. Environ. Pollut. 2021, 273, 116460. [Google Scholar] [CrossRef] [PubMed]
- Zhao, L.; Teng, M.; Zhao, X.; Li, Y.; Sun, J.; Zhao, W.; Ruan, Y.; Leung, K.M.Y.; Wu, F. Insight into the binding model of per- and polyfluoroalkyl substances to proteins and membranes. Environ. Int. 2023, 175, 107951. [Google Scholar] [CrossRef] [PubMed]
- Liu, X.; Fang, M.; Xu, F.; Chen, D. Characterization of the binding of per- and poly-fluorinated substances to proteins: A methodological review. TrAC Trends Anal. Chem. 2019, 116, 177–185. [Google Scholar] [CrossRef]
- Fedorenko, M.; Alesio, J.; Fedorenko, A.; Slitt, A.; Bothun, G.D. Dominant entropic binding of perfluoroalkyl substances (PFASs) to albumin protein revealed by 19F NMR. Chemosphere 2021, 263, 128083. [Google Scholar] [CrossRef] [PubMed]
- Tian, Y.; Zhou, Q.; Zhang, L.; Li, W.; Yin, S.; Li, F.; Xu, C. In utero exposure to per-/polyfluoroalkyl substances (PFASs): Preeclampsia in pregnancy and low birth weight for neonates. Chemosphere 2023, 313, 137490. [Google Scholar] [CrossRef] [PubMed]
- Chi, Q.; Li, Z.; Huang, J.; Ma, J.; Wang, X. Interactions of perfluorooctanoic acid and perfluorooctanesulfonic acid with serum albumins by native mass spectrometry, fluorescence and molecular docking. Chemosphere 2018, 198, 442–449. [Google Scholar] [CrossRef]
- Calore, F.; Guolo, P.P.; Wu, J.; Xu, Q.; Lu, J.; Marcomini, A. Legacy and novel PFASs in wastewater, natural water, and drinking water: Occurrence in Western Countries vs China. Emerg. Contam. 2023, 9, 100228. [Google Scholar] [CrossRef]
- An, X.; Lei, H.; Lu, Y.; Xie, X.; Wang, P.; Liao, J.; Liang, Z.; Sun, B.; Wu, Z. Per- and polyfluoroalkyl substances (PFASs) in water and sediment from a temperate watershed in China: Occurrence, sources, and ecological risks. Sci. Total Environ. 2023, 890, 164207. [Google Scholar] [CrossRef]
- Xu, L.; Chen, H.; Han, X.; Yu, K.; Wang, Y.; Du, B.; Zeng, L. First report on per- and polyfluoroalkyl substances (PFASs) in coral communities from the Northern South China sea: Occurrence, seasonal variation, and interspecies differences. Environ. Pollut. 2022, 314, 120214. [Google Scholar] [CrossRef]
- Jian, J.-M.; Chen, D.; Han, F.-J.; Guo, Y.; Zeng, L.; Lu, X.; Wang, F. A short review on human exposure to and tissue distribution of per- and polyfluoroalkyl substances (PFASs). Sci. Total Environ. 2018, 636, 1058–1069. [Google Scholar] [CrossRef] [PubMed]
- Li, X.-Y.; Huang, Z.-Y.; Niu, Y.; Wang, Z.-H.; Hu, L.-Y.; Bai, A.-M.; Hu, Y.-J. Synthesis of a IAP antagonist analogue and its binding investigation with BSA/HSA. J. Mol. Struct. 2022, 1251, 131989. [Google Scholar] [CrossRef]
- Chen, H.; He, P.; Rao, H.; Wang, F.; Liu, H.; Yao, J. Systematic investigation of the toxic mechanism of PFOA and PFOS on bovine serum albumin by spectroscopic and molecular modeling. Chemosphere 2015, 129, 217–224. [Google Scholar] [CrossRef] [PubMed]
- Sen, P.; Karn, R.; Kanake, D.W.; Emerson, I.A.; Khan, J.M.; Ahmad, A. Picloram binds to the h1 and h4 helices of HSA domain IIIA at drug binding site 2. Int. J. Biol. Macromol. 2023, 242, 124836. [Google Scholar] [CrossRef] [PubMed]
- Chugh, H.; Kumar, P.; Tomar, V.; Kaur, N.; Sood, D.; Chandra, R. Interaction of noscapine with human serum albumin (HSA): A spectroscopic and molecular modelling approach. J. Photochem. Photobiol. A Chem. 2019, 372, 168–176. [Google Scholar] [CrossRef]
- Meng, X.; Yu, G.; Luo, T.; Zhang, R.; Zhang, J.; Liu, Y. Transcriptomics integrated with metabolomics reveals perfluorobutane sulfonate (PFBS) exposure effect during pregnancy and lactation on lipid metabolism in rat offspring. Chemosphere 2023, 341, 140120. [Google Scholar] [CrossRef] [PubMed]
- Iwata, H.; Kobayashi, S.; Itoh, M.; Itoh, S.; Mesfin Ketema, R.; Tamura, N.; Miyashita, C.; Yamaguchi, T.; Yamazaki, K.; Masuda, H.; et al. The association between prenatal per-and polyfluoroalkyl substance levels and Kawasaki disease among children of up to 4 years of age: A prospective birth cohort of the Japan Environment and Children’s Study. Environ. Int. 2023, 183, 108321. [Google Scholar] [CrossRef]
- Peng, M.; Wang, Y.; Wu, C.; Cai, X.; Wu, Y.; Du, E.; Zheng, L.; Fu, J. Investigating sulfonamides—Human serum albumin interactions: A comprehensive approach using multi-spectroscopy, DFT calculations, and molecular docking. Biochem. Biophys. Res. Commun. 2023, 683, 149108. [Google Scholar] [CrossRef]
- Negrea, E.; Oancea, P.; Leonties, A.; Ana Maria, U.; Avram, S.; Raducan, A. Spectroscopic studies on binding of ibuprofen and drotaverine with bovine serum albumin. J. Photochem. Photobiol. A Chem. 2023, 438, 114512. [Google Scholar] [CrossRef]
- Neamtu, S.; Mic, M.; Bogdan, M.; Turcu, I. The artifactual nature of stavudine binding to human serum albumin. A fluorescence quenching and isothermal titration calorimetry study. J. Pharm. Biomed. Anal. 2013, 72, 134–138. [Google Scholar] [CrossRef]
- Miles, A.J.; Ramalli, S.G.; Wallace, B.A. DichroWeb, a website for calculating protein secondary structure from circular dichroism spectroscopic data. Protein Sci. 2022, 31, 37–46. [Google Scholar] [CrossRef] [PubMed]
- Gan, N.; Sun, Q.; Tang, P.; Wu, D.; Xie, T.; Zhang, Y.; Li, H. Determination of interactions between human serum albumin and niraparib through multi-spectroscopic and computational methods. Spectrochim. Acta Part A Mol. Biomol. Spectrosc. 2019, 206, 126–134. [Google Scholar] [CrossRef] [PubMed]
- Ali, M.S.; Muthukumaran, J.; Jain, M.; Santos-Silva, T.; Al-Lohedan, H.A.; Al-Shuail, N.S. Molecular interactions of cefoperazone with bovine serum albumin: Extensive experimental and computational investigations. J. Mol. Liq. 2021, 337, 116354. [Google Scholar] [CrossRef]
- Frisch, M.; Trucks, G.; Schlegel, H.; Scuseria, G.; Robb, M.; Cheeseman, J.; Scalmani, G.; Barone, V.; Petersson, G.; Nakatsuji, H. Gaussian 16 Rev. C. 01; Gaussian, Inc.: Wallingford, CT, USA, 2016. [Google Scholar]
- Fu, W.; Xia, G.-J.; Zhang, Y.; Hu, J.; Wang, Y.-G.; Li, J.; Li, X.; Li, B. Using general computational chemistry strategy to unravel the reactivity of emerging pollutants: An example of sulfonamide chlorination. Water Res. 2021, 202, 117391. [Google Scholar] [CrossRef] [PubMed]
- Wen, J.; Li, L.; Yuan, L.; Li, J.; Ning, P. Insight into the weak interaction between organic primary amine and propionic acid or phenol solvents in solvent extraction. J. Mol. Liq. 2022, 367, 120524. [Google Scholar] [CrossRef]
- Sahoo, D.K.; Dasgupta, S.; Kistwal, T.; Datta, A. Fluorescence monitoring of binding of a Zn (II) complex of a Schiff base with human serum albumin. Int. J. Biol. Macromol. 2023, 226, 1515–1522. [Google Scholar] [CrossRef] [PubMed]
- Lu, T.; Chen, F. Multiwfn: A multifunctional wavefunction analyzer. J. Comput. Chem. 2012, 33, 580–592. [Google Scholar] [CrossRef] [PubMed]
- Humphrey, W.; Dalke, A.; Schulten, K. VMD: Visual molecular dynamics. J. Mol. Graph. 1996, 14, 33–38. [Google Scholar] [CrossRef]
- Radha, A.; Singh, A.; Sharma, L.; Thakur, K.K. Molecular interactions of acebutolol hydrochloride to human serum albumin: A combined calorimetric, spectroscopic and molecular modelling approach. Mater. Today Proc. 2021, 44, 1700–1706. [Google Scholar] [CrossRef]
- Eberhardt, J.; Santos-Martins, D.; Tillack, A.F.; Forli, S. AutoDock Vina 1.2.0: New Docking Methods, Expanded Force Field, and Python Bindings. J. Chem. Inf. Model. 2021, 61, 3891–3898. [Google Scholar] [CrossRef]
- Trott, O.; Olson, A.J. AutoDock Vina: Improving the speed and accuracy of docking with a new scoring function, efficient optimization, and multithreading. J. Comput. Chem. 2010, 31, 455–461. [Google Scholar] [CrossRef]
- Schrödinger, Inc. The AxPyMOL Molecular Graphics Plugin for Microsoft PowerPoint, Version 1.8; Schrödinger, Inc.: New York, NY, USA, 2015. [Google Scholar]
- Salomon-Ferrer, R.; Case, D.A.; Walker, R.C. An overview of the Amber biomolecular simulation package. Wiley Interdiscip. Rev. Comput. Mol. Sci. 2013, 3, 198–210. [Google Scholar] [CrossRef]
- Wang, J.; Wolf, R.M.; Caldwell, J.W.; Kollman, P.A.; Case, D.A. Development and testing of a general amber force field. J. Comput. Chem. 2004, 25, 1157–1174. [Google Scholar] [CrossRef] [PubMed]
- Maier, J.A.; Martinez, C.; Kasavajhala, K.; Wickstrom, L.; Hauser, K.E.; Simmerling, C. ff14SB: Improving the Accuracy of Protein Side Chain and Backbone Parameters from ff99SB. J. Chem. Theory Comput. 2015, 11, 3696–3713. [Google Scholar] [CrossRef] [PubMed]
- Mark, P.; Nilsson, L. Structure and dynamics of the TIP3P, SPC, and SPC/E water models at 298 K. J. Phys. Chem. A 2001, 105, 9954–9960. [Google Scholar] [CrossRef]
- Sagui, C.; Darden, T.A. Molecular dynamics simulations of biomolecules: Long-range electrostatic effects. Annu. Rev. Biophys. Biomol. Struct. 1999, 28, 155–179. [Google Scholar] [CrossRef] [PubMed]
- Kräutler, V.; Van Gunsteren, W.F.; Hünenberger, P.H. A fast SHAKE algorithm to solve distance constraint equations for small molecules in molecular dynamics simulations. J. Comput. Chem. 2001, 22, 501–508. [Google Scholar] [CrossRef]
- Larini, L.; Mannella, R.; Leporini, D. Langevin stabilization of molecular-dynamics simulations of polymers by means of quasisymplectic algorithms. J. Chem. Phys. 2007, 126, 104101. [Google Scholar] [CrossRef] [PubMed]
- Hou, T.; Wang, J.; Li, Y.; Wang, W. Assessing the performance of the MM/PBSA and MM/GBSA methods. 1. The accuracy of binding free energy calculations based on molecular dynamics simulations. J. Chem. Inf. Model. 2011, 51, 69–82. [Google Scholar] [CrossRef]
- Genheden, S.; Ryde, U. The MM/PBSA and MM/GBSA methods to estimate ligand-binding affinities. Expert Opin. Drug Discov. 2015, 10, 449–461. [Google Scholar] [CrossRef]
- Rastelli, G.; Rio, A.D.; Degliesposti, G.; Sgobba, M. Fast and accurate predictions of binding free energies using MM-PBSA and MM-GBSA. J. Comput. Chem. 2010, 31, 797–810. [Google Scholar] [CrossRef] [PubMed]
- Chen, Y.; Zheng, Y.; Fong, P.; Mao, S.; Wang, Q. The application of the MM/GBSA method in the binding pose prediction of FGFR inhibitors. Phys. Chem. Chem. Phys. 2020, 22, 9656–9663. [Google Scholar] [CrossRef] [PubMed]
- Nguyen, H.; Roe, D.R.; Simmerling, C. Improved Generalized Born Solvent Model Parameters for Protein Simulations. J. Chem. Theory Comput. 2013, 9, 2020–2034. [Google Scholar] [CrossRef] [PubMed]
- Weiser, J.; Shenkin, P.S.; Still, W.C. Approximate atomic surfaces from linear combinations of pairwise overlaps (LCPO). J. Comput. Chem. 1999, 20, 217–230. [Google Scholar] [CrossRef]
- Bagheri, M.; Fatemi, M.H. Fluorescence spectroscopy, molecular docking and molecular dynamic simulation studies of HSA-Aflatoxin B1 and G1 interactions. J. Lumin. 2018, 202, 345–353. [Google Scholar] [CrossRef]
- Rostamnezhad, F.; Hossein Fatemi, M. Comprehensive investigation of binding of some polycyclic aromatic hydrocarbons with bovine serum albumin: Spectroscopic and molecular docking studies. Bioorg. Chem. 2022, 120, 105656. [Google Scholar] [CrossRef] [PubMed]
- Li, W.; Chen, S.; Hong, X.; Fang, M.; Zong, W.; Li, X.; Wang, J. The molecular interaction of three haloacetic acids with bovine serum albumin and the underlying mechanisms. J. Mol. Liq. 2023, 370, 120976. [Google Scholar] [CrossRef]
- Gu, J.; Huang, X.; Liu, H.; Dong, D.; Sun, X. A mutispectroscopic study on the structure–affinity relationship of the interactions of bisphenol analogues with bovine serum albumin. Chemosphere 2022, 291, 132769. [Google Scholar] [CrossRef]
- Chang, S.; Qin, D.; Wang, L.; Zhang, M.; Yan, R.; Zhao, C. Preparation of novel cinnamaldehyde derivative–BSA nanoparticles with high stability, good cell penetrating ability, and promising anticancer activity. Colloids Surf. A Physicochem. Eng. Asp. 2021, 624, 126765. [Google Scholar] [CrossRef]
- Ovung, A.; Bhattacharyya, J. Binding effects of antibiotic drug sulfamethazine on the serum albumins: Multi-spectroscopic and computation approach. Chem. Phys. Impact 2022, 5, 100087. [Google Scholar] [CrossRef]
- Zhu, M.; Pang, X.; Wan, J.; Xu, X.; Wei, X.; Hua, R.; Zhang, X.; Wang, Y.; Yang, X. Potential toxic effects of sulfonamides antibiotics: Molecular modeling, multiple-spectroscopy techniques and density functional theory calculations. Ecotoxicol. Environ. Saf. 2022, 243, 113979. [Google Scholar] [CrossRef]
- Farajzadeh-Dehkordi, N.; Farhadian, S.; Zahraei, Z.; Gholamian-Dehkordi, N.; Shareghi, B. Interaction of reactive Red195 with human serum albumin: Determination of the binding mechanism and binding site by spectroscopic and molecular modeling methods. J. Mol. Liq. 2021, 327, 114835. [Google Scholar] [CrossRef]
- Ansari, A. Decoding the binding interaction of steroidal pyridines with bovine serum albumin using spectroscopic and molecular docking techniques. Steroids 2023, 192, 109156. [Google Scholar] [CrossRef]
- Liu, T.; Liu, M.; Guo, Q.; Liu, Y.; Zhao, Y.; Wu, Y.; Sun, B.; Wang, Q.; Liu, J.; Han, J. Investigation of binary and ternary systems of human serum albumin with oxyresveratrol/piceatannol and/or mitoxantrone by multipectroscopy, molecular docking and cytotoxicity evaluation. J. Mol. Liq. 2020, 311, 113364. [Google Scholar] [CrossRef]
- Ouaket, A.; Chraka, A.; Raissouni, I.; Amrani, M.A.E.; Berrada, M.; Knouzi, N. Synthesis, spectroscopic (13C/1H-NMR, FT-IR) investigations, quantum chemical modelling (FMO, MEP, NBO analysis), and antioxidant activity of the bis-benzimidazole molecule. J. Mol. Struct. 2022, 1259, 132729. [Google Scholar] [CrossRef]
- Zhang, C.; Liu, Y.; Song, F.; Wang, J. Inter-/intra-molecular interactions, preferential solvation, and dissolution and transfer property for tirofiban in aqueous co-solvent mixtures. J. Mol. Liq. 2022, 361, 119665. [Google Scholar] [CrossRef]
- Mishma, J.N.C.; Jothy, V.B.; Irfan, A.; Narayana, B.; Muthu, S. Role of solvents in molecular level interaction, reactivity and spectral characterisation of 2-Amino-3-(((E)-4-(dimethylamino)benzylidene)amino) maleonitrile: Anti depressant agent. J. Mol. Liq. 2023, 389, 122937. [Google Scholar] [CrossRef]
- Jeba Reeda, V.S.; Bena Jothy, V. Vibrational spectroscopic, quantum computational (DFT), reactivity (ELF, LOL and Fukui), molecular docking studies and molecular dynamic simulation on (6-methoxy-2-oxo-2H-chromen-4-yl) methyl morpholine-4-carbodithioate. J. Mol. Liq. 2023, 371, 121147. [Google Scholar] [CrossRef]
- Radder, S.B.; Melavanki, R.; Radder, U.; Hiremath, S.M.; Kusanur, R.; Khemalapure, S.S. Synthesis, spectroscopic (FT-IR, FT-Raman, NMR), reactivity (ELF, LOL and Fukui) and docking studies on 3-(2-hydroxy-3-methoxy-phenyl)-1-(3-nitro-phenyl)-propenone by experimental and DFT methods. J. Mol. Struct. 2022, 1255, 132443. [Google Scholar] [CrossRef]
- Bharathy, G.; Christian Prasana, J.; Muthu, S.; Irfan, A.; Basha Asif, F.; Saral, A.; Aayisha, S.; Niranjana Devi, R. Evaluation of electronic and biological interactions between N-[4-(Ethylsulfamoyl)phenyl]acetamide and some polar liquids (IEFPCM solvation model) with Fukui function and molecular docking analysis. J. Mol. Liq. 2021, 340, 117271. [Google Scholar] [CrossRef]
- Arulaabaranam, K.; Muthu, S.; Mani, G.; Ben Geoffrey, A.S. Speculative assessment, molecular composition, PDOS, topology exploration (ELF, LOL, RDG), ligand-protein interactions, on 5-bromo-3-nitropyridine-2-carbonitrile. Heliyon 2021, 7, e07061. [Google Scholar] [CrossRef] [PubMed]
- Steffy, A.D.; Dhas, D.A.; Joe, I.H.; Balachandran, S. Theoretical investigations on structural, spectral, NBO, NLO and topology exploration (AIM, ELF, LOL, RDG) of piperazine-2,5-dione oxalic acid monohydrate. J. Mol. Struct. 2024, 1295, 136653. [Google Scholar] [CrossRef]
- Sagaama, A.; Issaoui, N.; Al-Dossary, O.; Kazachenko, A.S.; Wojcik, M.J. Non covalent interactions and molecular docking studies on morphine compound. J. King Saud Univ. -Sci. 2021, 33, 101606. [Google Scholar] [CrossRef]
- Lu, T.; Chen, Q. Interaction region indicator: A simple real space function clearly revealing both chemical bonds and weak interactions. Chemistry-Methods 2021, 1, 231–239. [Google Scholar] [CrossRef]
- Islam, M.M.; Sonu, V.K.; Gashnga, P.M.; Moyon, N.S.; Mitra, S. Caffeine and sulfadiazine interact differently with human serum albumin: A combined fluorescence and molecular docking study. Spectrochim. Acta Part A 2016, 152, 23–33. [Google Scholar] [CrossRef] [PubMed]
- Zhang, S.; Gan, R.; Zhao, L.; Sun, Q.; Xiang, H.; Xiang, X.; Zhao, G.; Li, H. Unveiling the interaction mechanism of alogliptin benzoate with human serum albumin: Insights from spectroscopy, microcalorimetry, and molecular docking and molecular dynamics analyses. Spectrochim. Acta Part A Mol. Biomol. Spectrosc. 2021, 246, 119040. [Google Scholar] [CrossRef]
- Zhan, F.; Ding, S.; Xie, W.; Zhu, X.; Hu, J.; Gao, J.; Li, B.; Chen, Y. Towards understanding the interaction of β-lactoglobulin with capsaicin: Multi-spectroscopic, thermodynamic, molecular docking and molecular dynamics simulation approaches. Food Hydrocoll. 2020, 105, 105767. [Google Scholar] [CrossRef]
- Kharazian, B.; Ahmad, A.A.; Mabudi, A. A molecular dynamics study on the binding of gemcitabine to human serum albumin. J. Mol. Liq. 2021, 337, 116496. [Google Scholar] [CrossRef]
- Cao, J.; Li, L.; Xiong, L.; Wang, C.; Chen, Y.; Zhang, X. Research on the mechanism of berberine in the treatment of COVID-19 pneumonia pulmonary fibrosis using network pharmacology and molecular docking. Phytomed. Plus 2022, 2, 100252. [Google Scholar] [CrossRef]
- Weatherly, L.M.; Shane, H.L.; Lukomska, E.; Baur, R.; Anderson, S.E. Systemic toxicity induced by topical application of perfluoroheptanoic acid (PFHpA), perfluorohexanoic acid (PFHxA), and perfluoropentanoic acid (PFPeA) in a murine model. Food Chem. Toxicol. 2023, 171, 113515. [Google Scholar] [CrossRef]
- Smeltz, M.; Wambaugh, J.F.; Wetmore, B.A. Plasma Protein Binding Evaluations of Per- and Polyfluoroalkyl Substances for Category-Based Toxicokinetic Assessment. Chem. Res. Toxicol. 2023, 36, 870–881. [Google Scholar] [CrossRef]
- Starnes, H.M.; Jackson, T.W.; Rock, K.D.; Belcher, S.M. Quantitative Cross-Species Comparison of Serum Albumin Binding of Per- and Polyfluoroalkyl Substances from Five Structural Classes. bioRxiv 2023, 14. [Google Scholar] [CrossRef]
Disclaimer/Publisher’s Note: The statements, opinions and data contained in all publications are solely those of the individual author(s) and contributor(s) and not of MDPI and/or the editor(s). MDPI and/or the editor(s) disclaim responsibility for any injury to people or property resulting from any ideas, methods, instructions or products referred to in the content. |
© 2024 by the authors. Licensee MDPI, Basel, Switzerland. This article is an open access article distributed under the terms and conditions of the Creative Commons Attribution (CC BY) license (https://creativecommons.org/licenses/by/4.0/).



















